Next Article in Journal
Dietary Passion Fruit Seed Oil Supplementation for Health and Performance of Laying Hens
Previous Article in Journal
Parameter Optimization and Experimental Study of an Apple Postharvest Damage-Reducing Conveyor Device Based on Airflow Cushioning Technology
 
 
Font Type:
Arial Georgia Verdana
Font Size:
Aa Aa Aa
Line Spacing:
Column Width:
Background:
Article

Potential Use of Microalgae Isolated from the Natural Environment as Biofertilizers for the Growth and Development of Pak Choi (Brassica rapa subsp. chinensis)

1
College of Resources and Environmental Science, Nanjing Agricultural University, Nanjing 210095, China
2
Jiangsu Collaborative Innovation Center for Solid Organic Waste Resource Utilization, Nanjing Agricultural University, Nanjing 210095, China
3
Jiangsu Provincial Key Laboratory of Coastal Saline Soil Resources Utilization and Ecological Conservation, Nanjing Agricultural University, Nanjing 210095, China
4
Co-Innovation Center for Jiangsu Marine Bio-Industry Technology, Lianyungang 222005, China
*
Authors to whom correspondence should be addressed.
Agriculture 2025, 15(8), 863; https://doi.org/10.3390/agriculture15080863
Submission received: 25 March 2025 / Revised: 8 April 2025 / Accepted: 9 April 2025 / Published: 16 April 2025
(This article belongs to the Topic Biostimulants in Agriculture—2nd Edition)

Abstract

Biofertilizers derived from microalgae are increasingly used as promising materials for improving crop growth and development, producing fewer catastrophic environmental effects. Hence, the large-scale production of eco-friendly and broad-spectrum microalgae biofertilizers is mandatory. Therefore, this study was designed to examine the potential efficacy of isolated algae strains, such as Spirulina platensis, Spirulina maxima, and Chlorella vulgaris, to improve the growth and development of Pak Choi. A completely randomized design (CRD) was carried out, with five replications and six levels (0, 0.5, 1.0, 1.5, 2.0, and 2.5 g) of each microalga biofertilizer, using Pak Choi as the test plant. Treatment with microalgae biofertilizers was found to increase Pak Choi’s overall growth performance, biochemical development, and nutritional composition. The application of Spirulina platensis and Spirulina maxima microalgae at 2 g as a biofertilizer showed significant (p < 0.05) positive impacts on above- and below-ground biomass, photosynthetic parameters, biochemical composition, and the nutritional attributes of different parts of Pak Choi tissues. With the addition of biofertilizer, incorporating Chlorella vulgaris (2.5 g) showed remarkable (p < 0.05) impacts on the development of above- and below-ground biomass and biochemical and nutritional attributes. Thus, our results highlight that Chlorella vulgaris (2.5 g) outperforms other biofertilizer treatments and could be considered a sustainable approach for producing leafy vegetables.

1. Introduction

Increasing food demand and the continuous contamination of the environment have resulted in damage to the efficiency of natural resources for production due to the application of synthetic materials [1,2]. Frequent utilization of synthetic fertilizers is threatening the environment due to increasing greenhouse gas (GHG) emissions and is lowering soil and water quality by damaging biodiversity through eutrophication and potentially toxic elements (PTEs) (Pb, Cd, Ni, As, etc.) [3,4]. Adding excessive amounts of fertilizer not only damages the soil and environment but also affects humans through the contamination of the food supply chain with PTEs [5,6]. These negative impacts on humans and agricultural production systems reduce nutrient capture ability and soil quality, resulting in lower overall production [7]. Regarding this context, many approaches have been studied to enhance nutrient capture efficiencies and overall yields, such as new biostimulant testing, synthetic stimulant replacement [8], gene selection, gene alteration, wild domestication, new genotype creation, and the identification of quantitative trait loci (QTLs) [9]. Recent studies have focused on enhancing nutrient capture efficiency and reducing pollutants, which could be significantly improved through better crop fertilization [10]. In new fertilization strategies, the application of living or dead cells and biomolecules, other than or with synthetic fertilizers, in low concentrations to promote plant growth are known as biostimulants [11]. Among these, the application of microalgae as biostimulants has been recently studied [12].
Microalgae biofertilizers, such as biostimulants, are innovative, sustainable, and eco-friendly since they improve vegetable growth and development [13]. Biostimulants are materials that are potentially derived from artificial or natural resources and applied in low concentrations, which are capable of stimulating plant morphological and biochemical development under normal and stress conditions [14]. Thus, as biostimulants, microalgae (living or dead cells) can partially replace commercial synthetic fertilizers [13]. Partial applications of different microalgae species with synthetic or organic fertilizers have been widely reported [15]. The use of microalgae biostimulants has been reported to have various positive impacts on plants’ above- and below-ground biomass, leaf quality, biochemical composition, and increased overall productivity, even under biotic and abiotic stress [16]. Microalgae extracts positively influence plant physiology by regulating plant transcriptomic and metabolic mechanisms by acting on primary or secondary metabolic pathways, which generally lead to plant development [17]. The regulation of transcriptomic behavior leads to an increment in phytohormone production, especially auxin, abscisic acid, and jasmonic acid, potentially improving vegetable growth [18].
Microalgae species Spirulina and Chlorella can both produce phytohormones, exopolysaccharides, and intermediatory metabolites [12]. These biomolecules, in particular, through microalgae, positively impact seed germination, growth, yield, and plant defense mechanisms [19]. Applying the Chlorella vulgaris extract to Beta vulgaris seeds improves all calculated germination indices, root vigor, and other traits and also improves nutrient uptake [20]. The application of S. platensis produced from wastewater increases the growth and development of Chinese cabbage [21]. Similarly, applying S. platensis to Lupinus luteus increases its photosynthetic ability and yield [22]. Moreover, Spirulina and Chlorella have been successfully applied as biostimulants in agriculture for the production of different crops and vegetables [23,24]. Vegetables constitute a major component of human dietary nutrition, which is why it is important to evaluate the potential of microalgae strains for vegetable production [25].
Pak Choi (Brassica rapa subsp. chinensis) is among the few famous Chinese vegetables [26] that contain higher amounts of vitamin C (ascorbic acid) and vitamin K [27]. A shorter growth period, broad climate adaptations, and higher yield make it special among other vegetables [28]. Pak Choi is also considered one of the most essential vegetables globally, and its production has led to stability in the vegetable supply chain [29]. There is less research in the scientific literature on applying freshwater-isolated microalgae as biofertilizers to improve Pak Choi’s growth and development in terms of protein, carbohydrate, ascorbic acid, nitrate-nitrogen, and macronutrient composition. Thus, we hypothesized that freshwater microalgae as a biofertilizer might have characteristics that potentially improve Pak Choi’s growth and development. The prime concerns of this study are (1) the investigation of microalgae biofertilizers to potentially improve Pak Choi morphological attributes, proteins, ascorbic acid, carbohydrates, and nitrate-nitrogen contents and (2) the evaluation of microalgae biofertilizers to potentially improve macronutrient (NPK) composition in the tissues of leaves, stems, and roots in Pak Choi.

2. Materials and Methods

2.1. Microalgae Isolation from the Natural Environment

The collected freshwater samples from Xuanwu Lake, Nanjing (32 ° 2′59.9964″ N, 118°46′0.0120″ E) were used for the isolation of microalgae strains by serial dilution and plating methods. Strain identification was performed using light microscopy and morphological methods. Each monoalgal culture was observed at the cell level under light microscopy (Motic, BA210, Xiamen, China, ×400 and ×1000 magnifications). Spirulina platensis and Spirulina maxima isolated cells differentiated based on morphological observations, the helical diameter, and pitch of the internal structure (helix values > 35 to 50 pm and pitch of 80 pm as S. platensis and >50 to 60 pm and pitch of 60 pm as S. maxima) as described earlier [30]. Chlorella vulgaris identification was performed based on the taxonomic monograph of Chlorophyta, as followed by Minaoui et al. [25].

2.2. Biofertilizers from Algal Cultures

The culture of S. platensis and S. maxima of the same genera of Spirulina/Arthrospira/Limnospira and C. vulgaris of Chlorella maintained after isolation in the Jiangsu Provisional Key Laboratory of Marine Biology, College of Resources and Environmental Sciences, Nanjing Agricultural University, China, were used for the experiment. The modified Zarrouk and BG11 mediums for Spirulina and Chlorella were produced after sterilization at 121 °C for 20 min. S. platensis and S. maxima mono-inoculums of 50 mL were added in a 6 L container after the addition of 5.5 L Zarrouk medium [31] with some modifications (see Supplementary Table S1). The maintained mono-inoculum of C. vulgaris (50 mL) was transferred to a 6 L container after the addition of 5.5 L BG11 medium [32] with some modifications used as represented (see Supplementary Table S2). The growth cultures were continuously aerated in containers with an air circulation pump (ACO-004, Shanghai, China), and cultures were incubated at 24 °C ± 2 in a light/dark (16/8 h) period under cool white fluoresce light (Topstar, 28 W, 6500 K, Xiamen, China) with 40 µmol m−2 s−1 intensity.
After 16 days of cultivation, S. platensis and S. maxima at their exponential phase were harvested by filtration with 0.45 µm filter paper. Similarly, C. vulgaris, after 16 days of cultivation during the exponential phase, was harvested by centrifugation (Model L535R, Hanzhou, China) at 3174× g (4000 rpm) for 20 mins at 4 ° C. The collected biomass was resuspended in a growth medium (modified BG11), and the resuspended material was harvested after centrifugation (Model H1850R, Hanzhou, China) at 6793× g (8000 rpm) for 10 min at 4 ° C and supernatant removal was conducted. Continuous aerated cultures of Spirulina platensis and Spirulina maxima strains were suspended in modified Zarrouk and BG11 mediums to adjust the optical density at 750 nm (OD750) of ~ 0.01 after washing three times with distilled water. The obtained biomass of each alga was freeze-dried by the freeze dryer (Model FD-1A-50, Shanghai, China) for 48 h at −51 °C and ground to prepare the homogenous biofertilizer (Figure 1) [33].

