Growth Differentiation Factor 15: A Biomarker with High Clinical Potential in the Evaluation of Kidney Transplant Candidates
Abstract
1. Introduction
2. Experimental Section
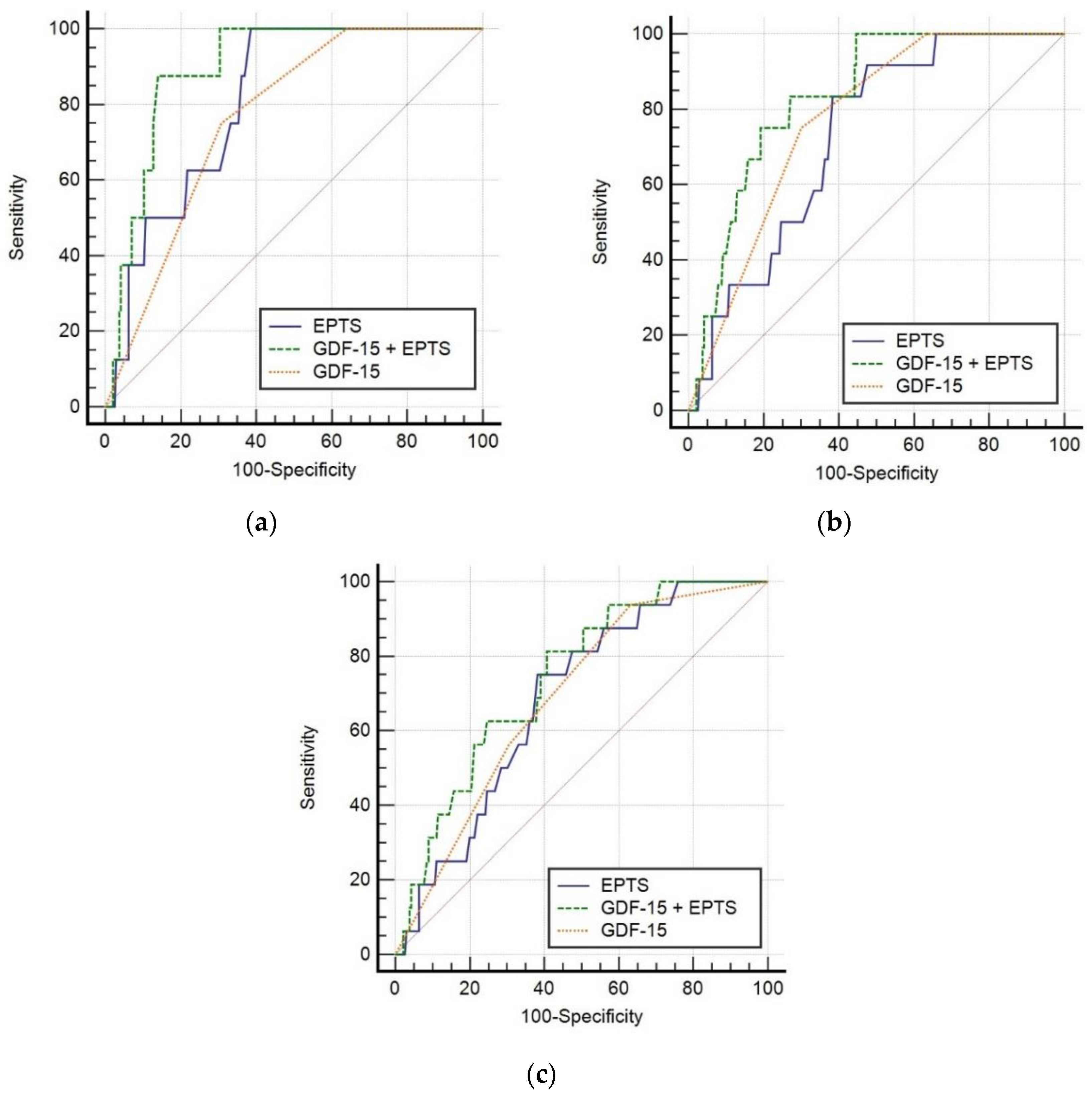
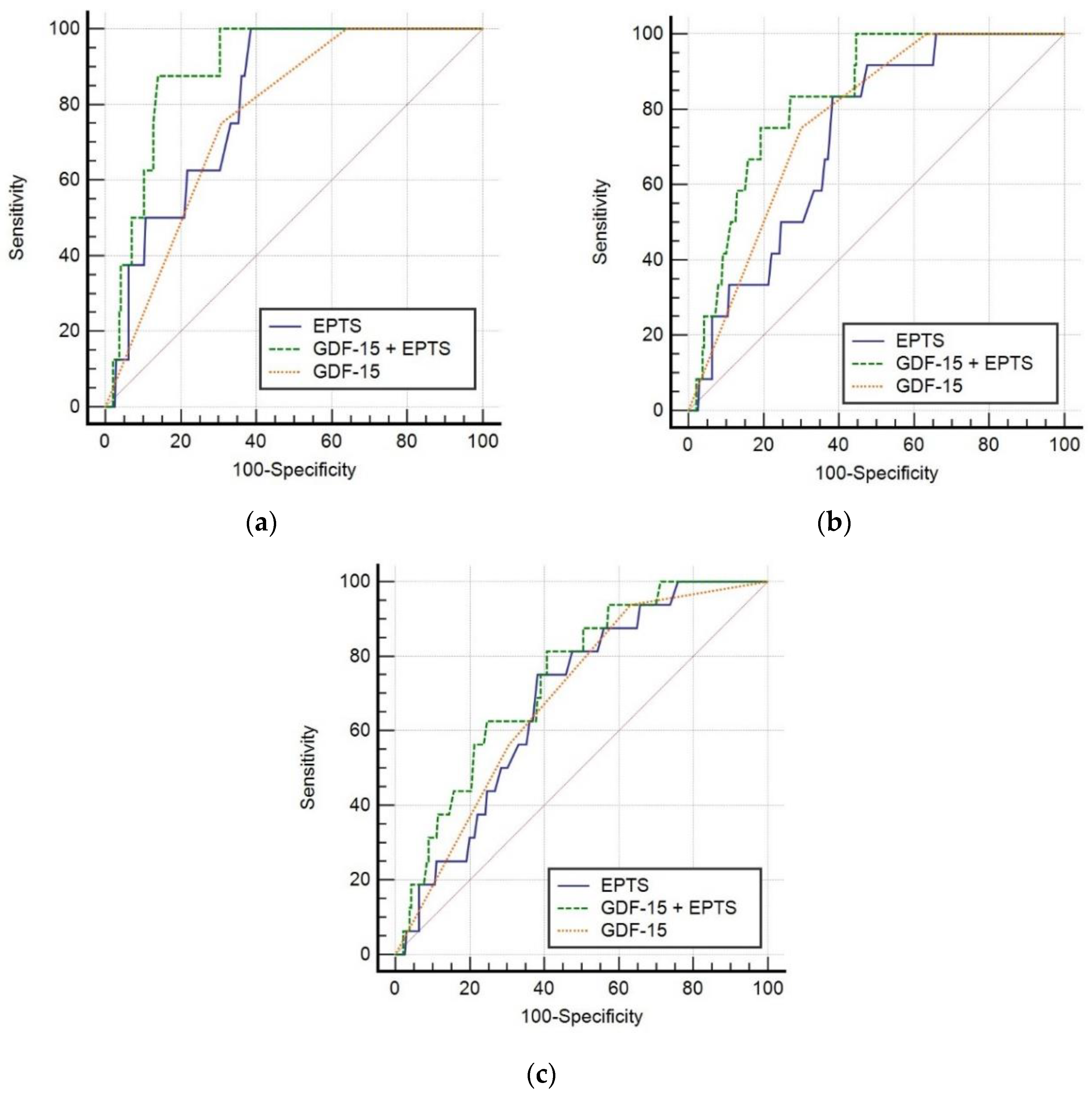
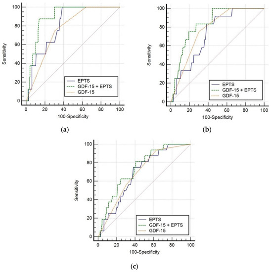
3. Results
4. Discussion
Author Contributions
Funding
Conflicts of Interest
References
- Desmedt, S.; Desmedt, V.; De Vos, L.; Delanghe, J.R.; Speeckaert, R.; Speeckaert, M.M. Growth differentiation factor 15: A novel biomarker with high clinical potential. Crit. Rev. Clin. Lab. Sci. 2019, 56, 333–350. [Google Scholar] [CrossRef]
- Lindahl, B. The story of growth differentiation factor 15: Another piece of the puzzle. Clin. Chem. 2013, 59, 1550–1552. [Google Scholar] [CrossRef]
- Wollert, K.C.; Kempf, T.; Wallentin, L. Growth differentiation factor 15 as a biomarker in cardiovascular disease. Clin. Chem. 2017, 63, 140–151. [Google Scholar] [CrossRef]
- Tzikas, S.; Vassilikos, V.; Keller, T. GDF-15 as a risk stratification biomarker for cardiovascular disease. Int. J. Cardiol. 2019, 292, 246–247. [Google Scholar] [CrossRef] [PubMed]
- George, M.; Jena, A.; Srivatsan, V.; Muthukumar, R.; Dhandapani, V. GDF 15-A Novel Biomarker in the Offing for Heart Failure. Curr. Cardiol. Rev. 2016, 12, 37–46. [Google Scholar] [CrossRef] [PubMed]
- Li, J.; Cui, Y.; Huang, A.; Li, Q.; Jia, W.; Liu, K.; Qi, X. Additional diagnostic value of growth differentiation factor-15 (GDF-15) to N-Terminal B-Type natriuretic peptide (NT-proBNP) in patients with different stages of heart failure. Med. Sci. Monit. 2018, 24, 4992–4999. [Google Scholar] [CrossRef] [PubMed]
- Bodde, M.C.; Hermans, M.P.J.; Van Der Laarse, A.; Mertens, B.; Romijn, F.P.H.T.M.; Schalij, M.J.; Cobbaert, C.M.; Jukema, J.W. Growth Differentiation Factor-15 Levels at Admission Provide Incremental Prognostic Information on All-Cause Long-term Mortality in ST-Segment Elevation Myocardial Infarction Patients Treated with Primary Percutaneous Coronary Intervention. Cardiol. Ther. 2019, 8, 29–41. [Google Scholar] [CrossRef] [PubMed]
