Next Article in Journal
Bacillus aryabhattai Mitigates the Effects of Salt and Water Stress on the Agronomic Performance of Maize under an Agroecological System
Previous Article in Journal
Dissolved Organic Matter from Earthworm Casts Restrained the Phytotoxicity of Soil Glyphosate to Citrus (Poncirus trifoliata (L.) Raf.) Plants
 
 
Font Type:
Arial Georgia Verdana
Font Size:
Aa Aa Aa
Line Spacing:
Column Width:
Background:
Article

Energy-Efficient Resource Allocation Algorithm for CR-WSN-Based Smart Irrigation System under Realistic Scenarios

1
Department of Electrical Engineering, College of Engineering, Jazan University, Jizan 45142, Saudi Arabia
2
Department of Electronics and Electrical Communication Engineering, Faculty of Electronic Engineering, Menoufia University, Menouf 32952, Egypt
Agriculture 2023, 13(6), 1149; https://doi.org/10.3390/agriculture13061149
Submission received: 8 April 2023 / Revised: 15 May 2023 / Accepted: 22 May 2023 / Published: 30 May 2023
(This article belongs to the Section Artificial Intelligence and Digital Agriculture)

Abstract

Cognitive radio wireless sensor networks (CR-WSNs) are a type of WSNs that use cognitive radio technology to enhance the spectrum utilization and energy efficiency. This paper proposes an energy-efficient resource allocation algorithm (EERAA) to prolong the lifetime of a WSN-based smart irrigation system under realistic scenarios. In the proposed algorithm, power allocation and subcarrier assignment are performed consecutively. Considering the impact of the intercarrier interference (ICI) caused by timing offset, the problem of maximizing network-averaged capacity is formulated considering power and interference constraints in realistic scenarios. The obtained results reveal that the proposed algorithm attempts to maximize the averaged capacity of the CR-WSN subject to the total power constraint and tolerable interference. Numerically, the proposed algorithm can reduce the network energy consumption by up to 30%, compared with conventional approaches, while maintaining a high level of system performance in terms of secondary users’ (SUs) averaged capacity.

1. Introduction

Smart irrigation is a transformative approach that leverages advanced technologies to optimize water usage in agricultural practices. With the increasing global demand for food production and the growing scarcity of water resources, efficient irrigation techniques are crucial for sustainable agriculture. Smart irrigation systems integrate various components, such as sensors, actuators, and data analytics, to enable precise monitoring and control of irrigation processes. These systems utilize a network of sensors to collect real-time data on environmental factors, soil moisture levels, and plant conditions [1]. The collected data are then analyzed and processed using sophisticated algorithms to determine the optimal amount and timing of water application. By considering factors such as weather conditions, crop requirements, and soil characteristics, smart irrigation systems can provide precise and targeted irrigation, minimizing water waste and maximizing crop yield [2,3].
One key advantage of smart irrigation is its ability to enable remote monitoring and control. Farmers can access the system through web-based platforms or mobile applications, allowing them to monitor field conditions and adjust irrigation schedules from anywhere at any time. This remote accessibility enhances operational efficiency and reduces the need for manual labor, saving time and resources. Moreover, smart irrigation systems can be integrated with weather forecasting systems to further enhance their effectiveness. By incorporating real-time weather data, these systems can adapt irrigation schedules based on predicted rainfall or temperature changes, ensuring optimal water usage and reducing reliance on manual adjustments. The benefits of smart irrigation extend beyond water conservation and crop productivity. By minimizing water usage, farmers can reduce their overall operational costs, improve energy efficiency, and mitigate environmental impacts, such as water pollution and soil erosion [1].
A wireless sensor network (WSN) is a network of many low-cost and power-limited sensors that are distributed in an area to monitor and collect data about the physical or environmental conditions. The sensors are outfitted with a diverse array of monitoring capabilities, including temperature, humidity, pressure, light, sound, and motion. They establish wireless communication among themselves to establish a network. The collected data can then be processed, analyzed, and transmitted to a central control unit or a remote server for further processing and storage. The primary advantage of WSNs is their ability to provide a real-time, continuous, and fine-grained monitoring of the physical world, which can be used in many applications, such as environmental monitoring, smart cities, healthcare, industrial automation, and precision agriculture [4,5,6,7]. However, the design and deployment of WSNs pose several challenges, such as limited power, bandwidth, processing capabilities, communication and network management issues, security and privacy concerns, and the need for robust and energy-efficient algorithms and protocols. Nevertheless, the widespread use of WSNs is expected to grow in the future as the Internet of Things (IoT) continues to expand, providing new opportunities for innovation and improving the quality of life. Recently, several studies related to these challenges have been conducted [7,8].
Cognitive radio wireless sensor networks (CR-WSNs) are a type of WSNs that use CR technology to enhance the spectrum utilization and power conservation [9,10,11]. In CR-WSNs, the sensor nodes are equipped with cognitive radios that can sense the radio frequency (RF) spectrum and adapt the transmission parameters to avoid interference and optimize energy consumption. This allows CR-WSNs to operate in a dynamic and heterogeneous RF environment, where different types of wireless devices coexist and compete for limited spectrum resources. By using cognitive radio technology, CR-WSNs can achieve higher spectrum efficiency, better reliability, and longer network lifetime compared with traditional WSNs. CR-WSNs have various applications, such as environmental monitoring, smart irrigation, industrial control, healthcare, and smart cities, where reliable and energy-efficient wireless communication is critical [12,13,14]. In practical scenarios of CR networks, the estimation algorithm design can be affected by channel sensing uncertainty resulting from false alarms and misdetections. As a result, it is of interest to identify how estimation algorithm quality is affected by channel sensing errors. As such, this paper aims to investigate the impact of imperfect sensing on the performance of CR-WSNs.
Orthogonal frequency division multiplexing (OFDM) [15] is widely regarded as a top contender for the physical layer of CR systems due to its flexible, reconfigurable subcarrier structure that enables easy adaptation and adjustment of system parameters. OFDM is also capable of avoiding interference through the addition of the cyclic prefix, and it offers large bandwidth efficiency through orthogonality, resilience to frequency-selective fading channels, and simplified equalizer design. However, OFDM is very sensitive to timing discrepancies due to synchronization error. The shortage of OFDM comes from high side lobes in filters’ frequency response, which, in turn, lead to high interference between subcarriers, which is a major source that declines the performance of wireless communication systems [16,17,18]. In the current literature, optimizing the radio resources under power and interference constraints in the CR system remains an area of ongoing research. This paper seeks to enhance the SU’s average capacity with the consideration of quality of service (QoS) of the primary users (PUs). Hence, it is necessary to consider the interference produced by side lobes between primary users and secondary users. Additionally, the transmit power of each SU subcarrier can be adapted with the best possible resource allocation algorithm in order to not affect the PU while transmitting information. Unfortunately, there are few studies that have focused on this problem. Therefore, in this paper, the trade-off of increasing transmission capacity while maintaining an acceptable interference will be investigated.
Resource allocation is a critical process that involves distributing resources, such as time, energy, bandwidth, and computational power, among competing demands. Efficient resource allocation is essential in various fields, including communication systems, transportation networks, manufacturing processes, and energy management [12,13]. Concerning WSNs, resource allocation is especially crucial since the resources available are typically limited, and the sensors’ energy consumption must be optimized to prolong the network’s lifespan. Proper resource allocation can lead to several benefits, such as improved system performance, reduced energy consumption, increased reliability, and enhanced scalability. Furthermore, resource allocation can help to ensure that critical tasks receive adequate resources, prevent network congestion, and reduce the risk of system failure. In summary, resource allocation is vital for optimizing the use of resources, achieving efficient operations, and achieving the desired system performance in various applications [19,20].
The resource allocation algorithm will take place after the SUs are allocated to the detected spectrum opportunities. Based on convex optimization techniques, we derive the resource allocation algorithm for the SU to achieve the highest capacity considering the interference constraint, along with the peak/average transmit power constraint of the SU. In summary, this work introduces the following contributions:
(1)
We present a practical scenario for CR-WSNs; then we investigate how imperfect channel sensing impacts the performance of CR-WSN-based systems.
(2)
We propose a resource allocation algorithm that aims to enhance the SU average capacity while ensuring that the interference level at the PU is below an acceptable level considering power constraint and ICI constraint.
(3)
To solve the above nonconvex optimization problem, the proposed algorithm is presented to search for the optimal transmit power of the SU.
The detailed abbreviations and definitions used in this paper are listed in Table 1.
The rest of the paper is presented according to the following sequence: The related work is presented in Section 2. The system model of CR-WSNs and presented channel sensing model are illustrated in Section 3. The proposed resource allocation and problem formulation are presented in Section 4. Section 5 provides the simulation results and discussion. Finally, Section 6 presents the conclusions.