2.3. Biofertilizer Analysis

Microalgae biofertilizers were analyzed for their pH using a pH meter (INESA PHS-3C) after their standardization, as described earlier [34]. For nutritional composition analysis, the microalgae biofertilizers sample was digested with a diacid (H2SO4-HClO4) mixture until a clear solution was obtained. After obtaining a clear solution, the nitrogen and phosphorus composition was analyzed using automatic flow analysis techniques [10]. Moreover, potassium contents of microalgae were analyzed after dilution with 1:6 via Inductively Coupled Plasma–Mass Spectrometry [35], as shown in Table 1.

2.4. Experimental Conditions

Vermiculite soil and Pak Choi seeds were bought from Nanjing Ideal Agricultural Science and Technology Co., Ltd., in Nanjing, China. Pak Choi seeds were placed on wet filter papers (Whatman number 42, circumference 90 mm) for 48 h under dark conditions and allowed to germinate. After germination, seedlings at the age of 2 days (48 h) were transplanted to a seedling plate containing vermiculite–perlite soil (2:1) for 14 days, and during these days, distilled water was applied twice a day via foliar application. After 14 days, young seedlings were transplanted into plastic pots (141 mm diameter × 139 mm height), and each pot contained about 500 g of vermiculite soil. Seedlings were grown in a growth chamber at 24 °C ± 2 in a light/dark (16/8 h) period under cool white fluoresce light (Topstar, 28 W, 6500 K, Xiamen, China) with 40 µmol m−2 s−1 intensity.

2.5. Treatment Plan

The biofertilizer powder was mixed in each pot according to each biofertilizer treatment plan to test the potential efficacy of isolated microalgae strains. Therefore, in our experiment, there were six (06) treatments with five repetitions of each microalga biofertilizer. Treatments presented as follows: (i) CK: recommended NPK (N: P2O5 and K2O as 0.139, 0.0824 and 0.0572 g/500 g of vermiculite soil); (ii) T1: 0.5 g/500 g of vermiculite soil; (iii) T2: 1 g/500 g of vermiculite soil; (iv) T3: 1.5 g/500 g of vermiculite soil; (v) T4: 2 g/500 g of vermiculite soil; and (vi) T5: 2.5 g/500 g of vermiculite soil (see visualization in Figure 2). After biofertilizer application, in each pot, 2 seedlings were transplanted and harvested after 45 days of transplantation. From each treatment, 10 plants were selected for testing, of which 5 were used to determine the morphological characteristics (plant height, stem diameter, number of leaves, maximum leaf length × width, plant fresh weight, plant dry weight, root length, root diameter, root fresh weight, and root dry weight) and the remaining 5 plants were used for the estimation of chlorophyll (a, b, and total), carotenoid, biochemical (protein, carbohydrate, ascorbic acid, and nitrate-nitrogen), and nutritional (nitrogen, phosphorus and potassium) composition.

2.6. Plant Biochemical Analysis

Chlorophyll a, b, total, and carotenoid contents were determined in 80% (v/v) acetone solution and absorbance reads at A663, A645, and A470 using a spectrophotometer (Model P1, Mepda, Shanghai, China). The Arnon [36] and Lichtenthaler and Wellburn [37] equations were used to calculate chlorophyll and carotenoid levels, respectively. Bradford [38] employed a method of standard Coomassie Brilliant Blue, which was used to estimate the protein in leaf and stem samples separately. Carbohydrate contents in stem and leaf samples of Pak Choi tissues were calculated by employing the Phenol-Sulphuric acid procedure separately [39].
Salicylic acid-sulphuric acid colorimetry was used to estimate the nitrate-nitrogen contents in Pak Choi leaf and stem tissues, followed by DuBois et al. [40]. Additionally, plant material was cut and weighed into 3 parts of 2 g each, placed into graduated test tubes, had 10 mL of deionized water added to it, was sealed with the glass beads, and put into the boiling water for 30 min. After boiling, the water was filtered into a 25 mL volumetric flask and filled to the mark. From 25 mL of the sample solution, 0.1 mL (100 µL) was drawn into 3 graduated 10 mL test tubes; then, 0.4 mL (400 µL) of Salicylic acid-sulphuric acid solution (5%) was added, mixed well, and stood for 20 mins before 9.5 mL of 8% NaOH was slowly added, after cooling at room temperature with an absorbance read at 410 nm using a spectrophotometer (Model P1, Mepda, China).
A standard procedure of indophenol–xylene was employed to determine the ascorbic acid contents in plant leaf and stem samples, as described by Robinson et al. [41]. We weighed 2 g of leaf and stem samples homogenized with 2% oxalic acid, and then a homogenate was poured into 100 mL of a volumetric flask. After that, 30% zinc sulfate and 15% potassium ferrocyanide were added to each flask at about 1 mL to remove fat-soluble pigments and fill the flask up to the mark. Furthermore, 4 mL of the sample was drawn from the sample solution, mixed with 2 mL of dye solution (100 mg of 2,6-dichlorophenol indophenol and 82 mg of sodium bicarbonate with 4 times dilution); then, 5 mL of analytically pure xylene (≥99%) was added, and the absorbance read was obtained at 500 nm by using a spectrophotometer (Model P1, Mepda, China).
The macronutrient (nitrogen, phosphorus, and potassium) analysis of different parts of Pak Choi tissues, such as the root, stem, and leaf, was performed by digestion with the di-acid mixture (H2SO4-HClO4) at 280 °C until a clear solution was obtained [42,43]. After obtaining a clear solution, plant nitrogen and phosphorus contents were determined using an automated flow analysis [10]. Moreover, plant potassium contents were analyzed after dilution with 1:6 via Inductively Coupled Plasma–Mass Spectrometry [35].

2.7. Statistical Analysis

A completely randomized design (CRD) was employed with six (06) treatments and five (05) replications of each, giving a total of 30 experimental samples (N) from each biofertilizer, and collected data were subjected to one-way analysis of variance (ANOVA) using SPSS 20.0 (SPSS Inc., Chicago, IL, USA) to evaluate the potential of microalgae biofertilizers to improve Pak Choi growth and development. The Tuckey HSD was employed for multiple mean comparisons at p < 0.05 [44]. OriginPro 2024b (Origin Lab Inc., Northampton, MA, USA) created a graphical representation and access to all software was provided by Nanjing Agricultural University, China.

3. Results

3.1. Effect of Biofertilizers on the Morphology of Above-Ground Biomass

Microalgae biofertilizers showed significant improvement in the morphological development of above-ground biomass over the control (Figure 3). All biofertilizer treatments revealed significant (p < 0.05) development in plant height, the number of leaves, maximum leaf length × width, plant fresh weight, and dried plant weight over the control. Regarding S. platensis and S. maxima, the highest rate of development in the plant above-ground biomass was observed with 2 g of application. Furthermore, maximum development in above-ground morphology, such as for plant height, stem diameter, the number of leaves, maximum leaf length × width, plant fresh weight, and plant dry weight, increased by 24%, 31%, 38%, 32%, 8%, and 55%, respectively, over the control for S. platensis application. Likewise, S. maxima reasonably improved the above-ground plant morphology of plant height, stem diameter, the number of leaves, maximum leaf length × width, plant fresh weight, and plant dry weight, which increased by 78%, 75%, 58%, 203%, 111%, and 55%, respectively, over the control. C. vulgaris application leads to the maximum development in plant height, stem diameter, number of leaves, maximum leaf length × width, plant fresh weight, and plant dry weight, with increases of 72%, 67%, 78%, 232%, 146%, and 216%, respectively, over the control.

