Gender, Albuminuria and Chronic Kidney Disease Progression in Treated Diabetic Kidney Disease
Abstract
1. Introduction
2. Patients and Methods
Statistical Analysis
3. Results
3.1. Clinical and Analytical Characteristics of Men and Women
3.2. GFR Loss in Men and Women
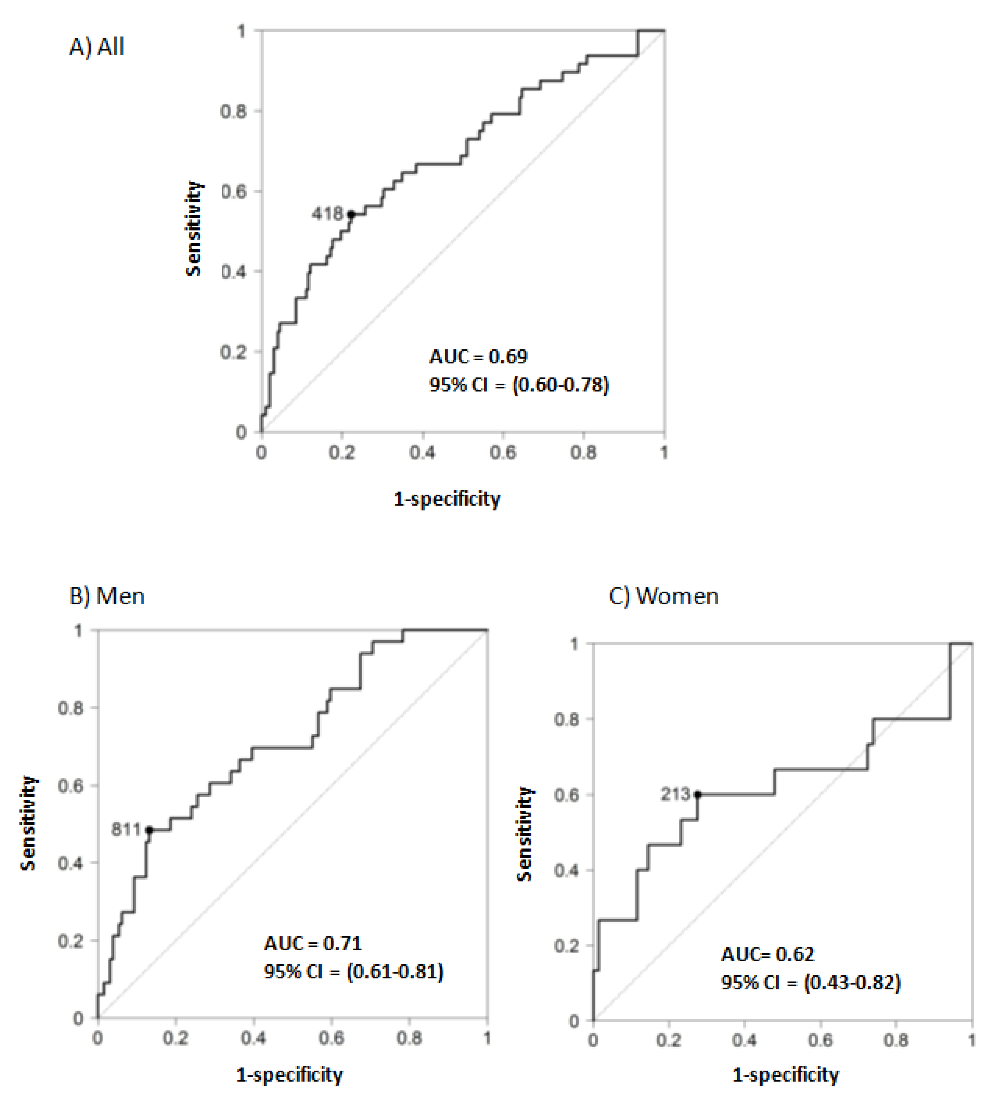
3.3. Predictive Value of Baseline UACR for Rapid Progression
4. Discussion
5. Conclusions
Supplementary Materials
Author Contributions
Funding
Conflicts of Interest
References
- Fernandez-Prado, R.; Fernandez-Fernandez, B.; Ortiz, A. Women and renal replacement therapy in Europe: Lower incidence, equal access to transplantation, longer survival than men. Clin. Kidney J. 2018, 11, 1–6. [Google Scholar] [CrossRef]
- Antlanger, M.; Noordzij, M.; van de Luijtgaarden, M.; Carrero, J.J.; Palsson, R.; Finne, P.; Hemmelder, M.H.; Aresté-Fosalba, N.; Reisæter, A.V.; Cases, A.; et al. Sex Differences in Kidney Replacement Therapy Initiation and Maintenance. Clin. J. Am. Soc. Nephrol. 2019, 14, 1616–1625. [Google Scholar] [CrossRef]
- Carrero, J.J.; Hecking, M.; Chesnaye, N.C.; Jager, K.J. Sex and gender disparities in the epidemiology and outcomes of chronic kidney disease. Nat. Rev. Nephrol. 2018, 14, 151–164. [Google Scholar] [CrossRef] [PubMed]
- Piccoli, G.B.; Alrukhaimi, M.; Liu, Z.-H.; Zakharova, E.; Levin, A.; World Kidney Day Steering Committee. Women and kidney disease: Reflections on World Kidney Day 2018. Clin. Kidney J. 2018, 11, 7–11. [Google Scholar] [CrossRef] [PubMed]
- Kramer, A.; Pippias, M.; Noordzij, M.; Stel, V.S.; Andrusev, A.M.; Aparicio-Madre, M.I.; Arribas Monzón, F.E.; Åsberg, A.; Barbullushi, M.; Beltrán, P.; et al. The European Renal Association - European Dialysis and Transplant Association (ERA-EDTA) Registry Annual Report 2016: A summary. Clin. Kidney J. 2019, 12, 702–720. [Google Scholar] [CrossRef]