- Walter, J.; Nestelberger, T.; Boeddinghaus, J.; Twerenbold, R.; Croton, L.; Badertscher, P.; Wildi, K.; Wussler, D.; Du Fay De Lavallaz, J.; Mueller, C.; et al. Growth differentiation factor-15 and all-cause mortality in patients with suspected myocardial infarction. Int. J. Cardiol. 2019. [Google Scholar] [CrossRef]
- Wang, Y.; Zhen, C.; Wang, R.; Wang, G. Growth-differentiation factor-15 predicts adverse cardiac events in patients with acute coronary syndrome: A meta-analysis. Am. J. Emerg. Med. 2019. [Google Scholar] [CrossRef]
- De Haan, J.J.; Haitjema, S.; Den Ruijter, H.M.; Pasterkamp, G.; De Borst, G.J.; Teraa, M.; Verhaar, M.C.; Gremmels, H.; De Jager, S.C.A. Growth differentiation factor 15 is associated with major amputation and mortality in patients with peripheral artery disease. J. Am. Heart Assoc. 2017, 6. [Google Scholar] [CrossRef]
- Dong, X.; Nao, J. Association of serum growth differentiation factor 15 level with acute ischemic stroke in a Chinese population. Int. J. Neurosci. 2019, 129, 1247–1255. [Google Scholar] [CrossRef] [PubMed]
- Yin, J.; Zhu, Z.; Guo, D.; Wang, A.; Zeng, N.; Zheng, X.; Peng, Y.; Zhong, C.; Wang, G.; Zhou, Y.; et al. Increased growth differentiation factor 15 is associated with unfavorable clinical outcomes of acute ischemic stroke. Clin. Chem. 2019, 65, 569–578. [Google Scholar] [CrossRef] [PubMed]
- Modi, A.; Dwivedi, S.; Roy, D.; Khokhar, M.; Purohit, P.; Vishnoi, J.; Pareek, P.; Sharma, S.; Sharma, P.; Misra, S. Growth differentiation factor 15 and its role in carcinogenesis: An update. Growth Factors 2019, 37, 190–207. [Google Scholar] [CrossRef] [PubMed]
- Wang, X.; Yang, Z.; Tian, H.; Li, Y.; Li, M.; Zhao, W.; Zhang, C.; Wang, T.; Liu, J.; Zhang, A.; et al. Circulating MIC-1/GDF15 is a complementary screening biomarker with CEA and correlates with liver metastasis and poor survival in colorectal cancer. Oncotarget 2017, 8, 24892–24901. [Google Scholar] [CrossRef] [PubMed]