3.2. Effect of Biofertilizers on the Morphology of Below-Ground Biomass

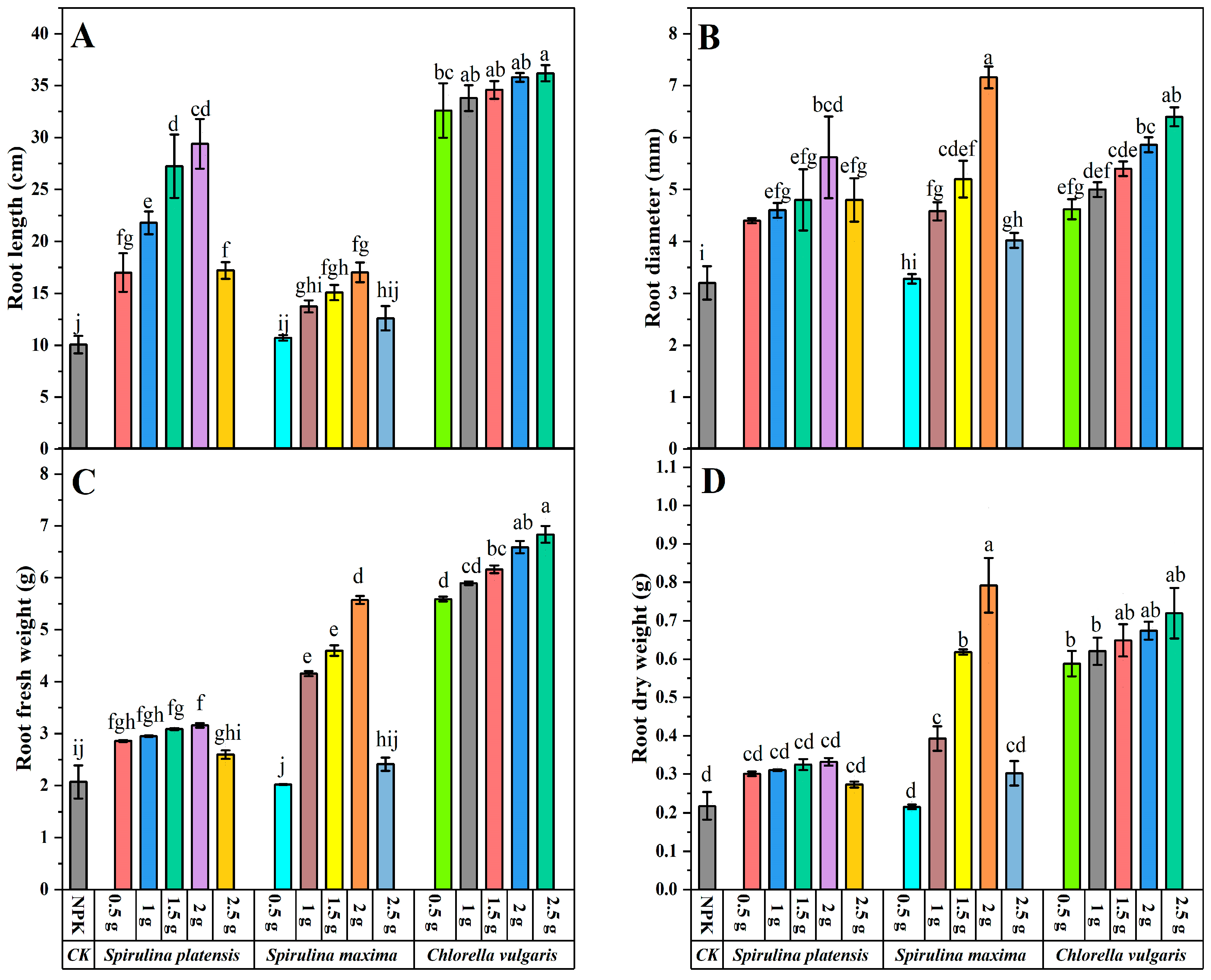
The morphology of the below-ground biomass of Pak Choi was developed following the above-ground biomass development. The applications of S. platensis and S. maxima (2 g) caused a significant (p < 0.05) improvement in root length, root diameter, root fresh weight, and root dry weight over control (Figure 4). The maximum root length, root diameter, root fresh weight, and root dry weight increased by 192%, 76%, 53%, and 53%, respectively, relative to the control, where S. platensis was mixed with the soil at 2 g. The application of S. maxima to Pak Choi showed similar development in below-ground biomass for the maximum root length, root diameter, root fresh weight, and root dry weight, which improved by 69%, 124%, 169%, and 264%, respectively, relative to the control. Similarly, the application of C. vulgaris (2.5 g) showed remarkable improvement in below-ground biomass, leading to the maximum development in root length, root diameter, root fresh weight, and root dry weight, which increased by 260%, 100%, 230%, and 231%, respectively, relative to the control. The application of C. vulgaris showed the highest possible development in the below-ground morphology of plants in their relevance to other species.

3.3. Effect of Biofertilizers on Chlorophyll and Carotenoid Contents

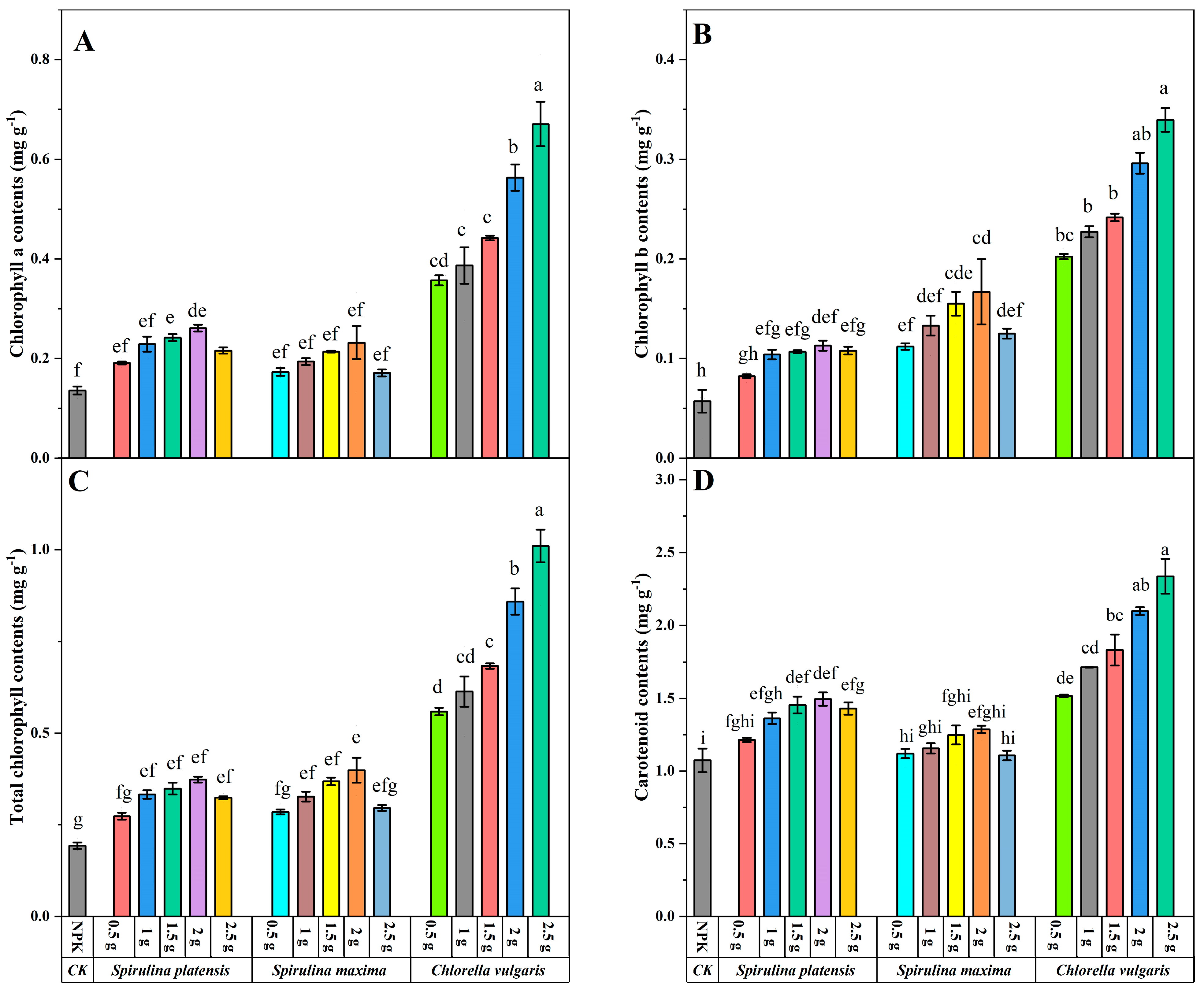
The maximum improvement in chlorophyll a, b, total, and carotenoid contents increased by 92, 98, 94, and 39%, respectively, over the control in S. platensis (Figure 5A–D). Likewise, positive effects of S. maxima were observed regarding chlorophyll a, b, total, and carotenoid contents as their levels improved by 71%, 192%, 107%, and 20%, respectively, relative to the control. Similarly, the application of C. vulgaris at 2.5 g led to the significant development of chlorophyll a, b, total, and carotenoids as increments observed by 394%, 493%, 423%, and 118%, respectively, over the control.

