Abstract
Glucocorticoids (GCs) belong to the group of steroid hormones. Their representative in humans is cortisol. GCs are involved in most physiological processes of the body and play a significant role in important biological processes, including reproduction, growth, immune responses, metabolism, maintenance of water and electrolyte balance, functioning of the central nervous system and the cardiovascular system. The availability of cortisol to the glucocorticoid receptor is locally controlled by the enzyme 11β-hydroxysteroid dehydrogenase type 1 (11β-HSD1). Evidence of changes in intracellular GC metabolism in the pathogenesis of obesity, metabolic syndrome (MetS) and cardiovascular complications highlights the role of selective 11β-HSD1 inhibition in the pharmacotherapy of these diseases. This paper discusses the role of 11β-HSD1 in MetS and its cardiovascular complications and the importance of selective inhibition of 11β-HSD1.
1. Introduction
The basic carbohydrate used in human metabolism is glucose, which is a universal energy material for all cells. There are a number of factors that influence the homeostasis of this carbohydrate metabolism. One of them is the effect of insulin-antagonistic hormones. Glucocorticoid (GC) hormones have such an effect, which is why they have a significant impact on glucose metabolism []. In physiological amounts, they are necessary for the regulation of a number of vital physiological functions of the body, such as reproduction, growth, metabolism, fat distribution, immune and inflammatory reactions, the functioning of the cardiovascular system, the central nervous system, and the maintenance of water and electrolyte balance. However, their excess induces pathological processes, such as intensification of diabetogenic effects or deterioration of metabolic control in people with previously diagnosed diabetes []. The excess of GCs results, among others, in development of arterial hypertension, which is one of the most common diseases of the cardiovascular system. Excessive cortisol production occurring, among others, in Cushing’s syndrome or metabolic syndrome (MetS), leads to a number of systemic changes resulting in the redistribution of adipose tissue, arterial hypertension, carbohydrate disorders, dyslipidemia and coagulopathies []. All of these pathologies increase the risk of cardiovascular episodes up to four times. Untreated Cushing’s disease significantly increases the cardiovascular risk and limits the treatment options for secondary organ complications. Mortality from cardiovascular disease (heart attack, heart failure, stroke) in people with Cushing’s disease is five times higher than in the general population []. GCs act through the intracellular glucocorticoid receptor (GR), and the enzyme that locally controls the availability of their active form to this receptor is 11β-hydroxysteroid dehydrogenase (11β-HSD1) isoform 1. Thus, 11β-HSD1 may be a potential biomarker in cardiovascular diseases because the increase in its activity translates into an increase in the level of GCs in the body, whereas selective inhibition of this enzyme may prove to be a new target in drug research. Focusing research on the search for 11β-HSD1 inhibitors could provide valuable information in the search for a drug that could be used in the treatment of type 2 diabetes and its cardiovascular complications. In the event of obtaining positive results, it would mean the possibility of using rational and effective therapy [].
2. Glucocorticoids and Their Role in the Body
Glucocorticoids, the main representative of which in humans is cortisol (95% of glucocorticoid activity), play a significant role in the regulation of many physiological processes and ensure the maintenance of homeostasis in the body under stress (Figure 1) []. They play an important role in the metabolism of carbohydrates, fats and proteins. They take part in the regulation of water and electrolyte balance. They are responsible for the distribution of adipose tissue. They also affect the functioning of the central nervous system and the cardiovascular system. They take part in the regulation of immunological and inflammatory processes [,,,]. The structure of GCs is based on the hexadecahydro-1H-cyclopenta[a]phenanthrene ring, also known as the “steroid nucleus”, which is the basic structure of androgens, estrogens and progestins [] (Figure 2).

Figure 1.
Role of glucocorticoids in physiological processes.

Figure 2.
The structure of steroid nucleus.
The precursor to the synthesis of GCs is cholesterol, which mainly comes from circulating low-density lipoproteins (LDL) in the plasma []. GCs are secreted by the cortex layer of the adrenal glands. The regulation of endogenous GC secretion takes place under the control of the hypothalamic–pituitary–adrenal axis (HPA) on the basis of negative feedback, and the main factor controlling cortisol secretion is adrenocorticotropic hormone (ACTH) []. By responding to a number of stimuli (physical, emotional and circadian), the hypothalamus activates the pathway that leads to the synthesis of GCs.
Then, there is the secretion of hypothalamic neurohormones, which stimulate the production of the proopiomelanocortin peptide, from which the ACTH entering the blood is proteolytically derived from proopiomelanocortin peptide. This hormone, acting on the adrenal cortex, initiates the synthesis of cortisol. Thus, changes in plasma cortisol are closely related to changes in ACTH levels [,]. There is a pulsatile release of ACTH and cortisol. The release of cortisol occurs in a circadian rhythm, i.e., increases at night between 3–5 h of sleep with the peak of secretion in the first hour after awakening, and then decreases. During the day, there are a few more secretory impulses that are associated with physical effort or food intake. The lowest cortisol levels are observed in the late evening hours and in the first hours of sleep [,,]. Of course, the circadian rhythm of cortisol secretion is subject to individual variability, e.g., due to changes in sleep hours, meals or stress []. Approximately 70–90% of GCs are transported in plasma bound to proteins by corticosteroid-binding globulin (CBG), called transcortin []. GCs affect the cells of the human body through specific intracellular GR, located in the cytoplasm, cell nucleus and the cell membrane []. The human GC receptor is a protein composed of three domains and belongs to the nuclear hormone receptor superfamily, which includes, among others, receptors for vitamin D or thyroid hormones and receptors for other steroids (androgens, estrogens, progestins, and mineralocorticoids) []. In turn, in the non-genomic mechanism of GC action, secondary messengers (calcium ions, diacylglycerol, cGMP, cAMP, and inositol triphosphate) are activated, activating signaling pathways dependent on them []. GCs increase blood glucose levels by inhibiting peripheral glucose uptake by muscles and adipose tissue. They intensify the process of gluconeogenesis in the liver by stimulating the activity of glucose-6-phosphatase and phosphoenolpyruvate carboxykinase. They indirectly intensify the process of glycogenolysis. By decreasing peripheral glucose uptake, they increase insulin secretion, which causes the development of insulin resistance. Their chronic excess may lead to the development of pre-diabetes or diabetes [,]. In adipose tissue, GCs show a lipolytic effect, through the release of free fatty acids, their burning in the liver and the production of ketone bodies; they also stimulate the accumulation of visceral fat []. It is cortisol that affects the preadipocytes, as it accelerates their differentiation into adipocytes []. It also influences the expression of genes of mature fat cells, causing their hypertrophy and leading to the accumulation of lipids. Excess body fat and its uneven deposition around the face, torso, neck and abdomen are symptoms of excess GCs []. This leads to an increase in triglycerides stored in the liver.
Moreover, as a result of excessive stimulation of the GC receptor, excess GCs may lead to the development of dyslipidemia due to the inhibition of lipoprotein lipase activity in adipose tissue [].
In type 2 diabetes, associated with obesity and other components of MetS, a condition known as functional hypercortisolemia develops due to overstimulation of corticotropin-secreting cells in the hypothalamus [,]. In addition, the major metabolic effects of GCs may be related to the effects of cortisol on AMP-activated protein kinase (AMPK) activity. This enzyme plays an important role in glucose and lipid homeostasis. Thus, changes in its activity under the influence of GCs could explain, i.a., lipid deposition in visceral fat and changes in the heart []. The metabolism of steroids and conjugation with the rest of the glucuronic and sulfuric acids lead to inactivation of GCs and increase their solubility in water, thus facilitating excretion in the urine. The liver is the primary site for conversion of GCs to inactive metabolites and conjugation. Approximately 90% of the resulting metabolites are excreted by the kidneys []. The enzyme responsible for the mutual conversion of biologically active cortisol to inactive cortisone is 11β-hydroxysteroid dehydrogenase [].
3. 11β-HSD-Isoforms and Their Role in the Proper Functioning of the Organism
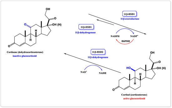
11β-hydroxysteroid dehydrogenase belongs to the short-chain family of NAD- or NADP-dependent dehydrogenases/reductases (SDRs) [,]. At the end of the 1990s, two isoforms of this enzyme, 11β-HSD1 and 11β-HSD2, were described []. Two isozymes of 11β-hydroxysteroid dehydrogenase catalyze the interconversion between inactive glucocorticoids (human cortisone and rodent 11-dehydrocorticosterone) and hormonally active glucocorticoids (human cortisol and rodent corticosterone) (Figure 3). The biological activity of the glucocorticoid molecule is regulated by enzymatic modification of the substituent at the C11 position. These transformations include oxidation and reduction reactions within the cortisol/corticosterone hydroxyl group and the cortisone/dehydrocorticosterone carbonyl group, respectively [,].

Figure 3.
The physiological role of the two isoforms of 11β-HSD.
Both isoforms are microsomal enzymes localized to the endoplasmic reticulum cell membrane, but they are encoded by separate genes and differ in function, distribution in the body, and cofactor and substrate affinity—Table 1. 11β-HSD1 is a product of the HSD11B1 gene on chromosome 1 both in humans and in rodents, while 11β-HSD2 is encoded by a gene located on chromosome 16 in human and 8 in rodents [,]. Isoform 1, also called hepatic, occurs in tissues rich in the glucocorticoid receptor, mainly in the liver, brain, pancreatic islets, and adipose tissue, as well as lungs, gonads and bones [,,,]. In vitro, 11β-HSD1 is the enzyme that has a bidirectional activity, shows the activity of NADP+-dependent 11β-dehydrogenase in the oxidation reaction and NADPH-dependent 11-oxoreductase in the reduction reaction []. 11β-HSD1 acts in vivo mainly as a reductase, thereby activating GCs from circulating 11-oxo precursors to the respective 11βOH receptor ligands [,]. In most tissues, it is co-expressed in the endoplasmic reticulum with hexose-6-phosphate dehydrogenase (H6PDH), which generates NADPH requisite for reductase activity [,]. Isoform 2, called kidney, acts only unidirectionally, as NAD+-dependent dehydrogenase. Compared to 11β-HSD1, it is expressed in tissues rich in the mineralocorticoid receptor (MR), mainly in the kidneys, large intestine, salivary glands, and placenta, and is characterized by a much higher affinity for cortisol (100 times greater than 11β-HSD1) [,].

Table 1.
Direct comparison between the characteristics of 11β-HSD1 and 11β-HSD2 [].
11β-HSD enzymes are classically regarded as regulators of GC function at the cell/tissue level, so they are essential in maintaining proper mineral and glucocorticoid metabolism [,,]. By modulating the levels of GCs in various tissues, these enzymes play an important role in many physiological processes, including carbohydrate metabolism, memory processes, obesity, blood vessel reactivity, maintenance of normal blood pressure and osteoporosis []. The basic role of 11β-HSD1 is to increase the concentration of the active form of GCs in the tissue and, consequently, to activate the glucocorticoid receptor. Thus, it regulates the physiological functions of GCs, e.g., participation in hepatic gluconeogenesis, as well as the processes taking place in adipose tissue [,,,]. The role of 11β-HSD1 includes both “endocrine” regulation of circulating corticosteroid availability and systemic GC exposure, and fine-tuning local tissue and cell specific exposure through “intracrine” activation of cortisol independent of circulating cortisol []. The regulation of systemic endocrine cortisol activation is mainly determined by hepatic 11β-HSD1, which is constitutively and extensively expressed in the liver [,,]. In contrast, regulation of 11β-HSD1 in tissues such as adipose, muscle, bone and sites of inflammation is dynamically regulated in a highly cellular and context-specific manner [,,,,].
