Sign in to use this feature.

Years

Between: -

Subjects

remove_circle_outline
remove_circle_outline
remove_circle_outline
remove_circle_outline
remove_circle_outline
remove_circle_outline
remove_circle_outline
remove_circle_outline
remove_circle_outline

Journals

remove_circle_outline
remove_circle_outline
remove_circle_outline
remove_circle_outline
remove_circle_outline
remove_circle_outline
remove_circle_outline
remove_circle_outline
remove_circle_outline
remove_circle_outline
remove_circle_outline
remove_circle_outline
remove_circle_outline
remove_circle_outline
remove_circle_outline
remove_circle_outline
remove_circle_outline
remove_circle_outline
remove_circle_outline
remove_circle_outline
remove_circle_outline
remove_circle_outline
remove_circle_outline
remove_circle_outline
remove_circle_outline
remove_circle_outline
remove_circle_outline

Article Types

Countries / Regions

remove_circle_outline
remove_circle_outline
remove_circle_outline
remove_circle_outline
remove_circle_outline
remove_circle_outline
remove_circle_outline
remove_circle_outline

Search Results (6,894)

Search Parameters:
Keywords = partial least squares

Order results
Result details
Results per page
Select all
Export citation of selected articles as:
25 pages, 3259 KB  
Article
Enhancing Near-Infrared Estimation of Total Nitrogen in Manure Slurry by Integrating Contextual Farm Information with MultiScaleSE-GatedCNN
by Hao Liang, Jinwu Li, Qiang Zhang, Ziyu Liu, Beihan Han, Xiongwei Lou, Nan Wang and Yufei Lin
Agriculture 2026, 16(9), 965; https://doi.org/10.3390/agriculture16090965 (registering DOI) - 28 Apr 2026
Abstract
Near-infrared spectroscopy (NIRS) offers significant advantages for the rapid and non-destructive detection of nutrients in livestock manure slurry. However, conventional models based only on spectral features often show limited robustness under cross-seasonal and multi-farm conditions due to differences in farm source, treatment stage, [...] Read more.
Near-infrared spectroscopy (NIRS) offers significant advantages for the rapid and non-destructive detection of nutrients in livestock manure slurry. However, conventional models based only on spectral features often show limited robustness under cross-seasonal and multi-farm conditions due to differences in farm source, treatment stage, and complex spatiotemporal background. To improve the accuracy and applicability of total nitrogen (TN) prediction in dairy farm manure slurry, this study used 747 samples collected from 36 large-scale dairy farms in Tianjin, China, covering 24 treatment stages and four seasons, together with sample-contextual information such as farm name, longitude, latitude, and season. Competitive adaptive reweighted sampling (CARS) was applied to select key wavelengths from near-infrared spectra. On this basis, a multi-branch gated fusion deep learning model, MultiScaleSE-GatedCNN, was developed to integrate spectral and sample-contextual information. The model combines multi-scale one-dimensional convolution for spectral feature extraction, separate encoding branches for numerical and categorical inputs, and a gated fusion unit for adaptive weighting of different information sources. Results showed that partial least squares regression remained a strong baseline under single-source spectral conditions, but the proposed deep learning fusion model achieved superior predictive performance after introducing sample-contextual information. Ablation experiments demonstrated that different combinations of sample-contextual information contributed differently to model performance, and the combination of spectra, farm name, longitude, and season yielded the best results. Under this optimal input combination, MultiScaleSE-GatedCNN achieved a test-set R2 of 0.905, an RMSEP of 367.389, and an RPD of 3.242. These results demonstrate that integrating NIRS with sample-contextual information can effectively improve the accuracy and robustness of TN prediction in dairy farm manure slurry. Full article
Show Figures

