Antioxidant, Antitumoral, Antimicrobial, and Prebiotic Activity of Magnetite Nanoparticles Loaded with Bee Pollen/Bee Bread Extracts and 5-Fluorouracil
Abstract
1. Introduction
2. Materials and Methods
2.1. Materials
2.2. Synthesis of Magnetic Nanoparticles and Loading with Bioactive Compounds
2.3. Characterization of the Magnetic-Based Systems
2.4. Antitumoral Agent Release Behavior
2.5. Phenolic Compounds Release Profiles
2.6. Antioxidant Activity
2.6.1. Determination of Free-Radical Scavenging Capacity (DPPH)
2.6.2. Ferric Reducing Antioxidant Power (FRAP) Method
2.6.3. Cupric Reducing Antioxidant Capacity (CUPRAC) Assay
2.7. Biological Activity of Magnetic-Based Systems
2.7.1. Qualitative Evaluation of Antibacterial Activity
2.7.2. Quantitative Evaluation of Antibacterial Activity
2.7.3. Semiquantitative Assessment of Microbial Adherence to the Inert Substratum
2.7.4. Evaluation of the Influence of the Magnetic-Based Systems on the Growth of a Microbial Strain with Probiotic Potential
2.7.5. The Antiproliferative Assay
2.8. Statistical Analysis
3. Results and Discussion
3.1. Magnetic-Based Systems Characterization
3.1.1. Transmission Electron Microscopy
3.1.2. Scanning Electron Microscopy and Energy Dispersive X-ray Assay
3.1.3. VSM Analysis
3.1.4. X-ray Diffraction
3.1.5. FT-IR Spectroscopy
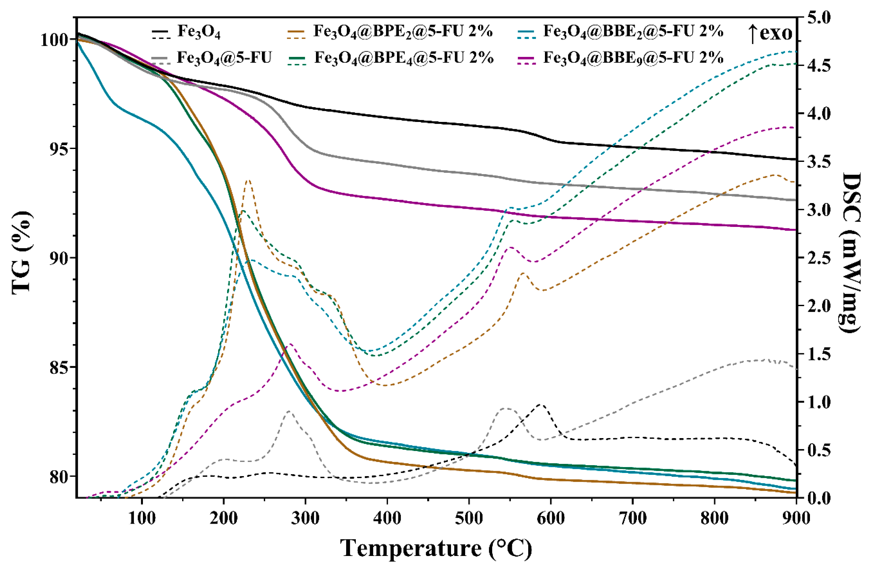
3.1.6. Thermal Analysis
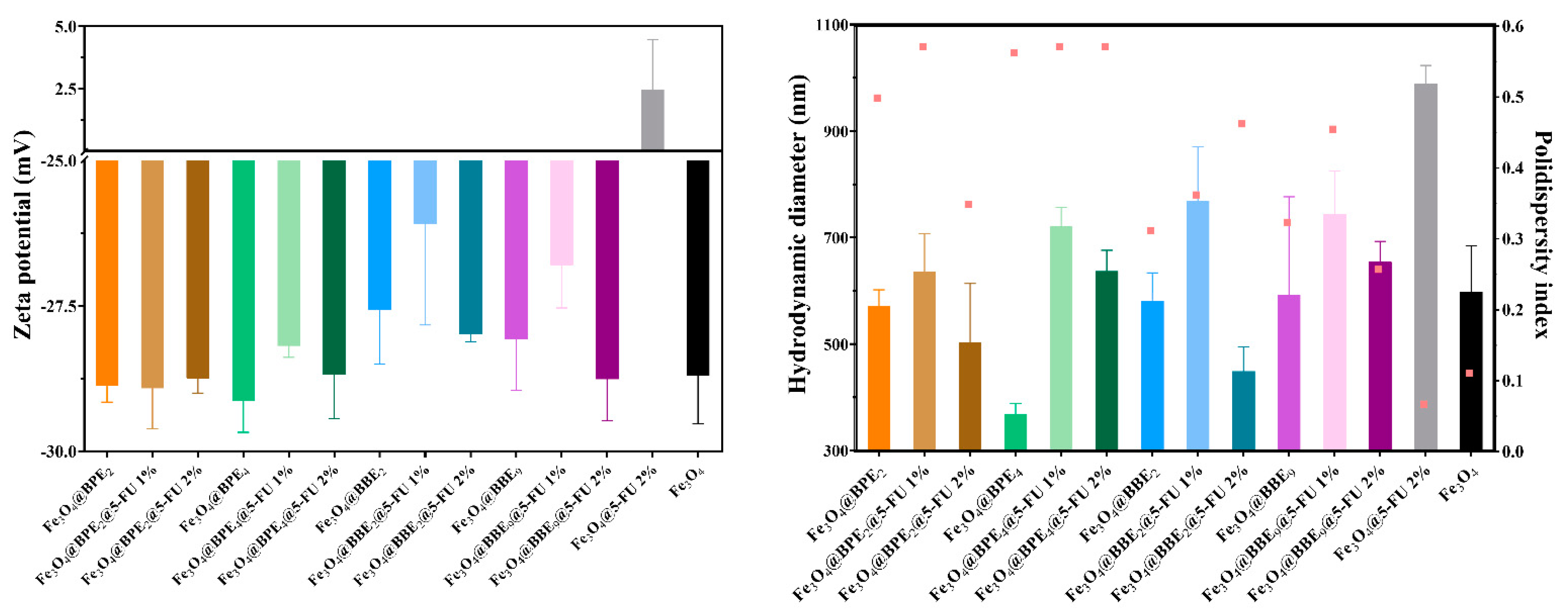
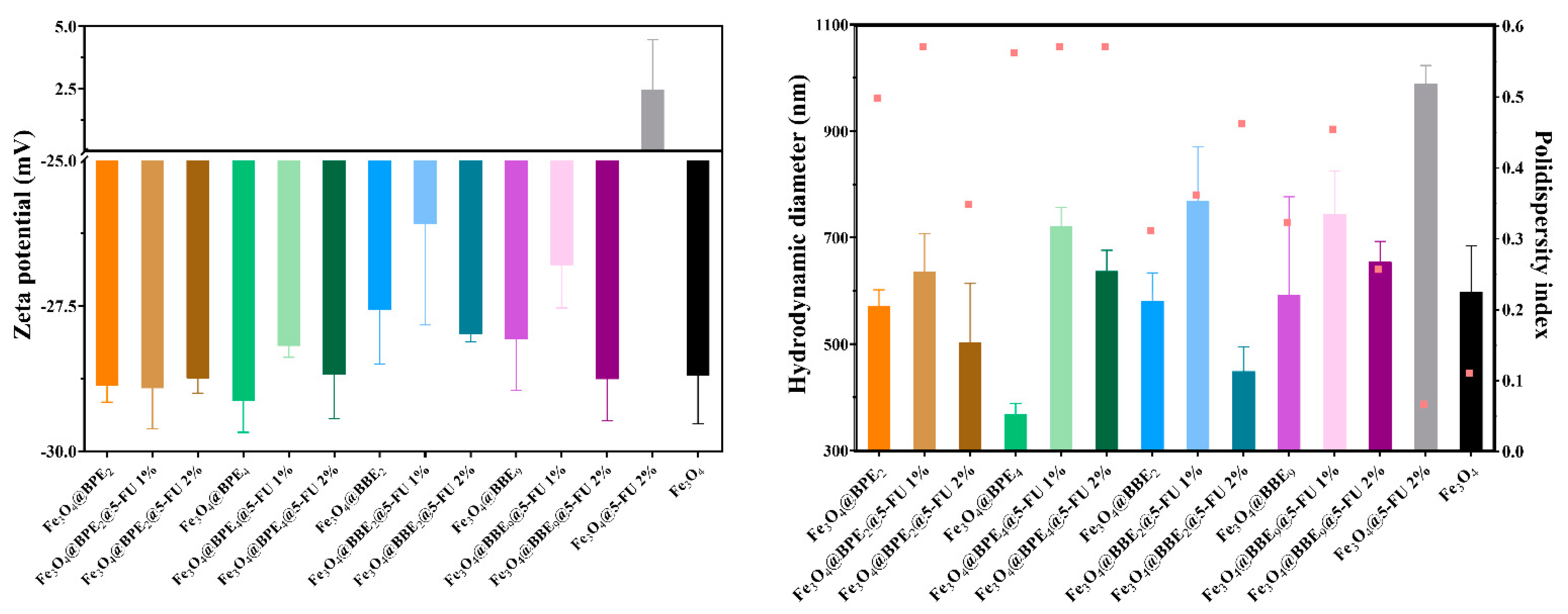
3.1.7. DLS Assay
3.2. Bioactive Agents’ Release Behavior
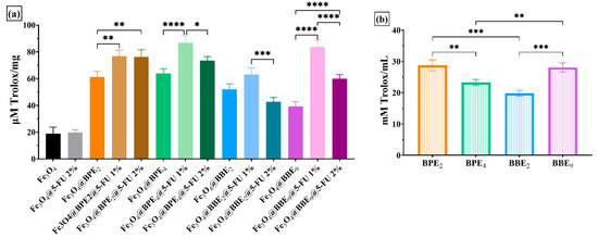
3.3. Antioxidant Activity
3.4. Antibacterial Activity
3.4.1. Qualitative Assessment
3.4.2. Minimum Inhibitory Concentration Assay
3.4.3. Semiquantitative Assay of the Bacterial Adherence to the Inert Substratum
3.5. Influence of Bioactive Compounds against Probiotic Bacteria
3.6. The Antiproliferative Assay
4. Conclusions
Author Contributions
Funding
Institutional Review Board Statement
Informed Consent Statement
Data Availability Statement
Acknowledgments
Conflicts of Interest
References
- Revia, R.A.; Zhang, M. Magnetite nanoparticles for cancer diagnosis, treatment, and treatment monitoring: Recent advances. Mater. Today 2016, 19, 157–168. [Google Scholar] [CrossRef] [PubMed]
- Poonam, L.; Jing, W. Magnetite Nanoparticles (Fe3O4) for Radio-Frequency and Microwave Applications. In Iron Oxide Nanoparticles; Huang, X.-L., Ed.; IntechOpen: Rijeka, Croatia, 2022; Chapter 5. [Google Scholar]
- Campos, E.A.; Stockler Pinto, D.V.B.; Oliveira, J.I.S.d.; Mattos, E.D.C.; Dutra, R.D.C.L. Synthesis, Characterization and Applications of Iron Oxide Nanoparticles—A Short Review. J. Aerosp. Technol. Manag. 2015, 7, 267–276. [Google Scholar] [CrossRef]
- Chircov, C.; Dumitru, I.A.; Vasile, B.S.; Oprea, O.C.; Holban, A.M.; Popescu, R.C. Microfluidic Synthesis of Magnetite Nanoparticles for the Controlled Release of Antibiotics. Pharmaceutics 2023, 15, 2215. [Google Scholar] [CrossRef] [PubMed]
- Wlodarczyk, A.; Gorgon, S.; Radon, A.; Bajdak-Rusinek, K. Magnetite Nanoparticles in Magnetic Hyperthermia and Cancer Therapies: Challenges and Perspectives. Nanomaterials 2022, 12, 1807. [Google Scholar] [CrossRef] [PubMed]
- Patel, N.N.; Mulla, N.R.; Khot, V.M.; Patil, R.S. Anticancer activity of surface functionalized magnetite (Fe3O4) nanoparticles—Effect of polymer coating. Emergent Mater. 2023, 7, 1071–1080. [Google Scholar] [CrossRef]
- Rojas-Aguirre, Y.; Rizo, J.; Martínez-Aguilera, M.; Rodríguez-Hernández, A.; Díaz-Bello, B.; Vázquez-Victorio, G.; Domínguez, H.; Mendoza-Cruz, R.; Betancourt, I.; Ortega-Galindo, S.; et al. Facet-dependent magnetic properties of magnetite nanoparticles coated with dodecyl amine and their biological effect in hepatocarcinoma cell line. J. Mater. Sci. 2024, 59, 991–1009. [Google Scholar] [CrossRef]
- Spoiala, A.; Ilie, C.I.; Motelica, L.; Ficai, D.; Semenescu, A.; Oprea, O.C.; Ficai, A. Smart Magnetic Drug Delivery Systems for the Treatment of Cancer. Nanomaterials 2023, 13, 876. [Google Scholar] [CrossRef] [PubMed]
