Next Article in Journal
A Long-Term CO2 Emission Forecasting Under Sustainability Policy Using an Advanced Model Complementing the PAARIMAX Framework
Previous Article in Journal
Understanding Market Actors’ Perspectives on Agri-Food Data Sharing: Insights from the Digital Food Passports Pilot in Poland
 
 
Font Type:
Arial Georgia Verdana
Font Size:
Aa Aa Aa
Line Spacing:
Column Width:
Background:
Article

Design and Experimental Evaluation of a Minimal-Damage Cotton Topping Device

1
College of Mechanical and Electrical Engineering, Xinjiang Agricultural University, Urumqi 830052, China
2
Xinjiang Key Laboratory of Intelligent Agricultural Equipment, Urumqi 830052, China
3
Xinjiang Intelligent Agricultural Machinery Equipment Engineering Technology Research Center, Urumqi 830052, China
4
College of Mechanical and Electrical Engineering, Henan Agricultural University, Zhengzhou 450002, China
5
Key Laboratory of on Site Processing Equipment for Agricultural Products, Ministry of Agriculture and Rural Affairs, Hangzhou 310058, China
6
College of Mechanical and Electrical Engineering, Shihezi University, Shihezi 832000, China
*
Author to whom correspondence should be addressed.
Agriculture 2024, 14(12), 2341; https://doi.org/10.3390/agriculture14122341
Submission received: 3 November 2024 / Revised: 9 December 2024 / Accepted: 18 December 2024 / Published: 20 December 2024
(This article belongs to the Section Agricultural Technology)

Abstract

Cotton topping is a crucial aspect of cotton production, inhibiting apical dominance in cotton plants. Existing cotton topping machinery often results in over-topping. To address this challenge, the characteristics of manual topping operations were emulated by incorporating bionic principles to analyze the motions involved. Studying the artificial topping action and the trajectory of hand movements led to the design of a bionic topping manipulator and a trajectory-generating mechanism, serving as the core component of the cotton topping device. A flat-bottomed follower disc cam mechanism was used to facilitate the automatic opening and closing of the manipulator. The cam’s working area was divided, its contour curve selected, and the manipulator’s pulling spring’s action point and length determined. Subsequently, parametric equations for the motion trajectory of the bionic topping manipulator were established. Building on the topping mechanism’s working principle, a mechanical model was developed to analyze the swing of cotton plants. The model demonstrates that the displacement at the free end of the stalk was primarily influenced by its length. A lifter was then designed to reduce plant swing amplitude and orderly distribute its top position. The designed prototype of a single-row cotton bionic topping device was tested and verified through orthogonal tests, using operating speed, rotational speed, and topping depth as test factors. The topping rate and over-topping rate served as the indices for testing. The results indicated an average topping rate of 78.67% and an over-topping rate of 8%. This was achieved at a 0.3 m/s operating speed, a 40 r/min rotational speed, and a 110 mm topping depth. Cotton topping devices demonstrated greater effectiveness in minimizing damage to cotton plants, and future research should focus on enhancing topping rates even further. This study provides a theoretical foundation and test data to support the design of cotton topping machinery, guiding future mechanical improvements and agricultural practices.

1. Introduction

Cotton is one of the most important crops, characterized by large yields and low production costs. It is not only the most significant fiber crop and oilseed crop, but also a high-protein food source, serving as an essential raw material for textiles and fine chemicals, making it a strategically important material. Cotton exhibits an infinite growth habit and significant plant plasticity. Topping controls the growth of the main stalk, balancing nutrient and reproductive growth. This process directs more nutrients to the fruiting branches, promoting reproductive growth, which increases both the number of bolls and the weight of individual bolls, ultimately leading to higher yields [1,2,3].
Currently, the main methods for topping cotton include manual topping, mechanical topping, and chemical control. Manual topping can be inefficient and costly, often causing delays in farm operations. Chemical control is influenced by environmental factors and requires skilled operators. Improper application can lead to yield loss or environmental pollution. Traditional mechanical topping has the problem of excessive damage to the cotton plant caused by excessive topping, and as a result, developing low-damage mechanical topping technology has become a pressing issue in cotton production [4,5,6,7].
Research on foreign cotton topping technology began early and has undergone significant development through various power sources, including animal traction, tractor power, and hydraulic drive. Notable studies in this field include the work of Griffith Thomas K. [8] in 1907, who developed a mid-tillage machine featuring a rotating disc and fixed knives. This design allowed for the effective removal of cotton tops as stalks passed through the staggered knives. In 1911, Lowrey Luther A. [9] introduced a folding reciprocating cutter cotton topping machine with an adjustable horizontal cutting mechanism. Later, in 1951, Bell Joseph W. and colleagues [10] designed a two-row cotton topping machine powered by a tractor, which enabled adjustable topping height through a height adjustment device. By 1962, Keyes Andy A. [11] had further advanced the technology with a cotton topping machine driven by a hydraulic motor that rotated the knife for efficient topping. Despite these innovations, differences in cotton varieties, planting patterns, labor costs, agricultural machinery development processes, and natural conditions have led to the adoption of chemical control methods for topping cotton plants in developed countries such as the United States and Australia.
China’s research on cotton topping machinery is currently focused on automated profiling control. Notable research contributions in this area include: Hu et al. [12] developed the 3MD-12 cotton topping machine, which is manually operated to control the hydraulic system for raising and lowering the cutting blade and gearbox, achieving overall profiling. Jiang et al. [13] created the 3FDD-6 cotton topping machine, which integrates overall profiling with ground profiling technology. It utilizes hydraulic cylinders to adjust the overall height of the frame while incorporating ground-based individual profiling components for precise height adjustments of the cotton topping device. He et al. [14] designed a vertical lifting individual profiling cotton topping machine that employs a contact profiling plate to gauge the height of the cotton plant’s tips. The profiling plate moves up and down in response to the cotton tips’ height, controlling the opening and closing of a solenoid valve that drives a hydraulic cylinder to lift the profiling platform. Zhou et al. [15] introduced the 3WDZ-6 self-propelled cotton topping machine, which utilizes laser ranging technology to regulate the extension speed of the tool carrier lifting cylinder, enabling automatic profiling of the individual tool support. Peng et al. [16] developed an electrically driven smart and precise cotton topping machine. This machine uses a front supporting plate to gather cotton and combines a non-contact light curtain photoelectric sensor with an FPGA controller and software to measure the height of the cotton plant’s tips. This system controls the rotation angle and direction of the servo motor to drive the topping device, achieving automatic profiling. Shi et al. [17,18,19] applied image recognition technology and algorithms such as neural networks to identify and measure the distance to cotton tips, providing control parameters for the automatic profiling control system. The integration of high-precision sensors has significantly enhanced the accuracy of the profiling topping process. These advancements highlight the continuous innovation in mechanical cotton topping technology, improving efficiency and precision in cotton topping practices.
Current research on automatic control systems of cotton topping machinery can, to a certain extent, improve the accuracy of topping, but it cannot fundamentally solve the problem of over-topping. Cotton topping machinery primarily uses components like reciprocating cutters, dumping knives, roller cutters, and disc knives. These mechanisms often result in over-cutting of cotton plant stalks and leaves, leading to the unintended removal of cotton peaches and other parts (over-topping). In contrast, manual topping involves carefully coordinated hand movements that are stable and precise, effectively preventing issues like over-topping and missed areas. By simulating the techniques involved in manual harvesting—such as movement patterns and postures—it is possible to significantly reduce the damage to cotton plants. To improve this process, the integration of bionic technology into cotton topping machinery is essential. This approach focused on designing a bionic topping device that mimics human topping actions. The core components of this device include a bionic topping manipulator and a trajectory-generating mechanism, which together replicate the nuanced movements of manual topping. This innovative design aimed to minimize damage to cotton plants while enhancing the overall efficiency of the topping process. By providing both theoretical foundations and test data, the bionic topping device will contribute to achieving low-damage and high-efficiency solutions for cotton topping.

2. Materials and Methods

2.1. Measurement of Biological Characteristics of Cotton Plants

2.1.1. Measurement Methods

The biological characteristics of cotton plants can be influenced by external factors such as sunlight and nutrients. However, in large-scale, standardized cultivation of cotton fields, these biological traits often exhibit certain patterns. Therefore, investigating the biological characteristics of cotton plants and identifying these patterns can provide valuable foundational research data for designing subsequent cotton topping devices. On 10 July 2022, cotton plant growth parameters were measured in a field located in Dalet Town (In cotton fields, the top of the cotton is level with the top two leaves of the cotton plant), Bole City, Bortala Mongol Autonomous Prefecture, Xinjiang, China. Machine-picked cotton in optimal growth conditions at the topping stage was chosen for evaluation. The variety was Xinluzao cotton cultivars.
Measuring Methods: During the cotton-topping period, the plum blossom layout method was used for field sampling. In this approach, sampling points were arranged in a pattern resembling a plum blossom. Each point was positioned at the intersection of the “petals” of the plum blossom design, ensuring an even distribution of sampling points across the field. This involved selecting five points within the center of the plum petals, with each row consisting of 21 cotton plants, totaling 105 plants, and the numbering of the selected cotton plants using paper labels. Measurements included using a tape measure (manufacturer: Deli Tools Co., Ningbo, China; range: 0~5000 mm, accuracy: 1 mm) and two steel plate rulers (manufacturer: Deli Tools Co., China: steel plate ruler 1, range: 0~1500 mm, accuracy: 1 mm; steel plate ruler 2, range: 0~500 mm, accuracy: 1 mm). In this study, growth metrics such as plant height, top height, top length, and top offset (Distance of cotton tops from the direction of sowing) were measured and statistically analyzed for 105 cotton plants during the topping period. The measurement method is illustrated schematically in Figure 1. The data provided valuable information on the development of more efficient and effective cotton topping machinery by aligning the design with the natural growth patterns of the plants [20,21].

