Raman Spectral Characterization of Urine for Rapid Diagnosis of Acute Kidney Injury
Abstract
:1. Introduction
2. Methods and Materials
2.1. Patients and Samples
2.2. Raman Spectral Data Acquisition
2.3. Pre-Processing of the Spectra
2.4. Data Analysis
2.5. Validation of Model Using a Testing Data Set
3. Results and Discussion
3.1. Spectral Analysis
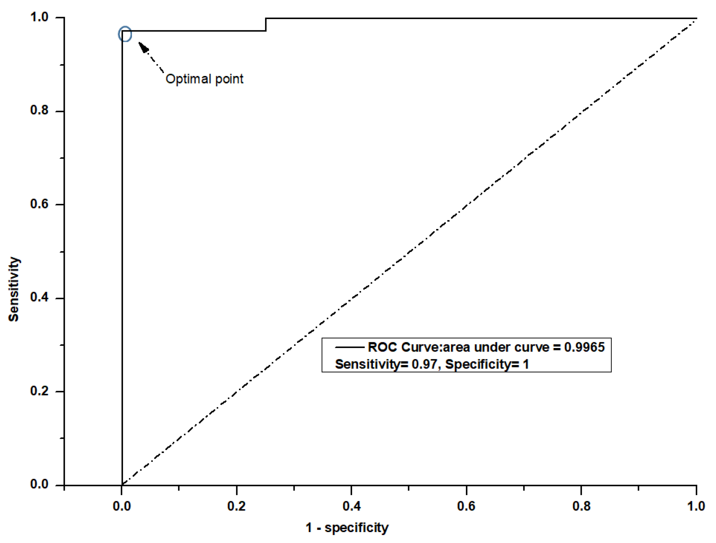
3.2. Evaluation of Model Using Testing Set
4. Conclusions
Author Contributions
Funding
Institutional Review Board Statement
Informed Consent Statement
Data Availability Statement
Acknowledgments
Conflicts of Interest
References
- Liu, L.; Jiang, L.; Yuan, W.; Liu, Z.; Liu, D.; Wei, P.; Zhang, X.; Yi, T. Dual-modality detection of early-stage drug-induced acute kidney injury by an activatable probe. ACS Sensors 2020, 5, 2457–2466. [Google Scholar] [CrossRef] [PubMed]
- Crews, D.C.; Bello, A.K.; Saadi, G. 2019 World Kidney Day Editorial-burden, access, and disparities in kidney disease. Braz. J. Nephrol. 2019, 41, 1–9. [Google Scholar] [CrossRef] [PubMed]
- Chen, C.; Yang, L.; Li, H.; Chen, F.; Chen, C.; Gao, R.; Lv, X.; Tang, J. Raman spectroscopy combined with multiple algorithms for analysis and rapid screening of chronic renal failure. Photodiagn. Photodyn. Ther. 2020, 30, 101792. [Google Scholar] [CrossRef] [PubMed]
- Hoste, E.A.; Kellum, J.A.; Selby, N.M.; Zarbock, A.; Palevsky, P.M.; Bagshaw, S.M.; Goldstein, S.L.; Cerdá, J.; Chawla, L.S. Global epidemiology and outcomes of acute kidney injury. Nat. Rev. Nephrol. 2018, 14, 607–625. [Google Scholar] [CrossRef] [PubMed]
- Laposata, M. Laboratory Medicine Diagnosis of Disease in Clinical Laboratory 2/E; McGraw-Hill Education: New York, NY, USA, 2014. [Google Scholar]
- Žukovskaja, O.; Ryabchykov, O.; Straßburger, M.; Heinekamp, T.; Brakhage, A.A.; Hennings, C.J.; Hübner, C.A.; Wegmann, M.; Cialla-May, D.; Bocklitz, T.W.; et al. Towards Raman spectroscopy of urine as screening tool. J. Biophotonics 2020, 13, e201900143. [Google Scholar] [CrossRef]
- Cordero, E.; Latka, I.; Matthäus, C.; Schie, I.W.; Popp, J. In-vivo Raman spectroscopy: From basics to applications. J. Biomed. Opt. 2018, 23, 071210. [Google Scholar] [CrossRef]
- Saatkamp, C.J.; de Almeida, M.L.; Bispo, J.A.M.; Pinheiro, A.L.B.; Fernandes, A.B.; Silveira, L., Jr. Quantifying creatinine and urea in human urine through Raman spectroscopy aiming at diagnosis of kidney disease. J. Biomed. Opt. 2016, 21, 037001. [Google Scholar] [CrossRef]
- Huang, Z.; McWilliams, A.; Lui, H.; McLean, D.I.; Lam, S.; Zeng, H. Near-infrared Raman spectroscopy for optical diagnosis of lung cancer. Int. J. Cancer 2003, 107, 1047–1052. [Google Scholar] [CrossRef]
- Haka, A.S.; Shafer-Peltier, K.E.; Fitzmaurice, M.; Crowe, J.; Dasari, R.R.; Feld, M.S. Diagnosing breast cancer by using Raman spectroscopy. Proc. Natl. Acad. Sci. USA 2005, 102, 12371–12376. [Google Scholar] [CrossRef] [PubMed]
- Tafintseva, V.; Vigneau, E.; Shapaval, V.; Cariou, V.; Qannari, E.M.; Kohler, A. Hierarchical classification of microorganisms based on high-dimensional phenotypic data. J. Biophotonics 2018, 11, e201700047. [Google Scholar] [CrossRef]
