Next Article in Journal
Correlation Analysis of Sitophilus oryzae (Linnaeus) Real-Time Monitoring and Insect Population Density and Its Distribution Pattern in Wheat Grain Piles
Previous Article in Journal
The Carpathian Agriculture in Poland in Relation to Other EU Countries, Ukraine and the Environmental Goals of the EU CAP 2023–2027
 
 
Font Type:
Arial Georgia Verdana
Font Size:
Aa Aa Aa
Line Spacing:
Column Width:
Background:
Article

Research on UAV Downwash Airflow and Wind-Induced Response Characteristics of Rapeseed Seedling Stage Based on Computational Fluid Dynamics Simulation

1
College of Engineering, Huazhong Agricultural University, Wuhan 430070, China
2
Key Laboratory of Agricultural Equipment in Mid-Lower Yangtze River, Ministry of Agriculture and Rural Affairs, Huazhong Agricultural University, Wuhan 430070, China
3
College of Plant Science and Technology, Huazhong Agricultural University, Wuhan 430070, China
*
Author to whom correspondence should be addressed.
Agriculture 2024, 14(8), 1326; https://doi.org/10.3390/agriculture14081326
Submission received: 27 June 2024 / Revised: 9 July 2024 / Accepted: 2 August 2024 / Published: 9 August 2024
(This article belongs to the Section Agricultural Technology)

Abstract

Multi-rotor unmanned aerial vehicles (UAVs) are increasingly prevalent due to technological advancements. During rapeseed’s seedling stage, UAV-generated airflow, known as wind-induced response, affects leaf movement, tied to airflow speed and distribution. Understanding wind-induced response aids early rapeseed lodging prediction. Determining airflow distribution at various UAV heights is crucial for wind-induced response study, yet lacks theoretical guidance. In this study, Computational Fluid Dynamics (CFD) was employed to analyze airflow distribution at different UAV heights. Fluid–solid coupling simulation assessed 3D rapeseed model motion and surface pressure distribution in UAV downwash airflow. Validation occurred via wind speed experiments. Optimal uniform airflow distribution was observed at 2 m UAV height, with a wind speed variation coefficient of 0.258. The simulation showed greater vertical than horizontal leaf displacement, with elastic modulus inversely affecting displacement and leaf area directly. Discrepancies within 10.5% in the 0.5–0.8 m height range above the rapeseed canopy validated simulation accuracy. This study guides UAV height selection, leaf point determination, and wind-induced response parameter identification for rapeseed seedling stage wind-induced response research.

1. Introduction

The rapid development of multi-rotor unmanned aerial vehicles (UAVs) has significantly expanded their application within the agricultural sector, particularly in the realms of plant protection and phenotypic research [1,2]. An essential attribute of rotor-based UAVs is their ability to generate powerful downwash airflow due to the rapid rotation of the rotors [3]. This airflow directly affects young rapeseed plants, causing them to sway [4]. Although empirical observations have suggested a method to predict rapeseed lodging based on its response to wind, this approach lacks specific guidance regarding the selection of UAV flight altitudes and criteria for analyzing wind-induced responses. The impact of lodging at different growth stages is as follows, from greatest to least: lodging during early flowering > lodging during full flowering > lodging during late flowering > lodging during early ripening > lodging during late ripening. The reduction in yield is 67.3%, 46.4%, 30.7%, 23.7%, and 10.5%, respectively. Overall, lodging at earlier stages has a greater impact on yield and economic traits. In addition, compared to wind tunnel research on wind-induced response, the use of drones is more convenient and simpler to operate, making it easier for farmers to use. Consequently, there is an immediate imperative to investigate the downwash airflow characteristics of multi-rotor UAVs at various flight altitudes and to delineate optimal points for assessing wind-induced responses in young rapeseed plants.
Recent research indicates that the maximum velocity field of rotor UAVs typically remains beneath the rotor, with its intensity modifiable through adjustments in flight altitude [5,6]. This assertion has been supported by investigating the downwash flow characteristics of a specific UAV model at different flight altitudes [7], alongside an examination of maximum wind speed and turbulence intensity. The analysis approached the problem from the perspective of UAV rotor configuration [8], employing a wind field sensor network measurement system to evaluate three distinct UAV flight conditions: perpendicular to the flight direction (X), perpendicular to the ground direction (Y), and parallel to the ground direction (Z), with rotor airflow wind speed assessed in the flight direction (Z). Experimental results indicate that single-rotor and quad-rotor UAVs exhibit the highest wind forces in the downwash flow field perpendicular to the flight direction, whereas the eight-rotor UAV demonstrates maximal wind force in the vertical direction. Moreover, the downwash airflow generated by UAVs induces crop swaying, impacting remote measurements of rice plant height and canopy area [7]. Experiments measuring wind speed in mature corn fields aimed to validate the three-dimensional distribution characteristics of multi-rotor UAV downwash airflow and identify optimal operational parameters for spraying activities [9]. In agricultural research focusing on plant protection, considerable attention has been directed towards assessing the influence of downwash airflow on the distribution of spray droplets during UAV operations [10,11]. Various UAV configurations, including quad-rotor, hexa-rotor, and octo-rotor designs, have been tested to determine spray width and uniformity [12], considering factors such as flight speed and altitude to analyze their respective impacts on spraying effectiveness. The downwash airflow generated by UAV rotors serves to transport sprayed pesticide droplets directly through the canopy, enhancing adhesion to leaves and ensuring effective distribution—a crucial factor influencing droplet dispersion [13].
The progress in Computational Fluid Dynamics (CFD) has facilitated the growing use of computer simulation software to analyze various aspects of downwash airflow associated with multi-rotor UAVs. Currently, there are a limited number of studies that have applied CFD to simulate the downwash airflow of both agricultural multi-rotor UAVs and fixed-wing UAVs [14]. CFD simulations have been employed to model the airflow fields of UAVs at different flight altitudes, demonstrating that increased UAV flight speeds correspond to larger airflow field areas [15]. Additionally, CFD methodologies have been utilized to simulate airflow patterns of UAVs under varying flight conditions within greenhouse environments. These simulations have provided insights into the distribution patterns of airflow around UAVs in greenhouses, with experimental validation confirming the accuracy of the simulation results [16]. Through a combination of CFD simulations and experimental measurements, the characteristics of UAV downwash flow fields and their impact on wheat crops have been elucidated [17]. Moreover, a specialized sensor bracket has been designed to minimize interference with wheat plant deformation areas, complemented by the development of a close-range UAV data collection methodology.
Therefore, this study utilizes CFD simulation technology to replicate the distribution of downwash airflow from the UAV at various hovering heights, subsequently determining optimal UAV hovering heights based on downwash airflow speed and speed variation coefficient for subsequent stages of rapeseed seedling growth. The study follows standardized procedures for simulating the fluid–structure interaction between rapeseed plants and downwash airflow. Additionally, fluid–solid coupling simulation techniques are applied to analyze the motion dynamics and surface pressure distribution of a three-dimensional model representing the rapeseed seedling stage within the UAV’s downwash airflow. By leveraging the pressure distribution results and observed rapeseed displacement patterns, specific test points are identified for characterizing wind-induced responses in the rapeseed seedling stage. This process provides theoretical insights for selecting wind-induced response parameters. Moreover, the accuracy of the UAV downwash airflow simulation outcomes is confirmed through wind speed testing experiments. To predict the lodging of rapeseed using its wind-induced response characteristics during the seedling stage lays a certain theoretical foundation.

