Sign in to use this feature.

Years

Between: -

Subjects

remove_circle_outline
remove_circle_outline
remove_circle_outline
remove_circle_outline
remove_circle_outline
remove_circle_outline
remove_circle_outline
remove_circle_outline
remove_circle_outline

Journals

remove_circle_outline
remove_circle_outline
remove_circle_outline
remove_circle_outline
remove_circle_outline
remove_circle_outline
remove_circle_outline
remove_circle_outline
remove_circle_outline
remove_circle_outline
remove_circle_outline
remove_circle_outline
remove_circle_outline
remove_circle_outline
remove_circle_outline
remove_circle_outline
remove_circle_outline
remove_circle_outline
remove_circle_outline
remove_circle_outline
remove_circle_outline
remove_circle_outline
remove_circle_outline
remove_circle_outline
remove_circle_outline
remove_circle_outline
remove_circle_outline

Article Types

Countries / Regions

remove_circle_outline
remove_circle_outline
remove_circle_outline
remove_circle_outline
remove_circle_outline
remove_circle_outline
remove_circle_outline
remove_circle_outline

Search Results (4,563)

Search Parameters:
Keywords = cotton

Order results
Result details
Results per page
Select all
Export citation of selected articles as:
12 pages, 606 KB  
Article
Impact of Insect Prey and Plant Food Sources on Development and Reproduction of the Phytozoophagous Mirid Bug, Apolygus lucorum (Meyer-Dür)
by Lili Wang, Lingyun Li, Baoyou Liu and Kongming Wu
Insects 2026, 17(5), 443; https://doi.org/10.3390/insects17050443 - 22 Apr 2026
Abstract
Apolygus lucorum (Meyer-Dür) is a phytozoophagous crop pest. While the effects of plant-based diets on its development and reproduction have been extensively studied, the combined effects of plant- and prey-based diets on these traits remain poorly understood. This study systematically evaluated the effects [...] Read more.
Apolygus lucorum (Meyer-Dür) is a phytozoophagous crop pest. While the effects of plant-based diets on its development and reproduction have been extensively studied, the combined effects of plant- and prey-based diets on these traits remain poorly understood. This study systematically evaluated the effects of plant-only, prey-only, and mixed plant–prey diets on A. lucorum nymphal survival and development, as well as adult longevity and fecundity, under controlled laboratory conditions. The results demonstrate that diet composition significantly affected nymphal survival and developmental progression. Nymphs fed exclusively on prey (Aphis gossypii Glover or Bemisia tabaci (Gennadius) nymphs) failed to complete juvenile development. Although a diet of Helicoverpa armigera (Hübner) eggs alone enabled some individuals to reach adulthood, survival rates were significantly lower than those in mixed-diet treatments. Mixed feeding markedly improved nymphal survival, with the highest rates observed in groups fed green beans + H. armigera eggs and cotton leaves + B. tabaci nymph combinations (both 64.45%). The developmental duration was also influenced. Mixed diets, particularly green beans + H. armigera eggs, significantly shortened each instar and the total developmental time (11.04 ± 0.17 d), whereas a diet of cotton leaves alone prolonged development (19.45 ± 0.24 d). Adult longevity and reproductive output were likewise diet-dependent. The longest lifespans were recorded in adults fed green beans alone or green beans + H. armigera eggs, while the shortest lifespan was observed for those fed only cotton leaves. Successful oviposition was only achieved following four dietary treatments: green beans alone, green beans + H. armigera eggs, H. armigera eggs alone, and cotton leaves + H. armigera eggs. Among these, the green bean + H. armigera egg diet yielded the best reproductive performance, featuring the shortest pre-oviposition period (5.82 ± 0.60 d), the longest oviposition period (19.41 ± 1.68 d), and the highest mean fecundity per female (238.35 ± 25.51 eggs). This underscores the reproductive advantage of a mixed plant–prey diet. This study clarifies how dietary conditions shape the survival, development, and reproduction of A. lucorum, highlighting its strong reliance on nutritional quality for key life-history traits. These findings offer valuable insights into the ecological adaptations underlying the feeding behavior of this insect. Full article
(This article belongs to the Special Issue Biosystematics and Management of True Bugs (Hemipterans))
Show Figures