- Del Sol-Fernandez, S.; Martinez-Vicente, P.; Gomollon-Zueco, P.; Castro-Hinojosa, C.; Gutierrez, L.; Fratila, R.M.; Moros, M. Magnetogenetics: Remote activation of cellular functions triggered by magnetic switches. Nanoscale 2022, 14, 2091–2118. [Google Scholar] [CrossRef]
- Shah, S.T.; Chowdhury, Z.Z.; Johan, M.R.B.; Badruddin, I.A.; Khaleed, H.M.T.; Kamangar, S.; Alrobei, H. Surface Functionalization of Magnetite Nanoparticles with Multipotent Antioxidant as Potential Magnetic Nanoantioxidants and Antimicrobial Agents. Molecules 2022, 27, 789. [Google Scholar] [CrossRef]
- Chircov, C.; Petcu, M.-C.; Vasile, B.S.; Purcareanu, B.; Nicoara, A.I.; Oprea, O.C.; Popescu, R.C. Irinotecan-loaded magnetite-silica core-shell systems for colorectal cancer treatment. Int. J. Pharm. 2024, 661, 124420. [Google Scholar] [CrossRef]
- El-Guendouz, S.; Lyoussi, B.; Lourenço, J.P.; Rosa da Costa, A.M.; Miguel, M.G.; Barrocas Dias, C.; Manhita, A.; Jordao, L.; Nogueira, I.; Faleiro, M.L. Magnetite nanoparticles functionalized with propolis against methicillin resistant strains of Staphylococcus aureus. J. Taiwan. Inst. Chem. E 2019, 102, 25–33. [Google Scholar] [CrossRef]
- Ullah, M.; Kim, D.-S.; Hun Park, K. Evaluating antioxidant activity of phenolic mediated Fe3O4 nanoparticles using Usnea Longissimma methanol extract. Results Chem. 2022, 4, 100661. [Google Scholar] [CrossRef]
- Matias-Reyes, A.E.; Alvarado-Noguez, M.L.; Perez-Gonzalez, M.; Carbajal-Tinoco, M.D.; Estrada-Muniz, E.; Fuentes-Garcia, J.A.; Vega-Loyo, L.; Tomas, S.A.; Goya, G.F.; Santoyo-Salazar, J. Direct Polyphenol Attachment on the Surfaces of Magnetite Nanoparticles, Using Vitis vinifera, Vaccinium corymbosum, or Punica granatum. Nanomaterials 2023, 13, 2450. [Google Scholar] [CrossRef] [PubMed]
- Rosman, R.; Saifullah, B.; Maniam, S.; Dorniani, D.; Hussein, M.Z.; Fakurazi, S. Improved Anticancer Effect of Magnetite Nanocomposite Formulation of GALLIC Acid (Fe(3)O(4)-PEG-GA) Against Lung, Breast and Colon Cancer Cells. Nanomaterials 2018, 8, 83. [Google Scholar] [CrossRef] [PubMed]
- Sagir, T.; Huysal, M.; Durmus, Z.; Kurt, B.Z.; Senel, M.; Isik, S. Preparation and in vitro evaluation of 5-flourouracil loaded magnetite-zeolite nanocomposite (5-FU-MZNC) for cancer drug delivery applications. Biomed. Pharmacother. 2016, 77, 182–190. [Google Scholar] [CrossRef] [PubMed]
- World Health Organization. Colorectal Cancer. 2023. Available online: https://www.who.int/news-room/fact-sheets/detail/colorectal-cancer (accessed on 27 April 2024).
- Morgan, E.A.-O.; Arnold, M.A.-O.; Gini, A.A.-O.; Lorenzoni, V.; Cabasag, C.J.; Laversanne, M.; Vignat, J.; Ferlay, J.; Murphy, N.A.-O.; Bray, F. Global burden of colorectal cancer in 2020 and 2040: Incidence and mortality estimates from GLOBOCAN, (1468–3288 (Electronic)). Gut 2023, 72, 338–344. [Google Scholar] [CrossRef] [PubMed]
- Wu, S.; Rhee, K.J.; Albesiano, E.; Rabizadeh, S.; Wu, X.; Yen, H.R.; Huso, D.L.; Brancati, F.L.; Wick, E.; McAllister, F.; et al. A human colonic commensal promotes colon tumorigenesis via activation of T helper type 17 T cell responses. Nat. Med. 2009, 15, 1016–1022. [Google Scholar] [CrossRef] [PubMed]
- Siddiqui, R.; Boghossian, A.; Alharbi, A.M.; Alfahemi, H.; Khan, N.A. The Pivotal Role of the Gut Microbiome in Colorectal Cancer. Biology 2022, 11, 1642. [Google Scholar] [CrossRef] [PubMed]
- Liu, Y.; Lau, H.C.; Cheng, W.Y.; Yu, J. Gut Microbiome in Colorectal Cancer: Clinical Diagnosis and Treatment. Genom. Proteom. Bioinform. 2023, 21, 84–96. [Google Scholar] [CrossRef]
- Lazar, V.; Ditu, L.M.; Pircalabioru, G.G.; Gheorghe, I.; Curutiu, C.; Holban, A.M.; Picu, A.; Petcu, L.; Chifiriuc, M.C. Aspects of Gut Microbiota and Immune System Interactions in Infectious Diseases, Immunopathology, and Cancer. Front. Immunol. 2018, 9, 1830. [Google Scholar] [CrossRef]