- Shen, Y.; Cai, R.; Sun, J.; Dong, X.; Huang, R.; Tian, S.; Wang, S. Diabetes mellitus as a risk factor for incident chronic kidney disease and end-stage renal disease in women compared with men: A systematic review and meta-analysis. Endocrine 2017, 55, 66–76. [Google Scholar] [CrossRef] [PubMed]
- Koye, D.N.; Shaw, J.E.; Reid, C.M.; Atkins, R.C.; Reutens, A.T.; Magliano, D.J. Incidence of chronic kidney disease among people with diabetes: A systematic review of observational studies. Diabet. Med. 2017, 34, 887–901. [Google Scholar] [CrossRef] [PubMed]
- Foreman, K.J.; Marquez, N.; Dolgert, A.; Fukutaki, K.; Fullman, N.; McGaughey, M.; Pletcher, M.A.; Smith, A.E.; Tang, K.; Yuan, C.W.; et al. Forecasting life expectancy, years of life lost, and all-cause and cause-specific mortality for 250 causes of death: Reference and alternative scenarios for 2016–40 for 195 countries and territories. Lancet 2018, 392, 2052–2090. [Google Scholar] [CrossRef]
- Ortiz, A.; Sanchez-Niño, M.D.; Crespo-Barrio, M.; De-Sequera-Ortiz, P.; Fernández-Giráldez, E.; García-Maset, R.; Macía-Heras, M.; Pérez-Fontán, M.; Rodríguez-Portillo, M.; Salgueira-Lazo, M.; et al. The Spanish Society of Nephrology (SENEFRO) commentary to the Spain GBD 2016 report: Keeping chronic kidney disease out of sight of health authorities will only magnify the problem. Nefrologia 2019, 39, 29–34. [Google Scholar] [CrossRef]
- Tuttle, K.R.; Bakris, G.L.; Bilous, R.W.; Chiang, J.L.; de Boer, I.H.; Goldstein-Fuchs, J.; Hirsch, I.B.; Kalantar-Zadeh, K.; Narva, A.S.; Navaneethan, S.D.; et al. Diabetic kidney disease: A report from an ADA Consensus Conference. Diabetes Care 2014, 37, 2864–2883. [Google Scholar] [CrossRef]
- KDIGO 2012 Clinical Practice Guideline for the Evaluation and Management of Chronic Kidney Disease. Kidney Int. 2013, 3, 5–14.