Graphical abstract

15 pages, 1806 KB  
Article
Indigo: Textile Print Removal Using Aqueous-Based Solutions and Ozone Technology
by Catarina Rodrigues, Joana M. Gomes, Maria Santos, Helena Vilaça and Carla Joana Silva
Textiles 2026, 6(2), 50; https://doi.org/10.3390/textiles6020050 - 21 Apr 2026
Abstract
The textile and clothing industry exerts a significant environmental impact in the EU, contributing heavily to water, land, and resource depletion, with waste generation expected to rise sharply due to fast fashion trends. Accelerating circularity and closed-loop production is critical to reduce the [...] Read more.
The textile and clothing industry exerts a significant environmental impact in the EU, contributing heavily to water, land, and resource depletion, with waste generation expected to rise sharply due to fast fashion trends. Accelerating circularity and closed-loop production is critical to reduce the sector’s ecological footprint. This study investigates newer approaches for the removal of indigo prints from cotton (CO) and polyester (PES) textiles using aqueous-based solutions and/or ozone treatment. Aqueous alkaline solutions containing reducing agents and surfactants were evaluated, as well as dry and wet ozone treatments. The efficacy of colour removal was assessed via spectrophotometric analysis [colour strength (K/S) and colour difference (ΔE)] and the fabrics were tested for dimensional stability and tensile strength before and after treatment. Results reveal that surfactant-assisted aqueous treatments enable effective pigment removal and maintain textile properties, supporting subsequent reprinting for textile upcycling. Wet ozone treatment also promoted substantial decolourisation, particularly in cellulosic substrates. Although PES samples exhibited better mechanical resistance, they revealed limited pigment extraction upon ozone treatment. These findings demonstrate the potential of chemical treatments using aqueous-based solutions and surfactants for circular textile applications, facilitating pigment removal without compromising substrate integrity, and boosting the upcycling. Full article
23 pages, 19480 KB  
Article
A Multi-Spatial Scale Integration Framework of UAV Image Features and Machine Learning for Predicting Root-Zone Soil Electrical Conductivity in the Arid Oasis Cotton Fields of Xinjiang
by Chenyu Li, Xinjun Wang, Qingfu Liang, Wenli Dong, Wanzhi Zhou, Yu Huang, Rui Qi, Shenao Wang and Jiandong Sheng
Agriculture 2026, 16(8), 913; https://doi.org/10.3390/agriculture16080913 - 21 Apr 2026
Abstract
Soil salinization is one of the primary forms of land degradation in arid and semi-arid regions, severely constraining agricultural production in Xinjiang’s oases. Unmanned aerial vehicle (UAV) imagery provides an effective means for precise monitoring of soil salinization, with image spatial resolution being [...] Read more.
Soil salinization is one of the primary forms of land degradation in arid and semi-arid regions, severely constraining agricultural production in Xinjiang’s oases. Unmanned aerial vehicle (UAV) imagery provides an effective means for precise monitoring of soil salinization, with image spatial resolution being a key factor affecting assessment accuracy. However, traditional single-scale remote sensing monitoring methods rely solely on spectral and textural features at the leaf scale (0.1 m resolution captures leaf-scale characteristics), neglecting the contribution of multi-scale features (single-row canopy scale and single-membrane-covered area scale (6-row crop canopy)) to soil salinity. For instance, 0.5–1 m reflects single-row canopy scale, while 2 m reflects single-membrane-covered area scale. Therefore, this study developed a multi-scale UAV imagery and machine learning framework to enhance soil electrical conductivity prediction accuracy. This study focuses on oasis cotton fields in Shaya County, Xinjiang. Based on UAV multispectral imagery, we resampled data to generate eight datasets at different spatial resolutions: 0.1, 0.5, 1, 1.5, 2, 2.5, 5, and 10 m. For each resolution, we calculated 21 spectral indices and 48 texture features to construct a feature set. At both single and multispatial scales, spectral indices, texture features, and their spectral-texture fusion features were constructed. Combining these with Backpropagation Neural Network (BPNN), Random Forest Regression (RFR), and Extreme Gradient Boosting (XGBoost) models, a soil EC estimation framework was developed. The impact of three feature combination schemes on cotton field soil conductivity estimation using single-scale UAV imagery was compared. The accuracy of soil EC estimation for cotton fields was compared between multi-spatial scale and single-scale UAV image features. The optimal combination strategy for a multi-spatial scale and multiple features was determined. Results indicate that combining spectral and texture features yields the highest estimation accuracy for cotton field soil electrical conductivity in single-scale analysis. Multi-spatial scale image features outperform single-scale image features in estimating cotton field soil electrical conductivity accuracy. By comparing different feature combinations, when integrating 0.5 m spatial-scale spectra (S1, EVI, DVI, NDVI, Int1, SI) with 0.1 m texture features (RE1_ent, R_cor, RE1_cor, G_hom, B_mea, R_con, NIR_con), the XGBoost model achieved the optimal prediction accuracy (R2 = 0.693, RMSE = 0.515 dS/m), outperforming the methods using multiple features at a single scale. This study developed a novel multi-scale image feature fusion technique to construct a machine learning model. This method describes the image characteristics of soil electrical conductivity at different geographical scales, providing a reference approach for the rapid and accurate prediction of soil electrical conductivity in arid regions. Full article
(This article belongs to the Section Artificial Intelligence and Digital Agriculture)
Show Figures