2.1.2. Test Results and Analysis

Based on the statistical analysis of the measurement results, approximately 98.10% of the sampled cotton plants exhibited a plant height greater than the top height during the topping stage. Among these, the proportions of plants with height differences within 40 mm, 50 mm, and 60 mm were 96.19%, 98.10%, and 98.10%, respectively. Additionally, it was noted that the length of cotton tops was generally less than 50 mm. The correlation analysis between the height of cotton plants, top height, and top length, as shown in Figure 2, provides insights into the relationships among these growth metrics. This understanding can inform the design of more effective cotton topping devices. By recognizing these patterns, developers can create machinery that aligns better with the natural growth characteristics of the plants, ultimately improving harvesting efficiency and reducing damage.
The analysis revealed that cotton plant height exhibited an extremely significant positive correlation with top height. In contrast, the linear correlation between cotton top length and both cotton plant height and top height was found to be low.
This suggests that while plant height is a strong predictor of top height, the length of the cotton tops does not show a strong relationship with the other measurements. Consequently, it can be concluded that the height range of the cotton top position can be effectively determined based on the overall height of the cotton plants during the topping process. This information is crucial for designing topping devices that can accurately target the appropriate cutting heights, thereby enhancing efficiency and reducing unnecessary damage to the plants.
According to the measurement results of the deviation of the tops of the cotton plants shown in Figure 3, the negative half-axis indicates that the tops deviated to the left side of the measured traveling direction. In contrast, the positive half-axis indicates a deviation to the right side. The figure reveals that the maximum deviation of the top position of the cotton plants was 225 mm, with the number of tops deviating left and right being approximately equal.
Specifically, the mean value of left deviation was about 96.2 mm, whereas the mean value of right deviation was approximately 64.7 mm. The analysis of deviations within specific ranges showed that the absolute value of the deviation from the traveling direction accounted for 72.38% of the sample capacity for deviations within a range of 100 mm (including 100 mm). For deviations within the range of 150 mm (including 150 mm), this accounted for 86.67%, and for deviations within the range of 200 mm (including 200 mm), it accounted for 98.10%.

2.2. Design of a Bionic Topping Device for Cotton

2.2.1. Analysis of the Manual Topping Process

In manual topping, the operator positions their palm down and uses the thumb and index finger to grasp the top. The thumb’s fingertip pinches it off. This hand movement is controlled by the shoulder, elbow, and wrist, creating a vertical downward posture. The manual topping process is illustrated in Figure 4. The hand’s movement resembles a cycloid. Therefore, the manual topping action was divided into two steps: Step (1) mimics the action of human hands to remove the top; Step (2) ensures that the bionic topping manipulator remains straight down and its motion trajectory is similar to the cycloid. The corresponding trajectory-generating mechanism and bionic topping manipulator were designed to replicate the above process [22].

2.2.2. Structure and Working Principle of Cotton Bionic Topping Device

(1)
Structure of cotton bionic topping device
Based on the principle of bionics, the 3D model of bionic cotton single-row topping device was drawn. Its structure and components are labeled in Figure 5. The whole machine was hung on the tractor’s front frame. The electric control box and the industrial computer were installed on the frame; the bionic topping manipulator was on the trajectory-generating mechanism; the measuring light curtain was installed in front of the frame; and the lifter was arranged behind and below the measuring light curtain and the top manipulator.
(2)
Working principle
The whole machine is powered by a generator and utilizes a storage battery as its energy source. Prior to operation, the cotton topping device was mounted at the front end of the tractor via a suspension mechanism. The navigation motor, in conjunction with a screw mechanism, allowed the cotton topping device to move along the rows of cotton plants. A measuring light curtain detected the height of the cotton tops and transmitted this data to the control system. This system regulated the rotation of the profiling drive motor, enabling the topping device mounted on the screw to float up and down, thereby achieving the profiling function. Additionally, the control system adjusted the rotational speed of the topping drive motor based on the operating speed to ensure efficient topping. An industrial control computer provided real-time displays of the rotational speed of the trajectory-generating mechanism and the operating speed, while continuously recording the data related to cotton top height detection. This setup facilitates effective man-machine interaction, enhancing operational efficiency and accuracy during the cotton topping process.
When the designed cotton bionic topping device worked, the topping drive motor drove the trajectory-generator mechanism to rotate, and the bionic topping manipulator installed on the trajectory-generator mechanism, in addition to the rotation, showed plane-parallel movement under the control of the trajectory-generator mechanism, always keeps the opening direction downward, which was conducive to entering the cotton plant in the vertical direction. It was easy to separate the top of the cotton from the surrounding leaves to reduce the disturbance of the cotton plant. The bionic topping manipulator, in the role of the trajectory-generator mechanism, achieved the topping action via the manipulator open trigger mechanism and the manipulator closure trigger mechanism under the joint action of the completion of the opening and closing.