- Levey, A.S.; Stevens, L.A.; Schmid, C.H.; Zhang, Y.L.; Castro, A.F.; Feldman, H.I.; Kusek, J.W.; Eggers, P.; Van Lente, F.; Greene, T.; et al. A new equation to estimate glomerular filtration rate. Ann. Intern. Med. 2009, 150, 604–612. [Google Scholar] [CrossRef] [PubMed]
- Elewa, U.; Fernández-Fernández, B.; Mahillo-Fernández, I.; Martin-Cleary, C.; Sanz, A.B.; Sanchez-Niño, M.D.; Ortiz, A. PCSK9 in diabetic kidney disease. Eur. J. Clin. Invest. 2016, 46, 779–786. [Google Scholar] [CrossRef] [PubMed]
- Barbato, A.; D’Elia, L.; Perna, L.; Molisso, A.; Iacone, R.; Strazzullo, P.; Galletti, F. Increased Microalbuminuria Risk in Male Cigarette Smokers: Results from the “Olivetti Heart Study” after 8 Years Follow-Up. Kidney Blood Press. Res. 2019, 44, 33–42. [Google Scholar] [CrossRef] [PubMed]
- Kar, D.; Gillies, C.; Nath, M.; Khunti, K.; Davies, M.J.; Seidu, S. Association of smoking and cardiometabolic parameters with albuminuria in people with type 2 diabetes mellitus: A systematic review and meta-analysis. Acta Diabetol. 2019, 56, 839–850. [Google Scholar] [CrossRef] [PubMed]
- Parvanova, A.; Trillini, M.; Podestà, M.A.; Iliev, I.P.; Ruggiero, B.; Abbate, M.; Perna, A.; Peraro, F.; Diadei, O.; Rubis, N.; et al. Moderate salt restriction with or without paricalcitol in type 2 diabetes and losartan-resistant macroalbuminuria (PROCEED): A randomised, double-blind, placebo-controlled, crossover trial. Lancet Diabetes Endocrinol. 2018, 6, 27–40. [Google Scholar] [CrossRef]
- Shirazian, S.; Grant, C.D.; Mujeeb, S.; Sharif, S.; Kumari, P.; Bhagat, M.; Mattana, J. Underprescription of renin-angiotensin system blockers in moderate to severe chronic kidney disease. Am. J. Med. Sci. 2015, 349, 510–515. [Google Scholar] [CrossRef]
- Fernandez-Fernandez, B.; Izquierdo, M.C.; Valiño-Rivas, L.; Nastou, D.; Sanz, A.B.; Ortiz, A.; Sanchez-Niño, M.D. Albumin downregulates Klotho in tubular cells. Nephrol. Dial. Transplant 2018, 33, 1712–1722. [Google Scholar] [CrossRef]
- de Seigneux, S.; Wilhelm-Bals, A.; Courbebaisse, M. On the relationship between proteinuria and plasma phosphate. Swiss Med. Wkly. 2017, 147, w14509. [Google Scholar]
- de Seigneux, S.; Courbebaisse, M.; Rutkowski, J.M.; Wilhelm-Bals, A.; Metzger, M.; Khodo, S.N.; Hasler, U.; Chehade, H.; Dizin, E.; Daryadel, A.; et al. Proteinuria Increases Plasma Phosphate by Altering Its Tubular Handling. J. Am. Soc. Nephrol. 2015, 26, 1608–1618. [Google Scholar] [CrossRef]
- Zoccali, C.; Ruggenenti, P.; Perna, A.; Leonardis, D.; Tripepi, R.; Tripepi, G.; Mallamaci, F.; Remuzzi, G. REIN Study Group Phosphate may promote CKD progression and attenuate renoprotective effect of ACE inhibition. J. Am. Soc. Nephrol. 2011, 22, 1923–1930. [Google Scholar] [CrossRef] [PubMed]