Figure 1

33 pages, 14849 KB  
Article
Simulation and Experimental Research on Arc-Induced Fires in Photovoltaic Systems
by Runan Song, Penghe Zhang, Yang Xue and Wei Wang
Energies 2026, 19(8), 2004; https://doi.org/10.3390/en19082004 - 21 Apr 2026
Abstract
DC fault arcs comprise one of the most serious safety hazards in photovoltaic systems, and their danger far exceeds that of AC arcs. DC arcs lack a natural zero-crossing point, and their burning time can last from several seconds to several minutes, which [...] Read more.
DC fault arcs comprise one of the most serious safety hazards in photovoltaic systems, and their danger far exceeds that of AC arcs. DC arcs lack a natural zero-crossing point, and their burning time can last from several seconds to several minutes, which is sufficient to ignite cable lines and surrounding combustibles, causing fires. To explore the characteristics and mechanism of the ignition of external combustibles by DC fault arcs, this paper, based on the theory of magnetohydrodynamics (MHD), constructed a three-dimensional numerical simulation model of a DC fault arc considering the coupling of electromagnetic, thermal, and flow fields. A DC fault arc experimental platform that can simulate the actual working conditions of photovoltaic systems was built to verify the accuracy of the model. Based on this, by integrating the complex pyrolysis model and the combustion reaction model, and selecting cotton fibers as the typical combustible indicator substances, as stipulated in the UL 1699 standard, a coupled simulation model for the ignition of solid combustibles by direct current fault arcs was established. The numerical simulation of the entire ignition process of the arc was realized, and the coupling mechanism of heat transfer, mass transfer, and chemical reactions during the ignition process was revealed. The research results of this paper fill a research gap in the numerical simulation of arc ignition caused by DC faults in photovoltaic systems, clarify the fire ignition risk patterns of DC fault arcs under different working conditions, and provide important theoretical support and technical references for the formulation of arc fire prevention strategies and the optimized design of fault arc protection devices for photovoltaic systems and other DC power systems. Full article
(This article belongs to the Section A2: Solar Energy and Photovoltaic Systems)
Show Figures

Figure 1

28 pages, 5309 KB  
Article
Cotton-Type Nanofiber Guided Pathway Engineering Enables Rapid Tissue Integration and Accelerated Bone Regeneration in Mineral Powder-Based Bone Grafts
by Subin Park, Siphesihle Cassandra Nonjola, Jeong In Kim and Soonchul Lee
J. Funct. Biomater. 2026, 17(4), 202; https://doi.org/10.3390/jfb17040202 - 20 Apr 2026
Abstract
Mineral powder–based bone grafts exhibit excellent osteoconductivity; however, their clinical efficacy is often compromised by insufficient early-stage tissue ingrowth, leading to particle aggregation and pocket formation within the defect site during the initial healing phase. Here, we report a cotton-type nanofiber-guided mineral graft [...] Read more.
Mineral powder–based bone grafts exhibit excellent osteoconductivity; however, their clinical efficacy is often compromised by insufficient early-stage tissue ingrowth, leading to particle aggregation and pocket formation within the defect site during the initial healing phase. Here, we report a cotton-type nanofiber-guided mineral graft designed to overcome this early integration failure by creating fibrous pathways for tissue ingress. Cotton-type polycaprolactone (PCL) nanofibers were fabricated via electrospinning using a pin-based collector engineered to induce strong inter-fiber repulsion, resulting in a highly expanded, three-dimensional cottony architecture. Tetracalcium phosphate (TTCP) and α-tricalcium phosphate (α-TCP) mineral particles were subsequently deposited onto the surface of the cottony nanofibers, forming a fibrous–mineral hybrid graft (c-NF@T/α-TCP) in which the nanofibers act as a transient, functionally defined tissue-guiding framework during the early healing phase. The cottony nanofiber network effectively prevented mineral particle aggregation and generated continuous pathways within the graft, facilitating early tissue infiltration and vascular ingress during the first week after implantation. In vivo evaluation in a bone defect model demonstrated that c-NF@T/α-TCP significantly reduced tissue pocket formation at early time points and promoted subsequent bone regeneration compared to mineral powder-only grafts. This study highlights the critical importance of early-stage structural guidance in mineral-based bone grafts and introduces cotton-type nanofiber–guided pathway engineering as a simple yet effective strategy to unlock the regenerative potential of conventional inorganic bone substitutes. Full article
(This article belongs to the Special Issue Functional Scaffolds for Hard Tissue Engineering and Surgery)
Show Figures