- Wong, S.H.; Yu, J. Gut microbiota in colorectal cancer: Mechanisms of action and clinical applications. Nat. Rev. Gastroenterol. Hepatol. 2019, 16, 690–704. [Google Scholar] [CrossRef] [PubMed]
- Zou, S.; Yang, C.; Zhang, J.; Zhong, D.; Meng, M.; Zhang, L.; Chen, H.; Fang, L. Multi-omic profiling reveals associations between the gut microbiome, host genome and transcriptome in patients with colorectal cancer. J. Transl. Med. 2024, 22, 175. [Google Scholar] [CrossRef] [PubMed]
- Li, L.; Li, X.; Zhong, W.; Yang, M.; Xu, M.; Sun, Y.; Ma, J.; Liu, T.; Song, X.; Dong, W.; et al. Gut microbiota from colorectal cancer patients enhances the progression of intestinal adenoma in Apc(min/+) mice. Ebiomedicine 2019, 48, 301–315. [Google Scholar] [CrossRef] [PubMed]
- Wan, L.; Li, H.; Sun, G.; Zhang, L.; Xu, H.; Su, F.; He, S.; Xiao, F. Mutational Pattern Induced by 5-Fluorouracil and Oxaliplatin in the Gut Microbiome. Front. Microbiol. 2022, 13, 841458. [Google Scholar] [CrossRef] [PubMed]
- Lo, E.K.K.; Leung, H.K.M.; Zhang, F.; El-Nezami, H. Gut microbiota: Impact on 5-fluorouracil efficacy and toxicity. Curr. Opin. Toxicol. 2023, 36, 100423. [Google Scholar] [CrossRef]
- Ashique, S.; Bhowmick, M.; Pal, R.; Khatoon, H.; Kumar, P.; Sharma, H.; Garg, A.; Kumar, S.; Das, U. Multi drug resistance in Colorectal Cancer- approaches to overcome, advancements and future success. Adv. Cancer Biol. Metastasis 2024, 10, 100114. [Google Scholar] [CrossRef]
- Danielsen, A.S.; Franconeri, L.; Page, S.; Myhre, A.E.; Tornes, R.A.; Kacelnik, O.; Bjornholt, J.V. Clinical outcomes of antimicrobial resistance in cancer patients: A systematic review of multivariable models. BMC Infect. Dis. 2023, 23, 247. [Google Scholar] [CrossRef] [PubMed]
- Pfab, C.; Abgaryan, A.; Danzer, B.; Mourtada, F.; Ali, W.; Gessner, A.; El-Najjar, N. Ceftazidime and cefepime antagonize 5-fluorouracil's effect in colon cancer cells. BMC Cancer 2022, 22, 125. [Google Scholar] [CrossRef] [PubMed]
- Yuan, L.; Zhang, S.; Li, H.; Yang, F.; Mushtaq, N.; Ullah, S.; Shi, Y.; An, C.; Xu, J. The influence of gut microbiota dysbiosis to the efficacy of 5-Fluorouracil treatment on colorectal cancer. Biomed. Pharmacother. 2018, 108, 184–193. [Google Scholar] [CrossRef] [PubMed]
- McDowell, R.; Perrott, S.; Murchie, P.; Cardwell, C.; Hughes, C.; Samuel, L. Oral antibiotic use and early-onset colorectal cancer: Findings from a case-control study using a national clinical database. Br. J. Cancer 2022, 126, 957–967. [Google Scholar] [CrossRef]
- Simin, J.; Fornes, R.; Liu, Q.; Olsen, R.S.; Callens, S.; Engstrand, L.; Brusselaers, N. Antibiotic use and risk of colorectal cancer: A systematic review and dose-response meta-analysis. Br. J. Cancer 2020, 123, 1825–1832. [Google Scholar] [CrossRef] [PubMed]
- Cheung, K.S.; Chan, E.W.; Tam, A.; Wong, I.O.L.; Seto, W.K.; Hung, I.F.N.; Wong, I.C.K.; Leung, W.K. Association between antibiotic consumption and colon and rectal cancer development in older individuals: A territory-wide study. Cancer Med. 2022, 11, 3863–3872. [Google Scholar] [CrossRef] [PubMed]
- Gao, Q.; Feng, J.; Liu, W.; Wen, C.; Wu, Y.; Liao, Q.; Zou, L.; Sui, X.; Xie, T.; Zhang, J.; et al. Opportunities and challenges for co-delivery nanomedicines based on combination of phytochemicals with chemotherapeutic drugs in cancer treatment. Adv. Drug Deliv. Rev. 2022, 188, 114445. [Google Scholar] [CrossRef] [PubMed]
- Constantin, M.; Chifiriuc, M.C.; Mihaescu, G.; Corcionivoschi, N.; Burlibasa, L.; Bleotu, C.; Tudorache, S.; Mitache, M.M.; Filip, R.; Munteanu, S.-G.; et al. Microbiome and cancer: From mechanistic implications in disease progression and treatment to development of novel antitumoral strategies. Front. Immunol. 2024, 15, 1373504. [Google Scholar] [CrossRef] [PubMed]
- Plamada, D.; Vodnar, D.C. Polyphenols-Gut Microbiota Interrelationship: A Transition to a New Generation of Prebiotics. Nutrients 2021, 14, 137. [Google Scholar] [CrossRef] [PubMed]