2. Related Work

In [12], the authors presented a resource allocation scheme that utilizes a Stackelberg game approach to optimize the SUs’ throughput while satisfying the PU’s interference constraint in a multiuser CR network. The authors in [13] proposed a resource allocation scheme for CR-WSNs that incorporates energy harvesting capabilities. The authors consider a CR-WSN with a single CR node and multiple energy harvesting nodes, and they express the resource allocation formula as an optimization problem that maximizes the network throughput subject to energy neutrality constraints for the energy harvesting nodes and interference constraints for the PUs. In [21], the authors proposed an effective resource allocation technique, namely, the Improved Pliable Cognitive Medium Access Protocol, designed to address the challenges of multilevel heterogeneity in CR-WSN.
In [22], a computationally efficient resource allocation algorithm in a multi-carrier-based CR network is presented to maximize the system capacity. The assumption made in this work is to neglect the interference from PU to SU. The authors in [23] proposed a trajectory design and resource allocation scheme to maximize the achievable rate of an SU in an unmanned aerial vehicle (UAV) CR system. They optimized the UAV trajectory, transmit power to satisfy practical constraints, and an interference temperature threshold. The work in [24] focuses on the achievable rate analysis and resource allocation of the cognitive low earth orbit (LEO) satellite system. Specifically, a joint power allocation scheme was proposed to maximize the sum rate of the IoT transmission subject to performance requirements and constraints of the legacy satellite system. The quasi-concave nature of the sum rate of the IoT users over the satellite terminal receive power was proved, which allows for optimal receive powers to be derived.
An energy-efficient resource allocation approach in secure CR networks was presented in [25]. The paper introduces an ergodic secure energy efficiency problem for a CR network with a PU, an SU, and an eavesdropper, and presents a convex optimization problem for power allocation using fractional programming and dual decomposition techniques. The proposed approach aims to maximize the ergodic secure energy efficiency of the SU with constraints on the average interference power and average transmit power.
In [26], the authors propose a resource allocation algorithm to improve the sum rate considering power and interference constraints using a Rayleigh fading channel. However, the scenario where the SUs communicate while facing channel sensing uncertainty has not been considered in any of these works. Therefore, we propose an energy-efficient resource allocation algorithm (EERAA) to enhance the average capacity and prolong the lifetime of a WSN-based smart irrigation system under realistic scenarios. In the proposed algorithm, power allocation and subcarrier assignment are performed sequentially.
Our approach differs from that in [26] by considering the capacity reduction on all subcarriers occupied by a PU, rather than just on the first adjacent subcarrier to the SU. Furthermore, we employ a coarse approximation of the channel’s gain for the SU. The obtained results illustrate that the average capacity of SUs is close to that of the perfect channel knowledge scenario.