2.2.3. Design of the Bionic Topping Manipulator

To mechanize the manual topping process, the designed bionic topping manipulator consisted of several components (Figure 6a). It included components such as a cam, fixed mounting shaft, connecting arm, flat-bottom follower, push rod, cover, tension spring, pinch finger, and screening grid. A sketch of the bionic topping manipulator is depicted in Figure 6b. The manipulator is symmetrically arranged, with its open state indicated by solid lines. The dotted line indicates the state in which the pinch finger is closed. The screening grids helped to separate the cotton tops from the top-side blade, while the pinch fingers mimicked human fingers to shear off the tops. The flat-bottom follower, in conjunction with the cam, pushed the push rod downward vertically, opening the pinch finger. As the top passed through the screening grid and between the fingers, the cam moved to the near-rest position. The flat-bottom follower and push rod were reset, causing the pinch finger to swiftly close under spring force, thereby cutting the cotton top. During operation, the tension springs provided the necessary shear force for the bionic topping manipulator. The opening and closing actions were controlled by the movement of the trajectory-generating mechanism, utilizing the cam and flat-bottomed follower for precision [23,24].
Cam Design
(1) Determination of cam mechanism form
In the design of a mechanical manipulator for topping, a leveraging cam mechanism presents significant advantages. The cam mechanism is characterized by its simple structure, compact size, and ability to create complex motion trajectories. In this design, a flat-bottom follower disc cam was selected due to its high transmission efficiency and its capability to form a wedge-shaped oil film between the cam profile and the follower’s flat bottom. This feature, along with a pressure angle of zero (neglecting friction), makes it well-suited for high-speed operations often required in automated systems. The design requirements for the manipulator’s opening and closing actions are as follows: Open position maintenance: The cam profile must be designed to keep the follower in an open position when the manipulator needs to remain open. Quick closing action: Upon reaching the topping position, the cam must be able to quickly close the manipulator to effectively execute the topping action [25].
(2) CAM working area division
To determine the cam’s movement angle, we referred to the division of the cam working area illustrated in Figure 7a, where δ1 represents the push angle, δ2 indicates the far rest angle, δ3 is the return angle, and δ4 denotes the near rest angle. According to the working principle of the bionic topping manipulator, the device should close (with the cam rotating clockwise) at a low position and open (with the cam rotating counterclockwise) at a high position. This rotational movement is generated by the trajectory-generating mechanism. During this operation, it is essential that the manipulator opens smoothly and closes quickly. Increasing the push angle appropriately can help reduce its average acceleration.
The opening and closing of the manipulator are accomplished through the rotation of the trajectory-generating mechanism. Both the manipulator closure trigger mechanism and the manipulator open trigger mechanism are fixed and immobile, with a contact handle mounted on the cam. When the manipulator opens, the trigger mechanism contacts the cam handle, pushing the contact handle onto the cam. This contact requires the cam to rotate counterclockwise by a specific angle (the push angle) to achieve maximum output displacement, reaching the far rest angle. At this point, the flat-bottom follower overcomes the spring force, allowing the bionic topping manipulator to open fully. The fingers open and the bionic topping manipulator moves to the topping position using the trajectory-generating mechanism. The closing trigger mechanism then touches the contact handle on the cam, initiating a clockwise movement. Under the influence of the tension spring force, the cam acts as a follower. It continues to rotate until reaching the near-rest angle, at which point the flat-bottom follower resets, and the bionic topping manipulator closes. Therefore, the operating range of the cam is limited to the solid line section depicted in Figure 7b [25].
(3) Determination of the working law and contour curve of the flat-bottom follower
The cam opening process requires no or a small impact to reduce wear and tear. Also, a quick response is required when closing the manipulator to ensure the cam’s service life. During the push and return phases, the flat-bottom follower should operate with no impact or only a flexible impact. Different cam curves affect the motion and dynamic characteristics of the mechanism. To achieve a cam mechanism with low vibration, low energy consumption, and low wear, choosing the appropriate cam curve is the primary challenge.
Let the displacement curve of a phase of the cam be h = h(t), at time t ∈ [0, ts] and h = s when t = ts. To study the common characteristics of the laws of motion of cam curves, it is necessary to standardize the parameters of time t, displacement s, velocity v, acceleration a, and leap degree j (dimensionless), and to differentiate the order of time t by displacement h to obtain the expressions for velocity v, acceleration a, and leap degree j as in Equation (1).
v = d h d t a = d v d t = d 2 h d t 2 j = d a d t = d 3 h d t 3
T = t t s , 0 T 1 H = h s , 0 H 1
From the above, differentiating Equation (1) with respect to time T one by one yields the relationships for dimensionless velocity V, acceleration A, leap degree J, and other quantities of motion of the relationship (Equation (3)).
T = t t s H = h s V = d H d T = t s s v A = d V d T = d 2 H d T 2 = t s 2 s a J = d A d T = d 3 H d T 3 = t s 3 s j
Cam curves are commonly used to analyze and evaluate the kinematics, dynamics, efficiency, and service life of cam mechanisms by parameters such as the maximum value of dimensionless velocity Vm, the maximum value of dimensionless acceleration Am, and the maximum value of dimensionless step Jm. The size of the maximum value of dimensionless velocity Vm is positively related to the size of the cam pressure angle. Large pressure angles lead to increased wear of the cam, reducing efficiency and self-locking. A smaller Vm value of the law of motion also reduces the radius of the base circle of the cam, thus reducing the size of the cam mechanism. The maximum value of dimensionless acceleration Am and the inertia force are positively correlated. In the high-speed cam mechanism, a large inertia force increased the wear between the cam and the follower, and the follower vibration was large at the later stage. This negatively influenced the working accuracy. Therefore, in the medium and high-speed cam mechanism, a cam curve with a smaller value of Am was selected. The maximum value of the dimensionless step Jm represents the rate of change of the inertia force, and this value mainly affects the motion accuracy of the high-speed cam mechanism. Especially at the end of the stroke, the smaller the leap value, the smoother the cam mechanism operates [25]. The selected cam curves were a constant acceleration curve, simple harmonic curve, sinusoidal curve, and quintic polynomial curve. The curves and their characteristic values are shown in Table 1.
In summary, the selected cam curve should minimize wear, reduce vibration and torque, and allow for slight reduction in movement accuracy when necessary. The appropriate curve should have a relatively small maximum value of dimensionless velocity Vm and dimensionless acceleration Am. The maximum value of dimensionless leap Jm can be appropriately relaxed. In order to avoid shocks and vibrations caused by sudden changes in speed or acceleration during the movement of the cam mechanism, the speed and acceleration functions of the cam’s operating phase should be continuous, and a quintic polynomial cam curve was selected.
The Application Point and the Length of the Spring Are Determined
(1) Determination of the position of the point of action of spring (point E)
The structural schematic diagram of the bionic topping manipulator is illustrated in Figure 8. The length of the tension spring changes with the opening and closing of the bionic topping manipulator. A fixed point, O, on the tension spring was established. To determine the optimal location for the action point E of the tension spring, it was essential to study how the selection of point E affected the length variation of the tension spring. The bionic topping manipulator was symmetrically arranged. The solid line in the diagram represents the state of the manipulator with the pinch fingers open, where they are parallel and the distance between them measures 150 mm. The dashed line indicates the position where the finger rotates around point A to close, with an angle (α) of 29°. The double dot dash line represents the horizontal or vertical extension from a point. One end of the tension spring was fixed at point O, while points E and E′ serve as the other fixed points of the tension spring. In the designed system, the lengths lOE and lOE denote the lengths of the tension spring when the pinch finger opens and closes, respectively. Line segments lOO′, lOA′, lBO′, lAB, and lBJ were 75, 40, 10, 35, and 142 mm, respectively.
We analyzed the variation in the stretch spring length during the opening and closing of the bionic topping manipulator, as shown in Figure 8. The change in stretch spring length was denoted as Δ; then:
Δ = l O E l O E
In RtΔEOP, RtΔOE′P′, according to the Pythagorean theorem:
l O E = ( l E P 2 + l O P 2 ) l O E = ( l E P 2 + l O P 2 )
In Equation (5), lEP is the connection between point E and point P of the tension spring; lOP is the connection between point O and point P of the tension spring; and lE′P′ is the connection between the application point E′ and P′ of the tension spring according to the positional relationship in Figure 8, as shown in Equation (6).
l O P = l O E l O P = l O J δ l P J l O J = l B J l A A δ = l B J ( l A B sin α + l B J cos α ) l P J = l B J l B E cos α l E P = l B J l B E sin α
Sorting and putting Equation (6) into Equation (5), Equation (7) was derived.
l O E = ( l E P 2 + ( l B E l B O ) 2 l O E = ( l E J sin α ) 2 + ( l O J δ l E J cos α ) 2
If the length of lBE was x, according to Figure 8 combined with the known conditions, the above results were put into Equation (7), and after calculation, Equation (8) was derived.
l O E = 75 2 + ( x 10 ) 2 l O E = x 27.28 2 + 63.59 2
The results were the substituted into Equation (4) to derive Equation (9) below.
Δ = | l O E l O E | = 75 2 + ( x 10 ) 2 x 27.28 2 + 63.59 2
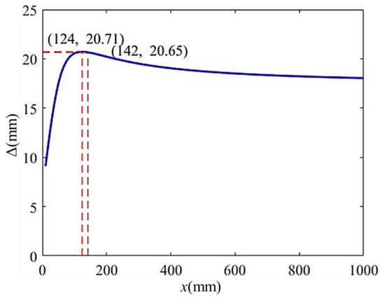
From Equation (9), the selection range of point E was between O′ and J. Therefore, the value range of x was within the range of 10 to 142 mm. Matlab software (version: R2023a; Development Company: Mathworks, Inc., Natick, MA, USA) was used to calculate the result, as shown in Figure 9 below:
From Figure 9, it can be observed that, within the range of 10 < x < 142 mm, the maximum variation in the length of the tension spring occurred at 124 mm. At this point, the difference in deformation of the tension spring during the opening and closing of the cotton bionic topping manipulator was 20.71 mm. Given the magnitude of force required from the selected tension spring and the size limitations of the topping manipulator, point E should be positioned below point O. The variable Δ tended to increase initially as it approached 124 mm below point O. However, between 124 mm and 142 mm (from point B), Δ began to decrease. Furthermore, as lBE increased, Δ gradually diminished. Although the maximum influence of the position change of point E on tension spring variation was limited to 20.71 mm, it was important to consider that a tension spring with fewer coils becomes stiffer under the same load. This stiffness increases the stress on each coil, potentially leading to greater system vibrations during operation, which could compromise stability and performance.
To enhance the reliability and service life of the system, point E should be positioned further away from point B. To ensure that the closing mechanism of the clamping finger was not affected, point E was initially set 120 mm away from point B.
(2) Determination of spring length
In designing the spring, it was important to consider the range of dimensional changes throughout the spring’s operation. This analysis is crucial in providing a theoretical basis for subsequent spring designs. Therefore, it was necessary to examine how the tension spring’s length changed during the topping manipulator’s operation. The length is expressed as lE′O. The schematic diagram of the spring length change is illustrated in Figure 10. The solid line represents the state of the clamping finger when the bionic topping manipulator was in the open position. The dot–dash line shows the position of the clamping finger after rotating around point A with an angle α. The dashed line indicates the extension direction from a certain point, either horizontally or vertically. Point O serves as the fixed point for one end of the tension spring, while points E and E′ mark the other fixed points. The extension line lOM from point O, along the horizontal direction, intersects with lines lE′N and lAR at points N′ and M′, respectively. Additionally, the extension line lB′R intersects with lines lE′N and lAR at points R′ and R.
It can be concluded from Figure 10 that the problem of determining the maximum change in the length of the tension spring can be reframed as finding the length of lOE. This led to the identification of a functional relationship within the triangle RtΔE′ON′:
l E O = l E N 2 + l O N 2
Equations (11) and (12) were obtained according to the position relationship in Figure 10:
l E N = l E R + l R N l O N = l O M + l N M
l E R = l B E cos α l R N = l M R = l A B sin α l A M l O M = 40 l N M = l R R l R R = l B R l B R
It can be seen in RtΔB′AR and RtΔE′B′R′:
l B R = l A B cos α l B R = l B E sin α
Substituting Equations (12) and (13) into Equation (11) yields:
l E N = l E R + l R N = l B E cos α + l A B sin α l A M l O N = l O M + l N M = 40 + l A B cos α l B E sin α
The horizontal distance between point A and point O on the rack was 40 mm, while the vertical distance was 10 mm. The lengths of lAB, lBJ, and lOO were 35, 142, and 75 mm, respectively. Substituting these values into Equation (14) yielded Equation (15).
L ( α ) = l A B 2 + l B F 2 ( l A B sin α l A B 2 + l B F 2 + l B F cos α l A B 2 + l B F 2 )
We substituted the calculation result of Equation (15) into Equation (10):
L ( α ) = l A B 2 + l B F 2 ( l A B sin α l A B 2 + l B F 2 + l B F cos α l A B 2 + l B F 2 )
When 0 ≤ α ≤ 29°, Equation (16) became monotonous, and the maximum and minimum values of spring lengths was 133.14 and 112.61 mm, respectively.
Calculation of the Amount of Change in the Vertical Direction of the Pinch Finger
The pinch finger on the bionic topping manipulator directly contacted the cotton plant top during the topping process. When the cotton tip entered the pinch-off range, the pinch finger transitioned from an open to a closed state due to the tension of the spring. Shearing of the cotton tip was achieved through the coordinated movement of the left and right pinch fingers. However, since the dimensions of the bionic topping manipulator were fixed, the structure of the pinch finger caused it not to align horizontally when rotating around point A (the projection L on the y-axis changed continuously). The variations in the working positions of the pinch finger are illustrated in Figure 11.
The lowest position of the pinch finger’s action point affected the installation position of the subsequent vane screening grid. Additionally, the highest position occurred when the manipulator was closed, directly impacting the precision of the top separation. To meet the precise requirements for topping, calculations based on the size parameters of the pinch finger and its movement dynamics were performed.
Given that lAB was 35 mm and lBJ was 142 mm, the angle of rotation of the pinch finger around point A was defined as α. The variation in the projection of lBJ on the y-axis, denoted as δ, was of particular interest. To determine the optimal mounting position of the sieve grill and the precise separating position of the tip, it was essential to calculate the maximum value of δ. The projection L of lBJ onto the y-axis is represented by Equation (17):
L ( α ) = l A B sin α + l B F cos α
When α ϵ [0°, 29°], Equation (18) combined with the auxiliary angle equation can be obtained:
L ( α ) = l A B 2 + l B F 2 ( l A B sin α l A B 2 + l B F 2 + l B F cos α l A B 2 + l B F 2 )
We also set:
cos φ = l A B l A B 2 + l B F 2 sin φ = l B F l A B 2 + l B F 2
By substituting Equation (19) into Equation (18), it is simplified to:
L ( α ) = l A B 2 + l B F 2 sin ( α + φ )
In summary, the maximum value of δ when α ϵ [0°, 29°] was calculated using Equation (21):
δ M A X = L ( α ) M A X L ( α ) M I N = L ( 13.84 ° ) L ( 29 ° )
Therefore, when using the bionic topping manipulator, the depth of entry should be increased, and the screening grid should be installed more than 5.07 mm below the closing point of the pinch finger.