Figure 1

28 pages, 913 KB  
Article
Unpacking the Cognitive Architecture of Consumer Resistance to Prefabricated Interior Decoration Systems in China: An Empirical Study Based on Innovation Resistance Theory
by Yu Zhao, Chun Zhu and Wei Wei
Systems 2026, 14(5), 475; https://doi.org/10.3390/systems14050475 - 28 Apr 2026
Abstract
Despite strong policy support for prefabricated interior decoration systems (PIDSs) in China, residential consumer uptake remains limited. Existing research has focused primarily on adoption drivers or industry-side promotion; in contrast, in this study, Innovation Resistance Theory (IRT) is employed to investigate the functional [...] Read more.
Despite strong policy support for prefabricated interior decoration systems (PIDSs) in China, residential consumer uptake remains limited. Existing research has focused primarily on adoption drivers or industry-side promotion; in contrast, in this study, Innovation Resistance Theory (IRT) is employed to investigate the functional and psychological barriers to consumer acceptance in the Chinese residential market. Utilizing data from 476 Chinese consumers, partial least squares structural equation modeling (PLS-SEM) is applied to test a hierarchical mediation framework. The results demonstrate that functional obstacles, specifically risk and usage barriers, do not exhibit a direct association with resistance intention; rather, a significant indirect effect via perceived value and image is observed. Notably, the tradition barrier emerged as the most dominant predictor of resistance, reflecting a deep-seated cultural path dependency on traditional masonry methods and a perceived loss of construction rituals that disrupts system adoption. Furthermore, multi-group analysis (MGA) reveals a paradox of experience: while uninitiated users are resistant based on abstract stereotypes, those with traditional renovation experience are driven by status quo bias, and early adopters of PIDSs are resistant due to negative disconfirmation regarding usage friction and functional inflexibility. These findings suggest that, to achieve system equilibrium, the industry must transition from an industry-centric narrative to one focused on premium quality and user-centric design. Practical implications include the need to de-stigmatize prefabrication as precision manufacturing and to align policy and market interventions more closely with the concerns of individual end-consumers in order to improve residential market acceptance. Full article
Show Figures

Figure 1

23 pages, 1004 KB  
Article
Beyond Green Value: Functional Thresholds and Expertise-Contingent Effects on the Trial-to-Repurchase Gap for Sustainable Personal Care Products
by Changqiu Wen, Yuanfeng Cai and Timothy Lee
Sustainability 2026, 18(9), 4331; https://doi.org/10.3390/su18094331 - 27 Apr 2026
Abstract
Despite the growing interest in organic personal care products (OPCPs), their repurchase remains challenging, as product quality may be difficult to verify even after use. Integrating the theory of consumption values (TCV) with reference dependence theory (RDT), this study conceptualizes post-use loyalty as [...] Read more.
Despite the growing interest in organic personal care products (OPCPs), their repurchase remains challenging, as product quality may be difficult to verify even after use. Integrating the theory of consumption values (TCV) with reference dependence theory (RDT), this study conceptualizes post-use loyalty as a comparative benchmarking process and positions comparative perceived quality (CPQ) as a mechanism linking realized values to repurchase intention (RPI). Using survey data from 298 OPCP consumers, we employed partial least squares structural equation modeling (PLS-SEM), necessary condition analysis (NCA), and importance–performance map analysis (IPMA). The results indicate that efficacy, hedonic, and health values are positively associated with RPI, whereas environmental value is associated with CPQ rather than directly with RPI. CPQ mediates the effects of efficacy and hedonic value on RPI, lending support to comparative evaluation in post-use loyalty formation. Consumer expertise also conditions these relationships, with environmental value more salient among higher-expertise consumers and hedonic cues more influential among lower-expertise consumers. NCA suggests threshold effects for stronger repurchase outcomes, while IPMA highlights consumer expertise as an important but underperforming lever. Overall, the study provides a diagnostic account of the trial–repurchase gap in OPCPs and offers insights into retention in sustainability-oriented credence-based categories. Full article
(This article belongs to the Section Sustainable Products and Services)
Show Figures