- Brown, D.A.; Lindmark, F.; Stattin, P.; Bälter, K.; Adami, H.O.; Zheng, S.L.; Xu, J.; Isaacs, W.B.; Grönberg, H.; Breit, S.N.; et al. Macrophage inhibitory cytokine 1: A new prognostic marker in prostate cancer. Clin. Cancer Res. 2009, 15, 6658–6664. [Google Scholar] [CrossRef]
- Bruzzese, F.; Hägglöf, C.; Leone, A.; Sjöberg, E.; Roca, M.S.; Kiflemariam, S.; Sjöblom, T.; Hammarsten, P.; Egevad, L.; Bergh, A.; et al. Local and systemic protumorigenic effects of cancer-associated fibroblast-derived GDF15. Cancer Res. 2014, 74, 3408–3417. [Google Scholar] [CrossRef]
- Ham, Y.R.; Song, C.H.; Bae, H.J.; Jeong, J.Y.; Yeo, M.-K.; Choi, D.E.; Na, K.-R.; Lee, K.W. Growth Differentiation Factor-15 as a Predictor of Idiopathic Membranous Nephropathy Progression: A Retrospective Study. Dis. Markers 2018, 2018, 1463940. [Google Scholar] [CrossRef]
- Carlsson, A.C.; Ingelsson, E.; Sundström, J.; Carrero, J.J.; Gustafsson, S.; Feldreich, T.; Stenemo, M.; Larsson, A.; Lind, L.; Ärnlöv, J. Use of proteomics to investigate kidney function decline over 5 years. Clin. J. Am. Soc. Nephrol. 2017, 12, 1226–1235. [Google Scholar] [CrossRef]
- Nair, V.; Robinson-Cohen, C.; Smith, M.R.; Bellovich, K.A.; Bhat, Z.Y.; Bobadilla, M.; Brosius, F.; De Boer, I.H.; Essioux, L.; Formentini, I.; et al. Growth Differentiation Factor–15 and Risk of CKD Progression. J. Am. Soc. Nephrol. 2017, 28, 2233–2240. [Google Scholar] [CrossRef]
- Na, K.R.; Kim, Y.H.; Chung, H.K.; Yeo, M.K.; Ham, Y.R.; Jeong, J.Y.; Kim, K.S.; Lee, K.W.; Choi, D.E. Growth differentiation factor 15 as a predictor of adverse renal outcomes in patients with immunoglobulin A nephropathy. Intern. Med. J. 2017, 47, 1393–1399. [Google Scholar] [CrossRef]
- Mirna, M.; Topf, A.; Wernly, B.; Rezar, R.; Paar, V.; Jung, C.; Salmhofer, H.; Kopp, K.; Hoppe, U.C.; Schulze, P.C.; et al. Novel Biomarkers in Patients with Chronic Kidney Disease: An Analysis of Patients Enrolled in the GCKD-Study. J. Clin. Med. 2020, 9, 886. [Google Scholar] [CrossRef] [PubMed]