3. CR-WSN System Model

A WSN-based smart irrigation system is a modern and innovative solution for efficient and sustainable agriculture. The system comprises a network of sensors that are deployed in the soil, plants, and environment to monitor and collect data related to soil moisture, temperature, humidity, rainfall, and other relevant parameters. These data are then transmitted wirelessly to a central control unit that processes the data and triggers the irrigation system based on predefined thresholds and algorithms. The WSN-based smart irrigation system enables farmers to optimize water usage, increase crop yields, reduce water wastage, and lower energy costs. Additionally, it is easily expandable and can be adapted to achieve the specific requirements of various crops and farming practices. With the rise of climate change and water scarcity issues, WSN-based smart irrigation systems are becoming increasingly popular and essential for modern agriculture.
The CR-WSN-based smart irrigation system model is illustrated in Figure 1 with an N cluster each with one cluster head (CH) and many sensor nodes spread over an area with size A. The transmission between the sensor nodes and the CH within the cluster is carried out using the unlicensed spectrum, while the transmission between the CH and the sink node takes place opportunistically through the licensed spectrum. The licensed spectrum that is being targeted includes M radio channels that exhibit varying PU communications and signal-to-noise-ratios (SNRs) [27].

Channel Sensing

The first step involves using CH nodes (i.e., SUs) to sense the transmission channel, to decide whether it is currently available or busy by a PU. Energy detection methods are commonly used for this purpose, especially when the transmission modes of PUs are unknown. Assuming that y l represents the PU’s signal at a specific location, and n l represents Gaussian white noise with a mean of zero and a variance of σ n 2 for all l , the CH’s measurement can be denoted as E l . For each CH, a spectrum sensing function is defined by establishing two hypotheses according to the measurement. In this mathematical expression, the hypothesis checking for the channel sensing problem is performed over M symbol periods and can be expressed as follows [9]:
H 0 : E l = n l l = 1 , 2 , 3 . . M
H 1 : E l = y l + n l l = 1 , 2 , 3 . . M
In Equation (1), H 0 means that the PU signal is absent, while in Equation (2), H 1 means that the PU is present and using the channel. The M received signal sample points are gathered by cognitive nodes (CH), allowing for the detection statistics for energy detection to be expressed in the following manner:
E = 1 M l = 1 M z l 2
If we assume that E l 2 with l = 1 , . . , M is composed of independently and identically distributed random variables, to verify the mean E for large values of M, we can use the central limit theorem. This is demonstrated in [26] as:
E Z = σ n 2 , u n d e r   H 0 σ s 2 + σ n 2 , u n d e r   H 1
where σ s 2 represents the PU’s signal variance. It should be emphasized that the reliability of spectrum sensing is evaluated using two metrics: the first metric is the probability of detection P d , which refers to the probability of an SU detecting the presence of a PU when the spectrum is actually used by the PU. The second metric is the false alarm probability P f , which represents the probability of an SU detecting the presence of a PU when the channel is free [9]. For instance, if H 0 is the true hypothesis, then P { H 1 ^ | H 0 } indicates the probability of a false alarm.

4. The Proposed Resource Allocation

Concerning CR-WSNs, our attention is directed to both energy consumption and SU average capacity, which depends on its resource allocation scenario done by CH nodes. This paper proposes a resource allocation algorithm that maximizes the average capacity, taking into account both power constraint and interference constraint [28]. Therefore, the energy consumption and ICI optimization are strongly interconnected with each other in this case, making it difficult to solve it in general. To solve this issue, the successive convex optimization technique presented in [29] is applied.
We consider CR-WSNs with spectrum sharing between PUs and SUs as illustrated in Figure 2, with the allocation of the PU (labelled “1”) and spectrum holes (denoted by “0”) with cluster number N c = 48 and F U = 18 subcarriers in each hole. We have utilized the unambiguous interference formulas of OFDM, which previously obtained in [30] and selected the cluster number and size based on the realistic values of WiMAX 802.16.
One or more interferences can exist within a single spectrum hole, as illustrated in Figure 2, where PUs and SUs utilize neighboring frequency bands. We assume that the ICI exists from the PU to the CH due to frequency offset. Based on the OFDM ICI tables obtained in [31], it was observed that “8” subcarriers (OFDM) induce the ICI to the channel. In cases where a sequence of intricate symbols is transmitted, the interference caused by a single subcarrier is the total of interference across all the time slots. For the subsequent analysis, we define the eight-element interference vectors of OFDM as designed in [32].
V o f d m = 10 - 2 × [ 8.94 , 2.23 , 0.995 , 0.560 , 0.359 , 0.250 , 0.184 , 0.112 ]
One formulation of the problem faced by the SU is to enhance the sum data rate through power allocation in the detected spectrum holes:
max P : C P = u = 1 U f = 1 F U l o g 2 [ 1 + p s u f G s s u f σ n 2 + I f u ]
s.t.
u = 1 U f = 1 F U p s u f p t h
0 p s u f p s u b
n = 1 N i p s u l r G s p u f i = 1 N - n + 1 V N i - i + 1 I t h
In Equation (9), U represents the number of spectrum holes, while F U , p s u f , G s s u f , and I f u denote the subcarrier number, SU power, CIR gain from the SU to its base station, and ICI from the PU to the SU on the f t h subcarrier in the u t h spectrum hole, respectively. The variables p t h and p s u b are the extreme user power boundary and power limit per subcarrier, respectively. The interference vector V length is represented by N i , p s u l r is the SU’s power on the right (left) n t h subcarrier in the u t h spectrum hole, G s p u f is the gain of the propagation channel from the CH to the primary system on the right (left) PU’s subcarriers neighboring the u t h spectrum hole, and I t h represents the interference threshold. The last constraint is to protect the PU transmission, which needs that the received interference power at the PU due to the CH transmission is below a prescribed threshold.
The interference from the primary system to the CH, I f u , is written as in Equation (10):
I f u = n = f N P p u l G p s u l V n f = 1,2 , 3 . . N i n = F U - f + 1 N P p u r G p s u r V n f = F U - N i + 1 , . . F U 0 o t h e r w i s e
In Equation (10), P p u l ( r ) and G p s u l ( r ) represent the primary user transmitted power and channel gain existing at the right (left) of the u t h spectrum hole to the SU on the f t h subcarrier of the u t h spectrum hole, respectively.
Our optimization problem in (6) is formulated as a concave function, while the constraints in (7)–(9) are linear, making it a convex optimization problem. This problem can be efficiently solved using several linear programming (LP) methods, such as the CVX-SDPT3 toolbox [28]. The algorithm’s details are summarized in Algorithm 1.
Algorithm 1 The procedure of the CVX optimization algorithm
1: Input—Set the channel gains, the maximum user power p t h and power limits per subcarrier p s u b , and the noise power.
2: Solve—Solve the optimization problem (6) for given constraints in (7)–(9).
3: Output—The optimum power for all subcarriers.