Isoform 1 dysfunction is associated with a number of metabolic diseases that result from the apparent deficiency of cortisone reductase. As a result of increased cortisol metabolism, the HPA axis is overstimulated, and its feedback inhibition is impaired, which in turn results in increased secretion of cortisol and adrenal androgens. The decreased ratio of the sum of cortisol metabolites to the sum of cortisone metabolites in the urine may manifest in women with hirsutism, acne, menstrual disorders, infertility and polycystic ovary syndrome (PCOS) [,,,,,]. 11β-HSD1 expression in adipose tissue cells promotes the development of abdominal obesity, which in turn is associated with serious consequences: type 2 diabetes, hypertension, dyslipidemia and other cardiovascular complications [,,,,,]. The impaired function of 11β-HSD1 in the central nervous system may affect the occurrence of degenerative diseases, including Alzheimer’s disease [,,,]. 11β-HSD1 may also be involved in the expression of inflammatory cytokines in keratinocytes and play an important role in exacerbation of atopic dermatitis (AD) by modulating the local availability of GCs [,].
The action of GCs is highly context-dependent and can vary widely during acute and chronic inflammation. 11β-HSD1 is induced early during the inflammatory response and shapes its subsequent trajectory. 11β-HSD1 deficiency/inhibition worsens acute inflammation, while 11β-HSD1 inhibition reduces inflammation in obesity or atherosclerosis. This is because physiological concentrations of GCs are not harmful and have anti-inflammatory effects; while chronic stress has an immunosuppressive effect, GCs inhibit Th1 functions and increase Th2, leading to a proinflammatory state []. Chronic inflammation in obesity is probably the cause of 11β-HSD1 overexpression, especially in metabolically active adipose tissue. 11β-HSD1 overexpression increases the level of cortisol, promoting growth of adipose tissue, and the excessive amount of adipose tissue increases the concentration of 11β-HSD1. In experimental studies, overexpression of 11β-HSD1 in visceral adipose tissue of transgenic mice promotes increased exacerbation of all of the disorders characterizing MetS [], whereas mice deficient in 11β-HSD1 activity (knock out) were found to be resistant to stress and hyperglycemia caused by a fatty diet [].
Compared to 11β-HSD1, 11β-HSD2 was not found in adipose tissue, and its activity is probably not related to obesity or MetS. 11β-HSD2 inactivates GCs, preventing activation of the mineralocorticoid receptor. The 11β-HSD2 mutation (reduced activity of 11β-HSD2) causes a rare syndrome of apparent mineralocorticoid excess (SAME) associated with arterial hypertension, hypokalemia, and fluid retention [,,]. SAME is a genetic disease. 11β-HSD2 in the placenta is an important enzyme determining the proper development of the fetus; the disturbance of the activity of this enzyme correlates with low birth weight and a predisposition to the occurrence of hypertension, hypokalemic alkalosis and glucose intolerance [,,]. Hypokalemia may cause arrhythmia, nephrogenic diabetes insipidus and rhabdomyolysis; together with hypertension, it may contribute to increased mortality. Hypokalemic patients excrete few tetrahydro-metabolites of cortisone (THE); the urinary free cortisol/cortisone ratio, which perhaps most accurately reflects renal 11β-HSD2 activity, is dramatically elevated [,]. AME (apparent mineralocorticoid excess) also plays a key role in the etiology of secondary arterial hypertension; it is assumed that AME may contribute to the development of approximately 30% of all cases. Hypertension, if untreated, results in damage to organs such as the kidney, cardiovascular system, retina and central nervous system []. Symptoms similar to AME, despite normal 11β-HSD2 activity (enzyme inactivation—substrate saturation of 11β-HSD2), can also be observed in the case of excessive cortisol production in Cushing’s syndrome or ectopic ACTH secretion [,,].
The protective effect of 11β-HSD2 against the appearance of the features of MetS has been proven in experimental studies. Resistance to the development of diet-induced obesity, lower fat mass, lower food consumption, higher energy consumption, better glucose tolerance and insulin sensitivity were observed in transgenic mice having increased expression and activity of 11β-HSD2 in adipose tissue [].
4. Disorders in the Function of 11β-HSD1
11β-HSD1 is highly expressed in the key metabolic organs: liver, adipose tissue, skeletal muscle, and the islets of Langerhans; therefore, disorders in the function of this 11β-HSD isoform are mainly connected with the occurrence of diseases and metabolic disorders. 11β-HSD2, in turn, has a role in blood pressure regulation. Its inhibition or genetic deficiency causes apparent mineralocorticoid excess and hypertension due to inappropriate glucocorticoid activation of renal MR []. In animal studies, e.g., in obese Zucker rats, 11β-HSD1 activity was decreased in liver but enhanced in adipose tissue []. However, the results of animal studies are not the same in all obesity models. What was described, among others, was a polygenic model of MetS, which demonstrated adipose tissue glucocorticoid deficiency but selective liver glucocorticoid amplification [].
Studies concerning obesity in humans also confirm abnormalities in 11β-HSD1 regulation in adipose tissue []. This enzyme regenerates cortisol from cortisone; therefore, enhanced activity of this enzyme leads to the increase in cortisol concentration in local tissue. Active GCs bind with glucocorticoid receptor in glucocorticoid target tissues such as adipose tissue and liver []. In obese males, more rapid conversion of [(3)H]cortisone to [(3)H]cortisol in abdominal subcutaneous adipose tissue (SAT) was demonstrated []. Local increase in GC concentrations in tissues entails activity similar to Cushing’s syndrome, i.e., inducing hyperglycemia and insulin resistance, and consequently obesity exacerbation [] despite the fact that the concentration of GCs in blood plasma does not change (which is characteristic for Cushing’s syndrome) [,]. Increase in 11β-HSD1 activity was demonstrated in SAT in obese persons [,,,], whereas in liver of obese persons, 11β-HSD1 activity decreases [] or remains the same []. What was observed, among others, was that 11β-HSD1 activity in liver is the same in thin persons as in persons with excess weight/obesity without diabetes and in persons with excess weight/obesity with type 2 diabetes []. Decrease in activity of this enzyme in the liver of persons with visceral obesity may serve as a defense mechanism, preventing further body mass increase and glucose intolerance [,].
It has not been unequivocally explained, so far, whether in people with obesity, 11β-HSD1 activity increases also in visceral adipose tissue (VAT). Difficulties are probably a consequence of the fact that it is not easy to indicate activity of this enzyme locally, in real time. According to Alfonso et al. [], the presence of intracellular hypercortisolism in VAT in human obesity is possible but unlikely. Tomlinson et al. [], for instance, proved that expression of 11β-HSD1 in whole adipose tissue (SAT and VAT), adipocytes, or preadipocytes is not increased in human obesity. Neither were statistically significant correlations observed between 11β-HSD1 mRNA and body mass index. Alberti et al. [], in turn, demonstrated higher expression of 11β-HSD1 in VAT than in SAT; however, VAT 11β-HSD1, in contrast with SAT, was not associated with metabolic disorders. Other authors have proved that enhanced regeneration of cortisol in SAT, and not in VAT, is connected with visceral obesity occurrence in females []. The authors demonstrated higher 11β-HSD1 activity in VAT than in SAT, but the 11β-HSD1 mRNA level in both tissues did not differ. They also observed a positive correlation between 11β-HSD1 mRNA level in SAT and VAT volume [].
11β-HSD1 acts as an important regulator of inflammation []. Studies of recent years demonstrated that fructose consumption leads to metabolic changes, the effect of which, apart from adiposity and insulin resistance, is chronic low-grade inflammation [,]. Inflammation leads to the increase in 11β-HSD1 activity []. What influences 11β-HSD1 activity are proinflammatory mediators: tumor necrosis factor α (TNF-α) and interleukin-1 (IL-1) [], which enhance the expression of this enzyme in human adipose tissue []. Enhanced 11β-HSD1 expression, in turn, stimulates the expression of TNF-α and interleukin-6 (IL-6), which proves that the increase in GC concentration aids inflammatory reaction []. 11β-HSD1 activity is also influenced by the level of H6PDH, which provides NADPH, indispensable for the course of reduction reaction catalyzed by 11β-HSD1 []. It was demonstrated that a diet rich in fructose enhances H6PDH expression []. Inflammation may be a key link between obesity and obesity-related disorders, such as hypertension, insulin resistance, dyslipidemia and diabetes []. Correlations were demonstrated between hepatic and VAT 11β-HSD1 expression with dyslipidemia and insulin resistance [].
Together with body mass increase, the risk of type 2 diabetes occurrence increases []. Studies confirmed that in persons with type 2 diabetes, intracellular cortisol exposure is increased. It was demonstrated in these persons that both the urinary tetrahydrocortisol (THF) + allo-THF)/tetrahydrocortisone (THE) and cortisol/cortisone ratios were higher than in healthy persons. The ratio (THF + allo-THF)/THE indicated in urine is the measure of whole body 11β-HSD activity, whereas the cortisol to cortisone ratio reflects 11β-HSD2 activity [,]. A significant disorder of 11β-HSD activity was demonstrated in persons with diabetic kidney disease []. Shukla et al. [] observed higher 11β-HSD1 activity in diabetic persons than in healthy controls. Studies also confirmed higher 11β-HSD1 activity in SAT in obese persons and in persons with type 2 diabetes than in healthy persons without diabetes []. Visceral obesity and type 2 diabetes are the components of MetS, which is the main factor for cardiovascular disease development [,,,,,]. It was proved both in animals and in humans that alterations in 11β-HSD1 activity in adipose tissue and liver are associated with MetS [].