3.4. Effect of Biofertilizers on Biochemical Composition

Protein contents in the leaf and stem of Pak Choi improved by 48% and 37%, respectively, compared to the control, where S. platensis was applied at 2 g. Likewise, soluble protein contents in the Pak Choi leaf and stem improved by 102% and 84% in both tissues by applying S. maxima. Furthermore, applying C. vulgaris at 2.5 g increased soluble protein contents to a maximum level of 561% and 495% in the Pak Choi leaf and stem, respectively, over the control (Figure 6A,B).
Carbohydrate contents are considered a vital component for vegetable quality, and the application of microalgae biofertilizers efficiently improves the carbohydrate level in Pak Choi. The application of S. platensis at 2 g led to the maximum improvement in carbohydrate levels in the leaf (4.025%) and stem (5.707%), which were increased by 93% and 35% over the control (Figure 6C,D). Likewise, the application of S. maxima at 2 g led to the maximum improvement in leaf (4.025%) and stem (5.707%) carbohydrate levels, and this concentration increased by 209% and 85% over the control. Similarly, the application of C. vulgaris at 2.5 g led to the maximum improvement in carbohydrate concentration in the leaf (4.025%) and stem (5.707%), which was improved by 419% and 184% over the control. After that, among all three biofertilizers, the application of C. vulgaris at 2.5 g was solely responsible for the maximum improvement in leaf and stem protein and carbohydrate contents, and the sequence of effectiveness was formed as Chlorella vulgaris > Spirulina maxima > Spirulina platensis.
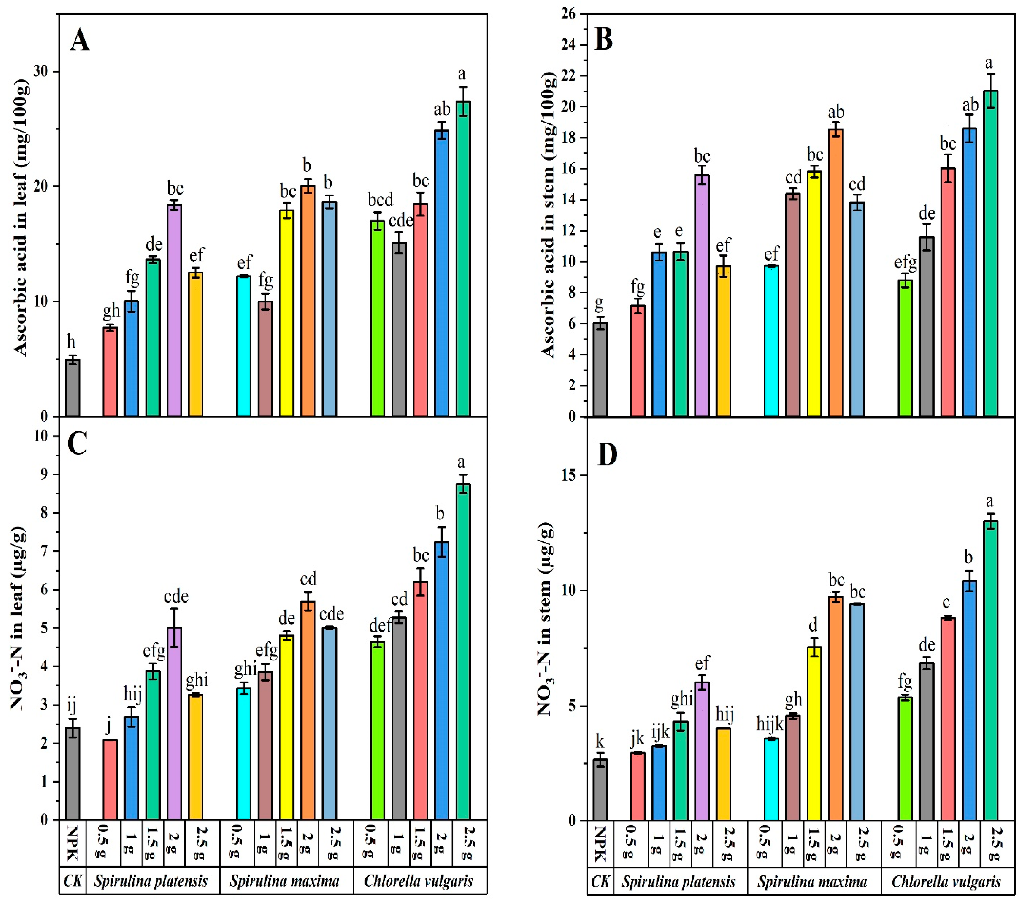
Adding S. platensis and S. maxima at 2 g significantly improved leaf tissue ascorbic acid contents by 273% and 306%, respectively, over the control. Similarly, over the control, ascorbic acid contents in stem tissues improved by 158% and 207%, respectively. Likewise, adding C. vulgaris at 2.5 g was responsible for the reasonable improvement in the ascorbic acid contents of leaf and stem tissue by 455% and 248%, respectively, relative to the control (Figure 7A,B). The level of nitrate-nitrogen was elevated similarly to other biochemical parameters, and the addition of microalgae biofertilizers was responsible for the elevation of maximum levels. The addition of S. platensis and S. maxima at 2 g was responsible for the maximum improvement in Pak Choi leaf tissues by 108% and 137%, respectively, and in stem tissues by 126% and 266%, respectively, relative to the control. Likewise, adding C. vulgaris at 2.5 g improved nitrate-nitrogen levels in leaf and stem tissues by 264% and 389%, respectively, over the control (Figure 7C,D).

3.5. Effect of Biofertilizers on the Macronutrient Composition of Pak Choi Tissues

The results obtained from the current study revealed that adding microalgae species as biofertilizers significantly (p < 0.05) improves the nitrogen, phosphorus, and potassium levels in Pak Choi tissues (Figure 8). The application of S. platensis at 2 g efficiently improves the nitrogen, phosphorus, and potassium levels by 3.22-, 4.39-, and 1.66-fold, respectively, relative to the control in Pak Choi leaf tissues. Likewise, stem nutritional composition improved by 7.61-, 4.39-, and 1.57-fold for nitrogen, phosphorus, and potassium, respectively, relative to the control. At the same time, the root composition of nitrogen, phosphorus, and potassium improved by 21.47-, 6.88-, and 2.96-fold, respectively, over the control (Figure 8).
The highest possible improvement in nitrogen, phosphorus, and potassium contents in Pak Choi leaves was 4.02-, 4.61-, and 1.7-fold, respectively, over the control for the application of S. maxima at 2 g. Stem tissues showed similar improvement in total nitrogen, phosphorus, and potassium levels by 4.57-, 2.78-, and 1.82-fold, respectively, over the control. Regarding root composition under S. maxima application (2 g), it improved by 3.74-, 3.33-, and 1.81-fold for total nitrogen, phosphorus, and potassium contents, respectively, over the control (Figure 8).
The application of C. vulgaris at 2.5 g to the soil for Pak Choi growth yielded the most significant possible improvement in macronutrient levels in their tissues. In the leaves of Pak Choi tissues, the maximum level of total nitrogen, phosphorus, and potassium was observed to improve by 7.85, 6.3, and 2.8 times, respectively, over the control due to C. vulgaris application. Similarly, accumulations of total nitrogen, phosphorus, and potassium in the stem improved up to maximum levels of 9.4, 3.94, and 2.98 times, respectively, over the control. Likewise, adding C. vulgaris at 2.5 g led to the highest possible development of total nitrogen, phosphorus, and potassium levels, which increased by 6.8, 4.66, and 2.84 times, respectively, over the control (Figure 5). Thus, the improvement in overall nutritional composition yields the sequence of biofertilizer potential, which is formed as follows: Chlorella vulgaris > Spirulina maxima > Spirulina platensis.

4. Discussion

In the present study, microalgae biofertilizer application improved the morphology of Pak Choi’s above and below-ground characteristics. According to the current observed results, the application of S. platensis and S. maxima improved the biomass of Pak Choi at 2 g, but at higher concentrations (2.5 g), a decline in Pak Choi’s morphology regarding its above- and below-ground biomass was observed. Pak Choi’s morphological characteristics started to decline at higher S. platensis and S. maxima applications due to the formation of an alkaline environment (see Supplementary Table S3) during the growth phase [45]. On the contrary, applying C. vulgaris at 2.5 g efficiently improves Pak Choi morphological characteristics due to forming a less alkaline environment (see Supplementary Table S3). Pak Choi roots most suitably absorb nitrogen, phosphorus, and other nutrients from the soil under slightly acidic to neutral conditions [46]. Meanwhile, root length was observed to be greater in response to tolerating the alkaline conditions formed due to the release of basic cations after the complete decomposition of microalgae biomass [47]. Another possibility of an increase in root length is due to microalgae having the intrinsic potential for the production of Indole-3-acetic acid (IAA) [48].
The treatment of wheat plants with crude enzymes and the filtrate of C. vulgaris is responsible for the improvement in root length (62.82%), shoot length (71.36%), root fresh (391.67%), and dry biomass (370.38%) [16]. Similarly, applying C. sorokiniana crude enzymes and filtrate to wheat crops significantly affected above- and below-ground biomass development [49]. Additionally, Wang et al. [45] stated that isolated living C. vulgaris cells from an aquatic environment promote wheat growth in terms of shoot (44.44%), root (52.41%), and dry weight (13.86%). Similarly, Renuka et al. [50] reported that adding microalgae enhances nutrient availability. Meanwhile, a higher composition of nutrients in microalgae biofertilizers leads to the enhancement of respective soil nutrient levels and their availability [51]. Regarding nutrient availability under slightly acidic-to-neutral soil environments, Pak Choi responds to rapid above- and below-ground biomass development [52].
Phytohormones produced by microalgae are responsible for the significantly faster cellular metabolism of Pak Choi [53]. The release of N, P, K, and auxin by microalgae has various roles in plant physiological mechanisms such as photosynthesis, cell division, and cell elongation, reflecting good plant growth and development [54]. Generally, microalgae have an intrinsic ability to produce metabolites that improve plant growth, chlorophyll contents, and overall yield [55]. Released metabolites assimilate many nutrients that sufficiently promote chlorophyll synthesis [56]. Moreover, the addition of microalgae is responsible for higher photosynthetic activity and CO2 assimilations. As previously reported, the application of Chlorella sp. and C. vulgaris to Zea mays [57] and black gram Vigna mungo [58] can improve the chlorophyll content.
In addition to chlorophyll contents, plant-soluble protein and polysaccharide contents increased effectively in Lactuca sativa [59] and Triticum aestivum [60] after C. vulgaris application. Thus, protein synthesis turnover in growing plants is an essential component of metabolic regulations that provide variations in enzymatic complement [61]. The protein level in the leaf and stem tissues of Pak Choi increased due to the formation of a suitable amount of varied amino acids and the presence of the NH3 group [62]. Protein, carbohydrate, and ascorbic acid levels were efficiently improved regarding microbial biofertilizer applications to Pak Choi [63]. Applying microalgae biofertilizers enhances the availability of nutrients responsible for increased carbohydrate and ascorbic acid levels [63].
Aligned with our results, green leafy vegetables, particularly spinach, Chinese cabbage, funnel, and rocket, are naturally nitrate-rich [64]. Similarly to sugars, higher nitrate concentrations in leafy vegetables were found to be non-toxic substances for humans [65]. Thus, the improvement in nitrate-nitrogen contents in Pak Choi tissues is considered a plus point for improvements in quality (Figure 5C,D). The current study aligned with the findings of Ammar et al. [13], which stated that adding microalgae biofertilizers improves the nitrate-nitrogen content in different plant tissues.
Mineral nutrients are crucial for plant growth, and macronutrients are probably the most limiting factor for plant growth [66]. A previous study showed that higher concentrations of P and K increase root length, indicating an increase in root biomass and the uptake of more available nutrients [67]. Microalgae biofertilizers decompose gradually and release beneficial compounds. It was already established that incorporating the living cells of C. vulgaris in soil transferred mineral nutrients readily available to the roots [68].
Moreover, there is an increase in soil nitrogen contents due to nitrogen-fixing bacteria in the rhizosphere and Chlorella sp. [69]. Similarly, C. sorokiniana promotes bacterial richness in soil [70]. Additionally, the incorporation of Chlorella sp. into the soil body leads to the faster mineralization of microalgae biomass and makes nitrogen and phosphorus available to plants [71,72]. C. vulgaris has the potential to assimilate P and other nutrients in the soil, improving N and P contents in the shoots and leaves of wheat [50,73]. The release of more nitrogen and phosphorus by microbial biofertilizer decomposition and the higher availability of these nutrients leads to more rapid growth [74]. The incorporation of microalgae released 30–70% more available nitrogen and phosphorus due to higher microbial and enzymatic activity within the soil system [75].
The formation of an alkaline environment in microalgae biomass results in the growth promotion of potassium-solubilizing bacteria [76]. Another possible reason for the increase in soil pH is the secretion of extracellular compounds by microalgae [77]. Potassium contents in Pak Choi tissues increased to the maximum level due to higher contents of potassium in microalgae biofertilizers (Table 1). Another possible reason for the higher K contents in Pak Choi was its leafy nature, as other vegetables such as spinach, Chinese cabbage, funnel, and rocket are rich in K contents [78]. Thus, the suitability of the environment and higher K contents in applied microalgae are responsible for the maximum rise in K contents in the roots, stems, and leaves of Pak Choi.