2. Materials and Methods

2.1. Experimental Equipment

The materials utilized in this study include a quad-rotor UAV (DJI MACVIC PRO, DJI, Shenzhen, China), with its comprehensive parameter configuration outlined in Table 1. Additionally, a Pitot tube-type wind speed tester (REANOW L6-500, REANOW, Shaanxi, China) was employed, alongside standard measuring tools, such as a tape measure.

2.2. Research Overall Methodology and Approach

The comprehensive methodology and conceptual framework of this study are depicted in Figure 1. Initially, a three-dimensional simulation model integrating both the UAV and seedling-stage rapeseed was constructed. Subsequently, the simulation of downwash airflow generated by the UAV in hovering mode was demonstrated. Following this, a simulation was conducted to model the interaction between the downwash airflow and the seedling-stage rapeseed, utilizing a fluid–solid coupling approach. Finally, the accuracy of the simulation results pertaining to UAV hovering and downwash airflow was validated.

2.3. Establishment of a Three-Dimensional Simulation Model for UAV and Seedling-Stage Rapeseed

2.3.1. Establishment of Three-Dimensional Simulation Model for UAV

A UAV simulation model based on the DJI MAVIC PRO quadcopter was developed. Due to the complex surface and relatively low accuracy of forward modeling of the UAV rotor, three-dimensional reconstruction methods were employed for precise fitting of its intricate surfaces [18]. This involved reverse three-dimensional reconstruction of the UAV rotor through four sequential processes: point cloud acquisition, point cloud processing, surface fitting, and model finalization (Figure 2). Simultaneously, the UAV body was simplified by excluding components such as the onboard camera. This simplification did not significantly affect the overall distribution of the rotor’s downwash airflow [19]. The simplified model was suitable for conducting downwash airflow simulations, as illustrated in Figure 3, both before and after simplification.
As illustrated in Figure 4, rotors 2 and 3 rotated counterclockwise, while rotors 1 and 4 rotated clockwise. Among the four rotors, rotors 1 and 2 were situated on the same plane, whereas rotors 3 and 4 were positioned on a plane slightly lower than the former.

2.3.2. Establishment of Three-Dimensional Simulation Model for Seedling-Stage Rapeseed

The variety “Shuang 11” is widely planted locally in rapeseed cultivation. This study has established a three-dimensional model of rapeseed seedlings, taking into account the size of the “Shuang 11” rapeseed variety during the seedling stage. The model’s height is standardized at 60 cm, with the leaf area of the rapeseed primarily distributed across three distinct gradients: 10 cm2, 50 cm2, and 110 cm2. Specifically, leaves numbered 1–3 are allocated an area of 10 cm2 each, leaves numbered 4–6 possess an area of 50 cm2 each, and leaves numbered 7–9 exhibit an area of 110 cm2 each (refer to Figure 5). Concurrently, to more faithfully simulate the mechanical response of rapeseed, this paper attributes three different mechanical property parameters to the rapeseed model (see Table 2).

2.4. Simulation of UAV Downwash Airflow during Hovering

In this study, the Reynolds Navier–Stokes formula was utilized as the governing formula for CFD calculations. The UAV calculation domain was established and meshed to facilitate precise simulations. Furthermore, the K-ε turbulence model was employed to simulate the UAV in a hovering state, thereby elucidating the distinct effects of varying hovering heights on downwash airflow distribution.

2.4.1. Control Formulas

Fluid dynamics adheres to fundamental physical laws, with the cornerstone of CFD theory rooted in the governing formulas of fluid motion. These formulas embody the fundamental principles observed during fluid flow, encompassing mass conservation, momentum conservation, and energy conservation. Compliance with these fundamental formulas is imperative when addressing any flow-related phenomenon. The mass conservation formula, also referred to as the continuity formula, and the momentum conservation formula, known as the Navier–Stokes formula or NS formula, constitute the essence of CFD analysis. Given the absence of considerations for heat exchange within this study, solely the mass conservation formula and the momentum conservation formula were employed to address the research problem [20]. The mass conservation formula stipulates that the net mass flux into and out of a system equals the change in mass within the system. Formula (1) illustrates the expanded form of this formula.
ρ t + ( ρ u ) x + ( ρ v ) y + ( ρ w ) z = 0
where ρ is the density of the fluid, kg/m3; t is time, s; u, v, and w are the components of the velocity vector in the x, y, and z directions, m/s.
The momentum conservation formula is derived from the application of Newton’s second law in ideal fluids. This formula elucidates the relationship between the force exerted on a unit mass of fluid and the resulting acceleration of fluid motion. Serving as a fundamental formula in fluid kinematics, its physical interpretation posits that the net force acting on a fluid microelement equals the product of its mass and acceleration. In other words, the summation of external forces acting on the control volume, alongside the power flowing into the control volume through its boundary per unit time, equals the change in momentum within the control volume per unit time. The incremental change in fluid momentum is expanded as delineated in Formulas (2)–(4).
( ρ u ) t + ( ρ u V ) = ρ x + τ x x + y y + τ z z
( ρ v ) t + ( ρ v V ) = ρ x + τ x x + y y + τ z z
( ρ w ) t + ( ρ w V ) = ρ x + τ x x + y y + τ z z
where p represents the pressure exerted on the surface of the fluid element, Pa; V is the velocity vector of the fluid element in space, m/s, and τ x , τ y , τ z respectively denote the components of the viscous stress τ acting on the surface of the element in the x, y, and z directions due to viscous effects on fluid molecules, Pa.

2.4.2. Establishment of Computational Domain

The establishment of the computational domain is a critical aspect of the fluid dynamics simulation process, encompassing both temporal and spatial dimensions. The temporal domain refers to the timeframe during which the fluid simulation occurs, selected based on the duration relevant for analyzing fluid flow dynamics. On the other hand, the spatial domain denotes the geometric extent of the region where computational solutions are executed, representing the spatial boundaries within which fluid movement is modeled [21]. Choosing an appropriate computational domain is essential to ensure the accuracy and efficacy of fluid dynamic calculations, as it directly impacts the precision and computational efficiency of simulation outcomes.
In the context of CFD fluid calculations, it has been established that the simulation time required for a quadcopter UAV to attain stable downwash airflow is 4 s [22]. Consequently, to ensure ample calculation time, this study designated the time domain to encompass 5 s. Furthermore, for computational expediency, the sliding mesh method was adopted, a technique commonly employed in rotating machinery simulations, to construct the computational domain. The computational domain was partitioned into two distinct segments: the rotating domain and the static domain. The rotating domain delineated the region corresponding to the rotational area of the UAV rotor (refer to Figure 6), whereas the static domain represented the airflow region external to the UAV (refer to Figure 7). The fundamental principle underlying the sliding grid method entails segregating the intricate and dynamic rotational airflow region from the external airflow domain, thereby mitigating computational overhead and forestalling simulation termination attributable to calculation errors [23]. Throughout the simulation calculation process, data exchange between the rotating and static domains occurred via the contact surface, thereby facilitating the simulation of the entire fluid domain.
The overall fluid domain of the UAV was delineated based on the dimensions of the operational space in which it functioned. The shape of the rotating domain took the form of a cylinder with an outer diameter of 12 cm and a height of 2 cm, with the center of the rotating domain coinciding with the center of the rotor. Conversely, the diameter of the static domain measured 2 m. Considering that the UAV hovered at heights of 1.6 m, 2 m, and 2.4 m respectively, in this study, three distinct fluid domain models were established corresponding to these different hovering heights. This comprehensive approach to fluid domain construction enabled thorough consideration of the fluid environment encountered by the UAV at varying hovering heights. Such meticulous fluid domain construction facilitated accurate simulation and analysis of the aerodynamic performance of the UAV across different hovering heights.