A cardiac visceral fat consists of the epicardial adipose tissue (EAT) located within easy reach of the coronary vessels and the mediastinal adipose tissue (MAT) located away from the arteries. In addition, the epicardial adipocytes, except their own intrinsic inflammatory activity, attract macrophages that impair the vascular functions by triggering inflammation and injuries []. Although the mRNA expression levels do not necessarily correlate with the levels of encoded protein and/or its enzymatic activity [,], Atalar et al. presented promising experimental results supporting the view that GCs acting on the MAT contributed locally to the development of coronary atherosclerosis, one of the causes of coronary artery disease (CAD) []. This study, with participation of 31 obese patients with CAD and 16 obese patients without CAD (controls), indicated that plasma cortisol level was significantly (p = 0.006) higher in the CAD group compared to controls. Intracellular analyses of MAT and EAT biopsies collected during coronary artery bypass grafting (obese CAD patients) have shown significantly (both p = 0.026) higher levels of stearidonic acid than that measured in control sample biopsies collected during heart valve surgery. Moreover, the mediastinal adipose tissue was characterized by the highest mRNA expression levels of 11β-HSD1 and GR, as well as almost 2-fold higher CD68 (macrophage marker) mRNA levels compared to EAT and SAT in obese CAD patients. MAT and SAT derived from obese CAD subjects have significantly (p < 0.05 and p < 0.001, respectively) increased expression levels of 11β-HSD1 mRNA vs. obese controls. Multiple linear regression analysis has demonstrated the association between stearidonic acid and mRNA expression levels of 11β-HSD1 and GR (R2 = 0.402). Patients suffering from CAD have revealed a positive moderate correlation (according to [] between MAT expression levels of mRNA of 11β-HSD1 and GR (r = 0.529, p = 0.001) []). In another study, Atalar et al. demonstrated that the CAD group did not differ in terms of the plasma cortisol level, but MAT mRNA expression levels of 11β-HSD1, GR, and CD68 were significantly (p < 0.05) higher in sample biopsies derived from CAD patients (n = 37) than from non-CAD controls (n = 19). The authors showed a positive correlation of weight and 11β-HSD1 expression (r = 0.624, p = 0.014), as well as abdominal fat volume and GR expression (r = 0.437, p = 0.032) among CAD patients. Furthermore, a moderate correlation exists between CD68 and 11β-HSD1 mRNA expression levels (r = 0.410, p = 0.039), which was also confirmed by the protein expression levels determined immunohistochemically []. In turn, other data indicate that mRNA expression levels of adrenomedullin (a vasodilative peptide with a protective effect on the vasculature and the heart []) were significantly (p < 0.05) higher in extracts of epicardial adipose tissue obtained from CAD patients (n = 12) than in subjects without CAD (n = 10). Moreover, they were all positively correlated with 11β-HSD1 mRNA expression levels []. On the other hand, the results obtained by Al Bakir et al. were more ambiguous. They made an attempt to find a relationship between the whole blood 11β-HSD1 mRNA levels (measured by RT-qPCR method) and risk factors for development of cardiovascular diseases, such as alcohol, smoking habits, and duration of menopause [] (a lack of protective effect of estrogen on the cardiovascular system []). The circulating 11β-HSD1 mRNA levels in smokers were 1.4-fold lower than in nonsmokers (p = 0.048), whereas higher alcohol consumption has been associated with increased systemic 11β-HSD1 mRNA levels. Moreover, the longer the duration of menopause, the lower the 11β-HSD1 mRNA levels (r = −0.422, p = 0.008) that were observed [].
The analysis of tissue 11β-HSD1 mRNA levels, as well as peripheral concentrations of cortisol/cortisone and/or their tetrahydrometabolite (THM) ratios, do not directly reflect the actual activity of this enzyme. However, Baudrand et al. have found that patients with MetS showed normal levels of cortisol and cortisone in plasma/urine and significantly higher levels of urinary THMs (αTHF (p = 0.017), βTHF (p = 0.016), THE (p < 0.001), total THMs (p < 0.001)) than patients without MetS. In a logistic regression model, the levels of GCs metabolites were associated with dyslipidemia (OR 1.10, CI 95% 1.02–1.19), hyperglycemia (OR 1.09, CI 95% 1.01–1.18), and hypertension (OR 1.12, CI 95% 1.04–1.21) [].
A comprehensive Mendelian randomization study assessed the role of cortisol-related pathways in CVD development []. Single nucleotide polymorphisms (SNPs) in human genes were analyzed in relation to the higher morning fasting plasma/serum cortisol. The following genome-wide association studies (GWAS) were considered: CORNET consortium (12,597 subjects), Shin et al. (7824 subjects), as well as Long et al. (2049 subjects). Other SNP data sets were also investigated regarding the occurrence of CAD, ischemic stroke, and type 2 diabetes mellitus (T2DM) derived from CARDIoGRAM-plusC4D 1000 Genomes-based GWAS (cases = 60,801; controls = 123,504), MEGASTROKE (cases = 40,585; controls = 406,111), and DIAMANTE (cases = 74,124; controls = 824,006). Genetic associations responsible for adiposity, higher blood pressure, and wrong glycemia and lipid profiles were also taken into account. The authors indicate that the role of the cortisol pathway in CVD needs to be better understood. Researchers also point to the relationship between stress and inflammatory factors in CVD. Nevertheless, the results described earlier show that this research area is interesting for further exploration and study.
5. Examples of Selective 11β-HSD1 Inhibitors as Potential Drugs Supporting the Treatment of Cardiovascular Diseases
Excess cortisol causes, among others, the appearance of symptoms characteristic of MetS, i.e., visceral obesity, insulin resistance, diabetes, dyslipidemia, hypertension and hyperuricemia []. MetS is a collection of abnormalities, of which insulin resistance, obesity, dyslipidemia, hyperglycemia, and hypertension are the major risk factors for type 2 diabetes and cardiovascular disease. []
It is well-known that intracellular cortisol concentrations are determined not only by plasma levels but also by the activity of 11β-HSD1, which catalyzes the conversion of inactive cortisone to active cortisol, especially in the liver and adipose tissue []. Inhibiting the activity of 11β-hydroxysteroid dehydrogenase type 1 reduces the level of cortisol, and thus, by reducing the mass of adipose tissue, insulin resistance and central obesity [] or lowering the level of total cholesterol [], helps to reduce the risk of cardiovascular diseases.
In recent years, significant activity in the academic and pharmaceutical community has led to the discovery of many new chemical compounds as specific inhibitors of 11β-HSD1. Selective inhibitors have significant potential as a pharmacological treatment for type 2 diabetes, obesity and cardiovascular disease [,].
Carbenoxolone is the known inhibitor of 11β-HSD1 (Figure 3). It is the hemisuccinate ester derivative of glycyrrhetinic acid, a natural product found in licorice root. Not only does carbenoxolone inhibit 11β-HSD1, but it is also—to a lesser degree, though—an inhibitor of 11β-hydroxysteroid dehydrogenase type 2 []. Inhibition of 11β-HSD2 may lead to hypertension by activation of the mineralocorticoid receptor in kidneys, as well as by decreased gene expression of endothelial nitric oxide synthase. This is particularly important to patients with type 2 diabetes and other metabolic syndrome elements []. In addition, the excess of mineralocorticosteroids and alleged hiperaldosteronism caused by taking carbenoxolone can cause peripheral edema, hypokalemia, and metabolic alkalosis. Non-selective activity of carbenoxolone affects its limited range of clinical applications, prompting a search for new compounds—selective inhibitors of 11β-HSD1.
In the last two decades, many compounds have been synthesized and tested in the search for selective 11β-HSD1 inhibitors. Some of them have reached various phases of clinical trials (Figure 4). The first selective 11β-HSD1 inhibitor that was tested in clinical trials was BVT-3498 (AMG-331). The compound was in phase II clinical development and later terminated []. Unfortunately, the literature lacks information on the exact values that would allow the assessment of the inhibitory activity of this compound. The Biovitrum patent only provides the information that “BVT3498 has Ki value for 11β-HSD1 in the nanomolar range” []. INCB13739 of Incyte Corporation was well tolerated in healthy volunteers and the patients with type 2 diabetes. After 12 weeks, 200 mg of INCB13739 resulted in significant reductions in A1C, fasting plasma glucose, and homeostasis model assessment-insulin resistance (HOMA-IR) compared with placebo. Total cholesterol, LDL cholesterol, and triglycerides were all significantly decreased in hyperlipidemic patients. Body weight decreased relative to placebo after INCB13739 therapy [,].
Phase I clinical trials were carried out, among others, for PF-915275 from Pfizer and AMG-221 (BVT-83370) from Biovitrum and Amgen [,,,].

Figure 4.
Carbenoxolone and selected selective 11β-HSD1 inhibitors used in clinical trials: BVT-3498 (AMG-331), INCB13739, PF-915275, AMG-221 (BVT-83370). Data refer to tests for human (h) or murine (m) 11β-HSD1 [,,].
Despite clinical trials, due to their discontinuance for unknown reasons in different phases, it has not been possible to introduce any of the tested compounds as a drug so far, hence the need for a further search for selective inhibitors. Further research on the synthesis and 11β-HSD1 inhibitory activity increases the chances of selecting new candidates for clinical trials.
The biological activity of a compound depends on its chemical structure, hence structural fragments characteristic for inhibitors that have reached the stage of clinical trials are observed in the new tested compounds. In vitro studies were carried out for various structures, of which the group of compounds containing a thiazole ring [,,,] or its partially hydrogenated form, thiazol-4-one [,,,,,,,], seems to be the most numerous and promising (Figure 5). Compounds containing fused systems with a thiazole ring [,] and other various heterocyclic systems with nitrogen atoms [,,,,,,] were also analyzed as potential selective inhibitors of 11β-HSD1 (Figure 6).
Many compounds that inhibit the activity of 11β-HSD1 contain a sulfonamide moiety [,,]. For example cyclic sulfonamides are highly selective inhibitors [,,,]. In many tested compounds with high activity and selectivity, the adamantyl substituent [,,,,,,,] and other polycyclic condensed systems [,,] as well as halo-substituted phenyl rings [,,,,] are constituents of the structure (Figure 6).

Figure 5.
Selected selective 11β-HSD1 inhibitors with thiazole and thiazol-4-one moiety in in vitro studies. Data refer to tests for human (h) or murine (m) 11β-HSD1 [,,,,,,,].

Figure 6.
Selected selective 11β-HSD1 inhibitors with different heterocyclic moiety in in vitro studies. Data refer to tests for human (h) or murine (m) 11β-HSD1 [,,,,,,,,,,].
6. Summary
In recent years, idiopathic obesity has reached the status of an epidemic in highly developed countries. It is often accompanied by disorders such as insulin resistance, hypertension, dyslipidemia and carbohydrate disturbances. They are components of metabolic syndrome (MetS). In turn, MetS is an important factor in the development of cardiovascular diseases, which are one of the main causes of death. Therefore, it seems appropriate to fully understand its relationship with cardiovascular diseases, which will contribute to the development of effective therapeutic treatments for this disease. In addition, it is believed that all changes that are included in MetS are caused by, among others, an increase in adipose tissue mass. Adipose tissue plays an important role in the endocrine system, being not only a source of hormones, but also a place of their metabolism, which applies mainly to steroids. Adipocytes also produce various enzymes that are involved in the synthesis of steroid hormones. Produced in large amounts by adipocytes, 11β-hydroxysteroid dehydrogenase (11β-HSD1), which is involved in the local production of cortisol, may also play a significant role in the development of MetS and its cardiovascular complications. The association of 11β-HSD1 with obesity, insulin resistance, type 2 diabetes, dyslipidemia, inflammation and arterial hypertension makes this enzyme an attractive object of research and a target in the pharmacotherapy of civilization diseases. The current reports on the beneficial effect of reducing the activity of 11β-HSD1 mean that attempts are being made to search for its inhibitors for therapeutic purposes. Research conducted over the last 20 years has shown that the most attractive compounds contain the thiazole ring and its hydrogenated form. The presence of appropriate substituents (including large hydrophobic cyclic systems) at this ring contributes to increasing the inhibitory activity and selectivity of the compounds in in vitro studies. This provides an opportunity to select representatives for clinical trials in the near future.