5. Simulation Results and Discussion

The following section illustrates the obtained results that assess the performance of the EERAA algorithm in the presence of imperfect channel sensing. The probability of primary users’ presence is 0.25, i.e., P { H 1 } = 0.25 and P { H 0 } = 0.75 . The EERAA algorithm is validated through Monte Carlo simulations over a frequency selective Rayleigh fading channel between the secondary transmitter and receiver. The simulations consider 256 subcarriers and QPSK modulation.
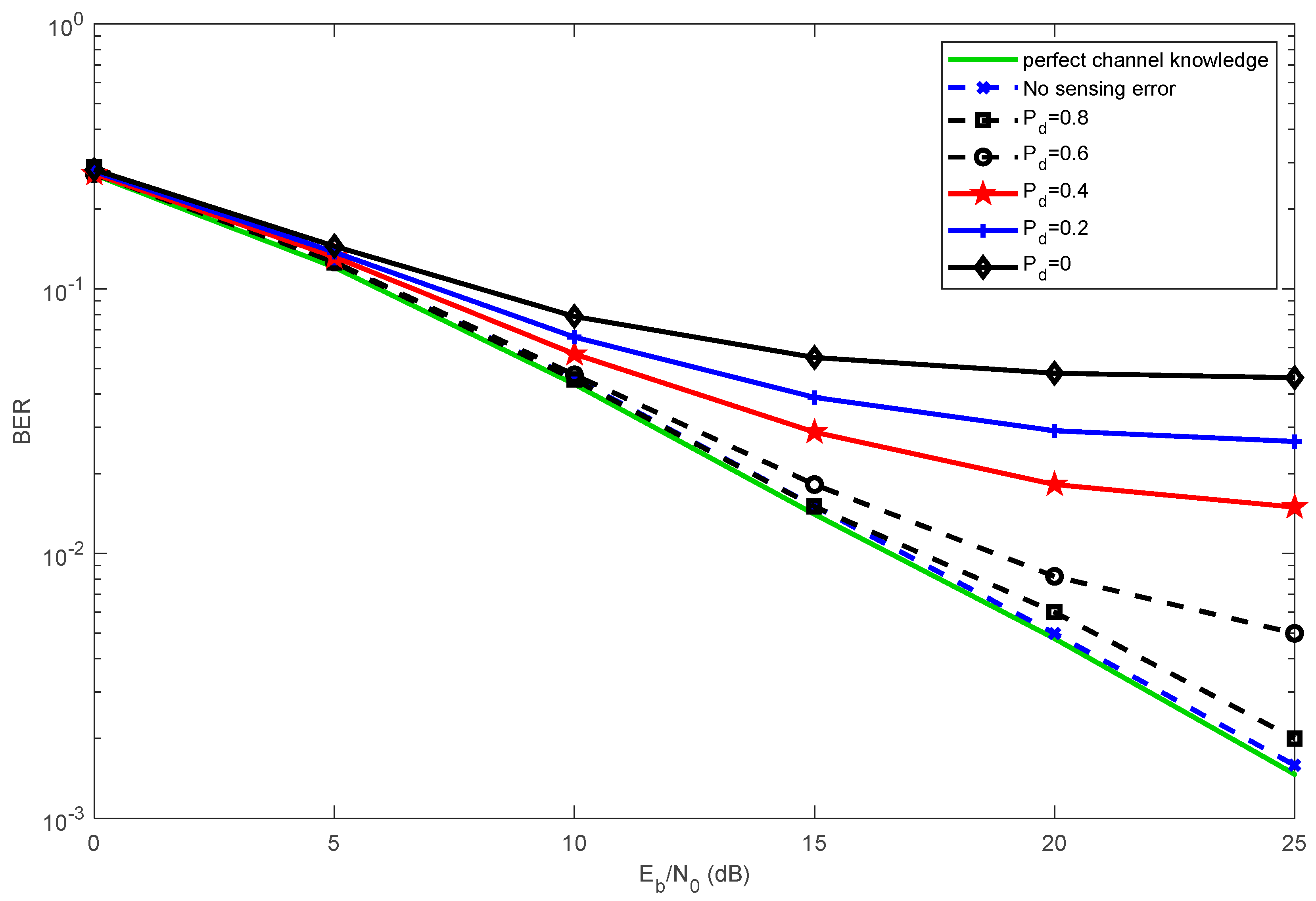
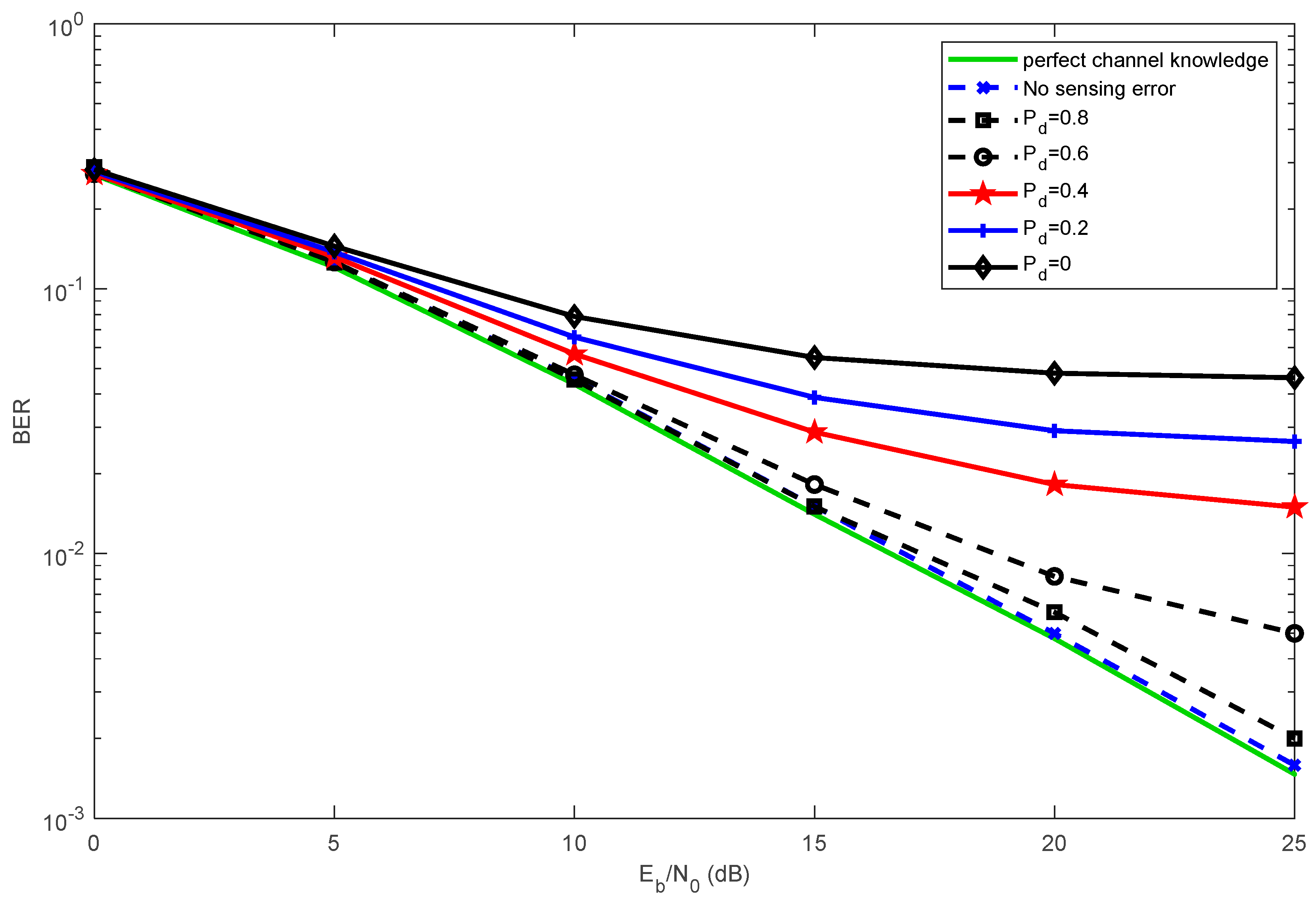
Figure 3 presents the bit error rate (BER) performance of the proposed EERAA algorithm versus E b / N 0 compared with the scenario of no sensing errors. The perfect estimation has the same performance as the case with no sensing errors, which indicate the validation of the proposed algorithm. The simulation also considers different levels of sensing errors. The results indicate that the BER performance degrades as the sensing errors increase. When the probability of detection P d drops from 1 to 0, the BER performance is affected.
Figure 4 presents a BER performance comparison among the proposed EERAA algorithm, the joint resource allocation (JRA) [33], and resource allocation with sensing-based interference (RASI) [12] algorithms. It is clear that the EERAA algorithm gives the better performance compared with the other algorithms.