2.4.3. Mesh Division

Mesh division, as the most intricate aspect of pre-processing in CFD numerical simulation, significantly influences the accuracy of subsequent calculation processes. Within meshing, two primary categories are recognized: structured mesh and unstructured mesh. Structured mesh exhibits rapid generation and high quality, yet its applicability is constrained primarily to models with regular geometries. On the other hand, unstructured grids are well-suited for models featuring complex shapes, albeit at the expense of slower generation speed and increased computational demands [24]. The selection of an appropriate mesh type is a critical undertaking, necessitating a comprehensive evaluation of the model’s geometry and complexity, as well as the desired balance between simulation accuracy and computational efficiency.
The rotating domain poses significant challenges for airflow analysis, primarily due to the curved surface of the rotor, which creates irregular regions within the calculation domain and can compromise mesh quality. In this study, we addressed this issue by employing unstructured meshing to refine the mesh in the complex-shaped rotating domain. Specifically, a mesh size of 1.2 mm was chosen, resulting in a total of 70,102 mesh elements. Simultaneously, to optimize processing efficiency in the stationary domain, a coarser grid setting was implemented. Grid sizes increased gradually outward from the interface position of the rotating domain, reaching a maximum size of 50 mm. The static domain was composed of a total of 600,321 grid cells. Mesh quality was evaluated using Skewness as the criterion, with the overall mesh quality of the fluid domain achieving a rating of 0.71, meeting the required standards. The results of the meshing process are depicted in Figure 8.

2.4.4. Boundary Condition Setup

In CFD numerical calculations, solely the fluid domain undergoes computation, necessitating clear delineation of its boundaries. Boundary conditions serve to directly characterize fluid flow at these boundaries. In this study, the contact surface between the rotating domain and the static domain was designated as the interface. The upper surface of the static domain was identified as the pressure inlet, while the lower surface served as the wall boundary. The cylindrical surface was assigned as the pressure outlet, with each boundary endowed with specific physical meanings (refer to Figure 9). Throughout the simulation process, airflow entered through the pressure inlet and exited via the pressure outlet, mirroring the actual airflow pattern. Additionally, the rotational speed of the rotor was prescribed at 550 rpm based on real-flight parameters, with adjacent rotors rotating in opposite directions.

2.5. Seedling-Stage Rapeseed–Downwash Airflow Fluid–Solid Coupling Simulation

Under the influence of the downwash airflow generated by the UAV, rapeseed leaves undergo swinging motion. To delve deeper into the load distribution of downwash airflow on the surface of rapeseed leaves and the resultant movement dynamics of seedling-stage rapeseed, this study established a rapeseed–downwash airflow model employing fluid–structure interaction analysis. Through this model, the surface pressure distribution on rapeseed leaves under the influence of airflow can be examined, alongside the study of displacement variations in various directions. Such a fluid–solid coupling model enables a more comprehensive understanding of the impact of UAV downwash airflow on seedling-stage rapeseed, furnishing crucial insights for investigating wind-induced responses in seedling-stage rapeseed.
In this study, the fluid–solid coupling method was employed to investigate the impact of UAV downwash airflow on the movement of seedling-stage rapeseed (refer to Figure 10). This approach involved establishing a fluid–solid coupling model to analyze how the rapeseed responds to the airflow generated by the UAV. The core of this methodology focused on simulating the UAV’s downwash airflow and transferring the resulting airflow pressure onto the surface of the rapeseed within a three-dimensional model using static structural analysis. This process allowed for the extraction of displacement and other motion parameters of the rapeseed, enabling a comprehensive analysis of its response to the airflow dynamics.

2.6. UAV Downwash Airflow Simulation Validation Experiment

To validate the simulation results of the downwash airflow generated by a quad-rotor UAV at various hovering heights, this study employed a Pitot tube wind speed sensor to measure the wind speed of the UAV’s downwash airflow. The spatial distribution of the test points is depicted in Figure 11. These test points were primarily concentrated within the height range of 0 to 1.4 m above the ground and were predominantly located in the lower space beneath the four rotors of the UAV. Each rotor had eight test points positioned beneath it. At each test point, the probe of the wind speed sensor was placed and, once the sensor reading stabilized, the wind speed at the test point was recorded. Each test point measurement was repeated three times, and the average value of the recorded data was calculated to ensure data accuracy. This experimental design aimed to verify the accuracy of the numerical simulation through actual wind speed measurements and provided experimental support for the simulation outcomes.

2.7. Data Analysis

The stability of the downwash airflow speed was assessed using the wind velocity variation coefficient, denoted as C. The calculation process is delineated in Formula (5):
C = σ v ¯
where σ is the standard deviation of wind speed and v ¯ is the mean wind velocity, m/s.
The velocity distribution data of the downwash airflow was acquired through Computational Fluid Dynamics simulation and experimental testing. The relative error range between the simulation outcomes and the experimental results was defined as Formula (6):
e = v t v s v t
where vt represents the experimental value, m/s; vs denotes the simulation value, m/s; and e signifies the simulation relative error.