Author Contributions
Conceptualization, D.K.; validation, D.K. and R.S.; resources, D.K., R.S., R.K., S.B., M.M. and A.W.; data curation, D.K. and R.S.; writing—original draft preparation, D.K., R.S., R.K., S.B., M.M. and A.W.; writing —review and editing, D.K., R.S., R.K., S.B., M.M. and A.W.; visualization, D.K. and R.S.; supervision, D.K. and R.S.; project administration, D.K. and R.S.; funding acquisition, A.W. All authors have read and agreed to the published version of the manuscript.
Funding
This research received no external funding.
Institutional Review Board Statement
Not applicable.
Informed Consent Statement
Not applicable.
Data Availability Statement
Not applicable.
Conflicts of Interest
The authors declare no conflict of interest.
References
- Poprzezińska, J.; Krzyżanowska-Świniarska, B.; Mizagowski, T.; Ziemak, J.; Widecka, K. Metaboliczna otyłość u osób z prawidłową masą ciała a 11β-dehydrogenaza hydroksysteroidowa typu 1 (11βHSD1). Endokrynol. Otyłość I Zaburzenia Przemiany Mater. 2009, 2, 73–80. [Google Scholar]
- Vegiopoulos, A.; Herzig, S. Glucocorticoids, metabolism and metabolic diseases. Mol. Cell. Endocrinol. 2007, 275, 43–61. [Google Scholar] [CrossRef] [PubMed]
- Arnaldi, G.; Angeli, A.; Atkinson, A.B.; Bertagna, X.; Cavagnini, F.; Chrousos, G.P.; Fava, G.A.; Findling, J.W.; Gaillard, R.C.; Grossman, A.B.; et al. Diagnosis and complications of Cushing’s syndrome: A consensus statement. J. Clin. Endocr. Metab. 2003, 88, 5593–5602. [Google Scholar] [CrossRef] [PubMed]
- Miljic, P.; Miljic, D.; Cain, J.W.; Korbonits, M.; Popovic, V. Pathogenesis of vascular complications in Cushing’s syndrome. Hormones 2012, 11, 21–30. [Google Scholar] [CrossRef] [PubMed]
- Wake, D.J.; Walker, B.R. Inhibition of 11beta-hydroxysteroid dehydrogenase type 1 in obesity. Mol. Cell. Endocrinol. 2006, 29, 101–108. [Google Scholar] [CrossRef]
- Nicolaides, N.C.; Galata, Z.; Kino, T.; Chrousos, G.P.; Charmandari, E. The human glucocorticoid receptor: Molecular basis of biologic function. Steroids 2010, 75, 1–12. [Google Scholar] [CrossRef]
- Hawkins, U.A.; Gomez-Sanchez, E.P.; Gomez-Sanchez, C.M.; Gomez-Sanchez, C.E. The ubiquitous mineralocorticoid receptor: Clinical implications. Curr. Hypertens. Rep. 2012, 14, 573–580. [Google Scholar] [CrossRef]
- Cain, D.W.; Cidlowski, J.A. Immune regulation by glucocorticoids. Nat. Rev. Immunol. 2017, 17, 233–247. [Google Scholar] [CrossRef]
- Nussinovitch, U.; de Carvalho, J.F.; Pereira, R.M.; Shoenfeld, Y. Glucocorticoids and the cardiovascular system: State of the art. Curr. Pharm. Des. 2010, 16, 3574–3585. [Google Scholar] [CrossRef]
- Reichardt, S.D.; Amouret, A.; Muzzi, C.; Vettorazzi, S.; Tuckermann, J.P.; Lühder, F.; Reichardt, H.M. The role of glucocorticoids in inflammatory diseases. Cells 2021, 10, 1–30. [Google Scholar] [CrossRef]
- Samuel, S.; Nguyen, T.; Choi, A. Pharmacologic Characteristics of Corticosteroids. J. Neurocrit. Care 2017, 10, 53–59. [Google Scholar] [CrossRef]
- Liu, J.; Heikkilä, P.; Meng, Q.H.; Kahri, A.I.; Tikkanen, M.J.; Voutilainen, R. Expression of low and high density lipoprotein receptor genes in human adrenals. Eur. J. Endocrinol. 2000, 142, 677–682. [Google Scholar] [CrossRef] [PubMed]
- Paragliola, R.M.; Papi, G.; Pontecorvi, A.; Coresllo, S.M. Treatment with synthetic glucocorticoids and the hypothalamus-pituitary-adrenal axis. Int. J. Mol. Sci. 2017, 18, 2201. [Google Scholar] [CrossRef] [PubMed]
- Nader, N.; Chrousos, G.P.; Kino, T. Interactions of the circadian CLOCK system and the HPA axis. Trends Endocrinol. Metab. 2010, 21, 277–286. [Google Scholar] [CrossRef]
- De Kloet, E.R.; Fitzsimons, C.P.; Datson, N.A.; Meijer, O.C.; Vreugdenhil, E. Glucocorticoid signaling and stress-related limbic susceptibility pathway: About receptors, transcription machinery and microRNA. Brain Res. 2009, 1293, 129–141. [Google Scholar] [CrossRef]
- Anderson Elverson, C.; Wilson, M.E. Cortisol: Circadian rhythm and response to a stressor. Newborn Infant Nurs. Rev. 2005, 5, 159–169. [Google Scholar] [CrossRef]
- Levine, A.; Zagoory-Sharon, O.; Feldman, R.; Lewis, J.G.; Weller, A. Measuring cortisol in human psychobiological studies. Physiol. Behav. 2007, 90, 43–53. [Google Scholar] [CrossRef]
- Mohd Azmi, N.A.S.; Juliana, N.; Azmani, S.; Mohd Effendy, N.; Abu, I.F.; Mohd Fahmi Teng, N.I.; Das, S. Cortisol on circadian rhythm and its effect on cardiovascular system. Int. J. Environ. Res. Public Health 2021, 18, 676. [Google Scholar] [CrossRef]
- Sapolsky, R.M.; Romero, L.M.; Munck, A. How do glucocorticoids influence stress responses? Integrating Permissive, Suppressive, Stimulatory, and Preparative Actions. Endocr. Rev. 2000, 21, 55–89. [Google Scholar] [CrossRef]
- Klieber, M.A.; Underhill, C.; Hammond, G.L.; Muller, Y.A. Corticosteroid-binding Globulin, a Structural Basis for Steroid Transport and Proteinase-triggered Release. J. Biol. Chem. 2007, 282, 2954–29603. [Google Scholar] [CrossRef]
- Gross, K.L.; Lu, N.Z.; Cidlowski, J.A. Molecular mechanisms regulating glucocorticoid sensitivity and resistance. Mol. Cell. Endocrinol. 2009, 300, 7–16. [Google Scholar] [CrossRef] [PubMed]
- Lewis-Tuffin, L.J.; Cidlowski, J.A. The physiology of human gluco-corticoid receptor b (hGR b) and glucocorticoid resistance. Ann. N.Y. Acad. Sci. 2006, 1069, 1–9. [Google Scholar] [CrossRef] [PubMed]
- Stellato, C. Post-transcriptional and nongenomic effects of glu-cocorticoids. Proc. Am. Thorac. Soc. 2004, 1, 255–263. [Google Scholar] [CrossRef] [PubMed]
- Kokkinopoulou, I.; Diakoumi, A.; Moutsatsou, P. Glucocorticoid Receptor Signaling in Diabetes. Int. J. Mol. Sci. 2021, 22, 11173. [Google Scholar] [CrossRef]
- Akalestou, E.; Genser, L.; Rutter, G.A. Glucocorticoid Metabolism in Obesity and Following Weight Loss. Front. Endocrinol. 2020, 11, 59. [Google Scholar] [CrossRef]
- Peckett, A.J.; Wright, D.C.; Riddell, M.C. The effects of glucocorticoids on adipose tissue lipid metabolism. Metabolism 2011, 60, 1500–1510. [Google Scholar] [CrossRef]
- Bujalska, I.J.; Walker, E.A.; Tomlinson, J.W.; Hewison, M.; Stewart, P.M. 11Beta-hydroxysteroid dehydrogenase type 1 in differentiating omental humanpreadipocytes: From de-activation to generation of cortisol. Endocr. Res. 2002, 28, 449–461. [Google Scholar] [CrossRef]
- Pisarczyk-Wiza, D.; Ziemnicka, K.; Budny, B.; Zozulińska-Ziółkiewicz, D. Influence of glucocorticoids and glucocorticoid receptor gene polymorphisms on glucose metabolism. Diabetol. Klin. 2014, 3, 69–78. [Google Scholar]
- Rose, A.J.; Vagiopoulos, A.; Herzig, S. Role of glucocorticoids and the glucocorticoid receptor in metabolism: Insights from genetic manipulations. J. Steroid Biochem. Mol. Biol. 2010, 122, 10–20. [Google Scholar] [CrossRef]
- Newell-Price, J.; Trainer, P.; Besser, M.; Grossman, A. The diagnosis and differential diagnosis of Cushing’s syndrome and pseudo-Cushing’s states. Endocr. Rev. 1998, 19, 647–672. [Google Scholar] [CrossRef]
- Buliman, A.; Tataranu, L.G.; Paun, D.L.; Mirica, A.; Dumitrache, C. Cushing’s disease: A multidisciplinary overview of the clinical features, diagnosis, and treatment. J. Med. Life 2016, 9, 12–18. [Google Scholar] [PubMed]
- Christ-Crain, M.; Kola, B.; Lolli, F. AMP-activated protein kinase mediates glucocorticoid-induced metabolic changes: A novel mechanism in Cushing’s syndrome. FASEB J. 2008, 22, 1672–1683. [Google Scholar] [CrossRef] [PubMed]
- Sorensen, B.K.; Link, J.T.; von Geldern, T.; Emery, M.; Wang, J.; Hickman, B.; Grynfarb, M.; Goos-Nilsson, A.; Carroll, S. An Evaluation of a C-Glucuronide as a liver targeting group: Conjugate of a glucocorticoid antagonist. Bioorg. Med. Chem. Let. 2004, 13, 2307–2310. [Google Scholar] [CrossRef]
- Tomlinson, J.W.; Walker, E.A.; Bujalska, I.J.; Draper, N.; Lavery, G.G.; Cooper, M.S.; Hewison, M.; Stewart, P.M. 11β-Hydroxysteroid dehydrogenase type 1: A tissue specific regulator of glucocorticoid response. Endocr. Rev. 2004, 25, 831–866. [Google Scholar] [CrossRef]