Figure 1

27 pages, 2173 KB  
Article
Efficient Incremental SLAM via Information-Guided Gating and Selective Partial Optimization
by Reza Arablouei
Robotics 2026, 15(5), 87; https://doi.org/10.3390/robotics15050087 (registering DOI) - 27 Apr 2026
Abstract
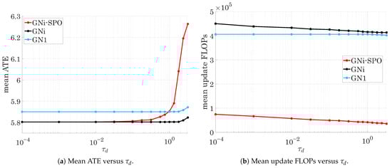
We present an efficient incremental SLAM back-end that reduces computation while preserving accuracy close to that of a full incremental Gauss–Newton (GN) solver across benchmark pose-graph datasets. The method combines information-guided gating (IGG), which uses a log-determinant-based information surrogate to decide when broad [...] Read more.
We present an efficient incremental SLAM back-end that reduces computation while preserving accuracy close to that of a full incremental Gauss–Newton (GN) solver across benchmark pose-graph datasets. The method combines information-guided gating (IGG), which uses a log-determinant-based information surrogate to decide when broad updates are warranted, with selective partial optimization (SPO), which confines multi-iteration GN updates to variables that remain affected after each iteration. We provide a local perturbation analysis, showing that, under standard regularity conditions, the proposed approximation tracks full GN within a threshold-controlled neighborhood and recovers the same local minimizer and asymptotic convergence rate when the effective approximation error vanishes asymptotically. Experiments on benchmark pose-graph SLAM datasets show competitive final and increment-averaged accuracy together with substantial reductions in update and solve FLOPs. These results support IGG-SPO as a practically promising SLAM back-end for robots operating under limited onboard computational resources. Full article
(This article belongs to the Special Issue State of the Art in Mobile Robot Localization)
Show Figures

Figure 1

23 pages, 4775 KB  
Article
The Influence of Plant Features on Affect, Perceived Restorativeness and Use Intention in Indoor Public Spaces
by Lin Ma, Xinggang Hou, Jing Chen, Qiuyuan Zhu, Dengkai Chen and Sara Wilkinson
Land 2026, 15(5), 741; https://doi.org/10.3390/land15050741 (registering DOI) - 27 Apr 2026
Abstract
Urban nature and nature-based solutions are increasingly promoted to enhance public space experience and urban climate resilience. In Public and semi-public indoor settings, biophilic design is considered beneficial for stress reduction and mental health restoration through the introduction of natural elements such as [...] Read more.
Urban nature and nature-based solutions are increasingly promoted to enhance public space experience and urban climate resilience. In Public and semi-public indoor settings, biophilic design is considered beneficial for stress reduction and mental health restoration through the introduction of natural elements such as plants. However, research focusing on the specific visual features of plants and the underlying mechanisms remains limited. Based on 200 indoor greenery images and their multi-dimensional feature vectors, and combined with questionnaire data from 253 valid participants, this study developed a quantitative framework of plant visual features and adopted a two-level analytical approach. At the image level, linear mixed-effects models (LMMs) were used to identify how plant features influenced immediate responses. At the group level, partial least squares structural equation modelling (PLS-SEM) was employed to examine how cumulative restorative experience translated into affective states, perceived restorativeness, and behavioural intention. The results showed that Green View Index (GVI) and species richness were the most stable positive features, while plant health status, certain planting modes, and spatial layer-related features also showed significant effects. Restorative experience influenced behavioural intention mainly through positive affect and perceived restorativeness. These findings provide evidence for biophilic design, offering quantitative support for incorporating indoor public space into broader urban nature and public space framework. Full article
Show Figures