The following Figure 5 and Figure 6 illustrate the performance evaluation of the proposed resource allocation algorithm based on the average spectral efficiency. Figure 5 depicts the scenario where an SU, utilizing F available subcarriers, is surrounded by subcarriers allocated to the PU, causing interference from both sides. In this case, the SU’s spectral efficiency values show an improvement compared with the initial allocation. The power allocation algorithm attempts to avoid subcarriers adjacent to the PU, leading to the localization of power allocation in the middle of the spectrum hole.
Figure 6 demonstrates the impact of the maximum power levels. The graph in Figure 6 clearly shows that increasing the average power per subcarrier, denoted as P, results in higher spectral efficiencies ( P = p t h / F ) . It is also clear that the performance of the proposed EERAA algorithm can be observed to approach that of the perfectly known channel scenario.
Figure 7 illustrates the impact of the number of subcarriers on the SU’s averaged capacity. The performance of OFDM increases as the number of subcarriers increases. Additionally, it is worth noting that the performance of the proposed algorithm approximates the performance of the perfectly estimated case.
Figure 8 illustrates energy consumption per node in terms of number of clusters and network size. It is evident from this figure that, as the number of clusters increases, the energy consumption decreases. It is also clear that the energy consumption of WSN with the proposed algorithm is approximately three times lower than the conventional WSN that does not use the proposed algorithm.