- Persson, B.; Krook, M.; Jöörnvall, H. Characteristics of short-chain alcohol dehydrogenases and related enzymes. Eur. J. Biochem. 1991, 200, 537–540. [Google Scholar] [CrossRef]
- Krozowski, Z.; Li, K.X.; Koyama, K.; Smith, R.E.; Obeyesekere, V.R.; Stein-Oakley, A.; Sasano, H.; Coulter, C.; Cole, T.; Sheppard, K.E. The type I and type II 11beta-hydroxysteroid dehydrogenase enzymes. J. Steroid Biochem. Mol. Biol. 1999, 69, 391–401. [Google Scholar] [CrossRef]
- Hunter, R.W.; Baile, M.A. Glucocorticoids and 11β-hydroxysteroid dehydrogenases: Mechanisms for hypertension. Curr. Opin. Pharmacol. 2015, 21, 105–114. [Google Scholar] [CrossRef]
- Paterson, J.M.; Seckl, J.R.; Mullins, J.J. Genetic manipulation of 11beta-hydroxysteroid dehydrogenases in mice. Am. J. Physiol. Regul. Integr. Comp. Physiol. 2005, 289, 642–652. [Google Scholar] [CrossRef][Green Version]
- Tannin, G.M.; Agarwal, A.K.; Monder, C.; Nowy, M.I.; Biały, P.C. The human gene for 11 beta-hydroxysteroid dehydrogenase. Structure, tissue distribution, and chromosomal localization. J. Biol. Chem. 1991, 266, 16653–16658. [Google Scholar] [CrossRef]
- Lakshmi, V.; Monder, C. Purification and characterization of the corticosteroid 11 beta-dehydrogenase component of the rat liver 11 beta-hydroxysteroid dehydrogenase complex. Endocrinology 1988, 123, 2390–2398. [Google Scholar] [CrossRef]
- Seckl, J.R. 11beta-Hydroxysteroid dehydrogenase in the brain: A novel regulator of glucocorticoid action? Front. Neuroendocrinol. 1997, 18, 49–99. [Google Scholar] [CrossRef]
- Davani, B.; Khan, A.; Hult, M.; Martensson, E.; Okret, S.; Efendic, S.; Jornvall, H.; Oppermann, U.C. Type 1 11beta -hydroxysteroid dehydrogenase mediates glucocorticoid activation and insulin release in pancreaticislets. J. Biol. Chem. 2000, 275, 34841–34844. [Google Scholar] [CrossRef] [PubMed]
- Bujalska, I.J.; Kumar, S.; Stewart, P.M. Does central obesity reflect “Cushing’s disease of the omentum”? Lancet 1997, 349, 1210–1213. [Google Scholar] [CrossRef]
- Draper, N.; Stewart, P.M. 11β-Hydroxysteroid dehydrogenase and the pre-receptor regulation of corticosteroid hormone action. J. Endocrinol. 2005, 186, 251–271. [Google Scholar] [CrossRef]
- Krozowski, Z.; Stuchbery, S.; White, P.; Monder, C.; Funder, J.W. Characterization of 11 beta-hydroxysteroid dehydrogenase gene expression: Identification of multiple unique forms of messenger ribonucleic acid in the rat kidney. Endocrinology 1990, 127, 3009–3013. [Google Scholar] [CrossRef] [PubMed]
- Stewart, P.M.; Mason, J.I. Cortisol to cortisone: Glucocorticoid to mineralocorticoid. Steroids 1995, 60, 143–146. [Google Scholar] [CrossRef]
- Edwards, C.R.W.; Benediktsson, R.; Lindsay, R.S.; Seckl, J.R. 11β-hydroxysteroid dehydrogenases: Key enzymes in determining tissue-specific glucocorticoid effects. Steroids 1996, 61, 263–269. [Google Scholar] [CrossRef]
- Krozowski, Z.; Chai, Z. The role of 11β-hydroxysteroid dehydrogenases in the cardiovascular system. Endocr. J. 2003, 50, 485–489. [Google Scholar] [CrossRef][Green Version]
- Krozowski, Z. The 11β-hydroxysteroid dehydrogenases: Functions and physiological effects. Mol. Cell. Endocrinol. 1999, 151, 121–127. [Google Scholar] [CrossRef]
- Martin, C.S.; Cooper, M.S.; Hardy, R.S. Endogenous glucocorticoid metabolism in bone: Friend or foe. Front. Endocrinol. 2021, 12, 1–13. [Google Scholar] [CrossRef]
- Diederich, S.; Eigendorff, E.; Burkhardt, P.; Quinkler, M.; Bumke-Vogt, C.; Rochel, M.; Seidelmann, D.; Esperling, P.; Oelkers, W.; Bähr, V. 11beta-Hydroxysteroid dehydrogenase types 1 and 2: An important pharmacokinetic determinant for the activity of synthetic mineralo- and glucocorticoids. J. Clin. Endocrinol. Metab. 2002, 87, 5695–5701. [Google Scholar] [CrossRef] [PubMed]
- Stimson, R.H.; Andrew, R.; McAvoy, N.C.; Tripathi, D.; Hayes, P.C.; Walker, B.R. Increased whole-body and sustained liver cortisol regeneration by 11beta-Hydroxysteroid dehydrogenase type 1 in obese men with type 2 diabetes provides a target for enzyme inhibition. Diabetes 2011, 60, 720–725. [Google Scholar] [CrossRef] [PubMed]
- Bujalska, I.J.; Gathercole, L.L.; Tomlinson, J.W.; Darimont, C.; Ermolieff, J.; Fanjul, A.N.; Rejto, P.A.; Stewart, P.M. A novel selective 11beta-hydroxysteroid dehydrogenase type 1 inhibitor prevents human adipogenesis. J. Endocrinol. 2008, 197, 297–307. [Google Scholar] [CrossRef] [PubMed][Green Version]
- Stimson, R.H.; Andersson, J.; Andrew, R.; Redhead, D.N.; Karpe, F.; Hayes, P.C.; Olsson, T.; Walker, B.R. Cortisol release from adipose tissue by 11beta-hydroxysteroid dehydrogenase type 1 in humans. Diabetes 2009, 58, 46–53. [Google Scholar] [CrossRef]
- Ahasan, M.M.; Hardy, R.; Jones, C.; Kaur, K.; Nanus, D.; Juarez, M.; Morgan, S.A.; Hassan-Smith, Z.; Bénézech, C.; Caamaño, J.H.; et al. Inflammatory regulation of glucocorticoid metabolism in mesenchymal stromal cells. Arthritis Rheum. 2012, 64, 2404–2413. [Google Scholar] [CrossRef] [PubMed]
- Hardy, R.S.; Fenton, C.; Croft, A.P.; Naylor, A.J.; Begum, R.; Desanti, G.; Buckley, C.D.; Lavery, G.; Cooper, M.S.; Raza, K. 11 Beta-hydroxysteroid dehydrogenase type 1 regulates synovitis, joint destruction, and systemic bone loss in chronic polyarthritis. J. Autoimmun. 2018, 92, 104–113. [Google Scholar] [CrossRef]
- Walker, E.A.; Stewart, P.M. 11β-hydroxysteroid dehydrogenase: Unexpected connections. Trends Endocrinol. Metab. 2003, 7, 334–339. [Google Scholar] [CrossRef]
- Sandeep, T.C.; Walker, B.R. Pathophysiology of modulation of local glucocorticoid levels by 11β-hydroxysteroid dehydrogenases. Trends Endocrinol. Metab. 2001, 10, 446–453. [Google Scholar] [CrossRef]
- Seckl, J.R. 11β-hydroxysteroid dehydrogenases: Changing glucocorticoid action. Curr. Opin. Pharmacol. 2004, 4, 597–602. [Google Scholar] [CrossRef]
- Tomlinson, J.W.; Stewart, P.M. Cortisol metabolism and the role of 11β-hydroxysteroid dehydrogenase. Best Pract. Res. Clin. Endocrinol. Metab. 2001, 15, 61–78. [Google Scholar] [CrossRef]
- Sukhija, R.; Kakar, P.; Mehta, V.; Mehta, J.L. Enhanced 11β-hydroxysteroid dehydrogenase activity, the metabolic syndrome and systemic hypertension. Am. J. Cardiol. 2006, 98, 544–548. [Google Scholar] [CrossRef] [PubMed]
- Lin, T.K.; Zhong, L.; Santiago, J.L. Association between stress and the HPA axis in the atopic dermatitis. Int. J. Mol. Sci. 2017, 18, 1–15. [Google Scholar] [CrossRef] [PubMed]
- Lee, N.R.; Kim, B.J.; Lee, C.H.; Lee, Y.B.; Lee, S.; Hyun Jee Hwang, H.J.; Kim, E.; Kim, S.H.; Lee, M.-G.; Lee, S.E.; et al. Role of 11β-hydroxysteroid dehydrogenase type 1 in the development of atopic dermatitis. Sci. Rep. 2020, 10, 1–12. [Google Scholar] [CrossRef]
- Chapmana, K.E.; Coutinho, A.E.; Zhang, Z.; Kipari, T.; Savill, J.S.; Seckl, J.R. Changing glucocorticoid action: 11-Hydroxysteroid dehydrogenase type 1 in acute and chronic inflammation. J. Steroid Biochem. Mol. Biol. 2013, 137, 82–92. [Google Scholar] [CrossRef]
- Masuzaki, H.; Paterson, J.; Shinyama, H.; Morton, N.M.; Mullins, J.J.; Seckl, J.R.; Flier, J.S. A transgenic model of visceral obesity and the metabolic syndrome. Science 2001, 294, 2166–2170. [Google Scholar] [CrossRef] [PubMed]
- Kwon, Y.; Holmes, M.C.; Burchell, A.; Houston, P.M.; Schmoll, D.; Jamieson, P.; Best, R.; Brown, R.; Edwards, C.R.W.; Seckl, J.R.; et al. 11beta-hydroxysteroid dehydrogenase type 1 knockout mice show attenuated glucocorticoid-inducible responses and resist hyperglycemia on obesity or stress. Proc. Natl. Acad. Sci. USA 1997, 94, 14924–14929. [Google Scholar] [CrossRef]
- Mune, T.; White, P.C. Apparent mineralocorticoid excess: Genotype is correlated with biochemical phenotype. Hypertension 1996, 6, 1193–1199. [Google Scholar] [CrossRef]