- Neal, B.; Perkovic, V.; Mahaffey, K.W.; de Zeeuw, D.; Fulcher, G.; Erondu, N.; Shaw, W.; Law, G.; Desai, M.; Matthews, D.R.; et al. Canagliflozin and Cardiovascular and Renal Events in Type 2 Diabetes. N. Engl. J. Med. 2017, 377, 644–657. [Google Scholar] [CrossRef] [PubMed]
- Fernandez-Fernandez, B.; Fernandez-Prado, R.; Górriz, J.L.; Martinez-Castelao, A.; Navarro-González, J.F.; Porrini, E.; Soler, M.J.; Ortiz, A. Canagliflozin and Renal Events in Diabetes with Established Nephropathy Clinical Evaluation and Study of Diabetic Nephropathy with Atrasentan: What was learned about the treatment of diabetic kidney disease with canagliflozin and atrasentan? Clin. Kidney J. 2019, 12, 313–321. [Google Scholar] [CrossRef] [PubMed]
- Zoppini, G.; Targher, G.; Chonchol, M.; Ortalda, V.; Negri, C.; Stoico, V.; Bonora, E. Predictors of estimated GFR decline in patients with type 2 diabetes and preserved kidney function. Clin. J. Am. Soc. Nephrol. 2012, 7, 401–408. [Google Scholar] [CrossRef]
- Bermejo, S.; García, C.O.; Rodríguez, E.; Barrios, C.; Otero, S.; Mojal, S.; Pascual, J.; Soler, M.J. The renin-angiotensin-aldosterone system blockade in patients with advanced diabetic kidney disease. Nefrologia 2018, 38, 197–206. [Google Scholar] [CrossRef]
- Nitsch, D.; Grams, M.; Sang, Y.; Black, C.; Cirillo, M.; Djurdjev, O.; Iseki, K.; Jassal, S.K.; Kimm, H.; Kronenberg, F.; et al. Associations of estimated glomerular filtration rate and albuminuria with mortality and renal failure by sex: A meta-analysis. BMJ 2013, 346, f324. [Google Scholar] [CrossRef]
- Huo, Y.; Li, J.; Qin, X.; Huang, Y.; Wang, X.; Gottesman, R.F.; Tang, G.; Wang, B.; Chen, D.; He, M.; et al. Efficacy of folic acid therapy in primary prevention of stroke among adults with hypertension in China: The CSPPT randomized clinical trial. JAMA 2015, 313, 1325–1335. [Google Scholar] [CrossRef]
- Makita, Y.; Moczulski, D.K.; Bochenski, J.; Smiles, A.M.; Warram, J.H.; Krolewski, A.S. Methylenetetrahydrofolate reductase gene polymorphism and susceptibility to diabetic nephropathy in type 1 diabetes. Am. J. Kidney Dis. 2003, 41, 1189–1194. [Google Scholar] [CrossRef]
- Moczulski, D.; Fojcik, H.; Zukowska-Szczechowska, E.; Szydlowska, I.; Grzeszczak, W. Effects of the C677T and A1298C polymorphisms of the MTHFR gene on the genetic predisposition for diabetic nephropathy. Nephrol. Dial. Transpl. 2003, 18, 1535–1540. [Google Scholar] [CrossRef]
- Kramer, H.J.; Nguyen, Q.D.; Curhan, G.; Hsu, C.-Y. Renal insufficiency in the absence of albuminuria and retinopathy among adults with type 2 diabetes mellitus. JAMA 2003, 289, 3273–3277. [Google Scholar] [CrossRef]