5. Future Prospectus

The use of ecosystem-friendly biofertilizers is the true future of a sustainable production system. It is expected that the use of microbial biofertilizers will replace synthetic fertilizers in the true agricultural world due to their zero catastrophic effects and the fact that they are easily degradable within the soil system [13]. The production and use of microalgae biofertilizers are considered a sustainable replacement for synthetic fertilizers [25]. Additionally, microalgae biofertilizers are produced by commercial medium preparation [61], but water scarcity in the developing world is a critical scenario that may limit their production. Fortunately, microalgae have the potential to grow in wastewater and produce a huge biomass compared to fresh medium, as there is no limit to available carbon sources and nutrients [79]. Thus, wastewater-produced microalgae biofertilizers and the addition of nano-materials via nanotechnology to biofertilizers might provide enough potential for plants to resist biotic and abiotic stressors [13]. Thus, in relation to our study findings, in the future, only biofertilizers will be used for the production of vegetables and crops. Already, various studies are available that prove the beneficial impacts of partial synthetic fertilizer replacement [14], but less research in the literature is recognized that justifies the complete replacement of commercial fertilizers [25]. However, further studies are required to be carried out on direct and indirect microalgae biomass inoculations on vegetables or crops individually or in consortia.

6. Conclusions

The current study deals with the isolation of Spirulina platensis, Spirulina maxima, and Chlorella vulgaris from freshwater and their application to Pak Choi to improve growth and development. The study outcomes highlight that the microalgal treatment effect on Pak Choi is dose-dependent, as S. platensis and S. maxima were the most effective at 2 g, and C. vulgaris was most effective at 2.5 g for Pak Choi growth stimulations. Moreover, the incorporation of C. vulgaris incorporation (2.5 g) is considered the most effective way to improve Pak Choi’s above- and below-ground morphology, biochemical composition (chlorophyll, protein, carbohydrate, ascorbic acid, and nitrate-nitrogen contents), and tissue nutritional composition (N, P, and K). The results regarding S. platensis and S. maxima revealed a positive influence on Pak Choi at a certain limit over the control. After comparing microalgal biofertilizers, efficiency revealed the effectiveness sequence for Pak Choi growth and development as follows: Chlorella vulgaris > Spirulina maxima > Spirulina platensis. Therefore, microalgae biofertilizer applications and dosage optimization need more research to assess their potential in terms of soil properties and enhancing Pak Choi’s biochemical (biomolecules) and nutritional (macro and micronutrient) values.

Supplementary Materials

The following supporting information can be downloaded at https://www.mdpi.com/article/10.3390/agriculture15080863/s1. Supplementary file contains elements as variation among the pH of microalgae biofertilizers and soil condition. The cited references are recognized in an additional file as [45,77,78,79,80].

Author Contributions

Writing—review and editing, writing—original draft, formal analysis, visualization, conceptualization, S.A.; writing—review and editing, writing—original draft, formal analysis, visualization, conceptualization. J.Y., Y.Q. and T.W.; project administration, resources, inoculum and samples management, formal analysis. M.H.; conceptualization, writing—original draft writing—review and editing, supervision, project administration, funding acquisition resources, C.W. All authors have read and agreed to the published version of the manuscript.

Funding

This research was funded by the National Natural Science Foundation of China (42076138, 32171625).

Institutional Review Board Statement

Not applicable.

Data Availability Statement

The data regarding the current research work are presented in this article and related additional files.

Conflicts of Interest

The authors declare that they have no known competing financial interests or personal relationships.