3. Results and Discussion

3.1. XOZ Plane Airflow Velocity Distribution

Upon reaching a steady state, the downwash airflow is predominantly concentrated directly beneath the rotor. To investigate the evolving characteristics of the rotor downwash airflow, the airflow under steady-state conditions was selected for analysis. Figure 12 illustrates the airflow velocity distribution in the XOZ plane at three distinct hovering heights of the UAV. Given the circumferential distribution of the four rotors, the velocity distribution of the downwash airflow exhibited approximate symmetry on the XOZ plane. Notably, the concentration area of the downwash airflow velocity was situated within the central region, ranging from 0.2 m to 1.2 m directly below the quadrotor. Furthermore, the airflow velocity gradually diminished in the downward direction. Across the three hovering heights considered, the maximum airflow velocities recorded were 4.8 m/s, 4.7 m/s, and 4.5 m/s, respectively. It was noteworthy that these maximum flow velocities were consistently observed in the region where the downwash airflow of adjacent rotors intersected and overlapped, approximately 0.4 m below the UAV.
The rapeseed canopy typically extends within the range of 0.5 to 0.8 m from the ground, hence the analysis of downwash airflow velocity distribution primarily focused within this range. At a hovering height of 1.6 m, the velocity variations in the XOZ plane are depicted in Figure 13a. At the same height above the ground, the velocity showed a continuous increase along the positive direction of the X-axis, reaching a peak near the X = 0 position before gradually decreasing. The overall range of speed variation spanned from 1.59 m/s to 4.92 m/s. Conversely, with the coordinates in the X-axis direction remaining constant, as the height above the ground increased, the speed experienced a consistent rise. This phenomenon occurred due to the continuous downward movement of airflow, resulting in momentum loss and depletion of airflow. Consequently, the wind speed decreased as the height above the ground decreased. Within the rapeseed canopy distribution area at a height of 0.5 to 0.8 m above the ground, speeds exceeding 3 m/s were predominantly concentrated within the range of −0.2 to 0.2 m in the X-direction.
When the UAV hovered at a height of 2 m (Figure 13b), the distribution of airflow velocity along the positive X-axis at various heights above the ground on the XOZ plane exhibited an overall “arch” shape, with wind speed progressively increasing along the positive X-axis direction, reaching a maximum at a specific position. During this period, the range of speed variations was significantly reduced, presenting a smoother and more uniform pattern. Additionally, at constant X coordinates, changes in height above the ground led to negligible alterations in the downwash airflow speed, with velocities exceeding 3 m/s being distributed within the range of −0.15 m to 0.15 m along the X-axis direction. In contrast, when hovering at a height of 1.6 m, velocities exceeding 3 m/s were distributed within the range of −0.2 m to 0.2 m along the X-axis direction. This observation indicated that at a hovering height of 2 m, the area with velocity distribution exceeding 3 m/s was larger, and the overall velocity was higher. This difference was attributed to variations in hovering heights, where differing amounts of momentum loss occurred when reaching the same height above the ground. Specifically, higher hovering heights resulted in lower airflow speeds when reaching the same ground height.
When the UAV hovered at a height of 2.4 m (Figure 13c), the trend in speed changes along the positive X-axis mirrored the patterns observed in the previous two hovering states. However, within the interval of −0.1 to 0.3 m along the X-axis direction, as the height above the ground increased, the speed experienced a significant increase, with the range of change notably larger than that observed at the hovering heights of 1.6 m and 2 m. This indicated that, along the X-axis direction, the speed variation range in this interval was broader, leading to a more uneven distribution of airflow speed. At a height of 0.5 to 0.8 m above the ground, the overall airflow speed varied within the range of 1.5 m/s to 4.5 m/s, with speeds exceeding 3 m/s concentrated within the range of −0.2 m to 0.16 m along the X-axis direction. These findings further underscore the influence of hovering height on velocity distribution, particularly within a specific area along the X-axis direction, where the changes in airflow velocity were more pronounced and irregular.

3.2. XOY Plane Airflow Velocity Distribution

Figure 14, Figure 15 and Figure 16 depict the XOY plane airflow velocity distribution diagrams at various hovering heights of the UAV. With the UAV’s hovering height increasing, the coverage area of the XOY plane downwash airflow at the same height above the ground progressively expanded, while the maximum speed at its central position gradually diminished. At a hovering height of 1.6 m, the maximum speed of the XOY plane within the range of 0.5 to 0.8 m above the ground was concentrated near the center of the plane (Figure 14), with the speed gradually decreasing from the center towards the periphery, and the airflow coverage area expanding as the height above the ground increased before gradually contracting. The variation range was within 0.489–0.548 m2.
As depicted in Figure 15, when the UAV hovered at a height of 2 m, the coverage area of the downwash airflow within the height range of 0.5 to 0.8 m above the ground varied from 0.544 to 0.614 square meters. This represented a significant increase in airflow coverage area compared to the hovering height of 1.6 m, although it was slightly lower than the coverage observed at a hovering height of 2.4 m (Figure 16), where the airflow coverage area ranged from 0.598 to 0.644 square meters.
The wind speed variation coefficient of the UAV at different hovering heights is depicted in Figure 17. At a hovering height of 1.6 m, the XOY plane airflow velocity variation coefficients at heights of 0.5 m, 0.65 m, and 0.80 m above the ground were 0.249, 0.258, and 0.278, respectively. When the hovering height was increased to 2 m, the airflow variation coefficients at each height above the ground were 0.246, 0.262, and 0.274, respectively, showing no significant difference from those observed at a hovering height of 1.6 m. However, at a hovering height of 2.4 m, the variation coefficients of airflow velocity above the ground were 0.286, 0.314, and 0.324, respectively, indicating a notable increase compared to the first two hovering heights. A larger coefficient of variation denotes a more uneven distribution of air velocity. Therefore, at a hovering height of 2.4 m, the flow field distribution exhibited the greatest degree of unevenness.
Based on the preceding analysis, it is clear that the distribution of airflow velocity within the rapeseed canopy area significantly influences the motion state of the rapeseed. To facilitate clear observation of rapeseed movement during the seedling stage and to minimize significant fluctuations in airflow load due to changes in the position of rapeseed canopy leaves, the uniformity of airflow velocity and flow field distribution within this region were selected as key criteria for determining the hovering height of the UAV. Considering the substantial downwash airflow velocity observed at a hovering height of 2 m, along with relatively uniform flow field distribution and a low-velocity variation coefficient at the height of the rapeseed canopy during the seedling stage, this study determined that setting the UAV’s hovering height at 2 m would be the most appropriate choice. This height ensures a balance between airflow coverage and uniformity, which is essential for maintaining stable conditions for the rapeseed during its seedling stage.

3.3. Distribution of Downwash Airflow Velocity Components in Space

To gain deeper insights into the movement dynamics of seedling rape under the influence of airflow, a detailed examination was conducted on the airflow velocity components in the X-, Y-, and Z-directions when the UAV hovered at a height of 2 m (Figure 18). Notably, the Z-direction velocity, which exceeded 3 m/s, dominated the airflow velocity and progressively diminished as it approached the ground. Before reaching the ground, the X-direction velocity maintained a steady level at about ±0.6 m/s. However, upon contact with the ground, as the Z-direction airflow became stagnant, the airflow direction shifted towards the X-direction, resulting in a sudden surge in the X-direction velocity component to approximately ±2.2 m/s. This suggested that post-contact with the ground, the downwash airflow initially contracted and dispersed in all directions, aligning with the findings of Kutz and Kebler (2012) [25]. This shift in airflow dynamics highlights the complex interactions between the UAV’s downwash and the ground surface, which can significantly affect the airflow patterns experienced by the rapeseed canopy and, consequently, the movement of the seedling rape.
In the Y-direction, the airflow velocity at the level of the rapeseed canopy (0.5~0.8 m above the ground) is recorded at 0.4 m/s, with the downwash airflow from the UAV descending in a spiral motion [26]. According to Bernoulli’s principle, this spiral effect engenders a pressure differential between the upper and lower surfaces of the rapeseed blade, thereby inducing torque on the blade and facilitating continuous oscillation. Prior research has also demonstrated that, during quadcopter UAV hovering, the airflow beneath the rotor descends in a spiral trajectory, directly impacting the canopy and leading to significant disturbance [27]. These insights contribute to a more comprehensive understanding of the mechanistic impact of UAV downwash airflow on rapeseed plants.
A comprehensive analysis revealed that the motion of rapeseed leaves under the influence of downwash airflow could be elucidated by their motion along the three axes: X, Y, and Z. Initial predictions of airflow velocity distribution in these directions suggested that the motion of rapeseed blades was more pronounced in the Z-direction compared to the X- and Y-directions. Moreover, the spiral effect of the airflow induced torque on the rapeseed blades, leading to a more intricate motion state. These observations offered crucial insights for a deeper comprehension of the movement mechanism of rapeseed plants under the influence of UAV downwash airflow.