- Neugebauer, S.; Baba, T.; Watanabe, T. Methylenetetrahydrofolate reductase gene polymorphism as a risk factor for diabetic nephropathy in NIDDM patients. Lancet 1998, 352, 454. [Google Scholar] [CrossRef]
- Marti, F.; Vollenweider, P.; Marques-Vidal, P.-M.; Mooser, V.; Waeber, G.; Paccaud, F.; Bochud, M. Hyperhomocysteinemia is independently associated with albuminuria in the population-based CoLaus study. BMC Public Health 2011, 11, 733. [Google Scholar] [CrossRef] [PubMed]
- Wirta, V.; Huang, X.H.; Wirta, O.; Rantalaiho, V.; Pasternack, A.; Jokela, H.; Koivula, T.; Lehtimäki, T. Mutation C677T of methylenetetrahydrofolate reductase gene is not associated with coronary artery disease, but possibly with albuminuria, in type 2 diabetic patients. Clin. Chem. Lab. Med. 1998, 36, 625–628. [Google Scholar] [CrossRef] [PubMed]
- Schneider, M.P.; Schneider, A.; Jumar, A.; Kistner, I.; Ott, C.; Schmieder, R.E. Effects of folic acid on renal endothelial function in patients with diabetic nephropathy: Results from a randomized trial. Clin. Sci. 2014, 127, 499–505. [Google Scholar] [CrossRef] [PubMed]
- House, A.A.; Eliasziw, M.; Cattran, D.C.; Churchill, D.N.; Oliver, M.J.; Fine, A.; Dresser, G.K.; Spence, J.D. Effect of B-vitamin therapy on progression of diabetic nephropathy: A randomized controlled trial. JAMA 2010, 303, 1603–1609. [Google Scholar] [CrossRef]
- Cohen, E.; Margalit, I.; Shochat, T.; Goldberg, E.; Krause, I. Gender differences in homocysteine concentrations, a population-based cross-sectional study. Nutr. Metab. Cardiovasc. Dis. 2019, 29, 9–14. [Google Scholar] [CrossRef]
- Li, Y.; Liang, M.; Wang, G.; Wang, B.; He, M.; Tang, G.; Yin, D.; Xu, X.; Huo, Y.; Cui, Y.; et al. Effects of Folic Acid Therapy on the New-Onset Proteinuria in Chinese Hypertensive Patients: A Post Hoc Analysis of the Renal Substudy of CSPPT (China Stroke Primary Prevention Trial). Hypertension 2017, 70, 300–306. [Google Scholar] [CrossRef]


| Variable | Total (n = 261) | Men (n = 170) | Women (n = 91) | p |
|---|---|---|---|---|
| Age (years) | 68 ± 13 | 68 ± 12 | 70 ± 13 | 0.13 |
| Ethnicity, n (%) | ||||
| Caucasian | 243 (93.1) | 156 (91.7) | 87 (95.0) | 0.84 |
| Black | 9 (3.4) | 6 (3.5) | 3 (3.3) | |
| Asiatic | 9 (3.4) | 8 (4.5) | 1 (1.1) | |
| Serum creatinine (mg/dL) | 1.50 ± 0.80 | 1.58 ± 0.83 | 1.36 ± 0.71 | 0.003 |
| eGFR CKD-EPI (mL/min/1.73 m2) | 54.8 ± 25.8 | 56.3 ± 25.7 | 52.0 ± 25.8 | 0.20 |
| Urinary creatinine (mg/24h) | 1120 ± 398 | 1253 ± 395 | 858 ± 245 | <0.0001 |
| Albuminuria (mg/24 h) | 182 [41–515] | 247 [60–645] | 87 [12–275.1] | 0.0002 |
| UACR (mg/g) | 156 [37–499] | 187 [50–592] | 99.5 [15–403] | 0.013 |
| HbA1C (%) | 7.6 ± 1.36 | 7.63 ± 1.32 | 7.57 ± 1.4 | 0.71 |
| Diabetes complications, n (%) | ||||