Figure 1

27 pages, 718 KB  
Article
Marijuana Consumption and Reactivity Are Positively Associated with the Fading Affect Bias for Marijuana Events in Person and Online
by Jeffrey Alan Gibbons, Chayse Angela Cotton, Matthew Traversa, Emma Friedmann and Kaylee Harris
Behav. Sci. 2026, 16(4), 611; https://doi.org/10.3390/bs16040611 - 20 Apr 2026
Abstract
The fading affect bias (FAB) is the faster fading of unpleasant than pleasant affect, and this effect is positively and negatively related to healthy/adaptive and unhealthy/non-adaptive outcomes, respectively. Research has argued that the FAB makes people happy and it prompts them to seek [...] Read more.
The fading affect bias (FAB) is the faster fading of unpleasant than pleasant affect, and this effect is positively and negatively related to healthy/adaptive and unhealthy/non-adaptive outcomes, respectively. Research has argued that the FAB makes people happy and it prompts them to seek out pleasant experiences. Although Pillersdorf and Scoboria found a negative relation between the FAB and marijuana consumption, they only examined non-marijuana events. This investigation was limited because the relation between the FAB and marijuana consumption may be absent or positive for marijuana events. The current study examined the relation of the FAB to marijuana consumption measures across marijuana and non-marijuana events. The study was conducted both in person (Experiment 1; n = 328) and online (Experiment 2; n = 232). Analyses included ANOVAs to examine fading affect across initial event affect and event type, and Process Model 1 was used to evaluate the fading affect bias across initial event affect in 2-way interactions with continuous variables. Process Model 3 was used to investigate fading affect across initial event affect and event type in 3-way interactions with continuous variables. Both experiments showed a robust FAB that was positively related to adaptive variables and negatively related to non-adaptive variables, and it was positively related to marijuana consumption/reactivity. In addition, the positive relations between FAB and marijuana consumption (hours) and reactivity (highness) measures in Experiment 1 and a marijuana reactivity measure (highness) in Experiment 2 were only found for marijuana events. Implications, limitations, and future research directions are discussed. Full article
21 pages, 8695 KB  
Article
A Comparative Life Cycle Assessment of T-Shirt Production Using from Viscose, Lyocell, Cotton, and Polyester
by Naycari Forfora, Rhonald Ortega, Isabel Urdaneta, Ivana Azuaje, Ryen Frazier, Mariana Lendewig, Hasan Jameel, Richard A. Venditti, Michael Hummel and Ronalds Gonzalez
Sustainability 2026, 18(8), 4070; https://doi.org/10.3390/su18084070 - 20 Apr 2026
Viewed by 34
Abstract
This study presents the first cradle-to-gate life cycle assessment (LCA) of T-shirt production using viscose and Lyocell fibers, benchmarked against cotton and polyester under consistent system boundaries. The analysis covers spinning, knitting, wet processing, garment assembly, and regionalized energy supply. Results show that [...] Read more.
This study presents the first cradle-to-gate life cycle assessment (LCA) of T-shirt production using viscose and Lyocell fibers, benchmarked against cotton and polyester under consistent system boundaries. The analysis covers spinning, knitting, wet processing, garment assembly, and regionalized energy supply. Results show that cotton T-shirts exhibit the lowest global warming potential (14.1 kg CO2eq/kg) but the highest water demand (2.9 m3/kg) in China. Polyester garments, although less water-intensive, contribute significantly to plastic accumulation (1.0 kg/kg shirt) compared to cellulose-based fibers (0.1 kg/kg shirt). Within man-made cellulose fibers, Lyocell generally outperforms viscose in toxicity-related categories—reducing freshwater ecotoxicity by 35% and human non-carcinogenic toxicity by 62%—thanks to its closed-loop solvent recovery. However, Lyocell also shows the highest carbon footprint (21.6 kg CO2eq/kg) unless produced in regions with cleaner energy mixes. Regional sensitivity analysis indicates that shifting production from China to Brazil could reduce global warming impacts by up to 38%. Overall, these results highlight the trade-offs across fiber types and demonstrate the importance of both material choice and production geography in driving sustainability within textile supply chains. Full article
(This article belongs to the Section Environmental Sustainability and Applications)
Show Figures

Graphical abstract

31 pages, 24709 KB  
Article
Evaluating SAR-Derived Phenological Metrics for Monsoon (Kharif) Crop Monitoring in Diversified Agricultural Systems: Insights from Central India
by Meghavi Prashnani and Chris Justice
Remote Sens. 2026, 18(8), 1238; https://doi.org/10.3390/rs18081238 - 19 Apr 2026
Viewed by 190
Abstract
Effective crop monitoring during monsoon growing seasons in Central India faces challenges from persistent cloud cover that limits optical remote sensing during critical agricultural periods. This study presents the first attempt to develop a novel set of SAR-derived phenological metrics organized into five [...] Read more.
Effective crop monitoring during monsoon growing seasons in Central India faces challenges from persistent cloud cover that limits optical remote sensing during critical agricultural periods. This study presents the first attempt to develop a novel set of SAR-derived phenological metrics organized into five thematic categories for monsoon crop discrimination in smallholder agricultural systems. Five major monsoon crops (cotton, rice, maize, soybean, and urad) were analyzed across five different agroclimatic zones in Central India using Sentinel-1 data for the 2021 growing season. Phenological features were extracted from VV, VH polarizations, and their ratio, including seasonal extrema, threshold crossings, duration measures, curve shape descriptors, and area under the curve. Distinct crop-specific signatures were observed, with cotton showing extended phenology and cereal–legume crops displaying compressed, overlapping growth patterns. VV polarization achieved the highest statistical discrimination for intensity-based metrics, with 75% thresholds (VV_HP75V: F = 1287) providing higher separability than other thresholds by capturing near-peak biomass differences. VH performed best for duration and integration-based metrics, while VH/VV provided limited additional separability across metric types. For area-under-the-curve metrics, AUC25 outperformed AUC50 and AUC75 by capturing cumulative backscatter across the broader growing season while remaining robust to soil- and residue-dominated backscatter variability at sowing and harvest. Multiclass classification achieved 48.3% overall accuracy with systematic cereal–legume confusion, reflecting fundamental phenological convergence among monsoon-aligned crops. Cotton achieved the highest performance (F1: 0.79), with VH polarization dominating feature importance (65% of top 20 features). Binary classification revealed crop-specific discrimination patterns: cotton was best separated using VV intensity metrics, maize using the VH/VV ratio, and rice using timing-based features. Cross-district transferability showed the highest mean overall accuracy for rice (74%) and cotton (72%), while the remaining crops showed lower accuracy due to their phenological similarity. These findings highlight both the potential and limitations of SAR phenological metrics for monsoon crop discrimination, with effective results for structurally distinct crops but persistent cereal–legume confusion, requiring further investigation with multi-sensor approaches. Full article
Show Figures