3.4. Analysis of Fluid–Solid Coupling Simulation Results

3.4.1. Surface Pressure Distribution of Seedling-Stage Rapeseed Three-Dimensional Model

The velocity distribution of airflow surrounding seedling-stage rapeseed is depicted in Figure 19. As the airflow approached the rapeseed blades, its velocity progressively diminished (Figure 19a). However, upon interaction with the blades, the velocity experienced a sudden surge to 5 m/s. Notably, as the distance from the surface of the rapeseed blades decreased, the airflow velocity gradually escalated.
The pressure distribution on the surface of rapeseed leaves predominantly fell within the range of 20~40 Pa (Figure 19b), with the highest pressure occurring near the tip of the leaf. This highlighted the substantial influence of airflow on the blade, particularly at the blade tip, suggesting that variations in its displacement could serve as pivotal observation points for investigating the blade’s motion state.

3.4.2. Displacement Variation in Different Directions of Seedling-Stage Rapeseed Leaf Tip Position

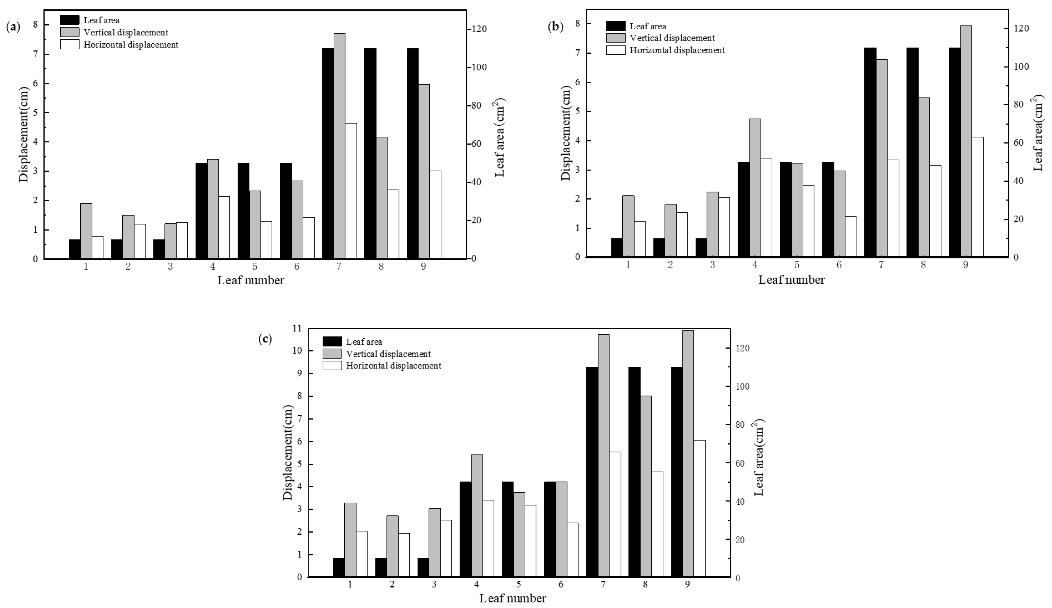
This study extracted the displacement data of the leaf tips from nine rapeseed leaves with leaf areas of 10 cm2, 50 cm2, and 110 cm2. Figure 20 illustrates the displacement of the leaf tips of the rapeseed model in both horizontal and vertical directions under three different mechanical property parameters.
When considering the mechanical properties denoted as M1 (Figure 20a), the vertical displacements of blades No. 1–3 measured 1.94 cm, 1.62 cm, and 1.44 cm, respectively, resulting in an average value of 1.65 cm. The corresponding horizontal displacements were 0.84 cm, 1.12 cm, and 1.38 cm, respectively, averaging significantly lower compared to the vertical displacements. For leaves No. 4–6, the vertical displacements measured 3.62 cm, 2.45 cm, and 2.82 cm, respectively, while their horizontal displacements were notably lower, measuring 2.35 cm, 1.43 cm, and 1.61 cm, respectively. The vertical displacements of leaves No. 7–9 significantly exceeded those of leaves No. 4–6, measuring 7.64 cm, 4.22 cm, and 6.56 cm, respectively, with an average value of 6.14 cm. In contrast, the average horizontal displacement measured 3.04 cm, indicating a significant reduction compared to the displacement in the vertical direction.
When examining the mechanical properties designated as M2 (Figure 20b), the vertical displacement of the blade tip varied between 1.8 cm and 8.4 cm, whereas the horizontal displacement ranged from 1.3 cm to 4.1 cm. In contrast, for the mechanical properties labeled as M3 (Figure 20c), the vertical and horizontal displacements fluctuated from 2.8 cm to 10.9 cm and from 1.9 cm to 6.2 cm, respectively. An in-depth analysis demonstrated that as the mechanical properties of rapeseed evolved from M1 to M3, the displacement of the rapeseed leaf tip markedly escalated in all directions for a constant leaf area. Throughout all blades, vertical displacement substantially surpassed horizontal displacement, which is congruent with the differential wind speed components of the downwash airflow in each spatial direction. Notably, the wind speed in the vertical direction greatly exceeded that in the horizontal direction. Furthermore, with unchanging mechanical properties of rapeseed, an expansion in leaf area led to a considerable augmentation in the displacement of the leaf tip. This occurrence could be attributed to the enlarged leaf area elevating the overall stress on the rapeseed leaves.
The findings highlighted the substantial influence of rapeseed’s mechanical properties on its displacement alterations. As the elastic modulus within the mechanical properties increased, both horizontal and vertical displacements notably decreased. Furthermore, the leaf area of rapeseed leaves emerged as a significant factor influencing displacement. Nonetheless, even with minimal changes in leaf area, the displacement of the leaf tip position exhibited significant disparities, as observed in leaves No. 7–9.