| Diabetic retinopathy | 127/261 (49.7) | 81/170 (47.6) | 46/91 (50.5) | 0.19 |
| Mild/moderate/non-proliferative | 72/261 (27.6) | 50/170 (29.4) | 22/91 (24.2) | |
| Severe of proliferative | 33/261 (12.6) | 16/170 (9.4) | 17/91 (18.7) | |
| Macular edema | 22/261 (8.4) | 15/170 (8.9) | 7/91 (7.7) | |
| Diabetic polyneuropathy | 34/261 (13.0) | 22/170 (12.9) | 12/91 (13.2) | 1 |
| Cardiovascular disease, n (%) | 128/261 (49.0) | 83/170 (48.8) | 45/91 (49.5) | 1 |
| Heart failure | 42/261 (16.1) | 31/170 (18.2) | 11/91 (12.0) | 0.26 |
| Acute coronary syndrome | 61/261 (23.4) | 42/170 (24.7) | 19/91 (20.9) | 0.58 |
| Stroke | 16/261 (6.1) | 8/170 (4.7) | 8/91 (8.8) | 0.29 |
| Peripheral vascular disease | 62/261 (23.8) | 48/170 (28.2) | 14/91 (15.4) | 0.03 |
| Arrhythmia | 38/261 (14.6) | 20/170 (11.8) | 18/91 (19.8) | 0.11 |
| Tobacco use, n (%) | ||||
| Non-smoker | 108/261 (41.4) | 37/170 (21.9) | 71/91 (78.0) | <0.001 |
| Smoker | 49/261 (18.8) | 39/170 (23.1) | 10/91 (11.0) | |
| Ex-smoker | 103/261 (39.5) | 93/170 (55.0) | 10/91 (11.0) | |
| Hypertension, n (%) | 251/261 (96.2) | 165/170 (97.1) | 86/91 (94.5) | 0.19 |
| Dyslipidemia, n (%) | 232/261 (88.9) | 149/170 (87.7) | 83/91 (91.5) | 0.62 |
| SBP (mmHg) | 137.7 ± 17.8 | 136.8 ± 15.8 | 139.5 ± 21.1 | 0.29 |
| DBP (mmHg) | 73.5 ± 12.6 | 74.6 ± 13.1 | 71.6 ± 10.8 | 0.052 |
| BMI (kg/m²) (n = 260) | 30.2 ± 5.3 | 29.5 ± 5 | 31.3 ± 5.7 | 0.0073 |
| Waist circumference (cm) (n = 180) | 107 ± 13 | 108 ± 13 | 103 ± 12 | 0.046 |
| Men | Adjusted Models | ||
| OR | 95% CI | p | |
| eGFR CKD-EPI (ml/min/1.73 m2) | 1.024 | (1.005–1.044) | 0.011 |
| Alkaline phosphatase (UI/mL) | 1.017 | (1.003–1.031) | 0.016 |
| Triglycerides (mg/dL) | 1.007 | (1.001–1.013) | 0.019 |
| Vitamin B12 (pg/mL) | 1.003 | (1.000–1.006) | 0.024 |
| Albumin (g/dl) | 0.196 | (0.051–0.710) | 0.013 |
| Diuresis (ml/24h) | 0.999 | (0.998–1.000) | 0.026 |
| Waist circumference (cm) | 0.944 | (0.900–0.986) | 0.008 |
| BMI (kg/m²) | 0.907 | (0.821–0.991) | 0.03 |
| FECa (%) | 0.364 | (0.128–0.860) | 0.019 |
| FE phosphate (%) | 0.891 | (0.818–0.958) | 0.001 |
| 25 OH Vitamin D (ng/mL) | 0.941 | (0.888–0.991) | 0.021 |
| UACR (mg/g) | 1.001 | (1.001–1.002) | 0.000 |
| Women | Adjusted models | ||
| OR | 95% CI | p | |
| Leucocytes (n/µL) | 1.000 | (1.000–1.001) | 0.032 |
| Age (years) | 1.085 | (1.012–1.185) | 0.019 |
| hsCRP (mg/dL) | 3.806 | (1.368–22.177) | 0.004 |
| SBP (mmHg) | 1.040 | (1.007–1.081) | 0.016 |
| Heart rate (bpm) | 1.067 | (1.002–1.144) | 0.044 |
| Folic acid (pg/mL) | 0.712 | (0.520–0.893) | 0.001 |
| FE potassium (%) | 0.782 | (1.099–1.563) | 0.001 |
| FE magnesium (%) | 0.661 | (0.420–0.966) | 0.031 |
| 25 OH Vitamin D (ng/mL) | 0.886 | (0.782–0.970) | 0.006 |