- Bansal, N.; Zelnick, L.; Go, A.; Anderson, A.; Christenson, R.; Deo, R.; Defilippi, C.; Lash, J.; He, J.; Ky, B.; et al. Cardiac Biomarkers and Risk of Incident Heart Failure in Chronic Kidney Disease: The CRIC (Chronic Renal Insufficiency Cohort) Study. J. Am. Heart Assoc. 2019, 8. [Google Scholar] [CrossRef] [PubMed]
- Benes, J.; Kotrc, M.; Wohlfahrt, P.; Conrad, M.J.; Franekova, J.; Jabor, A.; Lupinek, P.; Kautzner, J.; Melenovsky, V.; Jarolim, P. The Role of GDF-15 in Heart Failure Patients With Chronic Kidney Disease. Can. J. Cardiol. 2019, 35, 462–470. [Google Scholar] [CrossRef] [PubMed]
- Tuegel, C.; Katz, R.; Alam, M.; Bhat, Z.; Bellovich, K.; De Boer, I.; Brosius, F.; Gadegbeku, C.; Gipson, D.; Hawkins, J.; et al. GDF-15, Galectin 3, Soluble ST2, and Risk of Mortality and Cardiovascular Events in CKD. Am. J. Kidney Dis. 2018, 72, 519–528. [Google Scholar] [CrossRef] [PubMed]
- Yilmaz, H.; Çelik, H.T.; Gurel, O.M.; Bilgic, M.A.; Namuslu, M.; Bozkurt, H.; Ayyildiz, A.; Inan, O.; Bavbek, N.; Akcay, A. Increased serum levels of GDF-15 associated with mortality and subclinical atherosclerosis in patients on maintenance hemodialysis. Herz 2015, 40, 305–312. [Google Scholar] [CrossRef] [PubMed]
- You, A.S.; Kalantar-Zadeh, K.; Lerner, L.; Nakata, T.; Lopez, N.; Lou, L.; Veliz, M.; Soohoo, M.; Jing, J.; Zaldivar, F.; et al. Association of Growth Differentiation Factor 15 with Mortality in a Prospective Hemodialysis Cohort. CardioRenal Med. 2017, 7, 158–168. [Google Scholar] [CrossRef] [PubMed]
- Connelly, P.W.; Yan, A.T.; Nash, M.M.; Lok, C.E.; Gunaratnam, L.; Prasad, G.V.R. Growth differentiation factor 15 is decreased by kidney transplantation. Clin. Biochem. 2019, 73, 57–61. [Google Scholar] [CrossRef]
- Thorsteinsdottir, H.; Salvador, C.L.; Mjøen, G.; Lie, A.; Sugulle, M.; Tøndel, C.; Brun, A.; Almaas, R.; Bjerre, A. Growth Differentiation Factor 15 in Children with Chronic Kidney Disease and after Renal Transplantation. Dis. Markers 2020, 2020. [Google Scholar] [CrossRef]