3.5. Analysis of Experimental Validation Results for UAV Downwash Airflow

The results of the UAV downwash airflow experimental values, simulated values, and relative errors are presented in Table 3. Across test points within the 0.2–0.8 m range above the ground, the relative errors between simulated and tested values were under 10.5% (except for the rotor 4 being 0.8 m above the ground). For test points situated 1 to 1.4 m from the ground, the relative error range was from 15.7% to 20.5%. However, a notable discrepancy existed between the test values at 0 m above the ground and the experimental values, with errors ranging from 12.4% to 32.9%, possibly attributed to the influence of UAV downwash airflow on the ground. The changing trends of test values and simulated values at different test points under the UAV rotor are illustrated in Figure 21, showing consistent patterns. Additionally, most test points exhibited test values exceeding experimental values, likely due to discrepancies in wingtip positions during three-dimensional rotor reconstruction, resulting in simulated speeds being lower than test values. Moreover, as ground height decreased, the test value diminished at a faster rate than the simulated value, potentially due to environmental factors in actual testing leading to substantial momentum loss of downwash airflow, which was not considered in the simulation calculations.
In summary, the airflow simulation values within the rapeseed canopy distribution area (0.5~0.8 m above the ground) demonstrated relative accuracy. Therefore, the simulation results of UAV downwash airflow serve as a robust theoretical reference in this domain, providing substantial support for a deeper understanding of rapeseed plant responses under the influence of UAV downwash airflow.

3.6. Limitations and Future Work

This study introduced a research methodology centered on CFD simulation to investigate the impact of multi-rotor UAV downwash airflow on wind-induced responses of seedling-stage rapeseed. This approach encompassed the hovering height of the UAV and characteristic points of the blades during the examination of wind-induced responses in the rapeseed seedling stage, providing foundational theoretical underpinnings. Nonetheless, several areas warrant further exploration. Firstly, the study solely undertook a singular coupling in the seedling-stage rapeseed-downwash airflow fluid-solid coupling simulation, focusing on the downwash airflow’s effect on seedling-stage rapeseed without considering the reciprocal influence of seedling-stage rapeseed on the downwash airflow. Given that seedling rape obstructs downwash airflow, resulting in altered downwash airflow distribution, additional research in this regard is imperative. Furthermore, the study exclusively conducted verification tests on UAV downwash airflow simulation results, omitting validation of the fluid-solid coupling simulation outcomes of seedling rape-downwash airflow, primarily due to stringent environmental verification prerequisites. Future research efforts could address these limitations to advance understanding in this domain.

4. Conclusions

In this study, CFD was used to simulate the downwash airflow generated by a UAV at three different hovering altitudes. The study analyzed the variations in downwash airflow across these different hovering levels, examining the impact of airflow velocity magnitude and the coefficient of variation for fluid wind speed. Additionally, a downwash airflow–rapeseed fluid–solid coupling model was constructed to investigate the distribution of surface loads on rapeseed leaves under the influence of downwash airflow. The key conclusions of the study are as follows:
(1)
At a UAV hovering height of 2 m, the downwash airflow distribution demonstrated relative uniformity, with a wind speed variation coefficient of 0.258. Compared to hovering at a height of 1.6 m, there is no significant difference, but it is noticeably lower than hovering at a height of 2.4 m.
(2)
Analysis of the seedling-stage rapeseed–downwash airflow fluid–solid coupling revealed that pressure on the surface of rapeseed blades near the tip was markedly higher than in other regions. The displacement of the leaf tip was notably influenced by the bending elastic modulus and leaf area of rapeseed. An increase in elastic modulus led to diminished displacement, while an augmented area resulted in increased displacement. Moreover, significant disparities were observed in displacement components of the rapeseed leaf tip across different directions, with vertical displacement notably surpassing horizontal displacement.
(3)
Comparison with actual measured values validated the accuracy of simulated UAV downwash airflow distribution calculations. The simulated values exhibited consistent trends with the measured counterparts. Specifically, the height of the rapeseed canopy, situated 0.5~0.8 m above the ground, served as a pivotal analysis position, with simulation-test value discrepancies falling below 10.5%, indicative of minimal error.
In conclusion, the CFD-based simulation of UAV downwash airflow is closely aligned with actual measurements, thereby establishing a foundational framework for determining UAV flight height in the investigation of rapeseed wind-induced responses. Furthermore, the analysis results of the fluid–structure coupling model furnished a theoretical underpinning for selecting test points for rapeseed wind response characteristics and parameter selection.

Author Contributions

Data curation, Z.X.; Formal analysis, Q.W.; Funding acquisition, G.Z.; Methodology, Q.W., H.W. and J.W.; Project administration, Y.R.; Resources, G.Z.; Supervision, Y.R.; Validation, X.B.; Writing–original draft, H.W.; Writing–review and editing, Q.W. and Y.Y. All authors have read and agreed to the published version of the manuscript.

Funding

This research is supported by the National Key Research and Development Program of China, Research and Application Demonstration of the Key Technology in Rapeseed Industry (2021YFD1600502).

Institutional Review Board Statement

The study did not involve humans or animals.

Data Availability Statement

Data are contained within the article.

Conflicts of Interest

The authors declare no conflicts of interest.