2.2.4. Structural Parameters of the Trajectory-Generating Mechanism

The trajectory-generating mechanism was designed based on the manual topping motion, where the palm and fingers maintain a vertical downward posture and the hand’s topping trajectory resembles that of a residual pendulum. The trajectory-generating mechanism is mainly composed of the topping driving motor, eccentric disc, manipulator closure trigger mechanism, frame, manipulator open trigger mechanism, driving disc, etc. A schematic diagram of the trajectory-generating mechanism and its spatial location relationship is shown in Figure 12. The bionic topping manipulator was mounted on the trajectory-generating mechanism through the fixed mounting shaft and connecting arm, keeping the opening downward. The cam movement was controlled by the manipulator closure trigger mechanism and the manipulator open trigger mechanism while allowing the manipulator to open and close. The topping device, consisting of the bionic topping manipulator and the trajectory-generating mechanism, could be manipulated by the control system to achieve the functions of transverse row-to-row and longitudinal profiling.
During operation, the topping drive motor rotated the driving disc, which was fitted with the bionic topping manipulator. In addition to its rotational movement, the manipulator also performed plane-parallel movements controlled by the eccentric disc, ensuring that its opening direction remained downward. This design facilitated vertical harvesting and aided in separating the cotton tops from the surrounding leaves while minimizing disturbance to the cotton plants.
The bionic topping manipulator operated under the guidance of the trajectory-generating mechanism. It completed the opening and closing actions through the manipulator open trigger mechanism and the manipulator closure trigger mechanism, effectively performing the topping action. A schematic diagram illustrating the working principle is shown in Figure 13.
(1)
Establishment of trajectory equations for bionic topping manipulator driven by trajectory-generating mechanism
The trajectory generated by the trajectory-generating mechanism plays a crucial role in determining how the topping manipulator interacts with the tops of cotton plants. When this mechanism operates, the motion of the bionic topping manipulator is a composite motion. Specifically, it combines the rotary motion of the manipulator around the center of the disc at an angular velocity ω with the forward motion of the machine itself. In this system, we define the positive x-direction as the forward direction of the topping manipulator and the positive y-direction as perpendicular to the ground and directed upward. The lowest point of the bionic topping manipulator’s circular motion serves as the origin of our coordinate system, which is illustrated in Figure 14. In this figure, the solid line represents the driving disc, the thin dotted line represents the eccentric disc, and the dashed line depicts the trajectory of the bionic topping manipulator when it is at the lowest center position with a velocity v0 = 0.
Assuming that v0 and ω are both fixed, the working radius of the bionic topping manipulator R and the lowest point of the pinch finger of the bionic topping manipulator are taken as the reference point, and its motion equation is shown in Equation (22):
x = v 0 t + R cos ( ω t ) y = H + R R sin ( ω t )
where x is the displacement in the horizontal direction of the topping mechanism, mm; y is the displacement in the vertical direction of the topping device, mm; t is the time parameter, s; H is the distance from the lowest point of the bionic topping manipulator to the lowest point of the driving disc, mm; R is the radius of the driving wheel, mm; and v0 is the traveling speed of the machine, mm/s.
To ensure the quality of topping, the movement of the bionic topping manipulator should meet the following conditions: While maintaining the desired topping height, its horizontal speed during the topping process should be minimized to avoid pushing the cotton top sideways. Based on the agronomic requirements of cotton and the motion trajectory equation of the bionic topping manipulator, constraints on the parameters of the topping device can be derived. The bionic topping manipulator should ideally operate with purely vertical motion, ensuring a horizontal speed of vx = 0 during topping [26,27]. Deriving Equation (22) for time t yields the velocity components of the bionic topping manipulator in the horizontal and vertical directions (Equation (23)):
v x = d x d t = v 0 ω R sin ( ω t ) v y = d y d t = ω R cos ( ω t )
Letting vx be 0, the following equation is obtained:
v 0 = ω R sin ( ω t )
Let λ = ω R / v 0 , and the following can be obtained:
sin ( ω t ) = v 0 ω R = 1 λ v c v 0 = ω R v 0 = 2 π R n v 0 = λ
where vc is the circular speed of the driving disc, mm/s. From Equation (25), the trajectory of the bionic topping manipulator is influenced by both the circumferential speed vc of the driving disc and the operating speed v0 of the machine. The ratio of these two speeds, denoted as λ, is referred to as the speed ratio. For Equation (24) to be meaningful, the speed ratio λ can exist in three distinct cases: λ < 1, λ = 1, and λ > 1.
(2)
Trajectory analysis of the bionic topping manipulator
The trajectory of the bionic topping manipulator is illustrated in Figure 15. The forward trajectory is influenced by the value of λ, which is in the range of [0, +∞). For λ < 1, the trajectory resembles a short pendulum line that cannot form a complete pendulum loop; at this point, there is no point with zero velocity in the horizontal direction (refer to Figure 15a). When λ = 1, the trajectory corresponds to that of a standard pendulum, with the zero-velocity point occurring at the lowest position of the topping mechanism’s motion (see Figure 15b). For λ > 1, the zero-velocity point appears in the trajectory of the bionic topping manipulator, aligned tangentially and parallel to the y-axis (illustrated in Figure 15c) [26,27,28,29].
(3)
Influence of λ on manipulator topping trajectories and cotton plant interaction
The trajectory of the bionic topping manipulator varies significantly based on the value of λ. When λ < 1: The trajectory is a general curve. In this case, the relative motion between the bionic topping manipulator and the cotton plant stalk is reversed, causing the cotton plant to be pushed forward. There is no reversal action, and the manipulator lacks a backward horizontal velocity component throughout its motion. This results in unavoidable perturbation to the cotton plant in front. When λ = 1: The trajectory resembles a short pendulum line. Here, the relative motion is static, with no horizontal forces acting on the manipulator, similar to a stationary vehicle, while the manipulator moves vertically downward. This vertical movement is beneficial for the topping action; however, uneven terrain can lead to slippage between the wheels and the ground, making it challenging for the bionic topping manipulator to maintain this short pendulum-like motion. When λ > 1: The trajectory becomes a residual pendulum line, resulting in a ring buckle formation. As the bionic topping manipulator first contacts the cotton plant, it pushes the plant backward while generating slight lateral displacement. This process causes minimal disturbance and can be approximated as vertical movement. In the lower portion of the ring buckle, there exists a slight backward horizontal velocity, which reduces disturbance to the cotton plant and creates a more effective working process.
In summary, when λ ≥ 1, the motion trajectory of the bionic topping manipulator significantly reduces disturbance to the cotton plant compared to when λ < 1, thus facilitating better separation of cotton tops [30,31].
(4)
Determination of the contact range of the bionic topping manipulator
From the working principle of the bionic topping device, it can be seen that the bionic topping manipulator is mounted on the trajectory-generating mechanism. The trajectory of the bionic topping manipulator is the translation of the trajectory-generating mechanism in space. Consequently, studying the parameters of the residual pendulum line formed by the trajectory-generating mechanism is essential, as it directly relates to the motion trajectory of the bionic topping manipulator. Moreover, the dimensional parameters of the residual pendulum line significantly influence the topping effectiveness. Therefore, these dimensional parameters are crucial [26,27]. The motion trajectory diagram of the driving disc is illustrated in Figure 16.
During the topping process, the bionic topping manipulator moves downward from the top of the cotton plant until it makes contact with the apex. As the machine advances, the trajectory-generating mechanism creates a residual pendulum trajectory, allowing the bionic topping device to continue descending until the topping action is completed. The lateral movement distance of the bionic topping manipulator mounted on the trajectory-generating mechanism is denoted as Δx. A larger Δx indicates greater displacement of the single bionic topping manipulator while holding the cotton plant. Conversely, if Δx is too small, the reversal action of the bionic topping manipulator diminishes. Therefore, in order to minimize the disturbance to the cotton plant, Δx should be chosen to be as small as possible while ensuring sufficient inversion [32,33,34,35]. As illustrated in Figure 16, the following relationship can be derived.
x 1 = v 0 t 1 + R cos ( ω t 1 ) x 2 = v 0 t 2 + R cos ( ω t 2 ) Δ x = x 1 x 2 ω t 2 = π 2
According to Equation (26) the distance Δx of the lateral movement of the bionic topping manipulator is as follows:
Δ x = v 0 t 1 + R cos ( ω t 1 ) v 0 ( π 2 ω )
Also:
ω R v 0 = v c v 0 = λ ω t = arcsin 1 λ
Substituting Equation (28) into Equation (27) yields:
Δ x = R λ arcsin 1 λ + λ 2 1 π 2
From Equation (29), it can be observed that the lateral moving range Δx of the bionic topping manipulator is directly proportional to the operating speed v0 and inversely proportional to the rotational speed ω of the driving disc. Therefore, to minimize disturbance, v0 should be kept as low as possible while maximizing the rotational speed ω of the driving disc. If the number of bionic topping manipulators evenly distributed on the drive disc is denoted as Z, the working spacing S between two adjacent bionic topping manipulators—also representing the working step of a single bionic topping manipulator—can be expressed in Equation (30).
S = 2 π v 0 ω Z = 2 π R λ Z
As illustrated in Figure 16, when the speed ratio λ > 1, the trajectory-generating mechanism installed on two adjacent bionic topping manipulators creates a uniform spacing between their trajectories. This spacing represents the smallest working step for a single bionic topping manipulator and is directly related to its design dimensions. A smaller speed ratio results in a larger trajectory interval, which increases the working step length of each manipulator and diminishes adaptability to variations in the height of the cotton plants. According to the agricultural machinery design manual, for cotton topping machinery operating at speeds between 0.3 and 0.6 m/s, a suitable speed ratio λ can be selected within a range of approximately 1.7 to 2.0 [26,27]. Using the motion simulation and analysis capabilities of SolidWorks, the midpoint of any bionic topping manipulator’s pinch finger is designated as the trajectory generation point. The specific simulation parameters are outlined in Table 2 below, while the resulting trajectory curves are displayed in Figure 17.
According to Figure 17, the speed ratio λ significantly influences the trajectory of the bionic topping manipulator. To ensure effective cotton topping actions, the speed ratio must be greater than or equal to 1. When λ > 1, an increase in the speed ratio leads to a reduction in the distance between neighboring ring buckles, while the transverse movement range Δx of individual ring buckles also increases at a constant speed. If the speed ratio λ decreases, the step length between the trajectories of adjacent bionic topping manipulators becomes excessively large under unchanged conditions. This results in an increased working range of a single bionic topping manipulator during operations, which may enhance the efficiency of the topping device, but simultaneously reduces its adaptability to variations in the height of the cotton plants. A lower speed ratio also causes the lateral movement range Δx of a single ring buckle to increase, potentially leading to significant lateral displacement during harvesting and topping, thus affecting the accuracy of the operation [33,34,35]. Additionally, the working range of the gripping finger of each bionic topping manipulator is constrained by factors such as the radius of the driving disc, the structural dimensions of the manipulators, and the number of manipulators deployed. These factors must be considered when selecting operational parameters. Through the analyses and utilizing three-dimensional modeling and motion simulation, it has been determined that, with a speed ratio set at 1.8, a known disc radius of 215 mm, and five groups of bionic topping manipulators, the calculation based on Equation (30) indicates that the minimum working step of the finger of a single bionic topping manipulator is 150 mm.