- Rodriguez-Daza, M.C.; Pulido-Mateos, E.C.; Lupien-Meilleur, J.; Guyonnet, D.; Desjardins, Y.; Roy, D. Polyphenol-Mediated Gut Microbiota Modulation: Toward Prebiotics and Further. Front. Nutr. 2021, 8, 689456. [Google Scholar] [CrossRef] [PubMed]
- Chairez-Ramirez, M.H.; de la Cruz-Lopez, K.G.; Garcia-Carranca, A. Polyphenols as Antitumor Agents Targeting Key Players in Cancer-Driving Signaling Pathways. Front. Pharmacol. 2021, 12, 710304. [Google Scholar] [CrossRef] [PubMed]
- Kim, K.H.; Ki, M.R.; Min, K.H.; Pack, S.P. Advanced Delivery System of Polyphenols for Effective Cancer Prevention and Therapy. Antioxidants 2023, 12, 1048. [Google Scholar] [CrossRef] [PubMed]
- Rudzinska, A.; Juchaniuk, P.; Oberda, J.; Wisniewska, J.; Wojdan, W.; Szklener, K.; Mandziuk, S. Phytochemicals in Cancer Treatment and Cancer Prevention-Review on Epidemiological Data and Clinical Trials. Nutrients 2023, 15, 1896. [Google Scholar] [CrossRef] [PubMed]
- Ilie, C.I.; Oprea, E.; Geana, E.I.; Spoiala, A.; Buleandra, M.; Gradisteanu Pircalabioru, G.; Badea, I.A.; Ficai, D.; Andronescu, E.; Ficai, A.; et al. Bee Pollen Extracts: Chemical Composition, Antioxidant Properties, and Effect on the Growth of Selected Probiotic and Pathogenic Bacteria. Antioxidants 2022, 11, 959. [Google Scholar] [CrossRef]
- Ilie, C.I.; Spoiala, A.; Geana, E.I.; Chircov, C.; Ficai, A.; Ditu, L.M.; Oprea, E. Bee Bread: A Promising Source of Bioactive Compounds with Antioxidant Properties-First Report on Some Antimicrobial Features. Antioxidants 2024, 13, 353. [Google Scholar] [CrossRef]
- Pelka, K.; Bin Hafeez, A.; Worobo, R.W.; Szweda, P. Probiotic potential of Isolates from Polish Bee Pollen and Bee Bread. Probiotics Antimicrob. Proteins 2023. [Google Scholar]
- Baky, M.H.; Abouelela, M.B.; Wang, K.; Farag, M.A. Bee Pollen and Bread as a Super-Food: A Comparative Review of Their Metabolome Composition and Quality Assessment in the Context of Best Recovery Conditions. Molecules 2023, 28, 715. [Google Scholar] [CrossRef]
- Sawicki, T.; Starowicz, M.; Kłębukowska, L.; Hanus, P. The Profile of Polyphenolic Compounds, Contents of Total Phenolics and Flavonoids, and Antioxidant and Antimicrobial Properties of Bee Products. Molecules 2022, 27, 1301. [Google Scholar] [CrossRef]
- Mohammad, S.M.; Mahmud-Ab-Rashid, N.-K.; Zawawi, N. Probiotic properties of bacteria isolated from bee bread of stingless bee Heterotrigona itama. J. Apic. Res. 2020, 60, 172–187. [Google Scholar] [CrossRef]
- Singh, K.; Bhori, M.; Kasu, Y.A.; Bhat, G.; Marar, T. Antioxidants as precision weapons in war against cancer chemotherapy induced toxicity—Exploring the armoury of obscurity. Saudi Pharm. J. 2018, 26, 177–190. [Google Scholar] [CrossRef]
- Dobani, S.; Latimer, C.; McDougall, G.J.; Allwood, J.W.; Pereira-Caro, G.; Moreno-Rojas, J.M.; Ternan, N.G.; Pourshahidi, L.K.; Lawther, R.; Tuohy, K.M.; et al. Ex vivo fecal fermentation of human ileal fluid collected after raspberry consumption modifies (poly)phenolics and modulates genoprotective effects in colonic epithelial cells. Redox Biol. 2021, 40, 101862. [Google Scholar] [CrossRef]
- Wang, X.; Liu, Y.; Wu, Z.; Zhang, P.; Zhang, X. Tea Polyphenols: A Natural Antioxidant Regulates Gut Flora to Protect the Intestinal Mucosa and Prevent Chronic Diseases. Antioxidants 2022, 11, 253. [Google Scholar] [CrossRef]
- Wang, Y.; Li, H. Gut microbiota modulation: A tool for the management of colorectal cancer. J. Transl. Med. 2022, 20, 178. [Google Scholar] [CrossRef] [PubMed]
- Dikeocha, I.J.; Al-Kabsi, A.M.; Eid, E.E.M.; Hussin, S.; Alshawsh, M.A. Probiotics supplementation in patients with colorectal cancer: A systematic review of randomized controlled trials. Nutr. Rev. 2021, 80, 22–49. [Google Scholar] [CrossRef] [PubMed]
- Lang, T.; Zhu, R.; Zhu, X.; Yan, W.; Li, Y.; Zhai, Y.; Wu, T.; Huang, X.; Yin, Q.; Li, Y. Combining gut microbiota modulation and chemotherapy by capecitabine-loaded prebiotic nanoparticle improves colorectal cancer therapy. Nat. Commun. 2023, 14, 4746. [Google Scholar] [CrossRef]