References

  1. Tchonkouang, R.D.; Onyeaka, H.; Nkoutchou, H. Assessing the vulnerability of food supply chains to climate change-induced disruptions. Sci. Total Environ. 2024, 920, 171047. [Google Scholar] [CrossRef]
  2. Rodrigues, S.M.; Demokritou, P.; Dokoozlian, N.; Hendren, C.O.; Karn, B.; Mauter, M.S.; Sadik, O.A.; Safarpour, M.; Unrine, J.M.; Viers, J. Nanotechnology for sustainable food production: Promising opportunities and scientific challenges. Environ. Sci. Nano 2017, 4, 767–781. [Google Scholar] [CrossRef]
  3. Pan, D.; Kong, F.; Zhang, N.; Ying, R. Knowledge training and the change of fertilizer use intensity: Evidence from wheat farmers in China. J. Environ. Manag. 2017, 197, 130–139. [Google Scholar] [CrossRef]
  4. Řezbová, H.; Slaboch, J.; Mach, J. Emissions from managed agricultural soils in context of consumption of inorganic nitrogen fertilisers in selected EU Countries. Agronomy 2023, 13, 159. [Google Scholar] [CrossRef]
  5. Fakhri, Y.; Bjørklund, G.; Bandpei, A.M.; Chirumbolo, S.; Keramati, H.; Pouya, R.H.; Asadi, A.; Amanidaz, N.; Sarafraz, M.; Sheikhmohammad, A. Concentrations of arsenic and lead in rice (Oryza sativa L.) in Iran: A systematic review and carcinogenic risk assessment. Food Chem. Toxicol. 2018, 113, 267–277. [Google Scholar] [CrossRef] [PubMed]
  6. Jannin, L.; Arkoun, M.; Etienne, P.; Laîné, P.; Goux, D.; Garnica, M.; Fuentes, M.; Francisco, S.S.; Baigorri, R.; Cruz, F. Brassica napus growth is promoted by Ascophyllum nodosum (L.) Le Jol. seaweed extract: Microarray analysis and physiological characterization of N, C, and S metabolisms. J. Plant Growth Regul. 2013, 32, 31–52. [Google Scholar] [CrossRef]
  7. Drobek, M.; Frąc, M.; Cybulska, J. Plant biostimulants: Importance of the quality and yield of horticultural crops and the improvement of plant tolerance to abiotic stress—A review. Agronomy 2019, 9, 335. [Google Scholar] [CrossRef]
  8. Salgotra, R.K.; Stewart, C.N., Jr. Genetic augmentation of legume crops using genomic resources and genotyping platforms for nutritional food security. Plants 2022, 11, 1866. [Google Scholar] [CrossRef]
  9. Li, T.; Wang, Z.; Wang, C.; Huang, J.; Feng, Y.; Shen, W.; Zhou, M.; Yang, L. Ammonia volatilization mitigation in crop farming: A review of fertilizer amendment technologies and mechanisms. Chemosphere 2022, 303, 134944. [Google Scholar] [CrossRef]
  10. Craigie, J.S. Seaweed extract stimuli in plant science and agriculture. J. Appl. Phycol. 2011, 23, 371–393. [Google Scholar] [CrossRef]
  11. Sánchez-Quintero, Á.; Fernandes, S.C.; Beigbeder, J.-B. Overview of microalgae and cyanobacteria-based biostimulants produced from wastewater and CO2 streams towards sustainable agriculture: A review. Microbiol. Res. 2023, 277, 127505. [Google Scholar] [CrossRef] [PubMed]
  12. Ammar, E.E.; Aioub, A.A.; Elesawy, A.E.; Karkour, A.M.; Mouhamed, M.S.; Amer, A.A.; El-Shershaby, N.A. Algae as Bio-fertilizers: Between current situation and future prospective. Saudi J. Biol. Sci. 2022, 29, 3083–3096. [Google Scholar] [CrossRef]
  13. Tolisano, C.; Del Buono, D. Biobased: Biostimulants and biogenic nanoparticles enter the scene. Sci. Total Environ. 2023, 885, 163912. [Google Scholar] [CrossRef] [PubMed]
  14. Lu, Q.; Xiao, Y. From manure to high-value fertilizer: The employment of microalgae as a nutrient carrier for sustainable agriculture. Algal Res. 2022, 67, 102855. [Google Scholar] [CrossRef]
  15. Miranda, A.M.; Hernandez-Tenorio, F.; Villalta, F.; Vargas, G.J.; Sáez, A.A. Advances in the Development of Biofertilizers and Biostimulants from Microalgae. Biology 2024, 13, 199. [Google Scholar] [CrossRef]
  16. Santoro, D.F.; Puglisi, I.; Sicilia, A.; Baglieri, A.; La Bella, E.; Lo Piero, A.R. Transcriptomic profile of lettuce seedlings (Lactuca sativa) response to microalgae extracts used as biostimulant agents. AoB Plants 2023, 15, plad043. [Google Scholar] [CrossRef]
  17. Ali, O.; Ramsubhag, A.; Jayaraman, J. Transcriptome-wide modulation by Sargassum vulgare and Acanthophora spicifera extracts results in a prime-triggered plant signalling cascade in tomato and sweet pepper. AoB Plants 2022, 14, plac046. [Google Scholar] [CrossRef]
  18. Zhang, Z.; Xu, M.; Fan, Y.; Zhang, L.; Wang, H. Using microalgae to reduce the use of conventional fertilizers in hydroponics and soil-based cultivation. Sci. Total Environ. 2024, 912, 169424. [Google Scholar] [CrossRef] [PubMed]
  19. Puglisi, I.; Barone, V.; Fragalà, F.; Stevanato, P.; Baglieri, A.; Vitale, A. Effect of microalgal extracts from Chlorella vulgaris and Scenedesmus quadricauda on germination of Beta vulgaris seeds. Plants 2020, 9, 675. [Google Scholar] [CrossRef]
  20. Wuang, S.C.; Khin, M.C.; Chua, P.Q.D.; Luo, Y.D. Use of Spirulina biomass produced from treatment of aquaculture wastewater as agricultural fertilizers. Algal Res. 2016, 15, 59–64. [Google Scholar] [CrossRef]
  21. Shedeed, Z.A.; Gheda, S.; Elsanadily, S.; Alharbi, K.; Osman, M.E. Spirulina platensis biofertilization for enhancing growth, photosynthetic capacity and yield of Lupinus luteus. Agriculture 2022, 12, 781. [Google Scholar] [CrossRef]
  22. Suchithra, M.; Muniswami, D.M.; Sri, M.S.; Usha, R.; Rasheeq, A.A.; Preethi, B.A.; Dineshkumar, R. Effectiveness of green microalgae as biostimulants and biofertilizer through foliar spray and soil drench method for tomato cultivation. S. Afr. J. Bot. 2022, 146, 740–750. [Google Scholar] [CrossRef]
  23. Kusvuran, S. Microalgae (Chlorella vulgaris Beijerinck) alleviates drought stress of broccoli plants by improving nutrient uptake, secondary metabolites, and antioxidative defense system. Hortic. Plant J. 2021, 7, 221–231. [Google Scholar] [CrossRef]
  24. Minaoui, F.; Hakkoum, Z.; Chabili, A.; Douma, M.; Mouhri, K.; Loudiki, M. Biostimulant effect of green soil microalgae Chlorella vulgaris suspensions on germination and growth of wheat (Triticum aestivum var. Achtar) and soil fertility. Algal Res. 2024, 82, 103655. [Google Scholar] [CrossRef]
  25. Zhang, Z.Y.; Zhang, C.Z.; Liu, X.J.; Hong, X.Y. Dynamics of pesticide residues in the autumn Chinese cabbage (Brassica chinensis L.) grown in open fields. Pest Manag. Sci. Former. Pest. Sci. 2006, 62, 350–355. [Google Scholar] [CrossRef] [PubMed]
  26. Gantumar, G.; Jo, M.H.; Igori, D.; Ham, I.K.; Lee, E.M.; Lee, W.-H.; Lim, Y.; An, G.; Park, J.-T. Nutritional evaluation and comparison of new Pak Choi cultivars from China with Chinese cabbage cultivars popular in Korea. J. Korean Soc. Food Sci. Nutr. 2013, 42, 1412–1418. [Google Scholar] [CrossRef]
  27. Hong, J.; Gruda, N.S. The potential of introduction of Asian vegetables in Europe. Horticulturae 2020, 6, 38. [Google Scholar] [CrossRef]
  28. Shan, Y.; Sun, Y.; Tao, W.; Su, L. Effects of Oxygenated Brackish Water on Pakchoi (Brassica chinensis L.) Growth Characteristics Based on a Logistic Crop Growth Model. Agriculture 2023, 13, 1345. [Google Scholar] [CrossRef]
  29. Ciferri, O. Spirulina, the edible microorganism. Microbiol. Rev. 1983, 47, 551–578. [Google Scholar] [CrossRef]
  30. Zarrouk, C. Contribution a l’etude d’une Cyanophycee: Influence de Divers Facteurs Physiques et Chimiques sur la Croissance et la Photosynthese de Spirulina Mixima. Ph.D. Thesis, University of Paris, Paris, France, 1966. [Google Scholar]
  31. Vonshak, A. Micro-algae: Laboratory growth techniques and outdoor biomass production. In Techniques in Bioproductivity and Photosynthesis; Elsevier: Amsterdam, The Netherlands, 1985; pp. 188–200. [Google Scholar]
  32. Singh, G.; Patidar, S. Microalgae harvesting techniques: A review. J. Environ. Manag. 2018, 217, 499–508. [Google Scholar] [CrossRef]
  33. Bashir, S.; Bashir, S.; Gulshan, A.B.; Khan, M.J.; Iqbal, J.; Sherani, J.; Husain, A.; Ahmed, N.; Shah, A.N.; Bukhari, M.A. The role of different organic amendments to improve maize growth in wastewater irrigated soil. J. King Saud Uni. Sci. 2021, 33, 101583. [Google Scholar] [CrossRef]
  34. Dundar, M.S.; Altundağ, H. Determination of some major and trace elements in the lower Sakarya River water by ICP-MS. J. Chem. Metrol. 2018, 12, 128–129. [Google Scholar] [CrossRef]
  35. Arnon, D.I. Copper enzymes in isolated chloroplasts. Polyphenoloxidase in Beta vulgaris. Plant Physiol. 1949, 24, 1–15. [Google Scholar] [CrossRef]
  36. Lichtenthaler, H.K.; Wellburn, A.R. Determinations of total carotenoids and chlorophylls a and b of leaf extracts in different solvents. Biochem. Soc. Trans. 1983, 11, 591–592. [Google Scholar] [CrossRef]
  37. Bradford, M.M. A rapid and sensitive method for the quantitation of microgram quantities of protein utilizing the principle of protein-dye binding. Anal. Biochem. 1976, 72, 248–254. [Google Scholar] [CrossRef]
  38. DuBois, M.; Gilles, K.A.; Hamilton, J.K.; Rebers, P.t.; Smith, F. Colorimetric method for determination of sugars and related substances. Anal. Chem. 1956, 28, 350–356. [Google Scholar] [CrossRef]
  39. Cataldo, D.; Maroon, M.; Schrader, L.E.; Youngs, V.L. Rapid colorimetric determination of nitrate in plant tissue by nitration of salicylic acid. Commun. Soil Sci. Plant Anal. 1975, 6, 71–80. [Google Scholar] [CrossRef]
  40. Robinson, W.B.; Stotz, E. The indophenolxylene extraction method for ascorbic acid and modifications for interfering substances. J. Biol. Chem. 1945, 160, 217–225. [Google Scholar] [CrossRef]
  41. Steel, R.G.; Torrie, J.H.; Dicky, D. Principles and Procedures of Statistics, A Biometrical Approach; McGraw Hill: New York, NY, NSA, 1997; pp. 352–358. [Google Scholar]
  42. Wang, T.; Cheng, K.; Huo, X.; Meng, P.; Cai, Z.; Wang, Z.; Zhou, J. Bioorganic fertilizer promotes pakchoi growth and shapes the soil microbial structure. Front. Plant Sci. 2022, 13, 1040437. [Google Scholar] [CrossRef]
  43. Ma, Q.; Cao, X.; Xie, Y.; Gu, Y.; Feng, Y.; Mi, W.; Yang, X.; Wu, L. Effect of pH on the uptake and metabolism of glycine in pak choi (Brassica chinensis L.). Environ. Exp. Bot. 2017, 133, 139–150. [Google Scholar] [CrossRef]
  44. Ma, Q.; Cao, X.; Wu, L.; Mi, W.; Feng, Y. Light intensity affects the uptake and metabolism of glycine by pakchoi (Brassica chinensis L.). Sci. Rep. 2016, 6, 21200. [Google Scholar] [CrossRef] [PubMed]
  45. Parmar, P.; Kumar, R.; Neha, Y.; Srivatsan, V. Microalgae as next generation plant growth additives: Functions, applications, challenges and circular bioeconomy based solutions. Front. Plant Sci. 2023, 14, 1073546. [Google Scholar] [CrossRef] [PubMed]
  46. Kholssi, R.; Lougraimzi, H.; Moreno-Garrido, I. Effects of global environmental change on microalgal photosynthesis, growth and their distribution. Mar. Environ. Res. 2023, 184, 105877. [Google Scholar] [CrossRef]
  47. Renuka, N.; Prasanna, R.; Sood, A.; Bansal, R.; Bidyarani, N.; Singh, R.; Shivay, Y.S.; Nain, L.; Ahluwalia, A.S. Wastewater grown microalgal biomass as inoculants for improving micronutrient availability in wheat. Rhizosphere 2017, 3, 150–159. [Google Scholar] [CrossRef]
  48. Castro, I.M.P.; Rosa, A.; Borges, A.; Cunha, F.; Passos, F. The effects of microalgae use as a biofertilizer on soil and plant before and after its anaerobic (co-) digestion with food waste. Sci. Total Environ. 2024, 934, 173301. [Google Scholar] [CrossRef]
  49. Han, W.; Yang, Z.; Huang, L.; Sun, C.; Yu, X.; Zhao, M. Fuzzy comprehensive evaluation of the effects of relative air humidity on the morpho-physiological traits of Pakchoi (Brassica chinensis L.) under high temperature. Sci. Hortic. 2019, 246, 971–978. [Google Scholar] [CrossRef]
  50. Shohag, M.; Wei, Y.; Zhang, J.; Feng, Y.; Rychlik, M.; He, Z.; Yang, X. Genetic and physiological regulation of folate in pak choi (Brassica rapa subsp. Chinensis) germplasm. J. Exp. Bot. 2020, 71, 4914–4929. [Google Scholar] [CrossRef]
  51. Jain, R.; Srivastava, S.; Solomon, S.; Shrivastava, A.; Chandra, A. Impact of excess zinc on growth parameters, cell division, nutrient accumulation, photosynthetic pigments and oxidative stress of sugarcane (Saccharum spp.). Acta Physiol. Plant. 2010, 32, 979–986. [Google Scholar] [CrossRef]
  52. Mickens, M.; Torralba, M.; Robinson, S.; Spencer, L.; Romeyn, M.; Massa, G.; Wheeler, R. Growth of red pak choi under red and blue, supplemented white, and artificial sunlight provided by LEDs. Sci. Hortic. 2019, 245, 200–209. [Google Scholar] [CrossRef]
  53. Amer, H.M.; Marrez, D.A.; Salama, A.B.; Wahba, H.E.; Khalid, K.A. Growth and chemical constituents of cardoon plant in response to foliar application of various algal extracts. Biocatal. Agric. Biotechnol. 2019, 21, 101336. [Google Scholar] [CrossRef]
  54. Grzesik, M.; Romanowska-Duda, Z. Improvements in germination, growth, and metabolic activity of corn seedlings by grain conditioning and root application with cyanobacteria and microalgae. Pol. J. Environ. Stud. 2014, 23, 1147–1153. [Google Scholar]
  55. Dineshkumar, R.; Subramanian, J.; Arumugam, A.; Ahamed Rasheeq, A.; Sampathkumar, P. Exploring the microalgae biofertilizer effect on onion cultivation by field experiment. Waste Biomass Valor. 2020, 11, 77–87. [Google Scholar] [CrossRef]
  56. Faheed, F.A.; El-Fattah, Z. Effect of Chlorella vulgaris as bio-fertilizer on growth parameters and metabolic aspects of lettuce plant. J. Agric. Soc. Sci. 2008, 4, 165–169. [Google Scholar]
  57. de Siqueira Castro, J.; Calijuri, M.L.; Mattiello, E.M.; Ribeiro, V.J.; Assemany, P.P. Algal biomass from wastewater: Soil phosphorus bioavailability and plants productivity. Sci. Total Environ. 2020, 711, 135088. [Google Scholar] [CrossRef] [PubMed]
  58. Silva, T.A.; Castro, J.S.d.; Ribeiro, V.J.; Ribeiro Júnior, J.I.; Tavares, G.P.; Calijuri, M.L. Microalgae biomass as a renewable biostimulant: Meat processing industry effluent treatment, soil health improvement, and plant growth. Environ. Technol. 2023, 44, 1334–1350. [Google Scholar] [CrossRef]