Figure 1

15 pages, 499 KB  
Article
The Influence of Trust, Sustainability Attitudes, and Perceived Retail Access on Purchase Intention in Local Shops: An Extended Theory of Planned Behaviour Approach
by Valentina Hažić, Ivica Faletar and Marija Cerjak
Sustainability 2026, 18(9), 4311; https://doi.org/10.3390/su18094311 - 27 Apr 2026
Abstract
Buying local food can support local economies, but the factors that drive these purchases in specific retail settings, such as local shops, are still not well understood. Research that considers sustainability alongside factors such as trust and perceived retail access remains limited. This [...] Read more.
Buying local food can support local economies, but the factors that drive these purchases in specific retail settings, such as local shops, are still not well understood. Research that considers sustainability alongside factors such as trust and perceived retail access remains limited. This study examines how dimensions of sustainability, trust, and perceived retail access influence purchase intention, using the Theory of Planned Behaviour (TPB). Data were collected via an online survey in Međimurje County, Croatia (n = 303), and analysed using partial least squares structural equation modelling (PLS-SEM), which explained 55% of the variance in purchase intention. The results show that, in addition to attitude, subjective norm, and perceived behavioural control, only the environmental dimension of sustainability significantly influences purchase intention. These findings suggest that consumer decision-making in local shops is more strongly shaped by internal evaluations and perceived environmental benefits than by trust or access. The study provides channel-specific evidence from an intermediated short food supply chain (SFSC) format and shows that the relevance of extended TPB predictors varies across retail contexts. Full article
(This article belongs to the Section Economic and Business Aspects of Sustainability)
Show Figures

Figure 1

30 pages, 727 KB  
Article
When Confidence Becomes Risk: The Interplay of CEO Overconfidence, Strategic Risk-Taking, and Financial Performance in Indonesian Digital Banks
by Amerta Mardjono, Harris Maupa, Ignatius Roni Setyawan and Rizky Yusviento Pelawi
J. Risk Financial Manag. 2026, 19(5), 317; https://doi.org/10.3390/jrfm19050317 - 27 Apr 2026
Abstract
This study examines the interplay between CEO overconfidence, strategic risk-taking, and financial performance within Indonesian digital banks. Grounded in Upper Echelons Theory and behavioral corporate finance, we investigate whether strategic risk-taking serves as an organizational pathway through which CEO overconfidence is more likely [...] Read more.
This study examines the interplay between CEO overconfidence, strategic risk-taking, and financial performance within Indonesian digital banks. Grounded in Upper Echelons Theory and behavioral corporate finance, we investigate whether strategic risk-taking serves as an organizational pathway through which CEO overconfidence is more likely to be associated with specific financial outcomes. We analyzed a census-based, longitudinal dataset of seven Indonesian digital banks from 2014 to 2024. Using Partial Least Squares Structural Equation Modeling (PLS-SEM), we tested a moderated mediation framework incorporating CEO age and gender as contextual characteristics. The empirical results reveal a nuanced pattern: while CEO overconfidence is positively associated with strategic risk-taking, such risk-taking tends to correlate negatively with financial performance. Since these direct and indirect pathways operate in opposite directions, the total association between overconfidence and performance is not statistically significant. This structure suggests that strategic risk-taking represents a primary channel through which the potential downside of CEO overconfidence may be translated into financial outcomes. Furthermore, this negative association appears more pronounced under male leadership, while CEO age exhibits no significant moderating association. Overall, the findings suggest that while CEO overconfidence may align with strategic ambition, its financial implications appear contingent upon the specific risk posture through which it is expressed. Full article
(This article belongs to the Section Business and Entrepreneurship)
Show Figures