Figure 1

25 pages, 3815 KB  
Article
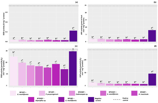
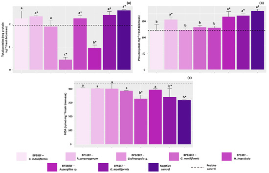
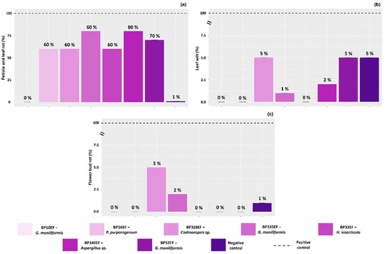
Endophytic Fungi from the Cerrado Biome Mitigate Biotic Stress Induced by Sclerotinia sclerotiorum in Cotton
by Luciana Cristina Vitorino, Damiana Souza Santos Augusto, Alex Santos Macedo, Marcio Rosa, Fabiano Guimarães Silva, Mateus Neri Oliveira Reis, Marconi Batista Teixeira and Layara Alexandre Bessa
Plants 2026, 15(8), 1251; https://doi.org/10.3390/plants15081251 - 18 Apr 2026
Viewed by 101
Abstract
The necrotrophic pathogen Sclerotinia sclerotiorum compromises the physiological and anatomical integrity of cotton, leading to substantial economic losses due to rapid tissue necrosis, stem blight, boll rot, and leaf wilting. In this context, the use of endophytic microorganisms emerges as a promising strategy [...] Read more.
The necrotrophic pathogen Sclerotinia sclerotiorum compromises the physiological and anatomical integrity of cotton, leading to substantial economic losses due to rapid tissue necrosis, stem blight, boll rot, and leaf wilting. In this context, the use of endophytic microorganisms emerges as a promising strategy for the biocontrol of white mold. This study tested the hypothesis that endophytic fungal strains isolated from the roots of Butia purpurascens, a palm tree endemic to the Cerrado biome, could mitigate disease symptoms in Gossypium hirsutum L. To evaluate this, cotton plants were subjected to biotic stress imposed by S. sclerotiorum to assess the effectiveness of seven fungal strains in attenuating disease. The impact of the pathogen was monitored through growth variables, gas exchange, leaf temperature, chlorophyll a fluorescence, antioxidant enzyme activity, proline and malondialdehyde (MDA) levels, and the incidence of rot in petioles, leaves, and flower buds. Overall, inoculation with endophytic fungi significantly alleviated the effects of the phytopathogen, promoting vegetative growth and optimizing physiological performance. Treated plants exhibited alleviated stress in primary photochemistry, reduced non-photochemical energy dissipation, and stable carbon fixation. Additionally, efficient modulation of the antioxidant system and preservation of anatomical structures were observed, minimizing the severe symptoms of white mold. Notably, the non-pathogenic strains BP10EF (Gibberella moniliformis), BP16EF (Penicillium purpurogenum), and BP33EF (Hamigera insecticola) acted as potent physiological modulators, yielding responses similar to those of healthy plants. These results highlight the biotechnological potential of these endophytic strains, which can be explored as both growth promoters and resistance inducers in cotton against white mold. Full article
Show Figures