References

  1. Ahmad, F.; Qiu, B.; Dong, X.; Ma, J.; Huang, X.; Ahmed, S.; Chandio, F.A. Effect of operational parameters of UAV sprayer on spray deposition pattern in target and off-target zones during outer field weed control application. Comput. Electron. Agric. 2020, 172, 105350. [Google Scholar] [CrossRef]
  2. Watanabe, K.; Guo, W.; Arai, K.; Takanashi, H.; KajiyaKanegae, H.; Kobayashi, M. High-throughput phenotyping of sorghum plant height using an unmanned aerial vehicle and its application to genomic prediction modeling. Front. Plant Sci. 2017, 8, 421. [Google Scholar] [CrossRef] [PubMed]
  3. Yang, S.; Tang, Q.; Zheng, Y.; Liu, X.; Chen, J.; Li, X. Model migration for CFD and verification of a six-rotor UAV downwash. Int. J. Agric. Biol. Eng. 2020, 13, 10–18. [Google Scholar] [CrossRef]
  4. Wang, Q.; Ren, Y.; Wang, H.; Wang, J.; Yang, Y.; Zhang, Q.; Zhou, G. Wind-induced response of rapeseed seedling stage and lodging prediction based on UAV imagery and machine learning methods. Comput. Electron. Agric. 2024, 217, 108637. [Google Scholar] [CrossRef]
  5. Tang, Q.; Zhang, R.; Chen, L.; Xu, G.; Deng, W.; Ding, C.; Xu, M.; Yi, T.; Wen, Y.; Li, L. High-accuracy, high-resolution downwash flow field measurements of an unmanned helicopter for precision agriculture. Comput. Electron. Agric. 2020, 173, 105390. [Google Scholar] [CrossRef]
  6. Wang, C.; He, X.; Wang, X.; Wang, Z.; Wang, S.; Li, L.; Mei, S. Distribution characteristics of pesticide application droplets deposition of unmanned aerial vehicle based on testing method of deposition quality balance. Trans. Chin. Soc. Agric. Eng. 2016, 32, 89–97. [Google Scholar]
  7. Shi, Q.; Liu, D.; Mao, H.; Shen, B.; Li, M. Wind-induced response of rice under the action of the downwash flow field of a multi-rotor UAV. Biosyst. Eng. 2021, 203, 60–69. [Google Scholar] [CrossRef]
  8. Wang, C.; He, X.; Wang, X.; Wang, Z.; Pan, H.; He, Z. Testing method of spatial pesticide spraying deposition quality balance for unmanned aerial vehicle. Trans. Chin. Soc. Agric. Eng. 2016, 32, 54–61. [Google Scholar] [CrossRef]
  9. Yang, S.; Xu, P.; Jiang, S.; Zheng, Y. Downwash characteristics and analysis from a six-rotor unmanned aerial vehicle configured for plant protection. Pest Manag. Sci. 2022, 78, 1707–1720. [Google Scholar] [CrossRef]
  10. Wang, G.; Lan, Y.; Qi, H.; Chen, P.; Hewitt, A.; Han, Y. Field evaluation of an unmanned aerial vehicle (UAV) sprayer: Effect of spray volume on deposition and the control of pests and disease in wheat. Pest Manag. Sci. 2019, 75, 1546–1555. [Google Scholar] [CrossRef]
  11. Meng, Y.; Lan, Y.; Mei, G.; Guo, Y.; Song, J.; Wang, Z. Effect of aerial spray adjuvant applying on the efficiency of small unmanned aerial vehicle on wheat aphids control. Int. J. Agric. Biol. Eng. 2018, 11, 46–53. [Google Scholar] [CrossRef]
  12. Liao, J.; Zang, Y.; Luo, X.; Zhou, Z.; Lan, Y.; Zang, Y.; Gu, X.; Xu, W.; Hewitt, A.J. Optimization of variables for maximizing efficacy and efficiency in aerial spray application to cotton using unmanned aerial systems. Int. J. Agric. Biol. Eng. 2019, 12, 10–17. [Google Scholar] [CrossRef]
  13. Li, J.; Lan, Y.; Shi, Y. Research progress on airflow characteristics and field pesticide application system of rotary-wing UAV. Trans. CSAE 2018, 34, 104–118. [Google Scholar]
  14. Zhang, B.; Tang, Q.; Chen, L.P.; Xu, M. Numerical simulation of wake vortices of crop spraying aircraft close to the ground. Biosyst. Eng. 2016, 145, 52–64. [Google Scholar] [CrossRef]
  15. Ni, J.; Yao, L.; Zhang, J.; Cao, W.; Zhu, Y.; Tai, X. Development of an unmanned aerial vehicle-borne crop-growth monitoring system. Sensors 2017, 17, 502. [Google Scholar] [CrossRef] [PubMed]
  16. Shi, Q.; Pan, Y.; He, B.; Zhu, H.; Liu, D.; Shen, B.; Mao, H. The airflow field characteristics of UAV flight in a greenhouse. Agriculture 2021, 11, 634. [Google Scholar] [CrossRef]
  17. Yao, L.; Wang, Q.; Yang, J.; Zhang, Y.; Zhu, Y.; Cao, W.; Ni, J. UAV-borne dual-band sensor method for monitoring physiological crop status. Sensors 2019, 19, 816. [Google Scholar] [CrossRef] [PubMed]
  18. Peng, C.; Miao, Y.L.; Wang, L.Y.; Li, H.; Li, X.H.; Zhang, M. Morphological parameters extraction of banana sucker in the field based on three-dimensional point cloud. Trans. Chin. Soc. Agric. Eng. 2022, 38, 193–200. [Google Scholar]
  19. Zhang, H.; Qi, L.J.; Wu, Y.L.; Cheng, Z.Z.; Liu, W.W.; Elizabeth, M.; Xiao, Y.; Yang, Z.P. Distribution characteristics of rotor downwash airflow field under spraying on orchard using unmanned aerial vehicle. Trans. Chin. Soc. Agric. Eng. 2019, 35, 44–54. [Google Scholar]
  20. Liao, P.; Fu, J.Y.; Ma, W.Y.; He, Y.C. Numerical simulation and experimental study of flow field in closed and open wind tunnel test section. Eng. Mech. 2022, 39, 164–172. [Google Scholar]
  21. Ding, T.; Qiu, M.J.; Liu, Z.W.; Li, S.; Shi, Z.X. Numerical simulation on parameter optimization of agricultural axial flow fan collector. Trans. Chin. Soc. Agric. Mach. 2022, 53, 342–353. [Google Scholar]
  22. Guo, Q.; Zhu, Y.; Tang, Y.; Hou, C.; He, Y.; Zhuang, J.; Zheng, Y.; Luo, S. CFD simulation and experimental verification of the spatial and temporal distributions of the downwash airflow of a quad-rotor agricultural UAV in hover. Comput. Electron. Agric. 2020, 172, 105343. [Google Scholar] [CrossRef]
  23. Wang, C.Y.; Wang, F.J. Shape and position of sliding interface for transient flow simulation of centrifugal pump. Trans. Chin. Soc. Agric. Mach. 2017, 48, 81–88. [Google Scholar]
  24. Shirobokov, D.A. Third-order accurate conservative method on a unstructured mesh for gasdynamic simulations. Comput. Math. Math. Phys. 2022, 62, 165–181. [Google Scholar] [CrossRef]
  25. Kutz, B.M.; Keßler, M.; Krämer, E. Experimental and numerical examination of a helicopter hovering in ground effect. Eur. Rotorcr. Forum 2012, 4, 397–408. [Google Scholar] [CrossRef]
  26. Yang, S.; Liu, X.; Chen, B.; Li, S.; Zheng, Y. CFD models and verification of the downwash airflow of an eight-rotor UAV. ASABE 2019, 19, 1018–1024. [Google Scholar]
  27. Zhuang, J.J.; Luo, S.M.; Hou, C.J.; Tang, Y.; He, Y.; Xue, X.Y. Detection of orchard citrus fruits using a monocular machine vision-based method for automatic fruit picking applications. Comput. Electron. Agric. 2018, 152, 64–73. [Google Scholar] [CrossRef]
Figure 1. Research overall methodology and approach.
Figure 1. Research overall methodology and approach.
Agriculture 14 01326 g001
Figure 2. Rotor reverse modeling.
Figure 2. Rotor reverse modeling.
Agriculture 14 01326 g002
Figure 3. UAV model.
Figure 3. UAV model.
Agriculture 14 01326 g003
Figure 4. Four-rotor rotation direction.
Figure 4. Four-rotor rotation direction.
Agriculture 14 01326 g004
Figure 5. Seedling-stage rapeseed model.
Figure 5. Seedling-stage rapeseed model.
Agriculture 14 01326 g005
Figure 6. Rotating domain.
Figure 6. Rotating domain.
Agriculture 14 01326 g006
Figure 7. Static domain.
Figure 7. Static domain.
Agriculture 14 01326 g007
Figure 8. Fluid domain mesh: (a) Static domain mesh; (b) Rotating domain mesh.
Figure 8. Fluid domain mesh: (a) Static domain mesh; (b) Rotating domain mesh.
Agriculture 14 01326 g008
Figure 9. Boundary condition setup.
Figure 9. Boundary condition setup.
Agriculture 14 01326 g009
Figure 10. Seedling-stage rapeseed-downwash air flow fluid-structure interaction simulation model.
Figure 10. Seedling-stage rapeseed-downwash air flow fluid-structure interaction simulation model.
Agriculture 14 01326 g010
Figure 11. Distribution of airflow test points under UAV.
Figure 11. Distribution of airflow test points under UAV.
Agriculture 14 01326 g011
Figure 12. XOZ plane velocity distribution.
Figure 12. XOZ plane velocity distribution.
Agriculture 14 01326 g012
Figure 13. Changes in airflow velocity along the X-axis in the XOZ plane at different heights from the ground: (a) Hovering height 1.6 m; (b) Hovering height 2.0 m; (c) Hovering height 2.4 m.
Figure 13. Changes in airflow velocity along the X-axis in the XOZ plane at different heights from the ground: (a) Hovering height 1.6 m; (b) Hovering height 2.0 m; (c) Hovering height 2.4 m.
Agriculture 14 01326 g013
Figure 14. XOY plane airflow velocity distribution at different heights above the ground at a hovering height of 1.6 m.
Figure 14. XOY plane airflow velocity distribution at different heights above the ground at a hovering height of 1.6 m.
Agriculture 14 01326 g014
Figure 15. XOY plane airflow velocity distribution at different heights above the ground at a hovering height of 2.0 m.
Figure 15. XOY plane airflow velocity distribution at different heights above the ground at a hovering height of 2.0 m.
Agriculture 14 01326 g015
Figure 16. XOY plane airflow velocity distribution at different heights above the ground at a hovering height of 2.4 m.
Figure 16. XOY plane airflow velocity distribution at different heights above the ground at a hovering height of 2.4 m.
Agriculture 14 01326 g016
Figure 17. The variation coefficient of XOY plane airflow velocity at 0.5~0.8 m above the ground at three hovering heights.
Figure 17. The variation coefficient of XOY plane airflow velocity at 0.5~0.8 m above the ground at three hovering heights.
Agriculture 14 01326 g017
Figure 18. Distribution of airflow velocity components in each direction of the XOZ plane: (a) X-direction velocity component; (b) Y-direction velocity component; (c) Z-direction velocity component.
Figure 18. Distribution of airflow velocity components in each direction of the XOZ plane: (a) X-direction velocity component; (b) Y-direction velocity component; (c) Z-direction velocity component.
Agriculture 14 01326 g018
Figure 19. Fluid–structure interaction simulation results: (a) Distribution of downwash airflow around rapeseed at seedling stage; (b) Surface pressure distribution of rapeseed at seedling stage.
Figure 19. Fluid–structure interaction simulation results: (a) Distribution of downwash airflow around rapeseed at seedling stage; (b) Surface pressure distribution of rapeseed at seedling stage.
Agriculture 14 01326 g019
Figure 20. Displacement variation of rapeseed leaf tips under different mechanical properties: (a) M1; (b) M2; (c) M3.
Figure 20. Displacement variation of rapeseed leaf tips under different mechanical properties: (a) M1; (b) M2; (c) M3.
Agriculture 14 01326 g020
Figure 21. Simulation values and experimental values of UAV downwash airflow velocity: (a) Rotor1; (b) Rotor2; (c) Rotor3; (d) Rotor4.
Figure 21. Simulation values and experimental values of UAV downwash airflow velocity: (a) Rotor1; (b) Rotor2; (c) Rotor3; (d) Rotor4.
Agriculture 14 01326 g021
Table 1. Key parameters of the UAV.
Table 1. Key parameters of the UAV.
Dimensions (Height × Width × Length)
(mm)
Wheelbase
(mm)
Camera Pixels
(MP)
Video ResolutionFrame Rate
(fps)
83 × 83 × 19833512351920 × 108050
Table 2. Mechanical properties parameters of seedling-stage rapeseed.
Table 2. Mechanical properties parameters of seedling-stage rapeseed.
Mechanical PropertiesElastic Modulus (MPa)Poisson’s Ratio
M130.34
M220.34
M310.34
Table 3. Comparison of test values and simulated values.
Table 3. Comparison of test values and simulated values.
Rotor NumberWind Speed (m/s)Test Point Height from the Ground (m)
1.41.21.00.80.60.40.20.0
Rotor1Vs4.064.013.853.843.593.483.251.80
Vt5.144.924.684.223.943.513.042.25
e20.5%18.5%17.8%9.0%7.8%0.8%6.8%16.0%
Rotor2Vs4.193.723.633.503.403.423.182.32
Vt4.974.624.313.853.483.243.092.65
e15.7%19.5%15.7%9.1%2.3%5.6%2.9%12.4%
Rotor3Vs3.993.703.653.633.623.533.492.37
Vt5.014.754.584.253.743.423.192.91
e20.4%22.1%20.3%14.6%3.2%3.2%8.8%18.6%
Rotor4Vs4.093.823.453.643.513.693.272.19
Vt5.124.984.724.453.923.673.343.12
e20.1%23.2%26.9%18.2%10.5%0.5%2.1%32.9%
Note: Vs is the simulated value, Vt is the experimental value, and e is the relative error between the simulated value and the experimental value.
Disclaimer/Publisher’s Note: The statements, opinions and data contained in all publications are solely those of the individual author(s) and contributor(s) and not of MDPI and/or the editor(s). MDPI and/or the editor(s) disclaim responsibility for any injury to people or property resulting from any ideas, methods, instructions or products referred to in the content.