Figure 1

17 pages, 1087 KB  
Article
The Role of ChatGPT in Job Crafting: A Study of IT Professionals in Pakistan
by Seema Gul, Sajeela Rabbani and Aqsa Jaleel
Behav. Sci. 2026, 16(5), 655; https://doi.org/10.3390/bs16050655 (registering DOI) - 26 Apr 2026
Abstract
The wake of artificial intelligence (AI) tools has witnessed a lot of changes at workplaces. Job crafting (JC) has also embraced the predictive quality of using AI tools such as ChatGPT. Drawing on Conservation of Resources theory, this study was conducted in is [...] Read more.
The wake of artificial intelligence (AI) tools has witnessed a lot of changes at workplaces. Job crafting (JC) has also embraced the predictive quality of using AI tools such as ChatGPT. Drawing on Conservation of Resources theory, this study was conducted in is an effort to understand the role that ChatGPT plays in job crafting by enhancing work engagement (WE) in the presence of work-related curiosity (WRC). Time-lagged data from 314 employees from the information technology (IT) sector was used to test the relationship by using partial least square structural equation modeling. The results showed that ChatGPT and job crafting are linked to each other in the presence of work engagement. The results further showed that WE mediated and work-related curiosity moderated the relationship between ChatGPT and job crafting. These results are instrumental in understanding the significance of AI adoption in business and can be used as a potential tool for crafting jobs toward other work-related outcomes. The research holds significance for mangers and policymakers of the IT sector in terms of establishing AI adoption to Predict positive behaviors in employees, and it also highlights future avenues. Full article
(This article belongs to the Section Social Psychology)
Show Figures

Figure 1

28 pages, 713 KB  
Article
Unpacking How Anthropomorphic Attribute and Social Presence Foster Consumer Trust and Continued Use of Gen-AI Chatbots: An Integration of AIDUA and Cognitive Appraisal Theory
by Jing Li, Jianglei Wei, Hua Pang and Yungeng Xie
J. Theor. Appl. Electron. Commer. Res. 2026, 21(5), 135; https://doi.org/10.3390/jtaer21050135 - 26 Apr 2026
Abstract
As Gen-AI shopping chatbots become increasingly prevalent in e-commerce, limited research has examined how consumers’ appraisals of interactive cues shape trust and continued use in privacy-sensitive retail settings. Drawing on Cognitive Appraisal Theory (CAT) and the AIDUA framework, this study investigates how novelty [...] Read more.
As Gen-AI shopping chatbots become increasingly prevalent in e-commerce, limited research has examined how consumers’ appraisals of interactive cues shape trust and continued use in privacy-sensitive retail settings. Drawing on Cognitive Appraisal Theory (CAT) and the AIDUA framework, this study investigates how novelty value, anthropomorphic attribute, and social presence influence performance anticipation, effort anticipation, and perceived privacy risk and how these appraisals subsequently shape perceived trust and continued use. Data from 549 experienced users in mainland China were analyzed using partial least squares structural equation modeling (PLS-SEM). The results show that while novelty value enhances performance and effort anticipation, it does not significantly elevate perceived privacy risk. Anthropomorphic attribute positively affects performance anticipation and negatively affects perceived privacy risk, while social presence enhances performance anticipation and effort anticipation and reduces perceived privacy risk. Performance anticipation and effort anticipation positively predict perceived trust, whereas perceived privacy risk negatively predicts perceived trust; perceived trust, in turn, strongly predicts continued use. Mediation analyses further show that cognitive appraisal variables mediate the effects of primary appraisal factors on perceived trust, while perceived trust mediates the effects of cognitive appraisal variables on continued use. Serial mediation results additionally indicate that primary appraisal factors influence continued use through cognitive appraisal and trust formation. These findings deepen understanding of the cognitive and trust-building mechanisms underlying consumer interactions with Gen-AI shopping chatbots and offer practical implications for e-commerce platforms. Full article
Show Figures