2.2.5. Design of Lifter

(1)
Modeling of plant pendulum dynamics during topping
To address the problem of plant swinging during topping, a plant pendulum dynamics model is established. The cotton plant, subjected to the action of the bionic topping manipulator, is simplified as an axially pressurized straight rod with the lower end fixed and the upper end free. A vertical load F is applied to the free end, causing the rod to deflect by an amount w. The fixed end is used as the origin for establishing a right-angled coordinate system. It is assumed that the lower end of the stalk is fixed while the upper end experiences a vertical downward force F. For simplification, the mass of the stalk and any interference from surrounding plants are neglected. When the applied force is small, the stalk remains compressed and maintains a straight shape. However, when the rod becomes destabilized, its pendulum dynamics model is as shown in Figure 18 [36].
The selected coordinate system is shown in Figure 18, with deflection w and bending moment M. The approximate differential equation from the deflection curve is:
M = F ( δ w ) d 2 w d x 2 = M E I F E I = k 2
where, M is bending moment, N·mm; F is the pressure load on the system, N; w is deflection, mm; E is the elastic modulus, Pa; and I is the minimum moment of inertia of the cross section, m4. Then, after the above arrangement:
d 2 w d x 2 + k 2 w = k 2 δ
The general solution of the upper differential equation is:
w = A sin ( k x ) + B cos ( k x ) + δ
There is:
w = A k cos ( k x ) B k sin ( k x )
where A and B are constants and the boundary conditions of the member are w = 0 and w′ = 0 when x = 0; x = l, w = δ.
B + δ = 0 A k = 0 A sin ( k l ) + B cos ( k l ) = 0
Since A, B, and δ cannot all be 0, the equations must be non-zero; then:
A = 0 B = δ
Full solution:
w = δ 1 cos ( k x )
Also, from the boundary conditions:
x = l w = δ
We obtain cos ( k l ) = 0 , the k l = n π 2 ( n = 1 , 3 , 5 ) , and the critical load can be seen as follows:
F c r = π 2 E I 4 l 2
Under the critical load Fcr, the displacement of the free end of the plant is:
δ = w 1 cos ( π x 2 l )
From Equation (40), it can be observed that, when the deflection w is a constant value, the free-end displacement δ of the stalk is influenced by its length l. As the length l of the stalk increases, the free-end displacement δ gradually increases as well. Therefore, the swing of the cotton plant can be minimized by incorporating a lifter, which helps to reduce interference during subsequent topping operations.
(2)
Working principle of the lifter
During the topping period, the cotton plants grew luxuriantly, which caused some of the cotton plants to be crooked. In the topping process, the proper alignment of the rows increased the topping rate, and the “alignment of the rows” process was simplified by the action of the lifter. According to the biological characteristics of the cotton plant during the topping period, the lifter was designed to ensure that the top part of the cotton could pass under the bionic topping manipulator while reducing the damages caused by the holder. The working principle of the lifter device is shown in Figure 19 below. Cotton plants in the natural state overlooking the cotton top position have a certain degree of randomness. When the lifter contacted the cotton plant, the upper part near the top of the cotton plant was drawn into the lifter. This reduced the length of the free end of the plant’s top portion, diminishing the oscillating effect of the stalk upon impact. Simultaneously, the top was changed from a random distribution to a striped and orderly arrangement.
The structure of the lifter, as shown in Figure 20, plays a critical role in its effectiveness. The angle θ significantly influences the performance of the lifter. If the angle θ is too large, it can lead to issues such as the push stalk bending, which hinders the subsequent topping work. Conversely, if the angle θ is too small, while it may prevent the push stalk from bending, the effectiveness of the lifter in gathering the cotton tops is compromised.
It is important to note that the upper end of the main stalk of the cotton plant, particularly near the top where the branch leaves are located, tends to be more lax and soft. This characteristic allows the lifter to interact primarily with the softer leaves rather than the more rigid stalk, enhancing its ability to avoid damage to the plants.
Thus, the goal was to minimize the angle θ of the lifter as much as possible while considering its size and structural constraints. This careful adjustment ensures optimal topping efficiency while protecting the delicate parts of the cotton plant, ultimately improving the overall harvesting process. Based on the specified parameters for the spacing of cotton planting rows and the operational range of the bionic topping manipulator, the design of the working area (P2 area) was structured to allow for effective adjustments and operation. Below are the key design details summarized: distance between topping boards (L′): The distance between the left and right lifter boards was set at 170 mm, which is slightly greater than the width of the manipulator. Length of P2 area: The P2 area was designed to exceed 150 mm to accommodate variations in cotton plant growth. It was specifically set to 350 mm to facilitate necessary adjustments based on field conditions. Length of P1 area: The length of the P1 area was set at 280 mm, ensuring that the forward reach of the top hitting position would exceed 200 mm, as indicated by empirical design values from harvesting machinery [26,27]. Offset calculation: The total offset of the cotton tops from left to right was defined as 500 mm. Using Equation (41), this configuration resulted in an angle γ calculated to be 30.5°.
γ = arctan ( L L 2 P 1 )

2.3. Trial Design

To verify the topping performance of the bionic topping device, a performance verification test was conducted in July 2022 at the Jiafeng Technology Co. (Bole City, China) facility.
(1)
Test method
The three-point suspension system was used to install the topping device at the front of a Dongfanghong-400 tractor. In order to verify the reliability of the trajectory-generating mechanism and the bionic topping manipulator movement composed of the topping device, the control system was not activated, allowing the test to focus solely on testing the topping performance of the device. Consequently, the design of the cotton test bed was developed to securely hold the cotton plants, ensuring that all plants were of uniform height. This uniformity allows the tops of the cotton plants to fit within the working range of the bionic topping manipulator. The test utilized machine-picked cotton cultivated in the field, which was in the topping period at the time of testing, with an average height of approximately 750 mm. The test process is shown in Figure 21.
Before the test, the stopwatch and tape measure (measuring range: 50,000 mm, accuracy: 10 mm) were used to determine the tractor speed before setting the tractor to the appropriate gear and throttle size. There needed to be sufficient distance between the tractor’s starting position and the cotton clamping test stand to allow for proper speed and alignment adjustments. A flat surface was selected, and the height of the topping mechanism was adjusted according to the height of the cotton set on the cotton-clamping test stand. The tractor was set in a stable, straight line before starting. This stability was essential to prevent leakage of the topping during the topping process. Key performance indicators for the test included the rate of successful topping and the rate of over-topping. Before each test, the ground was cleared to eliminate any obstacles. After completing each test, the topped cotton was collected, and any knocked-out plants were replaced with new ones to maintain consistency. Each set of tests was repeated three times, and the results were averaged to provide reliable data. According to the previous analysis of the speed matching between the operating speed and the disc speed, the working performance of the topping device was tested using an orthogonal test.
(2)
Test indicators
The main indicators for evaluating the effectiveness of the bionic topping manipulator are the topping rate and the over-topping rate. A higher topping rate, combined with a lower over-topping rate during operation, indicates a more effective topping process. Therefore, an optimal performance of the bionic topping device is characterized by these conditions, reflecting its efficiency and reliability in achieving desired results. The diagram of the judgement of topping pass and over-topping is shown in Figure 22.
(1) Topping rate:
y 1 = N 1 N Z × 100 %
In Equation (42), y1 is the topping rate of the bionic topping manipulator, %; N1 is the number of cotton plants from which the bionic topping manipulator successfully removed the tops from the cotton plants, plants; and Nz is the sample capacity of the test cotton, plants.
(2) Over-topping rate:
y 2 = N 2 N Z × 100 %
In Equation (43), y2 is the bionic topping manipulator’s over-topping rate, %; N2 is the bionic topping manipulator, which is outside the top of the number of plants with leaves removed, plants; and Nz is the test cotton sample capacity, plants.
(3)
Test program design
To improve the topping rate of the topping mechanism and reduce the over-topping rate, the main factors affecting these rates were analyzed based on the working principle of the topping mechanism and previous test results. These factors are not only related to the speed of the operating vehicle and the rotational speed (the rotational speed of the topping drive motor), but also to the vertical distance below the highest point of the cotton plant (depth of topping) at the point of closure of the gripping fingers of the bionic topping manipulator.
The test factors were finally determined as: operating speed, rotational speed, and depth of topping. According to the results of the previous test: the operating speed was taken as 0.3 m/s, 0.45 m/s; the rotational speed was taken as 36 r/min, 40 r/min (λ > 1.8); and the level of the depth of topping was taken as 90 mm and 110 mm, respectively (this was according to the relationship between the height of the cotton plants and the height of the cotton top discussed in the previous article; in this sample, the difference in height between the cotton plants was less than or equal to 40 mm and 60 mm of cotton plants, accounting for 96.19% and 98.10%, respectively. The length of the cotton tops was 50 mm). The table of test factor levels is shown in Table 3. The orthogonal table L8 (27) was selected, considering the interaction of operating speed and rotational speed [37].