- Palermo, M.; Quinkler, M.; Stewart, P.M. Apparent mineralocorticoid excess syndrome: An overview. Arq. Bras. Endocrinol. Metab. 2004, 48, 687–696. [Google Scholar] [CrossRef]
- Seckl, J.R. Glucocorticoids, feto-placental 11β-hydroxysteroid dehydrogenase type 2, and early life origins of adult disease. Steroids 1997, 62, 89–94. [Google Scholar] [CrossRef]
- Seckl, J.R.; Benediktsson, R.; Lindsay, R.S.; Brown, R.W. Placental 11β-hydroxysteroid dehydrogenase and the programming of hypertension. J. Steroid. Biochem. Molec. Biol. 1995, 55, 447–455. [Google Scholar] [CrossRef]
- Hammer, F.; Stewart, P.M. Cortisol metabolism in hypertension. Best Pract. Res. Clin. Endocrinol. Metab. 2006, 20, 337–353. [Google Scholar] [CrossRef] [PubMed]
- Kershaw, E.E.; Morton, N.M.; Dhillon, H.; Ramage, L.; Seckl, J.R.; Flier, J.S. Adipocyte-specific glucocorticoid inactivation protects against diet-induced obesity. Diabetes 2005, 54, 1023–1031. [Google Scholar] [CrossRef] [PubMed]
- Chapman, K.; Holmes, M.; Seckl, J. 11β-hydroxysteroid dehydrogenases: Intracellular gate-keepers of tissue glucocorticoid action. Physiol. Rev. 2013, 93, 1139–1206. [Google Scholar] [CrossRef]
- Rask, E.; Olsson, T.; Söderberg, S.; Andrew, R.; Livingstone, D.E.; Johnson, O.; Walker, B.R. Tissue-specific dysregulation of cortisol metabolism in human obesity. J. Clin. Endocrinol. Metab. 2001, 86, 1418–1421. [Google Scholar] [CrossRef]
- Morton, N.M.; Densmore, V.; Wamil, M.; Ramage, L.; Nichol, K.; Bünger, L.; Seckl, J.R.; Kenyon, C.J. A polygenic model of the metabolic syndrome with reduced circulating and intra-adipose glucocorticoid action. Diabetes 2005, 54, 3371–3378. [Google Scholar] [CrossRef]
- Paulmyer-Lacroix, O.; Boullu-Ciocca, S.; Oliver, C.; Dutour, A.; Grino, M. Glucocorticoids, 11 beta-hydroxysteroid dehydrogenase type 1, and visceral obesity. Med. Sci. 2003, 19, 473–476. [Google Scholar] [CrossRef]
- Di Nicolantonio, J.J.; Mehta, V.; Onkaramurthy, N.; O’Keefe, J.H. Fructose-induced inflammation and increased cortisol: A new mechanism for how sugar induces visceral adiposity. Prog. Cardiovasc. Dis. 2018, 61, 3–9. [Google Scholar] [CrossRef]
- Sandeep, T.C.; Andrew, R.; Homer, N.Z.; Andrews, R.C.; Smith, K.; Walker, B.R. Increased in vivo regeneration of cortisol in adipose tissue in human obesity and effects of the 11beta-hydroxysteroid dehydrogenase type 1 inhibitor carbenoxolone. Diabetes 2005, 54, 872–879. [Google Scholar] [CrossRef]
- Staab, C.A.; Maser, E.J. 11beta-Hydroxysteroid dehydrogenase type 1 is an important regulator at the interface of obesity and inflammation. Steroid. Biochem. Mol. Biol. 2010, 119, 56–72. [Google Scholar] [CrossRef]
- Masuzaki, H.; Flier, J.S. Tissue-specific glucocorticoid reactivating enzyme, 11 beta-hydroxysteroid dehydrogenase type 1 (11 beta-HSD1)—A promising drug target for the treatment of metabolic syndrome. Curr. Drug Targets Immune Endocr. Metab. Disord. 2003, 3, 255–262. [Google Scholar] [CrossRef]
- Walker, B.R.; Andrew, R. Tissue production of cortisol by 11beta-hydroxysteroid dehydrogenase type 1 and metabolic disease. Ann. N. Y. Acad. Sci. 2006, 1083, 165–184. [Google Scholar] [CrossRef] [PubMed]
- Sjöstrand, M.; Jansson, P.; Palming, J.; de Schoolmeester, J.; Gill, D.; Rees, A.; Sjögren, L.; Persson, T.; Eriksson, J.W. Repeated measurements of 11β-HSD-1 activity in subcutaneous adipose tissue from lean, abdominally obese, and type 2 diabetes subjects—No change following a mixed meal. Horm. Metab. Res. 2010, 42, 798–802. [Google Scholar] [CrossRef] [PubMed]
- Dube, S.; Norby, B.; Pattan, V.; Lingineni, R.K.; Singh, R.J.; Carter, R.E.; Basu, A.; Basu, R. Hepatic 11β-hydroxysteroid dehydrogenase type 1 activity in obesity and type 2 diabetes using a novel triple tracer cortisol technique. Diabetologia 2014, 57, 1446–1455. [Google Scholar] [CrossRef] [PubMed][Green Version]
- Valsamakis, G.; Anwar, A.; Tomlinson, J.W.; Shackleton, C.H.; McTernan, P.G.; Chetty, R.; Wood, P.J.; Banerjee, A.K.; Holder, G.; Barnett, A.H.; et al. 11beta-hydroxysteroid dehydrogenase type 1 activity in lean and obese males with type 2 diabetes mellitus. J. Clin. Endocrinol Metab. 2004, 89, 4755–4761. [Google Scholar] [CrossRef]
- Alfonso, B.; Araki, T.; Zumoff, B. Is there visceral adipose tissue (VAT) intracellular hypercortisolism in human obesity? Horm. Metab. Res. 2013, 45, 329–331. [Google Scholar] [CrossRef] [PubMed]
- Tomlinson, J.W.; Sinha, B.; Bujalska, I.; Hewison, M.; Stewart, P.M. Expression of 11beta-hydroxysteroid dehydrogenase type 1 in adipose tissue is not increased in human obesity. J. Clin. Endocrinol. Metab. 2002, 87, 5630–5635. [Google Scholar] [CrossRef] [PubMed]
- Alberti, L.; Girola, A.; Gilardini, L.; Conti, A.; Cattaldo, S.; Micheletto, G.; Invitti, C. Type 2 diabetes and metabolic syndrome are associated with increased expression of 11beta-hydroxysteroid dehydrogenase 1 in obese subjects. Int. J. Obes. 2007, 31, 1826–1831. [Google Scholar] [CrossRef]
- Goedecke, J.H.; Wake, D.J.; Levitt, N.S.; Lambert, E.V.; Collins, M.R.; Morton, N.M.; Andrew, R.; Seckl, J.R.; Walker, B.R. Glucocorticoid metabolism within superficial subcutaneous rather than visceral adipose tissue is associated with features of the metabolic syndrome in South African women. Clin. Endocrinol. 2006, 65, 81–87. [Google Scholar] [CrossRef]
- Basciano, H.; Federico, L.; Adeli, K. Fructose, insulin resistance, and metabolic dyslipidemia. Nutr. Metab. 2005, 21, 5. [Google Scholar] [CrossRef]
- Hochberg, Z.; Friedberg, M.; Yaniv, L.; Bader, T.; Tiosano, D. Hypothalamic regulation of adiposity: The role of 11beta-hydroxysteroid dehydrogenase type 1. Horm. Metab. Res. 2004, 36, 365–369. [Google Scholar] [CrossRef]
- Tomlinson, J.W.; Moore, J.; Cooper, M.S.; Bujalska, I.; Shahmanesh, M.; Burt, C.; Strain, A.; Hewison, M.; Stewart, P.M. Regulation of expression of 11beta-hydroxysteroid dehydrogenase type 1 in adipose tissue: Tissue-specific induction by cytokines. Endocrinology 2001, 142, 1982–1989. [Google Scholar] [CrossRef] [PubMed]
- White, P.C.; Rogoff, D.; McMillan, D.R.; Lavery, G.G. Hexose 6-phosphate dehydrogenase (H6PD) and corticosteroid metabolism. Mol. Cell. Endocrinol. 2007, 265–266, 89–92. [Google Scholar] [CrossRef] [PubMed]
- Prince, P.D.; Santander, Y.A.; Gerez, E.M.; Höcht, C.; Polizio, A.H.; Mayer, M.A.; Taira, C.A.; Fraga, C.G.; Galleano, M.; Carranza, A. Fructose increases corticosterone production in association with NADPH metabolism alterations in rat epididymal white adipose tissue. J. Nutr. Biochem. 2017, 46, 109–116. [Google Scholar] [CrossRef] [PubMed]
- Pou, K.M.; Massaro, J.M.; Hoffmann, U.; Vasan, R.S.; Maurovich-Horvat, P.; Larson, M.G.; Keaney, J.F., Jr.; Meigs, J.B.; Lipinska, I.; Kathiresan, S.; et al. Visceral and subcutaneous adipose tissue volumes are cross-sectionally related to markers of inflammation and oxidative stress: The Framingham Heart Study. Circulation 2007, 116, 1234–1241. [Google Scholar] [CrossRef] [PubMed]
- Baudrand, R.; Carvajal, C.A.; Riquelme, A.; Morales, M.; Solis, N.; Pizarro, M.; Escalona, A.; Boza, C.; Pérez, G.; Domínguez, A.; et al. Overexpression of 11 beta-hydroxysteroid dehydrogenase type 1 in hepatic and visceral adipose tissue is associated with metabolic disorders in morbidly obese patients. Obes. Surg. 2010, 20, 77–83. [Google Scholar] [CrossRef]
- Pi-Sunyer, X. The medical risks of obesity. Postgrad. Med. 2009, 121, 21–33. [Google Scholar] [CrossRef]
- Gant, C.M.; Minovic, I.; Binnenmars, H.; de Vries, L.; Kema, I.; van Beek, A.; Navis, G.; Bakker, S.; Laverman, G.D. Lower renal function is associated with derangement of 11-β hydroxysteroid dehydrogenase in type 2 diabetes. J. Endocr. Soc. 2018, 2, 609–620. [Google Scholar] [CrossRef]
- Shukla, R.; Basu, A.K.; Mandal, B.; Mukhopadhyay, P.; Maity, A.; Chakraborty, S.; Devrabhai, P.K. 11β Hydroxysteroid dehydrogenase—1 activity in type 2 diabetes mellitus: A comparative study. BMC Endocr. Disord. 2019, 19, 15. [Google Scholar] [CrossRef]