- Yuan, X.; Xue, J.; Tan, Y.; Yang, Q.; Qin, Z.; Bao, X.; Li, S.; Pan, L.; Jiang, Z.; Wang, Y.; et al. Albuca Bracteate Polysaccharides Synergistically Enhance the Anti-Tumor Efficacy of 5-Fluorouracil Against Colorectal Cancer by Modulating beta-Catenin Signaling and Intestinal Flora. Front. Pharmacol. 2021, 12, 736627. [Google Scholar] [CrossRef]
- Ilie, C.-I.; Spoiala, A.; Ficai, D.; Nicoara, A.-I.; Oprea, O.-C.; Surdu, V.-A.; Trusca, R.D.; Andronescu, E.; Ditu, L.-M.; Ficai, A. Magnetic platforms based on magnetite and polyphenols with antimicrobial activity. UPB Sci. Bull. Ser. B 2022, 84, 45–58. [Google Scholar]
- Vlad, I.M.; Nuță, D.C.; Ancuceanu, R.V.; Caproiou, M.T.; Dumitrascu, F.; Marinas, I.C.; Chifiriuc, M.C.; Măruţescu, L.G.; Zarafu, I.; Papacocea, I.R.; et al. New O-Aryl-Carbamoyl-Oxymino-Fluorene Derivatives with MI-Crobicidal and Antibiofilm Activity Enhanced by Combination with Iron Oxide Nanoparticles. Molecules 2021, 26, 3002. [Google Scholar] [CrossRef]
- Dolete, G.; Ilie, C.I.; Chircov, C.; Purcareanu, B.; Motelica, L.; Morosan, A.; Oprea, O.C.; Ficai, D.; Andronescu, E.; Ditu, L.M. Synergistic Antimicrobial Activity of Magnetite and Vancomycin-Loaded Mesoporous Silica Embedded in Alginate Films. Gels 2023, 9, 295. [Google Scholar] [CrossRef]
- Spirescu, V.A.; Niculescu, A.G.; Slave, S.; Birca, A.C.; Dorcioman, G.; Grumezescu, V.; Holban, A.M.; Oprea, O.C.; Vasile, B.S.; Grumezescu, A.M.; et al. Anti-Biofilm Coatings Based on Chitosan and Lysozyme Functionalized Magnetite Nanoparticles. Antibiotics 2021, 10, 1269. [Google Scholar] [CrossRef]
- Chircov, C.; Pirvulescu, D.C.; Birca, A.C.; Andronescu, E.; Grumezescu, A.M. Magnetite Microspheres for the Controlled Release of Rosmarinic Acid. Pharmaceutics 2022, 14, 2292. [Google Scholar] [CrossRef]
- Bakr, E.A.; Gaber, M.; Saad, D.R.; Salahuddin, N. Comparative study between two different morphological structures based on polylactic acid, nanocellulose and magnetite for co-delivery of flurouracil and curcumin. Int. J. Biol. Macromol. 2023, 230, 123315. [Google Scholar]
- Abali, S.O.; Ekenna, I.C. Comparison of the Use of Kinetic Model Plots and DD Solver Software to Evaluate the Drug Release from Griseofulvin Tablets. J. Drug Deliv. Ther. 2022, 12, 5–13. [Google Scholar]
- Singleton, V.L.; Rossi, J.A. Colorimetry of Total Phenolics with Phosphomolybdic-Phosphotungstic Acid Reagents. Am. J. Enol. Vitic. 1965, 16, 144–158. [Google Scholar] [CrossRef]
- Shah, S.T.; Yehye, W.A.; Chowdhury, Z.Z.; Simarani, K. Magnetically directed antioxidant and antimicrobial agent: Synthesis and surface functionalization of magnetite with quercetin. Peerj 2019, 7, e7651. [Google Scholar] [CrossRef]
- Thaipong, K.; Boonprakob, U.; Crosby, K.; Cisneros-Zevallos, L.; Hawkins Byrne, D. Comparison of ABTS, DPPH, FRAP, and ORAC assays for estimating antioxidant activity from guava fruit extracts. J. Food Compos. Anal. 2006, 19, 669–675. [Google Scholar] [CrossRef]
- Marinas, I.C.; Ignat, L.; Maurusa, I.E.; Gaboreanu, M.D.; Adina, C.; Popa, M.; Chifiriuc, M.C.; Angheloiu, M.; Georgescu, M.; Iacobescu, A.; et al. Insights into the physico-chemical and biological characterization of sodium lignosulfonate—Silver nanosystems designed for wound management. Heliyon 2024, 10, e26047. [Google Scholar] [CrossRef]
- Spoiala, A.; Ilie, C.I.; Trusca, R.D.; Oprea, O.C.; Surdu, V.A.; Vasile, B.S.; Ficai, A.; Ficai, D.; Andronescu, E.; Ditu, L.M. Zinc Oxide Nanoparticles for Water Purification. Materials 2021, 14, 4747–4763. [Google Scholar] [CrossRef]
- CLSI. CLSI Supplemenent M100—Performance Standards for Antimicrobial Susceptibility Testing; Clinical and Laboratory Standards Institute: Wayne, PA, USA, 2021; Volume 41, p. 352. [Google Scholar]
- Geana, E.I.; Ciucure, C.T.; Tamaian, R.; Marinas, I.C.; Gaboreanu, D.M.; Stan, M.; Chitescu, C.L. Antioxidant and Wound Healing Bioactive Potential of Extracts Obtained from Bark and Needles of Softwood Species. Antioxidants 2023, 12, 1383. [Google Scholar] [CrossRef]