3. Test Results and Analyses

The results are presented in Table 4. In this table, A, B, and C represent the operating speed, rotational speed, and depth of topping, respectively. The term A × B indicates the interaction between operating speed and rotational speed. The parameters y1 and y2 refer to the topping rate and over-topping rate, respectively. An ideal topping effect is characterized by a higher topping rate (y1) and a lower over-topping rate (y2).
To better assess the significance of the factors on the test indicators and to examine the interaction effects between operating speed and rotational speed, an ANOVA analysis was conducted. The results of the ANOVA for the topping rate and over-topping rate are presented in Table 5 and Table 6, respectively.
As shown in Table 5 of the ANOVA, at the 95% confidence level, both the operating and rotational speeds of the machine had significant effects on the topping rate. However, their interaction effect was not significant, indicating that further analysis of this interaction is unnecessary. According to the results, the operating speed had the greatest influence on the topping rate. As the speed increased, the time that the cotton tops spent in contact with the bionic topping manipulator decreased. This led to a higher relative speed at contact, which increased the difficulty of feeding the cotton tops, thereby reducing the topping rate. Additionally, the higher relative speed raised the likelihood of the top side blades passing through the sieve grill, which can cause damage to these blades during closure. Conversely, when both the operating speed and the rotational speed were lower, it facilitated better feeding of the cotton tops, resulting in a higher topping rate and more effective separation between the tops and the blades, as well as a reduced damage rate.
From ANOVA Table 6, it is evident that the effects of rotational speed and depth of topping on the over-topping rate were highly significant at the 95% confidence level. The effect of operating speed on the topping rate was also significant, while the interaction between operating speed and rotational speed was not significant, indicating that further analysis of this interaction is unnecessary. As the rotational speed increased, there tended to be a greater overlap in the work area, which led to repetitive topping and, consequently, an increase in the over-topping rate. Additionally, increasing the depth of topping caused the bionic topping manipulator to lower its topping position, allowing some blades to enter the working range of the clamping fingers through the grid. This resulted in over-topping during the closure process.
The factor that affected the topping rate of the topping mechanism was that the bionic topping manipulator was under the control of the topping in the trajectory-generating mechanism, which resulted in a larger trajectory due to lateral displacement. As the cotton plants lost water, the stiffness of the stem at the top decreased, and the tops that passed through the sieve grid decreased, resulting in a decrease in the topping rate. In practical applications, parameter selection should align with the specific needs of farmers. If farmers prioritize the topping rate, they should choose the fourth group of parameters: an operating speed of 0.3 m/s, a rotational speed of 40 r/min, and a topping depth of 110 mm, which yielded the best topping effect with a topping rate of 78.67%. For farmers concerned with potential damage to the cotton plants, the first group of parameters is recommended: an operating speed of 0.3 m/s, a rotational speed of 36 r/min, and a topping depth of 90 mm, resulting in the lowest over-topping rate of 2.67%. For those seeking a balanced approach, the third group of parameters—operating speed of 0.3 m/s, rotational speed of 40 r/min, and entry depth of 90 mm—should be considered. All parameter selections can be made through a human–computer interactive interface.
This study aims to minimize operational frequency and reduce costs. A small amount of over-topping is acceptable, as this study defines over-topping as damage only to the leaves rather than to the entire plant. Consequently, the over-topping is not expected to significantly impact cotton yield. Given these considerations, the optimal choice remains the fourth group of parameters: an operating speed of 0.3 m/s, a rotational speed of 40 r/min, and a topping depth of 110 mm. This setup can enhance work efficiency by increasing the number of bionic topping devices used.
Compared to chemical topping, mechanical topping employs a set minimum topping height to avoid unnecessary topping of low cotton plants, while chemical topping is applied indiscriminately to all cotton plants. Mechanical topping allows cotton plants with insufficient height to grow further, thus increasing yields. Additionally, mechanical topping reduces chemical use and offers better environmental benefits. In contrast to traditional fixed-height topping machines, which utilize reciprocating cutters, disc knives, roller cutters, and other continuously operating cutting mechanisms, the cotton topping device studied in this paper uses a trajectory generation mechanism based on bionic principles, coupled with an intermittent bionic topping manipulator. This design significantly reduces damage to cotton plants.

4. Conclusions

  • In the measurements of biological characteristics of cotton plants at the heading stage, it was found that 98.10% of the plant heights were greater than the tip height, indicating a strong positive correlation between plant height and tip height. This suggests that taller plants typically have higher top positions, which allows for effective inference of top height based on plant height measurements. Analysis of the samples revealed that 96.19%, 98.10%, and 98.10% of the cotton plants exhibited height differences of 40 mm, 50 mm, and 60 mm, respectively, highlighting that most plants had relatively small height variances. Additionally, the length of cotton tops was generally less than 50 mm, providing a key parameter for determining the appropriate depth for topping. Furthermore, the maximum deviation in top height was recorded at 225 mm, which offers crucial baseline data for the design of the lifter. This information is critical for designing cotton topping devices.
  • The cotton bionic topping device was designed based on bionic principles, focusing on the analysis of artificial topping methods and the trajectory of hand movements during the process. The device breaks down the artificial topping action into two key components: one that replicates the hand’s motion for removing the tops and another that ensures the bionic topping manipulator remains vertically oriented, mimicking the hand trajectory. The design incorporates a trajectory-generating mechanism and a bionic topping manipulator, which employs a cam mechanism with a spring. This setup enables automatic opening and closing of the manipulator as driven by the trajectory-generating mechanism. To minimize wear and impact on the cam mechanism, a fifth-degree polynomial cam curve was chosen. Through the analysis of the manipulator’s dimensional parameters and operational principles, the hook-up position of the tension spring was established, along with its working length. The maximum and minimum lengths of the spring were determined to be 133.14 mm and 112.61 mm, respectively. Additionally, a sieve grid was positioned more than 5.07 mm below the closure point of the clamping finger, calculated based on the vertical displacement of the clamping finger.
  • The analysis of the trajectory-generating mechanism’s motion led to the development of the parametric equations describing the motion path of the bionic topping manipulator. It was found that, when the motion trajectory adhered to conditions where λ ≥ 1, the perturbation to the cotton plants in front was minimized, which aided in the effective separation of the cotton tops. Factors influencing the contact range of the bionic topping manipulator were identified. Notably, the lateral movement range (Δx) of the manipulator was directly proportional to the operating speed (v0) and inversely proportional to the rotational speed (ω) of the driving disc. Simulation analyses indicated that, with a speed ratio set to 1.8, the minimum working step length of the finger of a single bionic topping manipulator was determined to be 150 mm. In terms of the modeling of plant pendulum dynamics during topping, when the deflection (w) remained constant, the displacement (δ) at the free end of the stalk was influenced by its length (l). As the stalk length increased, the free end displacement also rose. By integrating the measured data that reflected the biological characteristics of cotton plants during the topping phase with the structural parameters and operational principles of the bionic topping device, the structural parameters for the lifter mechanism were established. The incorporation of the lifter mechanism not only reduced the amplitude of swing of the cotton plants during topping, but also transformed the random distribution of tops into an orderly array. This enhancement contributed to more efficient and effective topping operations, ensuring better handling and separation of the cotton tops.
  • The working performance of the topping mechanism was verified through an orthogonal test that examined the operational speed, the rotational speed, and the topping depth. From the analysis of variance (ANOVA) conducted at a 95% confidence level, it was found that the operating speed of the implements had a highly significant effect on the topping rate. The rotational speed also significantly affected the topping rate, while the interaction between operating speed and rotational speed was not significant. Moreover, both rotational speed and topping depth had a highly significant impact on the over-topping rate, whereas the operating speed showed significance. Again, the interaction between operating speed and rotational speed did not show significant effects. This study aims to minimize operational frequency and reduce costs. A small amount of over-topping is acceptable, as this study defines over-topping as damage only to the leaves rather than to the entire plant. Consequently, the over-topping is not expected to significantly impact the cotton yield. Given these considerations, the optimal choice remains the fourth group of parameters: an operating speed of 0.3 m/s, a rotational speed of 40 r/min, and a topping depth of 110 mm. This setup can enhance work efficiency by increasing the number of bionic topping devices used. Cotton topping devices demonstrated greater effectiveness in minimizing damage to cotton plants, and future research should focus on enhancing topping rates even further.

Author Contributions

Conceptualization, Y.X. and C.H.; methodology, Y.X., C.H., and S.Q.; software, Y.X. and J.Y.; validation, Y.X. and S.Q.; formal analysis, C.H., J.Y., and Y.L.; data curation, Y.X. and C.H.; writing—original draft preparation, Y.X. and C.H.; writing—review and editing, Y.X., C.H., and J.Z.; supervision, C.H., J.Y., and B.H.; project administration, C.H.; funding acquisition, C.H. All authors have read and agreed to the published version of the manuscript.