- Jeng, M.J.; Sharma, M.; Sharma, L.; Chao, T.Y.; Huang, S.F.; Chang, L.B.; Wu, S.L.; Chow, L. Raman spectroscopy analysis for optical diagnosis of oral cancer detection. J. Clin. Med. 2019, 8, 1313. [Google Scholar] [CrossRef] [PubMed]
- Jeng, M.J.; Sharma, M.; Sharma, L.; Huang, S.F.; Chang, L.B.; Wu, S.L.; Chow, L. Novel Quantitative Analysis Using Optical Imaging (VELscope) and Spectroscopy (Raman) Techniques for Oral Cancer Detection. Cancers 2020, 12, 3364. [Google Scholar] [CrossRef] [PubMed]
- Rutherford, S.H.; Nordon, A.; Hunt, N.T.; Baker, M.J. Biofluid analysis and classification using IR and 2D-IR spectroscopy. Chemom. Intell. Lab. Syst. 2021, 217, 104408. [Google Scholar] [CrossRef]
- Sahu, A.; Sawant, S.; Mamgain, H.; Krishna, C.M. Raman spectroscopy of serum: An exploratory study for detection of oral cancers. Analyst 2013, 138, 4161–4174. [Google Scholar] [CrossRef]
- Senger, R.S.; Sullivan, M.; Gouldin, A.; Lundgren, S.; Merrifield, K.; Steen, C.; Baker, E.; Vu, T.; Agnor, B.; Martinez, G.; et al. Spectral characteristics of urine from patients with end-stage kidney disease analyzed using Raman Chemometric Urinalysis (Rametrix). PLoS ONE 2020, 15, e0227281. [Google Scholar] [CrossRef]
- Elumalai, B.; Prakasarao, A.; Ganesan, B.; Dornadula, K.; Ganesan, S. Raman spectroscopic characterization of urine of normal and oral cancer subjects. J. Raman Spectrosc. 2015, 46, 84–93. [Google Scholar] [CrossRef]
- Liu, W.; Sun, Z.; Chen, J.; Jing, C. Raman spectroscopy in colorectal cancer diagnostics: Comparison of PCA-LDA and PLS-DA models. J. Spectrosc. 2016, 2016, 1603609. [Google Scholar] [CrossRef]
- Naseer, K.; Ali, S.; Mubarik, S.; Hussain, S.Z.; Qazi, J. Use of ATR-FTIR for detection of Salmonella typhi infection in human blood sera. Infrared Phys. Technol. 2020, 110, 103473. [Google Scholar] [CrossRef]
- Zhang, C.; Han, Y.; Sun, B.; Zhang, W.; Liu, S.; Liu, J.; Lv, H.; Zhang, G.; Kang, X. Label-free serum detection based on Raman spectroscopy for the diagnosis and classification of glioma. J. Raman Spectrosc. 2020, 51, 1977–1985. [Google Scholar] [CrossRef]
- Huttanus, H.M.; Vu, T.; Guruli, G.; Tracey, A.; Carswell, W.; Said, N.; Du, P.; Parkinson, B.G.; Orlando, G.; Robertson, J.L.; et al. Raman chemometric urinalysis (Rametrix) as a screen for bladder cancer. PLoS ONE 2020, 15, e0237070. [Google Scholar] [CrossRef]
- Sharma, M.; Jeng, M.J.; Young, C.K.; Huang, S.F.; Chang, L.B. Developing an Algorithm for Discriminating Oral Cancerous and Normal Tissues Using Raman Spectroscopy. J. Pers. Med. 2021, 11, 1165. [Google Scholar] [CrossRef] [PubMed]
- Jeng, M.J.; Sharma, M.; Chao, T.Y.; Li, Y.C.; Huang, S.F.; Chang, L.B.; Chow, L. Multiclass classification of autofluorescence images of oral cavity lesions based on quantitative analysis. PLoS ONE 2020, 15, e0228132. [Google Scholar] [CrossRef]
- Chen, C.; Yang, L.; Zhao, J.; Yuan, Y.; Chen, C.; Tang, J.; Yang, H.; Yan, Z.; Wang, H.; Lv, X. Urine Raman spectroscopy for rapid and inexpensive diagnosis of chronic renal failure (CRF) using multiple classification algorithms. Optik 2020, 203, 164043. [Google Scholar] [CrossRef]