- Sabur, M.A.; Gafur, M.A.; Wang, X. Crystallographic, Morphological, Magnetic, and Thermal Characterization of Superparamagnetic Magnetite Nanoparticles (Fe3O4) Synthesized by Chemical Coprecipitation Method and Calcined at 250 °C for 4 hr. J. Nanomater. 2024, 2024, 1–9. [Google Scholar] [CrossRef]
- Niculescu, A.G.; Morosan, A.; Birca, A.C.; Gherasim, O.; Oprea, O.C.; Vasile, B.S.; Purcareanu, B.; Mihaiescu, D.E.; Radulescu, M.; Grumezescu, A.M. Microwave-Assisted Silanization of Magnetite Nanoparticles Pre-Synthesized by a 3D Microfluidic Platform. Nanomaterials 2023, 13, 2795. [Google Scholar] [CrossRef]
- Wei, Y.; Han, B.; Hu, X.; Lin, Y.; Wang, X.; Deng, X. Synthesis of Fe3O4 Nanoparticles and their Magnetic Properties. Procedia Eng. 2012, 27, 632–637. [Google Scholar] [CrossRef]
- Atrei, A.; Mahdizadeh, F.F.; Baratto, M.C.; Scala, A. Effect of Citrate on the Size and the Magnetic Properties of Primary Fe3O4 Nanoparticles and Their Aggregates. Appl. Sci. 2021, 11, 6974. [Google Scholar] [CrossRef]
- Sato, J.; Kobayashi, M.; Kato, H.; Miyazaki, T.; Kakihana, M. Hydrothermal synthesis of magnetite particles with uncommon crystal facets. J. Asian Ceram. Soc. 2018, 2, 258–262. [Google Scholar] [CrossRef]
- Prdun, S.; Svecnjak, L.; Valentic, M.; Marijanovic, Z.; Jerkovic, I. Characterization of Bee Pollen: Physico-Chemical Properties, Headspace Composition and FTIR Spectral Profiles. Foods 2021, 10, 2103. [Google Scholar] [CrossRef]
- Dranca, F.; Ursachi, F.; Oroian, M. Bee Bread: Physicochemical Characterization and Phenolic Content Extraction Optimization. Foods 2020, 9, 1358. [Google Scholar] [CrossRef]
- Cheralayikkal, S.; Manoj, K.; Safna Hussan, K.P. Formulation and evaluation of a smart drug delivery system of 5-fluorouracil for pH-sensitive chemotherapy. Heliyon 2022, 8, e09926. [Google Scholar] [CrossRef]
- Puiu, R.A.; Balaure, P.C.; Constantinescu, E.; Grumezescu, A.M.; Andronescu, E.; Oprea, O.C.; Vasile, B.S.; Grumezescu, V.; Negut, I.; Nica, I.C.; et al. Anti-Cancer Nanopowders and MAPLE-Fabricated Thin Films Based on SPIONs Surface Modified with Paclitaxel Loaded beta-Cyclodextrin. Pharmaceutics 2021, 13, 1356. [Google Scholar] [CrossRef]
- Caciandone, M.; Niculescu, A.G.; Rosu, A.R.; Grumezescu, V.; Negut, I.; Holban, A.M.; Oprea, O.; Vasile, B.S.; Birca, A.C.; Grumezescu, A.M.; et al. PEG-Functionalized Magnetite Nanoparticles for Modulation of Microbial Biofilms on Voice Prosthesis. Antibiotics 2022, 11, 39. [Google Scholar] [CrossRef]
- Chircov, C.; Birca, A.C.; Grumezescu, A.M.; Vasile, B.S.; Oprea, O.; Nicoara, A.I.; Yang, C.H.; Huang, K.S.; Andronescu, E. Synthesis of Magnetite Nanoparticles through a Lab-On-Chip Device. Materials 2021, 14, 5906. [Google Scholar] [CrossRef]
- Mudalige, T.; Qu, H.; Van Haute, D.; Ansar, S.M.; Paredes, A.; Ingle, T. Chapter 11—Characterization of Nanomaterials: Tools and Challenges. In Nanomaterials for Food Applications; López Rubio, A., Fabra Rovira, M.J., Martínez Sanz, M., Gómez-Mascaraque, L.G., Eds.; Elsevier: Amsterdam, The Netherlands, 2019; pp. 313–353. [Google Scholar]
- Shimojo, A.A.M.; Fernandes, A.R.V.; Ferreira, N.R.E.; Sanchez-Lopez, E.; Santana, M.H.A.; Souto, E.B. Evaluation of the Influence of Process Parameters on the Properties of Resveratrol-Loaded NLC Using 2(2) Full Factorial Design. Antioxidants 2019, 8, 272. [Google Scholar] [CrossRef]
- Predoi, D.; Balas, M.; Badea, M.A.; Ciobanu, S.C.; Buton, N.; Dinischiotu, A. Dextran-Coated Iron Oxide Nanoparticles Loaded with 5-Fluorouracil for Drug-Delivery Applications. Nanomaterials 2023, 13, 1811. [Google Scholar] [CrossRef] [PubMed]
- FDA (Food and Drug Administration). Fluorouracil Injection, for Intravenous Use; Food and Drug Administration: Silver Spring, MD, USA, 2016; pp. 1–8. [Google Scholar]
- EMEA. Annex I, II, III- 5FU and Related Substances EMEA-H-A31-1481; European Commision: Brussels, Belgium; pp. 1–48.