Funding

This study was supported by the National Key Research and Development Program of China (2022YFD2002401), the “Spark Technology” Cultivation Project of the Department of Science, Technology and Education of the Ministry of Agriculture and Rural Affairs (13230369), the Open Project of the Key Laboratory of On-Site Processing Equipment for Agricultural Products of the Ministry of Agriculture and Rural Affairs (2016NYZD2304), the Xinjiang Uygur Autonomous Region Tien Shan Innovation Team Project (2021D14010), and the Graduate Student Innovation Program of Xinjiang Uygur Autonomous Region (XJ2022G130).

Institutional Review Board Statement

Not applicable.

Data Availability Statement

The data are contained within the article. Further inquiries can be directed to the corresponding author.

Acknowledgments

We thank our team members for their collaborative effort. We also appreciate the editor and anonymous reviewers for their helpful suggestions to improve the quality of this manuscript.

Conflicts of Interest

The authors declare no conflicts of interest.

References

  1. Bennett, O.; Ashley, D.; Doss, B.; Scarsbrook, C. Influence of Topping and Side Pruning on Cotton Yield and Other Characteristics. Agron. J. 1965, 57, 25–27. [Google Scholar] [CrossRef]
  2. Singh, S.; Richmond, M.; Pearce, R.; Bailey, W.; Hou, X.; Yuan, L. Maleic hydrazide elicits global transcriptomic changes in chemically topped tobacco to influence shoot bud development. Planta 2020, 252, 64. [Google Scholar] [CrossRef] [PubMed]
  3. Dai, J.; Tian, L.; Zhang, Y.; Zhang, D.; Xu, S.; Cui, Z.; Li, Z.; Li, W.; Zhan, L.; Li, C. Plant topping effects on growth, yield, and earliness of field-grown cotton as mediated by plant density and ecological conditions. Field Crops Res. 2022, 275, 108337. [Google Scholar] [CrossRef]
  4. Hu, X.; Han, J.G.; Chen, Y.L.; Lan, Y.B.; Li, J.K.; Cui, L.H. Research on Cotton Chemical Topping System Based on Apical Bud Intelligent Recognition. Trans. Chin. Soc. Agric. Mach. 2024, 55, 145–152. [Google Scholar]
  5. Xie, Q.; Kong, F.T.; Shi, L.; Chen, C.L.; Wu, T.; Sun, Y.F. Research progress on key technologies of cotton mechanical topping. J. Chin. Agric. Mech. 2003, 44, 28–34. [Google Scholar]
  6. Zhang, J.G.; Zhen, C.; Zhao, J.; Zhang, R.X.; Zhao, X.Z.; Li, F.T. Design and Experiment of Auto-follow Row Device for Cotton Topping Machine. Trans. Chin. Soc. Agric. Mach. 2021, 52, 93–101. [Google Scholar]
  7. Hao, Y.J.; Shi, L.; Cao, L.L.; Gong, J.X.; Zhang, A.M. Research status and prospect of cotton terminal bud identification and location technology. J. Chin. Agric. Mech. 2018, 39, 72–78. [Google Scholar]
  8. Griffith, T.K. Cotton Topper. U.S. Patent 0852715, 7 May 1907. [Google Scholar]
  9. Lowrey, L.A. Cotton Topper. U.S. Patent 1002412, 5 September 1911. [Google Scholar]
  10. Bell, J.W. Cotton Topper. U.S. Patent 2578963, 18 December 1951. [Google Scholar]
  11. Keyes Andy, A. Cotton topper. U.S. Patent 23 January 1962. [Google Scholar]
  12. Hu, B.; Wang, W.X.; Li, S.L.; Li, M.Z. Experimental Research on the 3MD-12 Cotton Topping Machine. Chin. Cotton 2004, 31–32. [Google Scholar]
  13. Jiang, Y.X.; Chen, F.; Wang, C.Y.; Wang, Q.H.; Min, L.; Guo, Z.F. 3FDD-6 Types Queen Flies Drum-type Cotton Topping Machine. Chin. Agric. Mech. 2012, 126–128. [Google Scholar]
  14. He, L.; Liu, X.X.; Zhou, Y.L.; Zhao, Y.; Hu, B. Vertical Lift Type Single Profiling Cotton Topping Machine. Transaction of the Chin. Soc. Agric. Mach. 2013, 44, 62–67. [Google Scholar]
  15. Zhou, H.Y.; Yi, S.Z.; Zhu, L.C.; Yang, X.J.; Yan, H.R. Design of 3WDZ-6 Self-propelled Cotton Top Cutting. Trans. Chin. Soc. Agric. Mach. 2010, 41, 86–89. [Google Scholar]
  16. Peng, Q.; Kang, J.; Song, Y.; He, Q. Design of 3MDZ-4 self-propelled cotton topdressing and spraying combined operation machine. J. Agric. Eng. 2019, 35, 30–38. [Google Scholar]
  17. Nangjing Institute of Agricultural Mechanization, Ministry of Agriculture and Rural Affairs. Promotion Result: Intelligent Cotton Topping Technology and Equipment. J. Chin. Agric. Mech. 2021, 42, 2. [Google Scholar]
  18. Peng, Q.; Zhao, L.; Chen, Y.; Yang, R.; Zhang, J.; Kang, J. Calibration method of the RGBD-Delta visual system for cotton topping. Trans. Chin. Soc. Agric. Eng. 2024, 40, 12–20. [Google Scholar]
  19. Peng, X.; Zhou, J.; Xu, Y.; Xi, G. Cotton top bud recognition method based on YOLOv5-CPP in complex environment. Trans. Chin. Soc. Agric. Eng. 2023, 39, 191–197. [Google Scholar]
  20. Aydın, İ.; Arslan, S. Mechanical properties of cotton shoots for topping. Ind. Crops Prod. 2018, 112, 396–401. [Google Scholar] [CrossRef]
  21. Hao, H.; Wu, S.; Li, Y.K.; Wen, W.; Fan, J.; Zhang, Y.; Zhuang, L.; Xu, L.; Li, H.; Guo, X.; et al. Automatic acquisition, analysis and wilting measurement of cotton 3d phenotype based on point cloud. Biosyst. Eng. 2024, 239, 173–189. [Google Scholar] [CrossRef]
  22. Zhou, Y.J.; Wu, Q.; He, L.Y.; Zhao, R.M.; Jia, J.M.; Chen, J.N.; Wu, C.Y. Design and Experiment of Intelligent Picking Robot for Famous Tea. J. Mech. Eng. 2022, 58, 12–23. [Google Scholar]
  23. Chen, J.N.; Li, H.; Liu, L.M.; Jia, J.M.; Zhao, R.M.; Wu, C.Y. Design and Experimental Optimization of End Effector for Picking Famous Tea with Split-cutter. Trans. Chin. Soc. Agric. Mach. 2024, 55, 39–46. [Google Scholar]
  24. Xu, Y.; Han, C.; Zhang, J.; Hu, B.; Ma, X.; Mao, H. Innovative Designs for Cotton Bionic Topping Manipulator. Agriculture 2024, 14, 1469. [Google Scholar] [CrossRef]
  25. Liu, C.; Liu, Q.; Cai, C. Practical Design Manual of Automatic Mechanical Cam Mechanism; Science Press: Beijing, China, 2013; pp. 91–115. [Google Scholar]
  26. Chinese Academy of Agricultural Mechanization Sciences. Agricultural Machinery Design Manual; China Agricultural Science and Technology Press: Beijing, China, 2007. [Google Scholar]
  27. Li, B.F. Agricultural Machinery Science; China Agriculture Press: Beijing, China, 2018. [Google Scholar]
  28. Liu, Q.; Yan, J.; Yang, C. Impact reduction design and control of quadruple-speed manipulator based on motion curve optimization. J. Braz. Soc. Mech. Sci. Eng. 2024, 46, 130–142. [Google Scholar] [CrossRef]
  29. Xin, G.; Mistry, M. Optimization-based dynamic motion planning and control for quadruped robots. Nonlinear Dyn. 2024, 112, 7043–7056. [Google Scholar] [CrossRef]
  30. Hu, J.P.; Zhang, J.B.; He, J.Y.; Yan, X.Y. Motion Analysis and Experiment for Planting Mechanism with Planetary Gears of Transplanting Machine. Trans. Chin. Soc. Agric. Mach. 2013, 44, 57–61. [Google Scholar]
  31. Pan, G.; Jia, Q.; Chen, G.; Sun, F. Analysis and Optimization of Motion Coupling for the Coordinated Operation of Flexible Multi-Arm Space Robots. Actuators 2023, 12, 198. [Google Scholar] [CrossRef]
  32. Yao, J.; Edson, C.P.; Yu, S.; Zhao, G.; Sun, Z.; Song, X.; Stelson, K.A. Bucket Loading Trajectory Optimization for the Automated Wheel Loader. IEEE Trans. Veh. Technol. 2023, 72, 6948–6958. [Google Scholar] [CrossRef]
  33. Xu, H.; Wan, L.; Miao, Y.; Liang, S. Kinematic synthesis and optimization design of a rice pot seedling transplanting mechanism. Proc. Inst. Mech. Eng. Part C J. Mech. Eng. Sci. 2024, 238, 1366–1381. [Google Scholar] [CrossRef]
  34. Zhang, C.; Li, S.; Zhang, Z. Industrial robot arm dynamic modeling simulation and variable-gain iterative learning control strategy design. J. Mech. Sci. Technol. 2024, 38, 3729–3739. [Google Scholar] [CrossRef]
  35. Zhang, T.; Yuan, Z.K.; Hong, G.; Cai, D. Kinematic analysis and foot end trajectory planning of quadruped wall-climbing robot based on parallel leg structure. J. Braz. Soc. Mech. Sci. Eng. 2023, 45, 380–399. [Google Scholar] [CrossRef]
  36. Liu, H.W. Mechanics of Materials I, 5th ed.; Higher Education Press: Beijing, China, 2011; pp. 290–308. [Google Scholar]
  37. Han, C.J. Agricultural Machinery Experimental Design; China Agricultural Science and Technology Press: Beijing, China, 2018. [Google Scholar]
Figure 1. Schematic diagram for measuring the biological characteristics of cotton plants: (a) schematic diagram of the measurement method of plant height and top height; (b) schematic diagram of top length measurement method; (c) schematic measurement of top offset.
Figure 1. Schematic diagram for measuring the biological characteristics of cotton plants: (a) schematic diagram of the measurement method of plant height and top height; (b) schematic diagram of top length measurement method; (c) schematic measurement of top offset.
Agriculture 14 02341 g001
Figure 2. Correlation analysis diagram of cotton plant height, top height, and top length.
Figure 2. Correlation analysis diagram of cotton plant height, top height, and top length.
Agriculture 14 02341 g002
Figure 3. Distribution of cotton plant height and apex height.
Figure 3. Distribution of cotton plant height and apex height.
Agriculture 14 02341 g003
Figure 4. Schematic diagram of the manual topping process.
Figure 4. Schematic diagram of the manual topping process.
Agriculture 14 02341 g004
Figure 5. Schematic structure of a cotton bionic topping device: 1. Suspension mechanism. 2. Industrial computer. 3. Frame. 4. Bionic topping manipulator. 5. Manipulator closure trigger mechanism. 6. Lifter. 7. Measuring light curtain. 8. Topping drive motor. 9. Trajectory-generating mechanism. 10. Navigation motor. 11. Manipulator opens trigger mechanism. 12. Antenna. 13. Profiling drive motor. 14. Distribution box.
Figure 5. Schematic structure of a cotton bionic topping device: 1. Suspension mechanism. 2. Industrial computer. 3. Frame. 4. Bionic topping manipulator. 5. Manipulator closure trigger mechanism. 6. Lifter. 7. Measuring light curtain. 8. Topping drive motor. 9. Trajectory-generating mechanism. 10. Navigation motor. 11. Manipulator opens trigger mechanism. 12. Antenna. 13. Profiling drive motor. 14. Distribution box.
Agriculture 14 02341 g005
Figure 6. Structural composition and structural schematic diagram of the bionic topping manipulator: (a) diagram of the structural components of the bionic topping manipulator; (b) sketch of the structure of the bionic topping manipulator.
Figure 6. Structural composition and structural schematic diagram of the bionic topping manipulator: (a) diagram of the structural components of the bionic topping manipulator; (b) sketch of the structure of the bionic topping manipulator.
Agriculture 14 02341 g006
Figure 7. Cam working area division and displacement curve: (a) cam working area division; (b) cam displacement curve.
Figure 7. Cam working area division and displacement curve: (a) cam working area division; (b) cam displacement curve.
Agriculture 14 02341 g007
Figure 8. Schematic structure of bionic topping manipulator.
Figure 8. Schematic structure of bionic topping manipulator.
Agriculture 14 02341 g008
Figure 9. Calculation results using Matlab software.
Figure 9. Calculation results using Matlab software.
Agriculture 14 02341 g009
Figure 10. Schematic diagram of spring length change.
Figure 10. Schematic diagram of spring length change.
Agriculture 14 02341 g010
Figure 11. Schematic diagram of different working positions of the pinch finger.
Figure 11. Schematic diagram of different working positions of the pinch finger.
Agriculture 14 02341 g011
Figure 12. Schematic diagram of the trajectory-generating mechanism and its spatial location relationship.
Figure 12. Schematic diagram of the trajectory-generating mechanism and its spatial location relationship.
Agriculture 14 02341 g012
Figure 13. Working principle of trajectory-generating mechanism.
Figure 13. Working principle of trajectory-generating mechanism.
Agriculture 14 02341 g013
Figure 14. Motion trajectory of bionic topping manipulator.
Figure 14. Motion trajectory of bionic topping manipulator.
Agriculture 14 02341 g014
Figure 15. Motion trajectory of the bionic topping manipulator: (a) λ < 1; (b) λ = 1; (c) λ > 1.
Figure 15. Motion trajectory of the bionic topping manipulator: (a) λ < 1; (b) λ = 1; (c) λ > 1.
Agriculture 14 02341 g015
Figure 16. Motion track diagram of the drive disk.
Figure 16. Motion track diagram of the drive disk.
Agriculture 14 02341 g016
Figure 17. Motion trajectory of the bionic jacking manipulator with different speed ratios.
Figure 17. Motion trajectory of the bionic jacking manipulator with different speed ratios.
Agriculture 14 02341 g017
Figure 18. Vertical force analysis of the stalk during topping.
Figure 18. Vertical force analysis of the stalk during topping.
Agriculture 14 02341 g018
Figure 19. Working principle diagram of lifter.
Figure 19. Working principle diagram of lifter.
Agriculture 14 02341 g019
Figure 20. Schematic diagram of the structure of grass lifter.
Figure 20. Schematic diagram of the structure of grass lifter.
Agriculture 14 02341 g020
Figure 21. Test procedure.
Figure 21. Test procedure.
Agriculture 14 02341 g021
Figure 22. Schematic diagram of judgement of topping pass and over-topping: (a) over-topping; (b) passed topping.
Figure 22. Schematic diagram of judgement of topping pass and over-topping: (a) over-topping; (b) passed topping.
Agriculture 14 02341 g022
Table 1. Common CAM curve characteristics.
Table 1. Common CAM curve characteristics.
Curve NameVmAmJm
Constant acceleration curve2.004.00
Simple harmonic curve1.574.93
Sinusoidal curve2.006.2839.50
Quintic polynomial curve1.885.7760.00
Table 2. Setting values of simulation parameters.
Table 2. Setting values of simulation parameters.
Serial NumberSpeed Ratio λMachine Traveling Speed (m/s)Drive Disc Speed (r/min)
11.70.4534
21.80.4536
31.90.4538
42.00.4540
Table 3. Test factor levels.
Table 3. Test factor levels.
EncodingsFactors
Operating Speed/(m·s−1)Rotational Speed/(r/min)Topping Depth/mm
10.303690
20.4540110
Table 4. Analysis of the test program and test results.
Table 4. Analysis of the test program and test results.
Serial NumberFactors Test Indicators
ABA × BCEmpty Columny1/%y2/%
11 (0.3)1 (36)11 (9)11173.332.67
21112 (11)222745.33
312 (40)21122786.67
4122221178.678
52 (0.45)12121260.673.33
6212212160.676
72211221648.67
822121127010.67
Topping rate(yj1)17667.16870.3326970.570.66869.168
(yj2)163.83572.66869.50370.83569.33569.16870.668
(Rj)112.1655.50.8291.8351.1651.51.5
Over-topping rate(yj1)25.6684.3326.8355.3356.5026.1686.335
(yj2)27.1688.50267.56.3326.6686.5
(Rj)21.54.170.8352.1650.170.50.165
Table 5. Analysis of variance of topping rate.
Table 5. Analysis of variance of topping rate.
Source of VariationQuadratic SumDegree of FreedomMean SquareF Valuep ValueSignificant
A295.9741295.97475.7970.003**
B60.500160.50015.4940.029*
A × B1.37811.3780.3530.594
C6.73416.7341.7250.281
Error11.71433.905
Sum39,483.9567
Note: ** is highly significant (p < 0.01); * is significant (0.01 ≤ p < 0.05).
Table 6. Analysis of variance of over-topping rate.
Table 6. Analysis of variance of over-topping rate.
Source of VariationQuadratic SumDegree of FreedomMean SquareF Valuep ValueSignificant
A4.50014.50022.0500.018*
B34.778134.778170.4100.001**
A × B1.39411.3946.8330.079
C9.37419.37445.9340.007**
Error0.61230.204
Sum50.6597
Note: ** is highly significant (p < 0.01); * is significant (0.01 ≤ p < 0.05).
Disclaimer/Publisher’s Note: The statements, opinions and data contained in all publications are solely those of the individual author(s) and contributor(s) and not of MDPI and/or the editor(s). MDPI and/or the editor(s) disclaim responsibility for any injury to people or property resulting from any ideas, methods, instructions or products referred to in the content.