  59. Hao, J.; Tan, J.; Zhang, Y.; Wang, S.; Zhang, X.; Wang, Z.; Li, J. Metabolomics reveals the molecular mechanism of sewage sludge-derived nutrients and biostimulants stimulating resistance enhancement and the redistribution of carbon and nitrogen metabolism in pakchoi cabbage. Sci. Total Environ. 2023, 891, 164330. [Google Scholar] [CrossRef] [PubMed]
  60. Lu, K.; Jin, Q.; Lin, Y.; Lu, W.; Li, S.; Zhou, C.; Jin, J.; Jiang, Q.; Ling, L.; Xiao, M. Cell-free fermentation broth of Bacillus velezensis strain S3-1 improves pak choi nutritional quality and changes the bacterial community structure of the rhizosphere soil. Front. Microbiol. 2020, 11, 2043. [Google Scholar] [CrossRef]
  61. Bondonno, C.P.; Blekkenhorst, L.C.; Liu, A.H.; Bondonno, N.P.; Ward, N.C.; Croft, K.D.; Hodgson, J.M. Vegetable-derived bioactive nitrate and cardiovascular health. Mol. Asp. Med. 2018, 61, 83–91. [Google Scholar] [CrossRef]
  62. Luetic, S.; Knezovic, Z.; Jurcic, K.; Majic, Z.; Tripkovic, K.; Sutlovic, D. Leafy vegetable nitrite and nitrate content: Potential health effects. Foods 2023, 12, 1655. [Google Scholar] [CrossRef]
  63. Bibi, S.; Saadaoui, I.; Bibi, A.; Al-Ghouti, M.; Abu-Dieyeh, M.H. Applications, advancements, and challenges of cyanobacteria-based biofertilizers for sustainable agro and ecosystems in arid climates. Bioresour. Technol. Rep. 2024, 25, 101789. [Google Scholar] [CrossRef]
  64. Nagpal, G.; Chanda, U. Economic order quantity model for two generation consecutive technology products under permissible delay in payments. Int. J. Procure. Manag. 2021, 14, 93–125. [Google Scholar] [CrossRef]
  65. Siebers, N.; Hofmann, D.; Schiedung, H.; Landsrath, A.; Ackermann, B.; Gao, L.; Mojzeš, P.; Jablonowski, N.D.; Nedbal, L.; Amelung, W. Towards phosphorus recycling for agriculture by algae: Soil incubation and rhizotron studies using 33P-labeled microalgal biomass. Algal Res. 2019, 43, 101634. [Google Scholar] [CrossRef]
  66. Abd-Alla, M.H.; Nafady, N.A.; Bashandy, S.R.; Hassan, A.A. Mitigation of effect of salt stress on the nodulation, nitrogen fixation and growth of chickpea (Cicer arietinum L.) by triple microbial inoculation. Rhizosphere 2019, 10, 100148. [Google Scholar] [CrossRef]
  67. Lopez, B.R.; Bashan, Y.; Trejo, A.; de-Bashan, L.E. Amendment of degraded desert soil with wastewater debris containing immobilized Chlorella sorokiniana and Azospirillum brasilense significantly modifies soil bacterial community structure, diversity, and richness. Biol. Fertil. Soils 2013, 49, 1053–1063. [Google Scholar] [CrossRef]
  68. Alobwede, E.; Leake, J.R.; Pandhal, J. Circular economy fertilization: Testing micro and macro algal species as soil improvers and nutrient sources for crop production in greenhouse and field conditions. Geoderma 2019, 334, 113–123. [Google Scholar] [CrossRef]
  69. Alvarez, A.L.; Weyers, S.L.; Goemann, H.M.; Peyton, B.M.; Gardner, R.D. Microalgae, soil and plants: A critical review of microalgae as renewable resources for agriculture. Algal Res. 2021, 54, 102200. [Google Scholar] [CrossRef]
  70. Mulbry, W.; Westhead, E.K.; Pizarro, C.; Sikora, L. Recycling of manure nutrients: Use of algal biomass from dairy manure treatment as a slow release fertilizer. Bioresour. Technol. 2005, 96, 451–458. [Google Scholar] [CrossRef] [PubMed]
  71. Rupawalla, Z.; Robinson, N.; Schmidt, S.; Li, S.; Carruthers, S.; Buisset, E.; Roles, J.; Hankamer, B.; Wolf, J. Algae biofertilisers promote sustainable food production and a circular nutrient economy–An integrated empirical-modelling study. Sci. Total Environ. 2021, 796, 148913. [Google Scholar] [CrossRef]
  72. Sharma, G.K.; Khan, S.A.; Shrivastava, M.; Bhattacharyya, R.; Sharma, A.; Gupta, D.K.; Kishore, P.; Gupta, N. Circular economy fertilization: Phycoremediated algal biomass as biofertilizers for sustainable crop production. J. Environ. Manag. 2021, 287, 112295. [Google Scholar] [CrossRef]
  73. Khoso, M.A.; Wagan, S.; Alam, I.; Hussain, A.; Ali, Q.; Saha, S.; Poudel, T.R.; Manghwar, H.; Liu, F. Impact of plant growth-promoting rhizobacteria (PGPR) on plant nutrition and root characteristics: Current perspective. Plant Stress 2023, 11, 100341. [Google Scholar] [CrossRef]
  74. Song, X.; Bo, Y.; Feng, Y.; Tan, Y.; Zhou, C.; Yan, X.; Ruan, R.; Xu, Q.; Cheng, P. Potential applications for multifunctional microalgae in soil improvement. Front. Environ. Sci. 2022, 10, 1035332. [Google Scholar] [CrossRef]
  75. Hanson, P.; Yang, R.y.; Chang, L.c.; Ledesma, L.; Ledesma, D. Contents of carotenoids, ascorbic acid, minerals and total glucosinolates in leafy brassica pakchoi (Brassica rapa L. chinensis) as affected by season and variety. J. Sci. Food Agric. 2009, 89, 906–914. [Google Scholar] [CrossRef]
  76. Ferreira, A.; Melkonyan, L.; Carapinha, S.; Ribeiro, B.; Figueiredo, D.; Avetisova, G.; Gouveia, L. Biostimulant and biopesticide potential of microalgae growing in piggery wastewater. Environ. Adv. 2021, 4, 100062. [Google Scholar] [CrossRef]
  77. Zheng, S.; Jiang, J.; He, M.; Zou, S.; Wang, C. Effect of kelp waste extracts on the growth and development of Pakchoi (Brassica chinensis L.). Sci. Rep. 2016, 6, 38683. [Google Scholar] [CrossRef]
  78. Pramanick, B.; Brahmachari, K.; Ghosh, A. Effect of seaweed saps on growth and yield improvement of green gram. Afr. J. Agric. Res. 2013, 8, 1180–1186. [Google Scholar]
  79. Hernández-Herrera, R.M.; Santacruz-Ruvalcaba, F.; Ruiz-López, M.A.; Norrie, J.; Hernández-Carmona, G. Effect of liquid seaweed extracts on growth of tomato seedlings (Solanum lycopersicum L.). J. Appl. Phycol. 2014, 26, 619–628. [Google Scholar] [CrossRef]
  80. Almodares, A.; Hadi, M.; Dosti, B. Effects of salt stress on germination percentage and seedling growth in sweet sorghum cultivars. J. Biol. Sci. 2007, 7, 1492–1495. [Google Scholar] [CrossRef]
Figure 1. Integrative process of sample collection, isolation and identification, mass production, and biomass harvesting for biofertilizer production. Sp: Spirulina platensis; Sm: Spirulina maxima; Cv: Chlorella vulgaris.
Figure 1. Integrative process of sample collection, isolation and identification, mass production, and biomass harvesting for biofertilizer production. Sp: Spirulina platensis; Sm: Spirulina maxima; Cv: Chlorella vulgaris.
Agriculture 15 00863 g001
Figure 2. Visualization of the effects of microalgae Spirulina platensis, Spirulina maxima, and Chlorella vulgaris on Pak Choi growth and development. Sp: Spirulina platensis; Sm: Spirulina maxima; and Cv: Chlorella vulgaris with their respective mentioned concentrations.
Figure 2. Visualization of the effects of microalgae Spirulina platensis, Spirulina maxima, and Chlorella vulgaris on Pak Choi growth and development. Sp: Spirulina platensis; Sm: Spirulina maxima; and Cv: Chlorella vulgaris with their respective mentioned concentrations.
Agriculture 15 00863 g002
Figure 3. Effect of microalgae biofertilizers on above-ground morphology of Pak Choi. (A) Plant height; (B) stem diameter; (C) number of leaves; (D) leaf length x width; (E) plant fresh weight; and (F) plant dry weight. A significant difference was calculated using one-way ANOVA according to the Tuckey HSD method at a p < 0.05 level of probability. Means with the same letter in each column do not differ significantly, and the mean of each parameter was obtained from five biological replications.
Figure 3. Effect of microalgae biofertilizers on above-ground morphology of Pak Choi. (A) Plant height; (B) stem diameter; (C) number of leaves; (D) leaf length x width; (E) plant fresh weight; and (F) plant dry weight. A significant difference was calculated using one-way ANOVA according to the Tuckey HSD method at a p < 0.05 level of probability. Means with the same letter in each column do not differ significantly, and the mean of each parameter was obtained from five biological replications.
Agriculture 15 00863 g003
Figure 4. Effect of microalgae biofertilizers on below-ground morphology of Pak Choi. (A) Root length; (B) root diameter; (C) root fresh weight; and (D) root dry weight. A significant difference was calculated using one-way ANOVA according to the Tuckey HSD method at a p < 0.05 level of probability. Means with the same letter in each column do not differ significantly, and the mean of each parameter was obtained from five biological replications.
Figure 4. Effect of microalgae biofertilizers on below-ground morphology of Pak Choi. (A) Root length; (B) root diameter; (C) root fresh weight; and (D) root dry weight. A significant difference was calculated using one-way ANOVA according to the Tuckey HSD method at a p < 0.05 level of probability. Means with the same letter in each column do not differ significantly, and the mean of each parameter was obtained from five biological replications.
Agriculture 15 00863 g004
Figure 5. Effect of microalgae biofertilizers on chlorophyll a, b total and carotenoid contents of Pak Choi. (A) Chlorophyll a; (B) chlorophyll b; (C) total chlorophyll; and (D) carotenoid contents. A significant difference was calculated using one-way ANOVA according to the Tuckey HSD method at a p < 0.05 level of probability. Means with the same letter in each column do not differ significantly, and the mean of each parameter was obtained from five biological replications.
Figure 5. Effect of microalgae biofertilizers on chlorophyll a, b total and carotenoid contents of Pak Choi. (A) Chlorophyll a; (B) chlorophyll b; (C) total chlorophyll; and (D) carotenoid contents. A significant difference was calculated using one-way ANOVA according to the Tuckey HSD method at a p < 0.05 level of probability. Means with the same letter in each column do not differ significantly, and the mean of each parameter was obtained from five biological replications.
Agriculture 15 00863 g005
Figure 6. Effect of microalgae biofertilizers on total protein and carbohydrate contents of Pak Choi tissues. (A) Total protein in the leaf; (B) total protein in the stem; (C) carbohydrate in the leaf; and (D) carbohydrate in the stem. A significant difference was calculated using one-way ANOVA according to the Tuckey HSD method at a p < 0.05 level of probability. Means with the same letter in each column do not differ significantly, and the mean of each parameter was obtained from five biological replications.
Figure 6. Effect of microalgae biofertilizers on total protein and carbohydrate contents of Pak Choi tissues. (A) Total protein in the leaf; (B) total protein in the stem; (C) carbohydrate in the leaf; and (D) carbohydrate in the stem. A significant difference was calculated using one-way ANOVA according to the Tuckey HSD method at a p < 0.05 level of probability. Means with the same letter in each column do not differ significantly, and the mean of each parameter was obtained from five biological replications.
Agriculture 15 00863 g006
Figure 7. Effect of microalgae biofertilizers on ascorbic acid and nitrate nitrogen contents of different Pak Choi tissues. (A) Ascorbic acid in the leaf; (B) ascorbic acid in the stem; (C) nitrate-nitrogen in the leaf; (D) nitrate-nitrogen in the stem. A significant difference was calculated using one-way ANOVA according to the Tuckey HSD method at a p < 0.05 level of probability. Means with the same letter in each column do not differ significantly, and the mean of each parameter was obtained from five biological replications.
Figure 7. Effect of microalgae biofertilizers on ascorbic acid and nitrate nitrogen contents of different Pak Choi tissues. (A) Ascorbic acid in the leaf; (B) ascorbic acid in the stem; (C) nitrate-nitrogen in the leaf; (D) nitrate-nitrogen in the stem. A significant difference was calculated using one-way ANOVA according to the Tuckey HSD method at a p < 0.05 level of probability. Means with the same letter in each column do not differ significantly, and the mean of each parameter was obtained from five biological replications.
Agriculture 15 00863 g007
Figure 8. Nutritional heat map of different Pak Choi tissues after microalgae biofertilizer application. sp: Spirulina platensis; Sm: Spirulina maxima; Cv: Chlorella vulgaris; TN: total nitrogen; TP: total phosphorus; TK: total potassium. A significant difference was calculated using one-way ANOVA according to the Tuckey HSD method at a p < 0.05 level of probability. Means with the same letter in each column do not differ significantly, and the mean of each parameter was obtained from five biological replications.
Figure 8. Nutritional heat map of different Pak Choi tissues after microalgae biofertilizer application. sp: Spirulina platensis; Sm: Spirulina maxima; Cv: Chlorella vulgaris; TN: total nitrogen; TP: total phosphorus; TK: total potassium. A significant difference was calculated using one-way ANOVA according to the Tuckey HSD method at a p < 0.05 level of probability. Means with the same letter in each column do not differ significantly, and the mean of each parameter was obtained from five biological replications.
Agriculture 15 00863 g008
Table 1. The composition of microalgae biofertilizer powders was used during this experiment as a growth material for the growth and development of Pak Choi.
Table 1. The composition of microalgae biofertilizer powders was used during this experiment as a growth material for the growth and development of Pak Choi.
PropertiesSpirulina platensisSpirulina maximaChlorella vulgaris
pH6.45 ± 0.696.40 ± 0.866.55 ± 0.58
TN (mg/L) 26.81 ± 1.2638.54 ± 1.8152.09 ± 2.44
TP (mg/L)0.599 ± 0.0286.383 ± 0.0652.061 ± 0.023
TK (%) 106.49 ± 4.2098.53 ± 3.75102.95 ± 4.83
Data are presented as means ± standard errors of the mean (n = 5). TN: total nitrogen; TP: total phosphorus; and TK: total potassium.
Disclaimer/Publisher’s Note: The statements, opinions and data contained in all publications are solely those of the individual author(s) and contributor(s) and not of MDPI and/or the editor(s). MDPI and/or the editor(s) disclaim responsibility for any injury to people or property resulting from any ideas, methods, instructions or products referred to in the content.