Figure 1

27 pages, 1857 KB  
Review
Valorization of Fruit and Nut Agricultural Residues for Sustainable Biomaterials and Biotextiles: A Qualitative Review with Strategic Insights for Greece
by Kyriaki Kiskira, Sofia Plakantonaki, Dimitrios Nikolopoulos, Emmanouela Sfyroera, Nikitas Gerolimos, Georgios Priniotakis and Georgios Zakynthinos
Environments 2026, 13(4), 221; https://doi.org/10.3390/environments13040221 - 18 Apr 2026
Viewed by 86
Abstract
The growing environmental impacts associated with conventional plastics and textiles have intensified interest in bio-based and circular material alternatives. This study presents a qualitative and structured literature review of the valorization of fruit and nut agricultural residues as sustainable feedstocks for biomaterials and [...] Read more.
The growing environmental impacts associated with conventional plastics and textiles have intensified interest in bio-based and circular material alternatives. This study presents a qualitative and structured literature review of the valorization of fruit and nut agricultural residues as sustainable feedstocks for biomaterials and biotextiles, with a strategic focus on Greece. Drawing on international literature, regional agricultural production data, and validated processing technologies, the review synthesizes existing evidence on residue availability, conversion routes, environmental performance, and market trends. The reviewed literature indicates that residues such as grape pomace, olive by-products, citrus peels, and nut shells have been widely reported as suitable sources of cellulose, lignin, and pectin for the development of fibers, films, and composite materials. Findings from published life cycle assessment (LCA) studies suggest potential reductions in water use, greenhouse gas emissions, and land-use intensity compared with conventional cotton and synthetic textiles, although results vary depending on system boundaries and processing conditions. The review further highlights enabling factors, technical limitations, and policy considerations relevant to the Greek context. This study provides a qualitative integrative perspective on the opportunities and constraints associated with agricultural residue valorization, identifying key research gaps and strategic directions for future development within Greece and similar Mediterranean regions. Full article
19 pages, 3939 KB  
Article
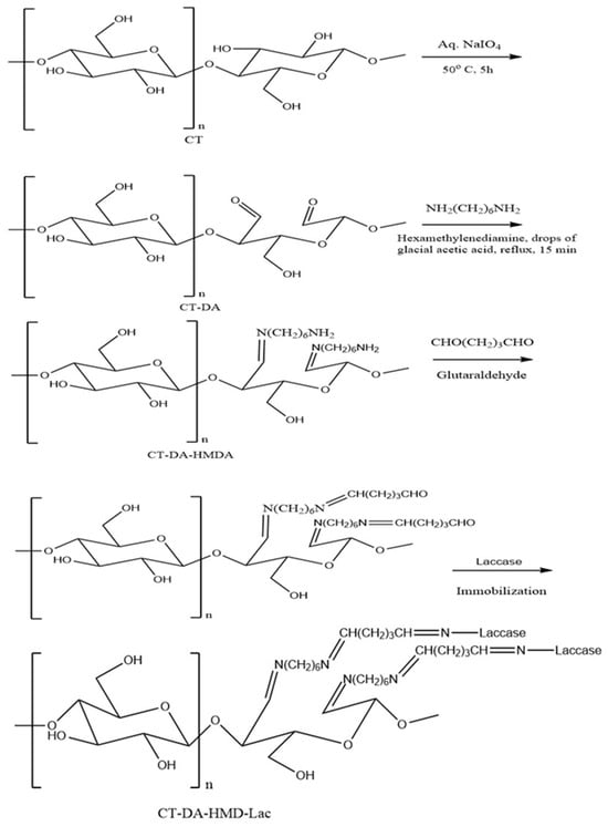
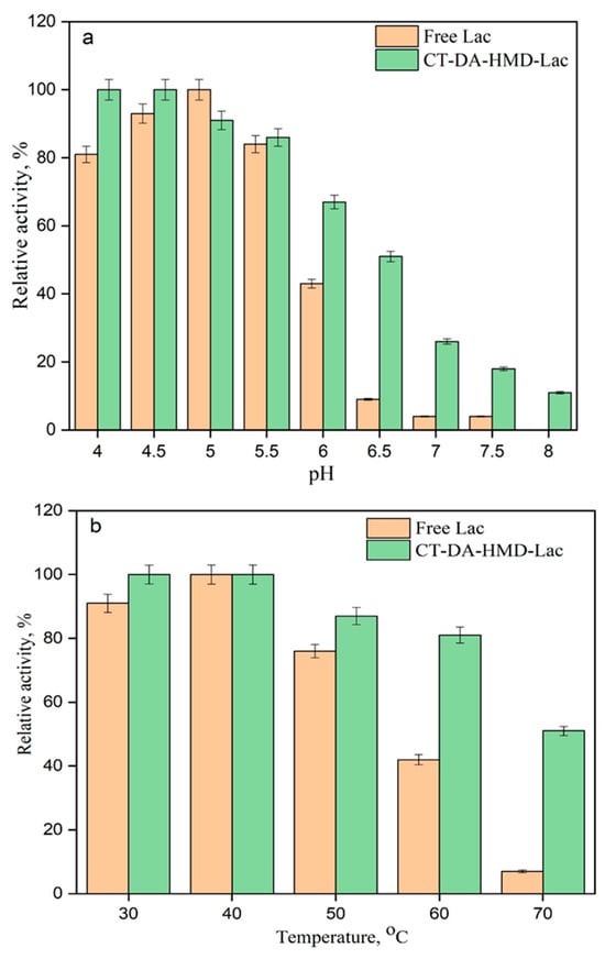
Functionalized Cotton as a Robust Platform for Laccase Immobilization: A Sustainable Approach for Bisphenol A Bioremediation
by Reda M. El-Shishtawy, Nedaa Alharbi and Yaaser Q. Almulaiky
Textiles 2026, 6(2), 48; https://doi.org/10.3390/textiles6020048 - 17 Apr 2026
Viewed by 106
Abstract
This study presents a highly efficient and sustainable biocatalytic platform for bisphenol A (BPA) bioremediation through the covalent immobilization of laccase onto hierarchically functionalized cotton fibers. The immobilization strategy involved selective periodate oxidation of cellulose, grafting a hexamethylenediamine (HMDA) spacer arm, and glutaraldehyde [...] Read more.
This study presents a highly efficient and sustainable biocatalytic platform for bisphenol A (BPA) bioremediation through the covalent immobilization of laccase onto hierarchically functionalized cotton fibers. The immobilization strategy involved selective periodate oxidation of cellulose, grafting a hexamethylenediamine (HMDA) spacer arm, and glutaraldehyde activation, ensuring stable covalent attachment. Characterization via FTIR, SEM, and BET confirmed successful surface modification and high enzyme loading, achieving an immobilization yield of 90.5%. The immobilized laccase (CT-DA-HMD-Lac) exhibited significantly enhanced performance compared to the free enzyme, with a two-fold increase in maximum reaction velocity (Vmax) and a 75% improvement in catalytic efficiency of action (Vmax/Km). Furthermore, the biocatalyst demonstrated superior robustness, maintaining high activity across broader pH and temperature ranges, and retaining 75% of its initial activity after 15 consecutive reusability cycles. Storage stability was also markedly improved, with 83% activity retention after 60 days. Practical application in BPA degradation showed 85% removal efficiency within 300 min, a 2.4-fold increase in the degradation rate constant over the free enzyme. These results highlight functionalized cotton as a promising, cost-effective, and scalable support for advanced enzymatic wastewater treatment and the remediation of persistent endocrine-disrupting chemicals. Full article
(This article belongs to the Special Issue Textile Recycling and Sustainability)
Show Figures