6. Conclusions

This paper presented an EERAA algorithm for CR-WSN-based smart irrigation systems. The proposed algorithm addresses the challenge of prolonging the WSN’s lifetime by reducing energy consumption while achieving high secondary users’ average capacity. The algorithm performs power allocation and subcarrier assignment sequentially and considers the effect of ICI. We formulated the maximization of system capacity under realistic scenarios with power and interference constraints. Simulation results indicate that the proposed EERAA algorithm outperforms the conventional approaches by reducing network energy consumption by up to 30% while maintaining high average capacity. The numerical analysis and simulation results confirm that EERAA can prolong the lifetime of WSN-based smart irrigation systems and enhance their energy efficiency.
In conclusion, the proposed EERAA algorithm can effectively address the energy efficiency and spectrum utilization challenges in CR-WSN-based smart irrigation systems. This research provides a valuable contribution towards achieving sustainable agricultural practices by developing efficient resource allocation algorithms for smart irrigation systems.
Future research can explore the implementation of the proposed algorithm in real-world scenarios and evaluate its performance in various wireless communication applications. Future research directions can further investigate the integration of advanced machine learning techniques into the proposed EERAA algorithm for CR-WSN-based smart irrigation systems. This can involve exploring the use of reinforcement learning or deep learning algorithms to enhance the adaptive and autonomous decision-making capabilities of the system. Additionally, the scalability and robustness of the algorithm can be studied in larger-scale deployments and under diverse environmental conditions. Furthermore, the investigation of novel sensor technologies and network architectures can also contribute to the advancement of CR-WSNs in smart agriculture. By addressing these research areas, we can pave the way for more efficient and sustainable agricultural practices while ensuring optimal resource utilization and environmental conservation.

Funding

This research was funded by the Deputyship for Research and Innovation, Ministry of Education in Saudi Arabia, grant number ISP22-43.

Institutional Review Board Statement

Not available.

Data Availability Statement

No data availability statements are available.

Acknowledgments

The authors extend their appreciation to the Deputyship for Research and Innovation, Ministry of Education in Saudi Arabia, for funding this research work through project number ISP22-43.

Conflicts of Interest

The authors declare no conflict of interest.