Figure 1

20 pages, 508 KB  
Article
Student Employability in the Transition from University to the Labor Market: The Role of Faculty Support and Self-Compassion
by Giovanni Schettino, Maria Francesca Trocino, Ilaria Poderico and Vincenza Capone
Int. J. Environ. Res. Public Health 2026, 23(5), 557; https://doi.org/10.3390/ijerph23050557 (registering DOI) - 25 Apr 2026
Viewed by 151
Abstract
In the current labor market, perceived employability is a key resource for university students approaching the transition from university to work, which is often marked by heightened stress, vulnerability, and unhealthy behaviors, particularly in contexts with high youth unemployment rates. Despite prior research [...] Read more.
In the current labor market, perceived employability is a key resource for university students approaching the transition from university to work, which is often marked by heightened stress, vulnerability, and unhealthy behaviors, particularly in contexts with high youth unemployment rates. Despite prior research documenting the buffering role of perceived employability in the relationships between career-related stressors and well-being, limited evidence exists regarding the roles of faculty support and self-compassion, a fundamental factor for effective emotional regulation, during university years. Consequently, this study aimed to examine the relationships between faculty support, self-compassion, career self-efficacy, career planning, and perceived employability through a self-report questionnaire completed by 186 Italian university students, mainly female, with a mean age of 21.24 (SD = 2.57). Results from a partial least squares model indicated that faculty support was indirectly associated with perceived employability through self-compassion, career self-efficacy, and career planning. These findings could support higher education organizations by suggesting the design of interventions to promote supportive learning environments and to develop training in emotional regulation skills. Such an approach could empower students to effectively cope with career-related stressors and, in turn, engage in adaptive behaviors associated with employability. Full article
(This article belongs to the Special Issue Health Behaviors and Mental Health Among College Students)
Show Figures

Figure 1

27 pages, 4055 KB  
Article
Influence Mechanisms and Guiding Strategies of College Students’ Intention and Behavior of Using Smartwatches for Health Management Based on UTAUT2
by Xinhui Hong and Kaihong Huang
Appl. Sci. 2026, 16(9), 4213; https://doi.org/10.3390/app16094213 - 25 Apr 2026
Viewed by 220
Abstract
With the deep integration of AI and IoT technologies, smartwatches have become core terminals for health management. However, research on the use mechanisms among “digital native” college students remains limited. Extending the Unified Theory of Acceptance and Use of Technology 2 (UTAUT2) and [...] Read more.
With the deep integration of AI and IoT technologies, smartwatches have become core terminals for health management. However, research on the use mechanisms among “digital native” college students remains limited. Extending the Unified Theory of Acceptance and Use of Technology 2 (UTAUT2) and selected constructs from the Health Action Process Approach (HAPA), this study uncovers the drivers and barriers of youths’ smartwatch health function adoption to propose targeted design strategies. A mixed-methods approach was employed, collecting semi-structured questionnaire data from 226 Chinese college students. Quantitative analysis was conducted (n = 106) using Partial Least Squares Structural Equation Modeling (PLS-SEM), complemented by qualitative text mining of open-ended feedback from non-users and churned users. The model demonstrated robust predictive power, supporting five hypotheses. Habit and action planning emerged as core antecedents of use intention, which significantly promoted actual use behavior. Effort expectancy acted as a baseline hygiene factor positively influencing performance expectancy. Qualitative findings confirmed that insufficient sensor accuracy and “health data anxiety” are critical psychological barriers. Validating the integrated model’s effectiveness, we propose three strategic interventions: enhancing data precision to build trust, implementing tiered pricing, and designing anxiety-alleviating visual interfaces, offering theoretical and empirical foundations for optimizing smart health products. Full article
Show Figures