Figure 1

16 pages, 1742 KB  
Article
Integrated Insights into Drought Tolerance Mechanism of the Autotetraploid from Gossypium herbaceum by Transcriptome and Physiological Analyses
by Lili Feng, Lexiang Wang, Jiamin Li, Xianglong Li, Erhua Rong and Yuxiang Wu
Genes 2026, 17(4), 470; https://doi.org/10.3390/genes17040470 - 17 Apr 2026
Viewed by 189
Abstract
Background: Information on the autopolyploid of Gossypium herbaceum remains limited until now. Previously, the autotetraploid of G. herbaceum was successfully generated via colchicine-induced chromosome doubling from the diploid cultivar ‘Hongxing’ in our lab. Methods: To investigate the drought stress response mechanism of this [...] Read more.
Background: Information on the autopolyploid of Gossypium herbaceum remains limited until now. Previously, the autotetraploid of G. herbaceum was successfully generated via colchicine-induced chromosome doubling from the diploid cultivar ‘Hongxing’ in our lab. Methods: To investigate the drought stress response mechanism of this tetraploid, the autotetraploid S4 was used as the experimental material. The plants were subjected to drought stress during the flowering stage, followed by measurements of physiological and biochemical indicators and transcriptomic sequencing analysis. Results: Under drought stress, MDA content increased, and cell membranes sustained oxidative damage. Photosynthetic parameters, such as net photosynthetic rate (Pn), were significantly suppressed, while the activity of osmotic regulators and key antioxidant enzymes increased significantly. After rehydration, all of the above physiological indicators showed varying degrees of recovery. Transcriptome analysis revealed that, when comparing the treatment group with the control group, a total of 5530 differentially expressed genes (DEGs) were identified, with 2714 up-regulated and 2816 down-regulated. Furthermore, this study investigated the drought resistance mechanism involving the interaction between the MAPK signaling pathway and other metabolic pathways in the autotetraploid. Nine drought-resistant genes, including MAPK3, bHLH47, GaRbohD, RIBA1, PIP1-3, RCA1, RbohD, CYP707A and HSP70, were selected and analyzed using real-time quantitative PCR; the results were generally consistent with the transcriptomic data. Conclusions: These findings substantially enhance our understanding of the molecular mechanisms underlying drought responses in autotetraploids. This novel autotetraploid genotype expands the available cotton germplasm resources and is expected to hold significant value for research on polyploidy evolution. Full article
(This article belongs to the Special Issue Abiotic Stress in Crop: Molecular Genetics and Genomics)
Show Figures

Figure 1

13 pages, 2172 KB  
Article
VD9136 Positively Modulates the Pathogenicity of Verticillium dahliae to Cotton
by Kailu Chen, Rui Tang, Qing Xu, Ziqi Li, Xuebin Wang, Shandang Shi, Fei Wang, Lingling Chen and Hongbin Li
Int. J. Mol. Sci. 2026, 27(8), 3558; https://doi.org/10.3390/ijms27083558 - 16 Apr 2026
Viewed by 252
Abstract
Histidine triad (HIT) family proteins contain a conserved histidine triad motif and play key roles in fungal metabolism and pathogenicity. This study focused on VD9136, a member of the HIT family in Verticillium dahliae, aiming to elucidate its biological function and [...] Read more.
Histidine triad (HIT) family proteins contain a conserved histidine triad motif and play key roles in fungal metabolism and pathogenicity. This study focused on VD9136, a member of the HIT family in Verticillium dahliae, aiming to elucidate its biological function and mechanism underlying its role in cotton pathogenesis. A systematic investigation of the VD9136 gene in V. dahliae was conducted using bioinformatics analysis, gene knockout, genetic complementation, and pathogenicity assays. The results showed that VD9136 protein consists of 136 amino acids and is a stable, neutral, and weakly hydrophilic protein that lacks transmembrane domains and signal peptides; it is localized to the extracellular space via a non-classical secretion pathway. Its secondary structure is predominantly composed of α-helices and random coils. Phylogenetic analysis revealed that VD9136 is closely related to VliHIT, a homologous protein from V. longisporum, the pathogen responsible for Verticillium wilt in rapeseed. The promoter region of VD9136 contains multiple cis-acting elements, including light-responsive, hormone-responsive, and stress-responsive elements, indicating that its transcription may be regulated by multiple signaling pathways. VD9136 was significantly upregulated during the early stage of cotton infection (6–24 h post-inoculation). Pathogenicity assays demonstrated that V. dahliae knockout mutants lacking VD9136 exhibited a significant reduction in virulence, as evidenced by a lower disease index, decreased fungal biomass within plant tissues, and attenuated vascular browning in cotton plants. The pathogenic phenotype was successfully restored in genetic complementation strains. This study identified VD9136 as a key regulatory factor in the pathogenic process of V. dahliae, and its loss of function reduces the pathogenicity of V. dahliae. The findings provide a theoretical basis for elucidating the pathogenic mechanism of cotton Verticillium wilt and for developing corresponding prevention and control strategies. Full article
(This article belongs to the Special Issue Cotton Breeding and Genetics: Advances and Perspectives)
Show Figures