Share and Cite

MDPI and ACS Style

Wang, Q.; Ren, Y.; Wang, H.; Wang, J.; Zhou, G.; Yang, Y.; Xie, Z.; Bai, X. Research on UAV Downwash Airflow and Wind-Induced Response Characteristics of Rapeseed Seedling Stage Based on Computational Fluid Dynamics Simulation. Agriculture 2024, 14, 1326. https://doi.org/10.3390/agriculture14081326

AMA Style

Wang Q, Ren Y, Wang H, Wang J, Zhou G, Yang Y, Xie Z, Bai X. Research on UAV Downwash Airflow and Wind-Induced Response Characteristics of Rapeseed Seedling Stage Based on Computational Fluid Dynamics Simulation. Agriculture. 2024; 14(8):1326. https://doi.org/10.3390/agriculture14081326

Chicago/Turabian Style

Wang, Qilong, Yilin Ren, Haojie Wang, Jiansong Wang, Guangsheng Zhou, Yang Yang, Zhiwei Xie, and Xiaotian Bai. 2024. "Research on UAV Downwash Airflow and Wind-Induced Response Characteristics of Rapeseed Seedling Stage Based on Computational Fluid Dynamics Simulation" Agriculture 14, no. 8: 1326. https://doi.org/10.3390/agriculture14081326

APA Style

Wang, Q., Ren, Y., Wang, H., Wang, J., Zhou, G., Yang, Y., Xie, Z., & Bai, X. (2024). Research on UAV Downwash Airflow and Wind-Induced Response Characteristics of Rapeseed Seedling Stage Based on Computational Fluid Dynamics Simulation. Agriculture, 14(8), 1326. https://doi.org/10.3390/agriculture14081326

Note that from the first issue of 2016, this journal uses article numbers instead of page numbers. See further details here.

Article Metrics

Back to TopTop