- Kramkowska, M.; Czyżewska, K. Metabolic syndrome—History, definitions, controversies. Forum Zab. Metabol. 2014, 5, 6–15. [Google Scholar]
- Świątkiewicz, I.; Woźniak, A.; Taub, P.R. Time-restricted eating and metabolic syndrome: Current status and future perspectives. Nutrients 2021, 13, 221. [Google Scholar] [CrossRef]
- Świątkiewicz, I.; Mila-Kierzenkowska, C.; Woźniak, A.; Szewczyk-Golec, K.; Nuszkiewicz, J.; Wróblewska, J.; Rajewski, P.; Eussen, S.J.P.M.; Færch, K.; Manoogian, E.N.C.; et al. Pilot Clinical Trial of Time-Restricted Eating in Patients with Metabolic Syndrome. Nutrients 2021, 13, 346. [Google Scholar] [CrossRef] [PubMed]
- Blum, A.; Maser, E. Enzymology and Molecular Biology of Glucocorticoid Metabolism in Humans. In Progress in Nucleic Acid Research and Molecular Biology; Academic Press: Cambridge, MA, USA, 2003; Volume 75, pp. 173–216. [Google Scholar] [CrossRef]
- Mathieu, P.; Pibarot, P.; Larose, É.; Poirier, P.; Marette, A.; Després, J.-P. Visceral Obesity and the Heart. Int. J. Biochem. Cell Biol. 2008, 40, 821–836. [Google Scholar] [CrossRef] [PubMed]
- Bailey, M.A. 11β-Hydroxysteroid Dehydrogenases and Hypertension in the Metabolic Syndrome. Curr. Hypertens. Rep. 2017, 19, 100. [Google Scholar] [CrossRef] [PubMed]
- Kerstens, M.N.; Wolffenbuttel, B.H.; Dullaart, R.P. Tissue-specific changes in cortisol metabolism and their potential role in the metabolic syndrome. Ned. Tijdschr. Geneeskd. 2005, 149, 871–876. [Google Scholar]
- Berg, A.H.; Scherer, P.E. Adipose Tissue, Inflammation, and Cardiovascular Disease. Circ. Res. 2005, 96, 939–949. [Google Scholar] [CrossRef]
- Silaghi, A.; Achard, V.; Paulmyer-Lacroix, O.; Scridon, T.; Tassistro, V.; Duncea, I.; Clément, K.; Dutour, A.; Grino, M. Expression of Adrenomedullin in Human Epicardial Adipose Tissue: Role of Coronary Status. Am. J. Physiol. Endocrinol. Metab. 2007, 293, E1443–E1450. [Google Scholar] [CrossRef]
- Bialkowski, K.; Kasprzak, K.S. A Profile of 8-Oxo-DGTPase Activities in the NCI-60 Human Cancer Panel: Meta-Analytic Insight into the Regulation and Role of MTH1 (NUDT1) Gene Expression in Carcinogenesis. Free Radic. Biol. Med. 2020, 148, 1–21. [Google Scholar] [CrossRef]
- Atalar, F.; Gormez, S.; Caynak, B.; Akan, G.; Tanriverdi, G.; Bilgic-Gazioglu, S.; Gunay, D.; Duran, C.; Akpinar, B.; Ozbek, U.; et al. The role of mediastinal adipose tissue 11β-hydroxysteroid dehydrogenase type 1 and glucocorticoid expression in the development of coronary atherosclerosis in obese patients with ischemic heart disease. Cardiovasc. Diabetol. 2012, 11, 115. [Google Scholar] [CrossRef]
- Schober, P.; Boer, C.; Schwarte, L.A. Correlation Coefficients: Appropriate Use and Interpretation. Anesth. Analg. 2018, 126, 1763–1768. [Google Scholar] [CrossRef]
- Atalar, F.; Gormez, S.; Caynak, B.; Akan, G.; Tanriverdi, G.; Bilgic-Gazioglu, S.; Gunay, D.; Duran, C.; Akpinar, B.; Ozbek, U.; et al. Mediastinal Adipose Tissue Expresses a Pathogenic Profile of 11 β-Hydroxysteroid Dehydrogenase Type 1, Glucocorticoid Receptor, and CD68 in Patients with Coronary Artery Disease. Cardiovasc. Pathol. 2013, 22, 183–188. [Google Scholar] [CrossRef]
- Kita, T.; Kitamura, K. Translational Studies of Adrenomedullin and Related Peptides Regarding Cardiovascular Diseases. Hypertens. Res. 2022, 45, 389–400. [Google Scholar] [CrossRef] [PubMed]
- Al Bakir, M.; Butt, A.N.; Swaminathan, R. Circulating 11beta-Hydroxysteroid Dehydrogenase Type 1 MRNA and Cardiovascular Risk Factors. Ann. N. Y. Acad. Sci. 2008, 1137, 283–289. [Google Scholar] [CrossRef] [PubMed]
- Xiang, D.; Liu, Y.; Zhou, S.; Zhou, E.; Wang, Y. Protective Effects of Estrogen on Cardiovascular Disease Mediated by Oxidative Stress. Oxid. Med. Cell. Longev. 2021, 2021, e5523516. [Google Scholar] [CrossRef] [PubMed]
- Baudrand, R.; Campino, C.; Carvajal, C.A.; Olivieri, O.; Guidi, G.; Faccini, G.; Sateler, J.; Cornejo, J.; Martin, B.S.; Dominguez, J.M.; et al. Increased urinary glucocorticoid metabolites are associated with metabolic syndrome, hypoadiponectinemia, insulin resistance and β cell dysfunction. Steroids 2011, 76, 1575–1581. [Google Scholar] [CrossRef]
- Kwok, M.K.; Kawachi, I.; Rehkopf, D.; Schooling, C.M. The role of cortisol in ischemic heart disease, ischemic stroke, type 2 diabetes, and cardiovascular disease risk factors: A bidirectional Mendelian randomization study. BMC Med. 2020, 18, 363. [Google Scholar] [CrossRef]
- Navarrete-Vázquez, G.; Morales-Vilchis, M.G.; Estrada-Soto, S.; Ramírez-Espinosa, J.; Hidalgo-Figueroa, S.; Nava-Zuazo, C.; Tlahuext, H.; Leon-Rivera, I.; Medina-Franco, J.L.; López-Vallejo, F.; et al. Synthesis of 2-{2-[(α/β-naphthalen-1-ylsulfonyl)amino]-1,3-thiazol-4-yl} acetamides with 11β-hydroxysteroid dehydrogenase inhibition and in combo antidiabetic activites. Eur. J. Med. Chem. 2014, 74, 179–186. [Google Scholar] [CrossRef]
- Scott, J.S.; Goldberg, F.W.; Turnbull, A.V. Medicinal Chemistry of Inhibitors of 11β-Hydroxysteroid Dehydrogenase Type 1 (11β-HSD1). J. Med. Chem. 2013, 57, 4466–4486. [Google Scholar] [CrossRef]
- Anagnostis, P.; Katsiki, N.; Adamidou, F.; Athyros, V.G.; Karagiannis, A.; Kita, M.; Mikhailidis, D.P. 11beta-hydroxysteroid dehydrogenase typr 1 inhibitors: Novel agents for the treatment of metabolic syndrome and obesity-related disorders? Metab. Clin. Exp. 2013, 16, 21–33. [Google Scholar] [CrossRef]
- Böhme, T.; Engel, C.K.; Farjot, G.; Güssregen, S.; Haack, T.; Tschank, G.; Ritter, K. 1,1-dioxo-5,6-dihydro-[4,1,2]oxathiazines, a novel class of 11β-HSD1 inhibitors for the treatment of diabetes. Bioorg. Med. Chem. Lett. 2013, 23, 4685–4691. [Google Scholar] [CrossRef]
- Andrews, R.C.; Rooyackers, O.; Walker, B.R. Effects of the 11β-hydroxysteroid inhibitor carbenoxolone on insulin sensitivity in men with type 2 biabetes. J. Clin. Endocrinal. Metab. 2003, 88, 285–291. [Google Scholar] [CrossRef]
- Vicker, N.; Su, X.; Ganeshapillai, D.; Smith, A.; Purohit, A.; Reed, M.J.; Potter, B.V.L. Novel non-steroidal inhibitors of human 11β-hydroxysteroid dehydrogenase type 1. J. Steroid Biochem. Mol. Biol. 2007, 104, 123–129. [Google Scholar] [CrossRef] [PubMed]
- Anderson, A.; Walker, B.R. 11β-HSD1 inhibitors for the treatment of type 2 diabetes and cardiovascular disease. Drugs 2013, 73, 1385–1393. [Google Scholar] [CrossRef] [PubMed]
- Diederich, S.; Hanke, B.; Quinkler, M.; Herrmann, M.; Bahr, V.; Oelkers, W. In the search for specific inhibitors of human 11beta-hydroxysteroid-dehydrogenases (11beta-HSDs): Chenodeoxycholic acid selectively inhibits 11beta-HSD-I. Eur. J. Endocrinol. 2000, 142, 200–207. [Google Scholar] [CrossRef] [PubMed]
- Kotelevtsev, Y.; Brown, R.W.; Fleming, S.; Kenyon, C.; Edwards, C.R.W.; Seckl, J.R.; Mullins, J.J. Hypertension in mice lacking 11β-hydroxysteroid dehydrogenase type 2. J. Clin. Investig. 1999, 103, 683–689. [Google Scholar] [CrossRef] [PubMed]
- Fotsch, C.; Wang, M. Blockade of glucocorticoid excess at the tissue level: Inhibitors of 11β-hydroxysteroid dehydrogenase type 1 as a therapy for type 2 diabetes. J. Med. Chem. 2008, 51, 4852–4857. [Google Scholar] [CrossRef]
- Abrahmsen, L.; Nilsson, J.; Opperman, U.; Svensson, S. Methods for the Protein Production and Purificaation of Soluble Recombinant Polypeptides. Patent WO2005068646A1, 28 July 2005. [Google Scholar]
- Rosenstock, J.; Banarer, S.; Fonseca, V.; Inzucchi, S.; Sun, W.; Yao, W.; Hollis, G.; Flores, R.; Levy, R.; Williams, W.V.; et al. The 11-β-hydroxysteroid dehydrogenase type 1 inhibitor INCB13739 improves hyperglycemia in patients with type 2 diabetes inadequately controlled by metformin monotherapy. Diabestes Care 2010, 33, 1516–1522. [Google Scholar] [CrossRef] [PubMed]
- Chemicals. Available online: https://www.dcchemicals.com/product_show-DC11207.html (accessed on 20 July 2022).