- Jehn, U.; Schütte-Nütgen, K.; Henke, U.; Bautz, J.; Pavenstädt, H.; Suwelack, B.; Reuter, S. Prognostic Value of Growth Differentiation Factor 15 in Kidney Donors and Recipients. J. Clin. Med. 2020, 9, 1333. [Google Scholar] [CrossRef]
- Malyszko, J.; Koc-Zorawska, E.; Malyszko, J.S.; Glowinska, I.; Mysliwiec, M.; Macdougall, I.C. GDF15 is related to anemia and hepcidin in kidney allograft recipients. Nephron-Clin. Pract. 2013, 123, 112–117. [Google Scholar] [CrossRef]
- Liu, J.; Kumar, S.; Heinzel, A.; Gao, M.; Guo, J.; Alvarado, G.F.; Reindl-Schwaighofer, R.; Krautzberger, A.M.; Cippà, P.E.; McMahon, J.; et al. Renoprotective and Immunomodulatory Effects of GDF15 following AKI Invoked by Ischemia-Reperfusion Injury. J. Am. Soc. Nephrol. 2020, 31, 701–715. [Google Scholar] [CrossRef] [PubMed]
- Meier-Kriesche, H.U.; Ojo, A.O.; Port, F.K.; Arndorfer, J.A.; Cibrik, D.M.; Kaplan, B. Survival improvement among patients with end-stage renal disease: Trends over time for transplant recipients and wait-listed patients. J. Am. Soc. Nephrol. 2001, 12, 1293–1296. [Google Scholar] [PubMed]
- Briggs, J.D. Causes of death after renal transplantation. Nephrol. Dial. Transplant. 2001, 16, 1545–1549. [Google Scholar] [CrossRef] [PubMed]
- Oniscu, G.C.; Brown, H.; Forsythe, J.L.R. Impact of cadaveric renal transplantation on survival in patients listed for transplantation. J. Am. Soc. Nephrol. 2005, 16, 1859–1865. [Google Scholar] [CrossRef]
- Meier-Kriesche, H.U.; Schold, J.D.; Srinivas, T.R.; Reed, A.; Kaplan, B. Kidney transplantation halts cardiovascular disease progression in patients with end-stage renal disease. Am. J. Transplant. 2004, 4, 1662–1668. [Google Scholar] [CrossRef]
- Kidney Disease Improving Global Outcomes (KDIGO) Group C.W. Clinical Practice Guideline on the Evaluation and Management of Candidates for Kidney Transplantation. Kidney Int. Suppl. 2018, 104, 1–199. [Google Scholar]
- Hart, A.; Weir, M.R.; Kasiske, B.L. Cardiovascular risk assessment in kidney transplantation. Kidney Int. 2015, 87, 527–534. [Google Scholar] [CrossRef]