- Ayyanaar, S.; Bhaskar, R.; Esthar, S.; Vadivel, M.; Rajesh, J.; Rajagopal, G. Design and development of 5-fluorouracil loaded biodegradable magnetic microspheres as site-specific drug delivery vehicle for cancer therapy. J. Magn. Magn. Mater. 2022, 546, 168853. [Google Scholar] [CrossRef]
- Sanli, O.; Kahraman, A.; Solak, E.K.; Olukman, M. Preparation of magnetite-chitosan/methylcellulose nanospheres by entrapment and adsorption techniques for targeting the anti-cancer drug 5-fluorouracil. Artif. Cell Nanomed. B 2016, 44, 950–959. [Google Scholar]
- Barreto, A.C.H.; Santiago, V.R.; Mazzetto, S.E.; Denardin, J.C.; Lavín, R.; Mele, G.; Ribeiro, M.E.N.P.; Vieira, I.G.P.; Gonçalves, T.; Ricardo, N.M.P.S.; et al. Magnetic nanoparticles for a new drug delivery system to control quercetin releasing for cancer chemotherapy. J. Nanopart Res. 2011, 13, 6545–6553. [Google Scholar] [CrossRef]
- Ahmed, L.; Atif, R.; Eldeen, T.S.; Yahya, I.; Omara, A.; Eltayeb, M. Study the Using of Nanoparticles as Drug Delivery System Based on Mathematical Models for Controlled Release. Int. J. Latest Technol. Eng. Manag. Appl. Sci. 2019, VIII, 52–56. [Google Scholar]
- Gulcin, İ.; Alwasel, S.H. DPPH Radical Scavenging Assay. Processes 2023, 11, 2248. [Google Scholar] [CrossRef]
- Martinez-Morales, F.; Alonso-Castro, A.J.; Zapata-Morales, J.R.; Carranza-Álvarez, C.; Aragon-Martinez, O.H. Use of standardized units for a correct interpretation of IC50 values obtained from the inhibition of the DPPH radical by natural antioxidants. Chem. Pap. 2020, 74, 3325–3334. [Google Scholar] [CrossRef]
- Shah, S.T.; Yehya, W.A.; Saad, O.; Simarani, K.; Chowdhury, Z.; Alhadi, A.A.; Al-Ani, L.A. Surface Functionalization of Iron Oxide Nanoparticles with Gallic Acid as Potential Antioxidant and Antimicrobial Agents. Nanomaterials 2017, 7, 306. [Google Scholar] [CrossRef] [PubMed]
- Apak, R.; Güçlü, K.; Demirata, B.; Özyürek, M.; Çelik, S.E.; Bektaşoğlu, B.; Berker, I.; Özyurt, D. Comparative Evaluation of Various Total Antioxidant Capacity Assays Applied to Phenolic Compounds with the CUPRAC Assay. Molecules 2007, 12, 1496–1547. [Google Scholar] [CrossRef]
- Özyürek, M.; Güçlü, K.; Tütem, E.; Başkan, K.S.; Erçağ, E.; Esin Çelik, S.; Baki, S.; Yıldız, L.; Karaman, Ş.; Apak, R. A comprehensive review of CUPRAC methodology. Anal. Methods 2011, 3, 2439–2453. [Google Scholar] [CrossRef]
- Chen, Y.; Lin, Q.; Wang, J.; Mu, J.; Liang, Y. Proteins, polysaccharides and their derivatives as macromolecular antioxidant supplements: A review of in vitro screening methods and strategies. Int. J. Biol. Macromol. 2023, 224, 958–971. [Google Scholar] [CrossRef]
- Gupta, D. Methods for determination of antioxidant capacity: A review. Int. J. Pharm. Sci. Res. 2015, 6, 546–566. [Google Scholar]
- Pellegrini, N.; Serafini, M.; Colombi, B.; Rio, D.D.; Salvatore, S.; Bianchi, M.; Brighenti, F. Total Antioxidant Capacity of Plant Foods, Beverages and Oils Consumed in Italy Assessed by Three Different In Vitro Assays. J. Nutr. 2003, 133, 2812–2819. [Google Scholar] [CrossRef]
- Ronald, L.; Prior, X.W.; Schaich, K. Standardized Methods for the Determination of Antioxidant Capacity and Phenolics in Foods and Dietary Supplements. J. Agric. Food Chem. 2005, 53, 4290–4302. [Google Scholar]
- Moazzen, A.; Oztinen, N.; Ak-Sakalli, E.; Kosar, M. Structure-antiradical activity relationships of 25 natural antioxidant phenolic compounds from different classes. Heliyon 2022, 8, e10467. [Google Scholar] [CrossRef] [PubMed]
- Bononi, I.; Tedeschi, P.; Mantovani, V.; Maietti, A.; Mazzoni, E.; Pancaldi, C.; Brandolini, V.; Tognon, M. Antioxidant Activity of Resveratrol Diastereomeric Forms Assayed in Fluorescent-Engineered Human Keratinocytes. Antioxidants 2022, 11, 196. [Google Scholar] [CrossRef] [PubMed]
- Breijyeh, Z.; Jubeh, B.; Karaman, R. Resistance of Gram-Negative Bacteria to Current Antibacterial Agents and Approaches to Resolve It. Molecules 2020, 25, 1340. [Google Scholar] [CrossRef]
- Gudkov, S.V.; Burmistrov, D.E.; Serov, D.A.; Rebezov, M.B.; Semenova, A.A.; Lisitsyn, A.B. Do Iron Oxide Nanoparticles Have Significant Antibacterial Properties? Antibiotics 2021, 10, 884. [Google Scholar] [CrossRef]
- Prabhu, Y.T.; Rao, K.V.; Kumari, B.S.; Kumar, V.S.S.; Pavani, T. Synthesis of Fe3O4 nanoparticles and its antibacterial application. Int. Nano Lett. 2015, 5, 85–92. [Google Scholar] [CrossRef]
- Madhavi; Kumar, M.; Ansari, J.R.; Kumar, V.; Nagar, S.; Sharma, A. Fe3O4 Coated SiO2 Magnetic Nanoparticles for Enhanced Antibacterial Activity and Electrochemical Sensing. Metals 2022, 12, 2145. [Google Scholar] [CrossRef]
- Raam Dheep, G.; Ramachandran, K.; Shameer, M.; Natarajamoorthy, M.; Gaidi, M.; Daoudi, K.; Muthukumarasamy, A. Chapter 9—Functional magnetic nanomaterials with enhanced antimicrobial activity. In Antimicrobial Nanosystems; Hussain, C.M., Anand, K.V., Mallakpour, S., Eds.; Elsevier: Amsterdam, The Netherlands, 2023; pp. 191–211. [Google Scholar]
- Rudrapal, M.; Khairnar, S.J.; Khan, J.; Dukhyil, A.B.; Ansari, M.A.; Alomary, M.N.; Alshabrmi, F.M.; Palai, S.; Deb, P.K.; Devi, R. Dietary Polyphenols and Their Role in Oxidative Stress-Induced Human Diseases: Insights Into Protective Effects, Antioxidant Potentials and Mechanism(s) of Action. Front. Pharmacol. 2022, 13, 806470. [Google Scholar] [CrossRef]
- Patil, M.; Serhii, K.; Garzino, F.; Gobert, Q.; Giorgio, S.; Raimundo, J.M.; Bolla, J.M.; Camplo, M. Synthesis and antimicrobial testing of 5-fluorouracil derivatives. Arch. Pharm. 2023, 356, e2300103. [Google Scholar] [CrossRef]
- Spulber, R.; Chifiriuc, C.; Fleancu, M.; Popa, O.; Babeanu, N. Antibacterial activity of magnetite nanoparticles coated with bee pollen extracts. In Proceedings of the Agriculture for Life, Life for Agriculture Conference, Bucharest, Romania, 7–9 June 2018; pp. 579–585. [Google Scholar]