Figure 1

46 pages, 1895 KB  
Article
Aero-Engine Quality Assessment Under the RAMS Framework: Coupling Interval Type-2 Fuzzy Group Decision-Making with PLS-SEM for Dimensional Correlation Modelling
by Yuhui Wang, Sining Xu, Xiangjun Cheng and Borui Xie
Systems 2026, 14(5), 464; https://doi.org/10.3390/systems14050464 (registering DOI) - 24 Apr 2026
Viewed by 110
Abstract
Aero-engine quality assessment under the RAMS framework faces two persistent challenges: the inherent epistemic and linguistic uncertainty in expert evaluation, and the systematic neglect of inter-dimensional coupling. This paper proposes an integrated assessment method that combines Interval Type-2 Fuzzy Sets (IT2FS)-based group decision-making [...] Read more.
Aero-engine quality assessment under the RAMS framework faces two persistent challenges: the inherent epistemic and linguistic uncertainty in expert evaluation, and the systematic neglect of inter-dimensional coupling. This paper proposes an integrated assessment method that combines Interval Type-2 Fuzzy Sets (IT2FS)-based group decision-making with Partial Least Squares Structural Equation Modeling (PLS-SEM). At the measurement level, IT2FS encodes dual-layered uncertainty through the Footprint of Uncertainty (FOU); multi-expert judgments are aggregated via the fuzzy weighted geometric average operator and defuzzified using the Karnik–Mendel algorithm. At the structural level, a reflective second-order PLS-SEM model built on the RAMS framework enables parametric estimation and significance testing of inter-dimensional coupling. Validation on a 63-engine turbofan dataset confirms that all measurement model criteria are satisfied, the second-order model explains 82.4% of the variance in overall quality (R2 = 0.824), and predictive relevance is strong (Q2 = 0.567). Comparative experiments against three benchmark methods demonstrate consistent advantages in quality grade discrimination, information richness, sensitivity to technical improvements, and ranking robustness. These properties position the framework as a statistically rigorous, model-based complement to existing condition-monitoring and digital health management systems for complex propulsion systems, supporting quantitative decision-making within digital engineering programmes. Full article
23 pages, 927 KB  
Article
Digital Capability, Environmental Strategy Orientation, and Sustainable Organizational Performance: A Sequential Mediation Model of Environmental Management Accounting and Decision Quality
by Mingxing Li, Yuqing Fan, Xiaoge Zhang, Muhammad Amir and Haibin Zhang
Sustainability 2026, 18(9), 4262; https://doi.org/10.3390/su18094262 (registering DOI) - 24 Apr 2026
Viewed by 731
Abstract
Despite increasing investments in digital transformation and sustainability initiatives, many organizations struggle to translate these efforts into measurable sustainable organizational performance, particularly in emerging economies, where resource constraints and institutional pressures persist. This study examines how digital capability and environmental strategy orientation contribute [...] Read more.
Despite increasing investments in digital transformation and sustainability initiatives, many organizations struggle to translate these efforts into measurable sustainable organizational performance, particularly in emerging economies, where resource constraints and institutional pressures persist. This study examines how digital capability and environmental strategy orientation contribute to sustainable organizational performance through the sequential mediating roles of environmental management accounting (EMA) integration and managerial decision quality. Drawing on dynamic capability theory and the natural resource-based view, this study proposes a moderated mediation model incorporating technology readiness and environmental regulatory pressure. Data were collected from 479 middle- and senior-level managers of ISO 14001-certified manufacturing firms in Pakistan and analyzed using partial least squares structural equation modeling (PLS-SEM). The results indicate that both digital capability and environmental strategy orientation significantly enhance EMA integration, which in turn improves managerial decision quality and ultimately drives sustainable organizational performance. The findings confirm the presence of sequential mediation through EMA integration and decision quality. Furthermore, technology readiness strengthens the relationship between digital capability and EMA integration, whereas environmental regulatory pressure does not significantly moderate the relationship between environmental strategy orientation and EMA integration. This study contributes to the sustainability literature by introducing a novel sequential mediation mechanism linking digital and strategic capabilities to sustainability outcomes through accounting-based processes. It also provides empirical evidence offering practical insights for managers and policymakers aiming to enhance sustainability performance. The findings provide context-specific insights from an emerging economy and contribute to advancing organizational sustainability in line with SDGs 8, 12, and 13. Full article
(This article belongs to the Section Economic and Business Aspects of Sustainability)
Show Figures