Figure 1

9 pages, 3650 KB  
Proceeding Paper
The Effect of Focal Length Variations on Convolutional Neural Network-Based Fabric Classifications
by Jhamil Gutierrez and Jocelyn Villaverde
Eng. Proc. 2026, 134(1), 57; https://doi.org/10.3390/engproc2026134057 - 16 Apr 2026
Viewed by 188
Abstract
This study investigated the impact of image capture distance on the performance of convolutional neural networks (CNNs) in classifying fabrics. Unlike previous works that rely solely on digital zoom and data augmentation to simulate multi-scale variations, this research explores the use of physically [...] Read more.
This study investigated the impact of image capture distance on the performance of convolutional neural networks (CNNs) in classifying fabrics. Unlike previous works that rely solely on digital zoom and data augmentation to simulate multi-scale variations, this research explores the use of physically captured images at far, mid-range, and near focal lengths using a camera with an attached varifocal lens. Fabric samples from three categories of Cotton, Linen, and Silk were imaged under consistent lighting to create an image dataset with a total of 1350 images used to train CNN models via transfer learning, with MobileNetV2 and ResNet50 as the baseline architectures. Classification performance was evaluated separately on each focal subset and on their combined dataset to test the trained model generalization capability. Results showed an absolute accuracy gain of 20.57% with MobileNetV2 and 9.78% for ResNet50 while performing with an improved accuracy at 98.42% for MobileNetV2 and ResNet50 at 96.30% Full article
Show Figures

Figure 1

19 pages, 2101 KB  
Article
Strip Tillage Reduces Soil Moisture Loss and Enhances Energy Efficiency in Mediterranean Cotton Production Compared to Conventional Tillage
by Serkan Özdemir
Sustainability 2026, 18(8), 3940; https://doi.org/10.3390/su18083940 - 16 Apr 2026
Viewed by 177
Abstract
Rising temperatures and increasing evaporative demand accelerate soil moisture loss (SML) during the sowing-to-emergence phase of cotton (Gossypium hirsutum L.), constraining crop establishment under water-limited Mediterranean conditions. Conventional tillage (CT) involves intensive tillage operations with higher fuel and energy requirements, whereas strip [...] Read more.
Rising temperatures and increasing evaporative demand accelerate soil moisture loss (SML) during the sowing-to-emergence phase of cotton (Gossypium hirsutum L.), constraining crop establishment under water-limited Mediterranean conditions. Conventional tillage (CT) involves intensive tillage operations with higher fuel and energy requirements, whereas strip tillage (ST) limits tillage to the crop row while preserving inter-row residues. This study evaluated ST and CT across two consecutive growing seasons (2024 and 2025) under a wheat–cotton rotation system. A field experiment was conducted using a replicated design (n = 8), in which emergence parameters, SML (0–10 cm), yield, and fuel-derived energy use and CO2 emissions were quantified. SML was significantly lower under ST than CT (43% in 2024 and 52% in 2025; p < 0.001), leading to earlier emergence (0.98–1.17 days) and higher emergence rate index (ERI) values. Cotton yield was slightly higher under CT (3–4%); however, this difference, although statistically significant (p = 0.001), remained limited and consistent across years. In contrast, ST resulted in a 66–69% reduction in operational fuel use, with proportional reductions in energy use and CO2 emissions on an area basis. Yield-scaled indicators, defined as energy use (MJ kg−1) and CO2 emissions (kg CO2 kg−1) per unit yield, further revealed substantially greater resource-use efficiency under ST compared with CT. These findings demonstrate that strip tillage enhances hydrothermal conditions during crop establishment while markedly reducing energy demand and carbon intensity, providing a resource-efficient mechanization strategy for cotton production under increasing climatic stress. Full article
(This article belongs to the Section Environmental Sustainability and Applications)
Show Figures

Figure 1

Back to TopTop