- Wang, L.W.; Fahim, M.A.; Hayen, A.; Mitchell, R.L.; Baines, L.; Lord, S.; Craig, J.C.; Webster, A.C. Cardiac testing for coronary artery disease in potential kidney transplant recipients. Cochrane Database Syst. Rev. 2011. [Google Scholar] [CrossRef]
- Wang, L.W.; Masson, P.; Turner, R.M.; Lord, S.W.; Baines, L.A.; Craig, J.C.; Webster, A.C. Prognostic value of cardiac tests in potential kidney transplant recipients: A systematic review. Transplantation 2015, 99, 731–745. [Google Scholar] [CrossRef]
- Kalesan, B.; Nicewarner, H.; Intwala, S.; Leung, C.; Balady, G.J. Pre-operative stress testing in the evaluation of patients undergoing non-cardiac surgery: A systematic review and meta-analysis. PLoS ONE 2019, 14. [Google Scholar] [CrossRef]
- Arend, S.M.; Mallat, M.J.; Westendorp, R.J.; Van Der Woude, F.J.; Van Es, L.A. Patient survival after renal transplantation; more than 25 years follow-up. Nephrol. Dial. Transplant 1997, 12, 1672–1679. [Google Scholar] [CrossRef] [PubMed]
- Schaenman, J.; Liao, D.; Phonphok, K.; Bunnapradist, S.; Karlamangla, A. Predictors of Early and Late Mortality in Older Kidney Transplant Recipients. Transplant. Proc. 2019, 51, 684–691. [Google Scholar] [CrossRef] [PubMed]
- Nogueira, J.M.; Haririan, A.; Jacobs, S.C.; Cooper, M.; Weir, M.R. Cigarette smoking, kidney function, and mortality after live donor kidney transplant. Am. J. Kidney Dis. 2010, 55, 907–915. [Google Scholar] [CrossRef] [PubMed]
- Lufft, V.; Dannenberg, B.; Schlitt, H.J.; Pichlmayr, R.; Brunkhorst, R. Cardiovascular morbidity and mortality in patients with diabetes mellitus type I after kidney transplantation: A case-control study. Clin. Nephrol. 2004, 61, 238–245. [Google Scholar] [CrossRef] [PubMed]
- Organ Procurement & Transplantation Network. A Guide to Calculating and Interpreting the Estimated Post-Transplant Survival (EPTS) Score Used in the Kidney Allocation System (KAS). 2020. Available online: https://optn.transplant.hrsa.gov/resources/allocation-calculators/epts-calculator/ (accessed on 22 November 2020).