Share and Cite

MDPI and ACS Style

Xu, Y.; Han, C.; Qiu, S.; You, J.; Zhang, J.; Luo, Y.; Hu, B. Design and Experimental Evaluation of a Minimal-Damage Cotton Topping Device. Agriculture 2024, 14, 2341. https://doi.org/10.3390/agriculture14122341

AMA Style

Xu Y, Han C, Qiu S, You J, Zhang J, Luo Y, Hu B. Design and Experimental Evaluation of a Minimal-Damage Cotton Topping Device. Agriculture. 2024; 14(12):2341. https://doi.org/10.3390/agriculture14122341

Chicago/Turabian Style

Xu, Yang, Changjie Han, Shilong Qiu, Jia You, Jing Zhang, Yan Luo, and Bin Hu. 2024. "Design and Experimental Evaluation of a Minimal-Damage Cotton Topping Device" Agriculture 14, no. 12: 2341. https://doi.org/10.3390/agriculture14122341

APA Style

Xu, Y., Han, C., Qiu, S., You, J., Zhang, J., Luo, Y., & Hu, B. (2024). Design and Experimental Evaluation of a Minimal-Damage Cotton Topping Device. Agriculture, 14(12), 2341. https://doi.org/10.3390/agriculture14122341

Note that from the first issue of 2016, this journal uses article numbers instead of page numbers. See further details here.

Article Metrics

Back to TopTop