Figure 1

17 pages, 454 KB  
Article
Internet Gaming and Mental Health Among Late Adolescence University Students: Study Discipline as a Moderator
by Ibrahim A. Elshaer, Chokri Kooli, Tarik A. Jasim and Alaa M. S. Azazz
Adolescents 2026, 6(3), 38; https://doi.org/10.3390/adolescents6030038 (registering DOI) - 24 Apr 2026
Viewed by 88
Abstract
Internet Gaming Disorder (IGD) has emerged as an increasingly prevalent behavioral health concern among late adolescent university students, a vulnerable population with emotional distress due to the developmental changes and academic pressures. This research explored the direct correlations between IGD and Mental Health [...] Read more.
Internet Gaming Disorder (IGD) has emerged as an increasingly prevalent behavioral health concern among late adolescent university students, a vulnerable population with emotional distress due to the developmental changes and academic pressures. This research explored the direct correlations between IGD and Mental Health Disorder (MHD), such as depression, anxiety, and stress in Saudi Arabia (SA) with study discipline as a moderator. A total of 480 students participated in the developed self-structured questionnaire, and Partial Least Squares Structural Equation Modeling (PLS-SEM) was employed to analyze the obtained data. The results showed that IGD can exert a positive and significant association with all three aspects of MHD. Moreover, the PLS-SEM slope analysis indicated that study discipline can significantly moderate the link from IGD to both anxiety and depression, with university students in health, science, and engineering fields displaying higher symptoms of depression and anxiety as compared to their peers in humanities and social sciences. However, study discipline failed to moderate the link from IGD to stress. These findings can be interpreted through maladaptive coping mechanisms and behavioral addiction, whereby extreme IG can contribute to social withdrawal, reduce sleep quality, and worsen stress regulation, specifically during the late adolescence period. The results extend current research on IGD by emphasizing the disciplinary differences in mental health vulnerability and offering more empirical evidence from a Middle Eastern context. The study highlighted the urgent need for discipline-oriented mental health screening and targeted proactive interventions to deal with unsettled IG attitude within a higher education context. Full article
26 pages, 3118 KB  
Article
Dietary Modulation of Gut Microbiota and Metabolome Shapes Growth Performance in Thamnaconus septentrionalis
by Qinmei Fang, Ling Ke, Li Bian, Shuigen Li, Hongshu Chi, Yongcong Chen, Ximin Qiu, Shaohua Shi and Siqing Chen
Animals 2026, 16(9), 1312; https://doi.org/10.3390/ani16091312 - 24 Apr 2026
Viewed by 171
Abstract
Thamnaconus septentrionalis is an economically important marine aquaculture species in China. However, the acceptance rate of formulated feeds in commercial farming is only 30–40%, substantially lower than the 80–90% achieved with fresh feeds, which severely constrains the intensive development of this industry. The [...] Read more.
Thamnaconus septentrionalis is an economically important marine aquaculture species in China. However, the acceptance rate of formulated feeds in commercial farming is only 30–40%, substantially lower than the 80–90% achieved with fresh feeds, which severely constrains the intensive development of this industry. The gut microbiota-mediated regulatory mechanisms underlying the effects of different feed types on growth performance remain unclear, limiting the precise development of efficient formulated feeds. This study established four feed types (commercial pellet feed K, custom-formulated feed P, frozen shrimp X, and fresh fish meat Y) through a 60-day feeding trial. Growth performance data, 16S rRNA sequencing, and untargeted metabolomics were analyzed. Random Forest-Partial Least Squares Regression models were employed to identify key microbial-metabolite features. Results indicated that the Y group exhibited the optimal feed conversion ratio (1.14), with intestinal Firmicutes abundance (45.3%) significantly higher than the K group (28.5%). Short-chain fatty acid levels increased by more than 350-fold, enriching short-chain fatty acid-producing bacteria such as Lactobacillus and Faecalibacterium. The P group, formulated with high fishmeal content (40%), achieved performance levels comparable to the Y group across most indicators. Machine learning models identified key microbial-metabolite features predicting growth performance, providing a multi-omics framework for developing efficient formulated feeds for marine carnivorous fish. Full article
(This article belongs to the Special Issue Advances in Research on Functional Genes and Economic Traits in Fish)
Show Figures

Figure 1

Back to TopTop