- Breit, S.N.; Carrero, J.J.; Tsai, V.W.W.; Yagoutifam, N.; Luo, W.; Kuffner, T.; Bauskin, A.R.; Wu, L.; Jiang, L.; Barany, P.; et al. Macrophage inhibitory cytokine-1 (MIC-1/GDF15) and mortality in end-stage renal disease. Nephrol. Dial. Transplant. 2012, 27, 70–75. [Google Scholar] [CrossRef]
- McGregor, E.; Jardine, A.G.; Murray, L.S.; Dargie, H.J.; Rodger, R.S.C.; Junor, B.J.R.; McMillan, M.A.; Briggs, J.D. Pre-operative echocardiographic abnormalities and adverse outcome following renal transplantation. Nephrol. Dial. Transplant. 1998, 13, 1499–1505. [Google Scholar] [CrossRef]
- Keddis, M.T.; El-Zoghby, Z.M.; El Ters, M.; Rodrigo, E.; Pellikka, P.A.; Jaffe, A.S.; Cosio, F.G. Cardiac troponin T before and after kidney transplantation: Determinants and implications for posttransplant survival. Am. J. Transplant. 2013, 13, 406–414. [Google Scholar] [CrossRef]
- Keddis, M.T.; El-Zoghby, Z.; Kaplan, B.; Meeusen, J.W.; Donato, L.J.; Cosio, F.G.; Steidley, D.E. Soluble ST2 does not change cardiovascular risk prediction compared to cardiac troponin T in kidney transplant candidates. PLoS ONE 2017, 12, e0181123. [Google Scholar] [CrossRef]
- Firth, C.; Shamoun, F.; Cha, S.; Zhang, N.; Patel, S.; Wennberg, P.; Amer, H.; Wadei, H.; Heilman, R.; Keddis, M. Cardiac troponin t risk stratification model predicts all-cause mortality following kidney transplant. Am. J. Nephrol. 2018, 48, 242–250. [Google Scholar] [CrossRef]
- Devine, P.A.; Cardwell, C.; Maxwell, A.P. Association of soluble ST2 with all-cause and cardiovascular mortality in renal transplant recipients: A single-centre cohort study. BMC Nephrol. 2020, 21, 1–10. [Google Scholar] [CrossRef]
- Wollert, K.C.; Kempf, T.; Giannitsis, E.; Bertsch, T.; Braun, S.L.; Maier, H.; Reim, M.; Christenson, R.H. An Automated Assay for Growth Differentiation Factor 15. J. Appl. Lab. Med. AACC Publ. 2017, 1, 510–521. [Google Scholar] [CrossRef]


| Number of patients | 395 |
| Donor age (years) | 57.1 (47.6–66.6) |
| Cold Ischemia Time (min) | 19 (15–23) |
| Recipient age (years) | 52 ± 12.4 |
| Recipient sex (%) | 68.1 males/31.9 females |
| Recipient race (% Caucasian) | 96.5 |
| Diabetes (%) | 23 |
| Type I | 7.8 |
| Type II | 15.2 |
| Coronary artery disease (%) | 10.4 |
| Peripheral vascular disease (%) | 8.6 |
| Non renal solid organ transplant (%) | 7.8 |
| Primary renal diagnosis | |
| Glomerular (%) | 27.4 |
| Diabetes (%) | 14.7 |
| Hypertension/vascular (%) | 24.2 |
| Polycystic kidney disease (%) | 12.4 |
| Other (%) | 15.7 |
| Unknown (%) | 5.6 |
| Preemptive transplant (%) | 15.9 |
| Time of renal replacement therapy (years) | 1.76 (0–5.1) |
| Retransplant (%) | 33.2 |
| GDF-15 (pg/mL) | 5331.3 (4071.8–6819.9) |
| Hemoglobin (g/dL) | 11.9 (10.8–13) |
| Serum albumin (g/dL) | 4 (3.8–4.3) |
| Creatinine (mg/dL) | 6.4 (4.9–8.3) |
| Uric acid (mg/dL) | 6.3 (5.2–7.8) |
| C-reactive protein (mg/L) | 0.5 (0.2–1.1) |
| Phosphorus (md/dL) | 5.1 (4.0–6.1) |
| Parathyroid hormone (pg/mL) | 290 (149–495) |