References

  1. Vallejo-Gómez, D.; Osorio, M.; Hincapié, C.A. Smart Irrigation Systems in Agriculture: A Systematic Review. Agronomy 2023, 13, 342. [Google Scholar] [CrossRef]
  2. Quimbita, W.; Toapaxi, E.; Llanos, J. Smart Irrigation System Considering Optimal Energy Management Based on Model Predictive Control (MPC). Appl. Sci. 2022, 12, 4235. [Google Scholar] [CrossRef]
  3. Sharifnasab, H.; Mahrokh, A.; Dehghanisanij, H.; Łazuka, E.; Łagód, G.; Karami, H. Evaluating the Use of Intelligent Irrigation Systems Based on the IoT in Grain Corn Irrigation. Water 2023, 15, 1394. [Google Scholar] [CrossRef]
  4. Al-Sadoon, M.E.; Jedidi, A.; Al-Raweshidy, H. Dual-Tier Cluster-Based Routing in Mobile Wireless Sensor Network for IoT Application. IEEE Access 2023, 11, 4079–4094. [Google Scholar] [CrossRef]
  5. Zhu, M.; Xu, W.; Guo, N.; Wei, Z. Joint Sensor Localization and Data Collection in UAV-Assisted Wireless Sensor Network. In Proceedings of the 2022 14th International Conference on Wireless Communications and Signal Processing (WCSP), Nanjing, China, 14–17 October 2022; pp. 894–899. [Google Scholar] [CrossRef]
  6. Bochem, A.; Zhang, H. Robustness Enhanced Sensor Assisted Monte Carlo Localization for Wireless Sensor Networks and the Internet of Things. IEEE Access 2022, 10, 33408–33420. [Google Scholar] [CrossRef]
  7. Xu, P. A Brief Overview of Wireless Sensor Networks for Internet of Things. In Proceedings of the 2022 2nd International Conference on Networking, Communications and Information Technology (NetCIT), Manchester, UK, 26–27 December 2022; pp. 54–57. [Google Scholar] [CrossRef]
  8. Anand, L.; Seetha, P.S.J.; Juliana, R.; Kumar, P.N.; Parasa, G. Evaluation of Wireless Sensor Networks Module using IoT Approach. In Proceedings of the 2023 Third International Conference on Artificial Intelligence and Smart Energy (ICAIS), Coimbatore, India, 2–4 February 2023; pp. 1543–1546. [Google Scholar] [CrossRef]
  9. Hassan, E.S. Adaptive Threshold to Guarantee both Detection and False Alarm Probabilities in Multi-taper-based Spectrum Sensing. J. Frankl. Inst. 2019, 356, 1640–1657. [Google Scholar] [CrossRef]
  10. Joon, R.; Tomar, P. Cognitive Radio Wireless Sensor Networks: A Survey. In Proceedings of the 2022 Fifth International Conference on Computational Intelligence and Communication Technologies (CCICT), Sonepat, India, 8–9 July 2022; pp. 216–222. [Google Scholar] [CrossRef]
  11. Sarthi, D.; Gurjar, S.; Sai, C.; Pattanayak, P.; Bhardwaj, A. Performance Impact of Hardware Impairments on Wireless Powered Cognitive Radio Sensor Networks. IEEE Sens. Lett. 2020, 4, 7500704. [Google Scholar] [CrossRef]
  12. Ning, B.; Sun, G.; Li, J.; Zhang, A.; Hao, W.; Yang, S. Resource Allocation in Multi-User Cognitive Radio Network with Stackelberg Game. IEEE Access 2020, 8, 58260–58270. [Google Scholar] [CrossRef]
  13. Wang, Y.; Wang, Y.; Zhou, F.; Wu, Y.; Zhou, H. Resource Allocation in Wireless Powered Cognitive Radio Networks Based on a Practical Non-Linear Energy Harvesting Model. IEEE Access 2017, 5, 17618–17626. [Google Scholar] [CrossRef]
  14. Rai, P.; Ghose, M.K.; Sarma, H.K.D. Game Theory Based Energy Efficient Routing in Cognitive Radio Wireless Sensor Networks. In Proceedings of the 2020 IEEE International Symposium on Smart Electronic Systems (iSES) (Formerly iNiS), Chennai, India, 14–16 December 2020; pp. 35–39. [Google Scholar] [CrossRef]
  15. Hassan, E.S. Multi-Carrier Communication Systems with Examples in MATLAB®: A New Perspective; CRC Press: Boca Raton, FL, USA; Taylor & Francis: Abingdon, UK, 2015; ISBN 9781498735322. [Google Scholar]
  16. Kumar, G.P.; Dileep, M.; Satyanarayana, B.V.V.; Manikanta, S.P. Modified Channel Estimation Techniques for DCT based OFDM Systems. In Proceedings of the 2022 International Conference on Computer Communication and Informatics (ICCCI), Coimbatore, India, 23–25 June 2022; pp. 1–6. [Google Scholar] [CrossRef]
  17. Zohra, S.; Abdelhafid, A.; Yassine, N.I.; Fadela, B. Performance Evaluation of a Broadband MIMO-CP-OFDM Communication System in the context of 5G-and-Beyond-3GPP defined Fading Channels. In Proceedings of the 2022 2nd International Conference on Innovative Research in Applied Science, Engineering and Technology (IRASET), Meknes, Morocco, 3–4 March 2022; pp. 1–5. [Google Scholar] [CrossRef]
  18. Kapula, P.R.; Bandani, A.K.; Bollampally, A.; Rajesh, P.; Sravani, P.; Dubey, S. Error Performance of MIMO-OFDM Communication System. In Proceedings of the 2022 6th International Conference on Trends in Electronics and Informatics (ICOEI), Tirunelveli, India, 28–30 April 2022; pp. 487–491. [Google Scholar] [CrossRef]
  19. Dang, V.-H.; Nguyen, L.-M.; Vo, V.N.; Tran, H.; Ho, T.D.; So-In, C.; Sanguanpong, S. Throughput Optimization for Noma Energy Harvesting Cognitive Radio With Multi-UAV-Assisted Relaying Under Security Constraints. IEEE Trans. Cogn. Commun. Netw. 2022, 9, 82–98. [Google Scholar] [CrossRef]
  20. Rezaie, M.; Dosaranian-Moghadam, M.; Bakhshi, H.; Bibalan, M.H. Achievable Rates and Resource Allocation for CDMA-Based Overlay Cognitive Radio With RF Energy Harvesting. IEEE Syst. J. 2023, 17, 1137–1145. [Google Scholar] [CrossRef]
  21. Al-Medhwahi, M.; Hashim, F.; Ali, B.M.; Sali, A.; Alkholidi, A. Resource allocation in heterogeneous cognitive radio sensor networks. Int. J. Distrib. Sens. Netw. 2019, 15, 1550147719851944. [Google Scholar] [CrossRef]
  22. Shaat, M.; Bader, F. Computationally Efficient Power Allocation Algorithm in Multicarrier-based Cognitive Radio Networks: OFDM and FBMC systems. EURASIP J. Adv. Signal Process. 2010, 2010, 528378. [Google Scholar] [CrossRef]
  23. Zhou, L.; Xu, W.; Wang, C.; Chen, H.-H. RIS-Enabled UAV Cognitive Radio Networks: Trajectory Design and Resource Allocation. Information 2023, 14, 75. [Google Scholar] [CrossRef]