- Zong, M.; Zhou, L.; Guan, Q.; Lin, D.; Zhao, J.; Qi, H.; Harriman, D.; Fan, L.; Zeng, H.; Du, C. Comparison of surface-enhanced Raman scattering properties of serum and urine for the detection of chronic kidney disease in patients. Appl. Spectrosc. 2021, 75, 412–421. [Google Scholar] [CrossRef] [PubMed]
- Wang, H.; Malvadkar, N.; Koytek, S.; Bylander, J.; Reeves, W.B.; Demirel, M.C. Quantitative analysis of creatinine in urine by metalized nanostructured parylene. J. Biomed. Opt. 2010, 15, 027004. [Google Scholar] [CrossRef] [PubMed]
- Bispo, J.A.M.; de Sousa Vieira, E.E.; Silveira, L., Jr.; Fernandes, A.B. Correlating the amount of urea, creatinine, and glucose in urine from patients with diabetes mellitus and hypertension with the risk of developing renal lesions by means of Raman spectroscopy and principal component analysis. J. Biomed. Opt. 2013, 18, 087004. [Google Scholar] [CrossRef]
- Premasiri, W.R.; Clarke, R.H.; Womble, M.E. Urine analysis by laser Raman spectroscopy. Lasers Surg. Med. 2001, 28, 330–334. [Google Scholar] [CrossRef]
- Lee, L.C.; Liong, C.Y.; Jemain, A.A. Partial least squares-discriminant analysis (PLS-DA) for classification of high-dimensional (HD) data: A review of contemporary practice strategies and knowledge gaps. Analyst 2018, 143, 3526–3539. [Google Scholar] [CrossRef]




| Data Set | Non-AKI | AKI | Total |
|---|---|---|---|
| Training | 84 | 56 | 140 |
| Testing | 36 | 24 | 60 |
| Dataset | Confusion Table | Performance Parameters | ||||
|---|---|---|---|---|---|---|
| PLS-LDA | Non-AKI | AKI | Total | Accuracy (%) | Sensitivity (%) | Specificity (%) |
| Non-AKI | 36 | 0 | 36 | 98.5 | 97 | 100 |
| AKI | 1 | 23 | 24 | |||
Publisher’s Note: MDPI stays neutral with regard to jurisdictional claims in published maps and institutional affiliations. |
© 2022 by the authors. Licensee MDPI, Basel, Switzerland. This article is an open access article distributed under the terms and conditions of the Creative Commons Attribution (CC BY) license (https://creativecommons.org/licenses/by/4.0/).
Share and Cite
Jeng, M.-J.; Sharma, M.; Lee, C.-C.; Lu, Y.-S.; Tsai, C.-L.; Chang, C.-H.; Chen, S.-W.; Lin, R.-M.; Chang, L.-B. Raman Spectral Characterization of Urine for Rapid Diagnosis of Acute Kidney Injury. J. Clin. Med. 2022, 11, 4829. https://doi.org/10.3390/jcm11164829
Jeng M-J, Sharma M, Lee C-C, Lu Y-S, Tsai C-L, Chang C-H, Chen S-W, Lin R-M, Chang L-B. Raman Spectral Characterization of Urine for Rapid Diagnosis of Acute Kidney Injury. Journal of Clinical Medicine. 2022; 11(16):4829. https://doi.org/10.3390/jcm11164829
Chicago/Turabian StyleJeng, Ming-Jer, Mukta Sharma, Cheng-Chia Lee, Yu-Sheng Lu, Chia-Lung Tsai, Chih-Hsiang Chang, Shao-Wei Chen, Ray-Ming Lin, and Liann-Be Chang. 2022. "Raman Spectral Characterization of Urine for Rapid Diagnosis of Acute Kidney Injury" Journal of Clinical Medicine 11, no. 16: 4829. https://doi.org/10.3390/jcm11164829
APA StyleJeng, M.-J., Sharma, M., Lee, C.-C., Lu, Y.-S., Tsai, C.-L., Chang, C.-H., Chen, S.-W., Lin, R.-M., & Chang, L.-B. (2022). Raman Spectral Characterization of Urine for Rapid Diagnosis of Acute Kidney Injury. Journal of Clinical Medicine, 11(16), 4829. https://doi.org/10.3390/jcm11164829