| Univariate | Multivariate | |||||
|---|---|---|---|---|---|---|
| HR (CI) | p-Value | HR (CI) Model 1 | p-Value | HR (CI) Model 2 | p-Value | |
| Age (per year) | 1.07 (1.04–1.09) | <0.001 | 1.07 (1.04–1.09) | <0.001 | ||
| Diabetes | 2.34 (1.49–3.67) | <0.001 | ns | |||
| Coronary artery disease | 2.99 (1.75–5.13) | <0.001 | 2.2 (1.26–3.82) | 0.005 | ||
| Peripheral arteriopathy | 2.24 (1.24–4.06) | 0.008 | ns | |||
| Other solid transplants | 1.97 (1.02–3.84) | 0.044 | 2.64 (1.32–5.28) | 0.006 | ||
| Graft loss censored by death | 1.61 (1.03–2.53) | 0.038 | 1.95 (1.23–3.09) | 0.005 | ||
| GDF-15 medium risk tertile | 2.16 (1.14–1.44) | 0.018 | ns | 3.24 (1.2–8.8) | 0.021 | |
| GDF-15 high risk tertile | 3.28 (1.79–6.1) | 0.001 | 2.29 (1.24–4.24) | 0.009 | 4.3 (1.65–11.54) | 0.003 |
| EPTS | 1.03 (1.02–1.04) | <0.001 | 1.02 (1.01–1.03) | <0.001 | ||
Publisher’s Note: MDPI stays neutral with regard to jurisdictional claims in published maps and institutional affiliations. |
© 2020 by the authors. Licensee MDPI, Basel, Switzerland. This article is an open access article distributed under the terms and conditions of the Creative Commons Attribution (CC BY) license (http://creativecommons.org/licenses/by/4.0/).
Share and Cite
de Cos Gomez, M.; Benito Hernandez, A.; Garcia Unzueta, M.T.; Mazon Ruiz, J.; Lopez del Moral Cuesta, C.; Perez Canga, J.L.; San Segundo Arribas, D.; Valero San Cecilio, R.; Ruiz San Millan, J.C.; Rodrigo Calabia, E. Growth Differentiation Factor 15: A Biomarker with High Clinical Potential in the Evaluation of Kidney Transplant Candidates. J. Clin. Med. 2020, 9, 4112. https://doi.org/10.3390/jcm9124112
de Cos Gomez M, Benito Hernandez A, Garcia Unzueta MT, Mazon Ruiz J, Lopez del Moral Cuesta C, Perez Canga JL, San Segundo Arribas D, Valero San Cecilio R, Ruiz San Millan JC, Rodrigo Calabia E. Growth Differentiation Factor 15: A Biomarker with High Clinical Potential in the Evaluation of Kidney Transplant Candidates. Journal of Clinical Medicine. 2020; 9(12):4112. https://doi.org/10.3390/jcm9124112
Chicago/Turabian Stylede Cos Gomez, Marina, Adalberto Benito Hernandez, Maria Teresa Garcia Unzueta, Jaime Mazon Ruiz, Covadonga Lopez del Moral Cuesta, Jose Luis Perez Canga, David San Segundo Arribas, Rosalia Valero San Cecilio, Juan Carlos Ruiz San Millan, and Emilio Rodrigo Calabia. 2020. "Growth Differentiation Factor 15: A Biomarker with High Clinical Potential in the Evaluation of Kidney Transplant Candidates" Journal of Clinical Medicine 9, no. 12: 4112. https://doi.org/10.3390/jcm9124112
APA Stylede Cos Gomez, M., Benito Hernandez, A., Garcia Unzueta, M. T., Mazon Ruiz, J., Lopez del Moral Cuesta, C., Perez Canga, J. L., San Segundo Arribas, D., Valero San Cecilio, R., Ruiz San Millan, J. C., & Rodrigo Calabia, E. (2020). Growth Differentiation Factor 15: A Biomarker with High Clinical Potential in the Evaluation of Kidney Transplant Candidates. Journal of Clinical Medicine, 9(12), 4112. https://doi.org/10.3390/jcm9124112