  24. Cai, B.; Zhang, Q.; Ge, J.; Xie, W. Resource Allocation for Cognitive LEO Satellite Systems: Facilitating IoT Communications. Sensors 2023, 23, 3875. [Google Scholar] [CrossRef] [PubMed]
  25. Yadav, R.; Singh, K.; Kumar, A. Optimal Power Allocation for Achieving Secure Green Cognitive Radio Networks. Electronics 2022, 11, 1952. [Google Scholar] [CrossRef]
  26. Zhang, H.; Le Ruyet, D.; Roviras, D.; Medjahdi, Y.; Sun, H. Spectral Efficiency Comparison of OFDM/FBMC for Uplink Cognitive Radio Networks. EURASIP J. Adv. Signal Process. 2010, 2010, 14. [Google Scholar] [CrossRef]
  27. Hassan, E.S. Reduced-Complexity Selective Mapping for Improving Wireless Communication in Smart Irrigation Systems. Wirel. Pers. Commun. 2023, 129, 2653–2667. [Google Scholar] [CrossRef]
  28. Abd El-Hamid, Z.; Hassan, E.S.; Zekry AH, A.; Elagooz, S.S.; Samir, M.; Abd El-Samie, F.E. New multiple-input multiple-output-based filter bank multicarrier structure for cognitive radio networks. IET Commun. 2019, 13, 1514–1523. [Google Scholar] [CrossRef]
  29. Filippou, M.C.; Ropokis, G.A.; Gesbert, D.; Ratnarajah, T. Joint Sensing and Reception Design of SIMO Hybrid Cognitive Radio Systems. IEEE Trans Wirel. Commun. 2016, 15, 6321–6341. [Google Scholar] [CrossRef]
  30. Hong, M.; Razaviyayn, M.; Luo, Z.-Q.; Pang, J.-S. A unified algorithmic framework for block-structured optimization involving big data: With applications in machine learning and signal processing. IEEE Signal Process. Mag. 2016, 33, 57–77. [Google Scholar] [CrossRef]
  31. Bellanger, M. Filter banks and OFDM/OQAM for high throughput wireless LAN. In Proceedings of the 3rd International Symposium on Communications, Control and Signal Processing. ISCCSP 2008, St. Julian’s, Malta, 12–14 March 2008; pp. 758–761. [Google Scholar]
  32. Medjahdi, Y.; Terre, M.; Le Ruyet, D.; Roviras, D.; Nossek, J.A.; Baltar, L. Inter-cell Interference Analysis for OFDM / FBMC Systems. In Proceedings of the 10th IEEE Signal Processing Workshop (SPAWC 2009), Perugia, Italy, 21–24 June 2009; pp. 598–602. [Google Scholar]
  33. Lu, W.; Nan, T.; Gong, Y.; Qin, M.; Liu, X.; Xu, Z.; Na, Z. Joint Resource Allocation for Wireless Energy Harvesting Enabled Cognitive Sensor Networks. IEEE Access 2018, 6, 22480–22488. [Google Scholar] [CrossRef]
Figure 1. CR-WSN-based smart irrigation system model.
Figure 1. CR-WSN-based smart irrigation system model.
Agriculture 13 01149 g001
Figure 2. Allocation of primary users and available subcarriers considering 18 subcarriers allocated to each free sub-band.
Figure 2. Allocation of primary users and available subcarriers considering 18 subcarriers allocated to each free sub-band.
Agriculture 13 01149 g002
Figure 3. The impact of sensing errors on BER of the proposed EERAA algorithm considering different scenarios of sensing errors.
Figure 3. The impact of sensing errors on BER of the proposed EERAA algorithm considering different scenarios of sensing errors.
Agriculture 13 01149 g003
Figure 4. BER comparison among the proposed EERAA, RASI [12], and JRA [33].
Figure 4. BER comparison among the proposed EERAA, RASI [12], and JRA [33].
Agriculture 13 01149 g004
Figure 5. Common channel scenarios in the case of a single user and F = 18.
Figure 5. Common channel scenarios in the case of a single user and F = 18.
Agriculture 13 01149 g005
Figure 6. SU’s averaged capacity versus total power.
Figure 6. SU’s averaged capacity versus total power.
Agriculture 13 01149 g006
Figure 7. SU’s averaged capacity versus number of subcarriers.
Figure 7. SU’s averaged capacity versus number of subcarriers.
Agriculture 13 01149 g007
Figure 8. Energy consumption versus number of clusters and network size.
Figure 8. Energy consumption versus number of clusters and network size.
Agriculture 13 01149 g008
Table 1. List of abbreviations.
Table 1. List of abbreviations.
AbbreviationDefinition
CRcognitive radio
WSNswireless sensor networks
CR-WSNscognitive radio wireless sensor networks
ICIintercarrier interference
SUsecondary user
PUprimary user
IoTInternet of Things
RFradio frequency
OFDMorthogonal frequency division multiplexing
QoSquality of service
CHcluster head
UAVunmanned aerial vehicles
LEOlow earth orbit
SNRsignal-to-noise ratio
LPlinear programming
BERbit error rate
JRAjoint resource allocation
RASIresource allocation with sensing-based interference
EERAAEnergy-efficient resource allocation algorithm
Disclaimer/Publisher’s Note: The statements, opinions and data contained in all publications are solely those of the individual author(s) and contributor(s) and not of MDPI and/or the editor(s). MDPI and/or the editor(s) disclaim responsibility for any injury to people or property resulting from any ideas, methods, instructions or products referred to in the content.

Share and Cite

MDPI and ACS Style

Hassan, E.S. Energy-Efficient Resource Allocation Algorithm for CR-WSN-Based Smart Irrigation System under Realistic Scenarios. Agriculture 2023, 13, 1149. https://doi.org/10.3390/agriculture13061149

AMA Style

Hassan ES. Energy-Efficient Resource Allocation Algorithm for CR-WSN-Based Smart Irrigation System under Realistic Scenarios. Agriculture. 2023; 13(6):1149. https://doi.org/10.3390/agriculture13061149

Chicago/Turabian Style

Hassan, Emad S. 2023. "Energy-Efficient Resource Allocation Algorithm for CR-WSN-Based Smart Irrigation System under Realistic Scenarios" Agriculture 13, no. 6: 1149. https://doi.org/10.3390/agriculture13061149

APA Style

Hassan, E. S. (2023). Energy-Efficient Resource Allocation Algorithm for CR-WSN-Based Smart Irrigation System under Realistic Scenarios. Agriculture, 13(6), 1149. https://doi.org/10.3390/agriculture13061149

Note that from the first issue of 2016, this journal uses article numbers instead of page numbers. See further details here.

Article Metrics

Back to TopTop