- Bhat, B.G.; Hosea, N.; Fanjul, A.; Herrera, J.; Chapman, J.; Thalacker, F.; Stewart, R.M.; Rejto, P.A. Demonstration of proof of mechanism and pharmacokinetics and pharmacodynamic relationship with PF-915275, an inhibito of 11βHSD1, in cynomolgus monkeys. J. Pharmacol. Exp. Ther. 2007, 324, 299–305. [Google Scholar] [CrossRef]
- Joharapurkar, A.; Dhanesha, N.; Shah, G.; Kharul, R.; Jain, M. 11β-hydroxysteroid dehydrogenase type 1: Potential therapeutic target for metabolic syndrome. Pharmacol. Rep. 2012, 64, 1055–1085. [Google Scholar] [CrossRef]
- Véniant, M.M.; Hale, C.; Hungate, R.W.; Gahm, K.; Emery, W.G.; Jona, J.; Joseph, S.; Adams, J.; Hague, A.; Moniz, G.; et al. Discovery of a potent, orally active 11β-hydroxysteroid dehydrogenase tyoe 1 inhibitor for clinical study: Identification of (S)-2-((1S,2S,4R)-bicyclo [2.2.1]heptan-2-ylamino)-5-isopropyl-5-methylthiazol-4(5H)-one (AMG 221). J. Med. Chem. 2010, 53, 4481–4487. [Google Scholar] [CrossRef]
- Barf, T.; Vallgårda, J.; Emond, R.; Häggström, C.; Kurz, G.; Nygren, A.; Larwood, V.; Mosialou, E.; Axelsson, K.; Olsson, R.; et al. Arylsulfonamidothiazoles as a new class of potential antidiabetic drugs. Discovert of potent and selective inhibitors of the 11β-hydroxysteroid dehydrogenase type 1. J. Med. Chem. 2002, 45, 3813–3815. [Google Scholar] [CrossRef]
- Goldberg, F.W.; Dossetter, A.G.; Scott, J.S.; Robb, G.R.; Boyd, S.; Groombridge, S.D.; Kemmitt, P.D.; Sjögren, T.; Gutierrez, P.M.; deSchoolmeester, J.; et al. Optimization od brain penetrant 11β-hydroxysteroid dehydrogenase type I inhibitors and in vivo testing in diet-induced obese mice. J. Med. Chem. 2014, 57, 970–986. [Google Scholar] [CrossRef] [PubMed]
- Koike, T.; Shiraki, R.; Sasuga, D.; Hosaka, M.; Kawano, T.; Fukodome, H.; Kurosawa, K.; Mortitomo, A.; Mimasu, S.; Ishii, H.; et al. Discovery and biological evaluation of potent orally active human 11β-hydroxysteroid dehydrogenase type 1 inhibitors for the treatment of type 2 diabetes mellitus. Chem. Pharm. Bull. 2019, 67, 824–838. [Google Scholar] [CrossRef] [PubMed]
- Yuan, C.; St Jean, D.J., Jr.; Liu, Q.; Cai, L.; Li, A.; Han, N.; Moniz, G.; Askew, B.; Hungate, R.W.; Johansson, L.; et al. The discovery of 2-anilinothiazolones as 11β-HSD1 inhibitors. Bioorg. Med. Chem. Lett. 2007, 17, 6056–6061. [Google Scholar] [CrossRef] [PubMed]
- Studzińska, R.; Kołodziejska, R.; Kupczyk, D.; Plaziński, W.; Kosmalski, T. A novel derivatives of thiazol-4(5H)-one and their activity in the inhibition of 11β-hydroxysteroid dehydrogenase type 1. Bioorganic Chem. 2018, 79, 115–121. [Google Scholar] [CrossRef]
- Studzińska, R.; Kołodziejska, R.; Płaziński, W.; Kupczyk, D.; Kosmalski, T.; Jasieniecka, K.; Modzelewska-Banachiewicz, B. Synthesis of the N-methyl Derivatives of 2-Aminothiazol-4(5H)-one and Their Interactions with 11βHSD1-Molecular Modeling and in Vitro Studies. Chem. Biodivers. 2019, 16, e1900065. [Google Scholar] [CrossRef]
- Studzińska, R.; Kupczyk, D.; Płaziński, W.; Baumgart, S.; Bilski, R.; Paprocka, R.; Kołodziejska, R. Novel 2-(adamantan-1-yloamino)thiazol-4(5H)-one derivatives and their inhibitory activity towards 11β-HSD1—Synthesis molecular docking and in vitro studies. Int. J. Mol. Sci. 2021, 22, 8609. [Google Scholar] [CrossRef]
- Kupczyk, D.; Studzińska, R.; Bilski, R.; Baumgart, S.; Kołodziejska, R.; Woźniak, A. Synthesis of novel 2-(isopropylamino)thia-zol-4(5H)-one derivatives and their inhibitory activity of 11β-HSD1 and 11β-HSD2 in aspect of carcinogenesis prevention. Molecules 2020, 25, 4233. [Google Scholar] [CrossRef]
- Kupczyk, D.; Studzińska, R.; Baumgart, S.; Bilski, R.; Kosmalski, T.; Kołodziejska, R.; Woźniak, A. A novel N-tert-butyl derivatives of pseudothiohydantoin as potential target in anti-cancer therapy. Molecules 2021, 26, 2612. [Google Scholar] [CrossRef]
- Johansson, L.; Fotsch, C.; Bartberger, D.M.; Castro, V.M.; Chen, M.; Emery, M.; Gustafsson, S.; Hale, C.; Hickman, D.; Homan, E.; et al. 2-Amino-1,3-thiazol-4(5H)-ones as potent and selective 11β-hydroxysteroid dehydrogenase type 1 inhibitors: Enzyme-ligand Co-crystal structure and demonstration of pharmacodynamic effects in C57Bl/6 mice. J. Med. Chem. 2008, 51, 2933–2943. [Google Scholar] [CrossRef]
- St Jean, D.J., Jr.; Yuan, C.; Bercot, E.A.; Cupples, R.; Chen, M.; Fretland, J.; Hale, C.; Hungate, R.W.; Komorowski, R.; Veniant, M.; et al. 2-(S)-Phenethylaminothiazolones as potent, orally efficacious inhibitors of 11β-hydroxysteriod dehydrogenase type 1. J. Med. Chem. 2007, 50, 429–432. [Google Scholar] [CrossRef]
- Moreno-Díaz, H.; Villalobos-Molina, R.; Ortiz-Andrade, R.; Díaz-Coutiño, D.; Medina-Franco, J.L.; Webster, S.P.; Binnie, M.; Estrada-Soto, S.; Ibarra-Barajas, M.; León-Rivera, I.; et al. Antidiabetic activity of N-(6-substituted-1,3-benzothiazol-2-yl)benzenosulfonamides. Bioorg. Med. Chem. Lett. 2008, 18, 2871–2877. [Google Scholar] [CrossRef] [PubMed]
- Studzińska, R.; Kupczyk, D.; Płazińska, A.; Kołodziejska, R.; Kosmalski, T.; Modzelewska-Banachiewicz, B. Thiazolo [3,2-α]pyrimidin-5-one derivatives as a novel class of 11β-hydroxysteroid dehydrogenase inhibitors. Bioorganic Chem. 2018, 81, 21–26. [Google Scholar] [CrossRef] [PubMed]
- Webster, S.P.; Ward, P.; Binnie, M.; Craigie, E.; McConnell, K.M.M.; Sooy, K.; Vinter, A.; Seckl, J.R.; Walker, B.R. Discovery and biological evaluation of adamantyl amide 11β-HSD1 inhibitors. Bioorganic Med. Chem. Lett. 2007, 17, 2838–2843. [Google Scholar] [CrossRef] [PubMed]
- Gu, X.; Dragovic, J.; Koo, G.C.; Koprak, S.L.; LeGrand, C.; Mundt, S.S.; Shah, K.; Springer, M.S.; Tan, E.Y.; Thieringer, R.; et al. Discovery of 4-heteroarylbicyclo [2.2.2]octyltriazoles as potent and selective inhibitors of 11β-HSD1: Novel therapeutic agents for the treatment of metabolic syndrome. Bioorganic Med. Chem. Lett. 2005, 15, 5266–5269. [Google Scholar] [CrossRef]
- Hermanowski-Vosatka, A.; Balkovec, J.; Cheng, K.; Chen, H.Y.; Hernandez, M.; Koo, G.C.; LeGrand, C.B.; Li, Z.; Metzger, J.M.; Mundt, S.S.; et al. 11β-HSD1 inhibition ameliorates metabolic syndrome and prevents progression of atherosclerosis in mice. J. Exp. Med. 2005, 202, 517–527. [Google Scholar] [CrossRef]
- Kwon, S.W.; Kang, S.K.; Lee, J.H.; Bok, J.H.; Kim, C.H.; Rhee, S.D.; Jung, W.H.; Kim, H.Y.; Bae, M.A.; Song, J.S.; et al. Synthesis and 11β hydroxysteroid dehydrogenase 1 inhibition of thazolidine derivatives with an adamantyl group. Bioorganic Med. Chem. Lett. 2011, 21, 435–439. [Google Scholar] [CrossRef]
- Goldberg, F.W.; Leach, A.G.; Scott, J.S.; Snelson, W.L.; Groombridge, S.D.; Donald, C.S.; Bennett, S.N.L.; Bodin, C.; Gutierrez, P.M.; Gyte, A.C. Free-wilson and structural approaches to co-optimizing human and rodent isoform potency for 11β-hydroxysteroid dehydrogenase type 1 (11β-HSD1) inhibitors. J. Med. Chem. 2012, 55, 10652–10661. [Google Scholar] [CrossRef]
- Ryu, J.R.; Kim, S.; Lee, J.A.; Han, H.Y.; Son, H.J.; Lee, H.J.; Kim, Y.H.; Kim, J.-S.; Park, H. Synthesis and optimization of picolinamide derivatives as a novel class of 11β-hydroxysteroid dehydrogenase type 1 (11β-HSD1) inhibitors. Bioorganic Med. Chem. Lett. 2015, 25, 1679–1683. [Google Scholar] [CrossRef]
- Zhang, C.; Xu, M.; He, C.; Zhuo, J.; Burns, D.M.; Qian, D.; Lin, Q.; Li, Y.; Chen, L.; Shi, E.; et al. Discovery od 1′-(1-phenylcyclopropane-carbonyl)-3H-spiro[isobenzofuran-1,3′-pyrrolidin]-3-one as a novel steroid mimetic scaffold for the potent and tissue-specific inhibition of 11β-HSD1 using a scaffold-hopping approach. Bioorganic Med. Chem. Lett. 2022, 69, 128782. [Google Scholar] [CrossRef]
- Hong, S.P.; Nam, H.Y.; Shin, Y.J.; Kim, K.W.; Ahn, S.K. Discovery of 11β-hydroxysteroid dehydrogenase type 1 inhibitor. Bioorganic Med. Chem. Lett. 2015, 25, 3501–3506. [Google Scholar] [CrossRef]
- Kim, S.H.; Bok, J.H.; Lee, J.H.; Kim, I.H.; Kwon, S.W.; Lee, G.B.; Kang, S.K.; Park, J.S.; Jung, W.H.; Kim, H.Y.; et al. Synthesis and biological evaluation of cyclic sulfamide derivatives as 11β-hydroxysteroid dehydrogenase 1 inhibitors. Med. Chem. Lett. 2012, 3, 88–93. [Google Scholar] [CrossRef] [PubMed][Green Version]
- Park, J.S.; Rhee, S.D.; Jung, W.H.; Kang, N.S.; Kim, H.Y.; Kang, S.K.; Ahn, J.H.; Kim, K.Y. Anti-diabetic and anti-adipogenic effects of a novel selective 11β-hydroxysteroid dehydrogenase type 1 inhibitor in the diet-induced obese mice. Eur. J. Pharm. 2012, 691, 19–27. [Google Scholar] [CrossRef] [PubMed]
- Choi, K.J.; Na, Y.; Jung, W.H.; Park, S.B.; Kang, S.; Nam, H.J.; Ahn, J.H.; Kim, K.Y. Protective effect of a novel selective 11β-HSD1 inhibitor on eye ischemia-reperfusion induced glaucoma. Biochem. Pharmacol. 2019, 169, 113632. [Google Scholar] [CrossRef] [PubMed]
- Lee, J.H.; Bok, J.H.; Park, S.B.; Pagire, H.S.; Na, Y.; Rim, E.; Jung, W.H.; Song, J.S.; Kang, N.S.; Seo, H.W.; et al. Optimization of cyclic sulfamide derivatives as 11β-hydroxysteroid dehydrogenase 1 inhibitors fo the potential treatment of ischemic brain injury. Bioorganic Med. Chem. Lett. 2020, 30, 126787. [Google Scholar] [CrossRef]
- Leiva, R.; McBride, A.; Binnie, M.; Webster, S.P.; Vázquez, S. Exploring N-acyl-4-azatetracyclo [5.3.202,6.08,10]dodec-11-enes as 11β-HSD inhibitors. Molecules 2018, 23, 536. [Google Scholar] [CrossRef]
- Boudon, S.; Heidl, M.; Vuorinen, A.; Wandeler, E.; Campiche, R.; Odermatt, A.; Jackson, E. Design, synthesis, and biological evaluation of novel selective peptide inhibitors of 11β-hydroxysteroid dehydrogenase 1. Bioorganic Med. Chem. 2018, 26, 5128–5139. [Google Scholar] [CrossRef]
- Guan, H.; Wang, Y.; Li, H.; Zhu, Q.; Li, X.; Liang, G.; Ge, R. 5-bis-(2,6-difluoro-benzylidene)cyclopentanone acts as a selective 11β-hydroxysteroid dehydrogenase one inhibitor to treat diet-induced nonalcoholic fatty liver disease in mice. Front. Pharmacol. 2021, 12, 594437. [Google Scholar] [CrossRef]
Publisher’s Note: MDPI stays neutral with regard to jurisdictional claims in published maps and institutional affiliations. |
© 2022 by the authors. Licensee MDPI, Basel, Switzerland. This article is an open access article distributed under the terms and conditions of the Creative Commons Attribution (CC BY) license (https://creativecommons.org/licenses/by/4.0/).