| UACR (mg/g) | 1.001 | (1.000–1.002) | 0.008 |
| Total Population | ||||
| Variable | Coef. | OR | 95% CI | p |
| UACR (mg/g) | 0.002 | 1.002 | (1.001–1.003) | 0.000 |
| FE phosphate (%) | −0.111 | 0.895 | (0.841–0.944) | 0.000 |
| Triglycerides (mg/dL) | 0.006 | 1.006 | (1.002–1.011) | 0.006 |
| Uric acid (mg/dL) | 0.327 | 1.387 | (1.080–1.800) | 0.010 |
| Vitamin B12 (pg/mL) | 0.003 | 1.003 | (1.001–1.006) | 0.001 |
| Constant | −4.561 | |||
| Men | ||||
| Variable | Coef. | OR | 95% CI | p |
| UACR (mg/g) | 0.002 | 1.002 | (1.001–1.004) | <0.001 |
| FE phosphates (%) | −0.184 | 0.832 | (0.719–0.920) | <0.001 |
| Waist circumference (cm) | −0.082 | 0.921 | (0.848–0.986) | 0.015 |
| Vitamin B12 (pg/mL) | 0.006 | 1.006 | (1.002–1.011) | 0.005 |
| Mean corpuscular volume (fl) | 0.210 | 1.234 | (1.032–1.582) | 0.018 |
| DDLV (mm) | 0.120 | 1.127 | (1.001–1.291) | 0.047 |
| Constant | −17.44 | |||
| Women | ||||
| Variable | Coef. | OR | 95% CI | p |
| Folic acid (pg/mL) | −0.250 | 0.779 | (0.555–0.978) | 0.029 |
| SBP (mmHg) | 0.075 | 1.078 | (1.029–1.150) | <0.001 |
| FE Mg (%) | −0.447 | 0.639 | (0.391–0.939) | 0.020 |
| Uric acid (mg/dL) | 0.620 | 1.859 | (1.103–3.503) | 0.019 |
| Constant | −12.91 | |||
© 2020 by the authors. Licensee MDPI, Basel, Switzerland. This article is an open access article distributed under the terms and conditions of the Creative Commons Attribution (CC BY) license (http://creativecommons.org/licenses/by/4.0/).
Share and Cite
Fernandez-Fernandez, B.; Mahillo, I.; Sanchez-Rodriguez, J.; Carriazo, S.; Sanz, A.B.; Sanchez-Niño, M.D.; Ortiz, A. Gender, Albuminuria and Chronic Kidney Disease Progression in Treated Diabetic Kidney Disease. J. Clin. Med. 2020, 9, 1611. https://doi.org/10.3390/jcm9061611
Fernandez-Fernandez B, Mahillo I, Sanchez-Rodriguez J, Carriazo S, Sanz AB, Sanchez-Niño MD, Ortiz A. Gender, Albuminuria and Chronic Kidney Disease Progression in Treated Diabetic Kidney Disease. Journal of Clinical Medicine. 2020; 9(6):1611. https://doi.org/10.3390/jcm9061611
Chicago/Turabian StyleFernandez-Fernandez, Beatriz, Ignacio Mahillo, Jinny Sanchez-Rodriguez, Sol Carriazo, Ana B. Sanz, Maria Dolores Sanchez-Niño, and Alberto Ortiz. 2020. "Gender, Albuminuria and Chronic Kidney Disease Progression in Treated Diabetic Kidney Disease" Journal of Clinical Medicine 9, no. 6: 1611. https://doi.org/10.3390/jcm9061611
APA StyleFernandez-Fernandez, B., Mahillo, I., Sanchez-Rodriguez, J., Carriazo, S., Sanz, A. B., Sanchez-Niño, M. D., & Ortiz, A. (2020). Gender, Albuminuria and Chronic Kidney Disease Progression in Treated Diabetic Kidney Disease. Journal of Clinical Medicine, 9(6), 1611. https://doi.org/10.3390/jcm9061611