Share and Cite

MDPI and ACS Style

Ali, S.; Yu, J.; Qu, Y.; Wang, T.; He, M.; Wang, C. Potential Use of Microalgae Isolated from the Natural Environment as Biofertilizers for the Growth and Development of Pak Choi (Brassica rapa subsp. chinensis). Agriculture 2025, 15, 863. https://doi.org/10.3390/agriculture15080863

AMA Style

Ali S, Yu J, Qu Y, Wang T, He M, Wang C. Potential Use of Microalgae Isolated from the Natural Environment as Biofertilizers for the Growth and Development of Pak Choi (Brassica rapa subsp. chinensis). Agriculture. 2025; 15(8):863. https://doi.org/10.3390/agriculture15080863

Chicago/Turabian Style

Ali, Shahzad, Jiawen Yu, Yue Qu, Tiantian Wang, Meilin He, and Changhai Wang. 2025. "Potential Use of Microalgae Isolated from the Natural Environment as Biofertilizers for the Growth and Development of Pak Choi (Brassica rapa subsp. chinensis)" Agriculture 15, no. 8: 863. https://doi.org/10.3390/agriculture15080863

APA Style

Ali, S., Yu, J., Qu, Y., Wang, T., He, M., & Wang, C. (2025). Potential Use of Microalgae Isolated from the Natural Environment as Biofertilizers for the Growth and Development of Pak Choi (Brassica rapa subsp. chinensis). Agriculture, 15(8), 863. https://doi.org/10.3390/agriculture15080863

Note that from the first issue of 2016, this journal uses article numbers instead of page numbers. See further details here.

Article Metrics

Back to TopTop