- Cui, S.; Ma, X.; Wang, X.; Zhang, T.-A.; Hu, J.; Tsang, Y.F.; Gao, M.-T. Phenolic acids derived from rice straw generate peroxides which reduce the viability of Staphylococcus aureus cells in biofilm. Ind. Crop Prod. 2019, 140, 111561. [Google Scholar] [CrossRef]
- Lafay, S.; Gil-Izquierdo, A. Bioavailability of phenolic acids. Phytochem. Rev. 2007, 7, 301–311. [Google Scholar] [CrossRef]
- Gabrielyan, L.; Hovhannisyan, A.; Gevorgyan, V.; Ananyan, M.; Trchounian, A. Antibacterial effects of iron oxide (Fe3O4) nanoparticles: Distinguishing concentration-dependent effects with different bacterial cells growth and membrane-associated mechanisms. Appl. Microbiol. Biotechnol. 2019, 103, 2773–2782. [Google Scholar] [CrossRef] [PubMed]
- Gabrielyan, L.; Badalyan, H.; Gevorgyan, V.; Trchounian, A. Comparable antibacterial effects and action mechanisms of silver and iron oxide nanoparticles on Escherichia coli and Salmonella typhimurium. Sci. Rep. 2020, 10, 13145. [Google Scholar] [CrossRef] [PubMed]
- Tasnim, N.T.; Ferdous, N.; Rumon, M.M.H.; Shakil, M.S. The Promise of Metal-Doped Iron Oxide Nanoparticles as Antimicrobial Agent. Acs Omega 2024, 9, 16–32. [Google Scholar] [CrossRef] [PubMed]
- Yeh, Y.C.; Huang, T.H.; Yang, S.C.; Chen, C.C.; Fang, J.Y. Nano-Based Drug Delivery or Targeting to Eradicate Bacteria for Infection Mitigation: A Review of Recent Advances. Front. Chem. 2020, 8, 286. [Google Scholar] [CrossRef] [PubMed]
- Kunst, C.; Schmid, S.; Michalski, M.; Tumen, D.; Buttenschon, J.; Muller, M.; Gulow, K. The Influence of Gut Microbiota on Oxidative Stress and the Immune System. Biomedicines 2023, 11, 1388. [Google Scholar] [CrossRef] [PubMed]
- Riaz Rajoka, M.S.; Thirumdas, R.; Mehwish, H.M.; Umair, M.; Khurshid, M.; Hayat, H.F.; Phimolsiripol, Y.; Pallares, N.; Marti-Quijal, F.J.; Barba, F.J. Role of Food Antioxidants in Modulating Gut Microbial Communities: Novel Understandings in Intestinal Oxidative Stress Damage and Their Impact on Host Health. Antioxidants 2021, 10, 1563. [Google Scholar] [CrossRef]
- Naliyadhara, N.; Kumar, A.; Kumar Gangwar, S.; Nair Devanarayanan, T.; Hegde, M.; Alqahtani, M.S.; Abbas, M.; Sethi, G.; Kunnumakkara, A. Interplay of dietary antioxidants and gut microbiome in human health: What has been learnt thus far? J. Funct. Foods 2023, 100, 105365. [Google Scholar] [CrossRef]
- Milutinovic, M.; Dimitrijevic-Brankovic, S.; Rajilic-Stojanovic, M. Plant Extracts Rich in Polyphenols as Potent Modulators in the Growth of Probiotic and Pathogenic Intestinal Microorganisms. Front. Nutr. 2021, 8, 688843. [Google Scholar] [CrossRef]
- Pacheco-Ordaz, R.; Wall-Medrano, A.; Goni, M.G.; Ramos-Clamont-Montfort, G.; Ayala-Zavala, J.F.; Gonzalez-Aguilar, G.A. Effect of phenolic compounds on the growth of selected probiotic and pathogenic bacteria. Lett. Appl. Microbiol. 2018, 66, 25–31. [Google Scholar] [CrossRef]
- Ghibaudo, F.; Gerbino, E.; Copello, G.J.; Campo Dall’ Orto, V.; Gomez-Zavaglia, A. Pectin-decorated magnetite nanoparticles as both iron delivery systems and protective matrices for probiotic bacteria. Colloids Surf. B Biointerfaces 2019, 180, 193–201. [Google Scholar] [CrossRef] [PubMed]
- Chang, C.W.; Liu, C.Y.; Lee, H.C.; Huang, Y.H.; Li, L.H.; Chiau, J.C.; Wang, T.E.; Chu, C.H.; Shih, S.C.; Tsai, T.H.; et al. Lactobacillus casei Variety rhamnosus Probiotic Preventively Attenuates 5-Fluorouracil/Oxaliplatin-Induced Intestinal Injury in a Syngeneic Colorectal Cancer Model. Front. Microbiol. 2018, 9, 983. [Google Scholar] [CrossRef] [PubMed]
- Sobral, F.; Calhelha, R.C.; Barros, L.; Duenas, M.; Tomas, A.; Santos-Buelga, C.; Vilas-Boas, M.; Ferreira, I.C. Flavonoid Composition and Antitumor Activity of Bee Bread Collected in Northeast Portugal. Molecules 2017, 22, 248. [Google Scholar] [CrossRef] [PubMed]
- Akkoyunlu, A.; Dulger, G. Exploring the antibiofilm effects on Escherichia coli biofilm associated with colon cancer and anticancer activities on HCT116 cell line of bee products. Biofouling 2024, 40, 235–244. [Google Scholar] [CrossRef] [PubMed]
- Utoiu, E.; Matei, F.; Toma, A.; Diguta, C.F.; Stefan, L.M.; Manoiu, S.; Vrajmasu, V.V.; Moraru, I.; Oancea, A.; Israel-Roming, F.; et al. Bee Collected Pollen with Enhanced Health Benefits, Produced by Fermentation with a Kombucha Consortium. Nutrients 2018, 10, 1365. [Google Scholar] [CrossRef] [PubMed]
- Elsayed, N.; El-Din, H.S.; Altemimi, A.B.; Ahmed, H.Y.; Pratap-Singh, A.; Abedelmaksoud, T.G. In Vitro Antimicrobial, Antioxidant and Anticancer Activities of Egyptian Citrus Beebread. Molecules 2021, 26, 2433. [Google Scholar] [CrossRef] [PubMed]
- Genc, S.; Taghizadehghalehjoughi, A.; Yeni, Y.; Jafarizad, A.; Hacimuftuoglu, A.; Nikitovic, D.; Docea, A.O.; Mezhuev, Y.; Tsatsakis, A. Fe(3)O(4) Nanoparticles in Combination with 5-FU Exert Antitumor Effects Superior to Those of the Active Drug in a Colon Cancer Cell Model. Pharmaceutics 2023, 15, 245. [Google Scholar] [CrossRef] [PubMed]
- Dabaghi, M.; Rasa, S.M.M.; Cirri, E.; Ori, A.; Neri, F.; Quaas, R.; Hilger, I. Iron Oxide Nanoparticles Carrying 5-Fluorouracil in Combination with Magnetic Hyperthermia Induce Thrombogenic Collagen Fibers, Cellular Stress, and Immune Responses in Heterotopic Human Colon Cancer in Mice. Pharmaceutics 2021, 13, 1625. [Google Scholar] [CrossRef]
- Attie, R.; Chinen, L.T.; Yoshioka, E.M.; Silva, M.C.; de Lima, V.C. Acute bacterial infection negatively impacts cancer specific survival of colorectal cancer patients. World J. Gastroenterol. 2014, 20, 13930–13935. [Google Scholar] [CrossRef]

















| Release Kinetic | Equation |
|---|---|
| Zero-order | |
| First-order kinetics | |
| Higuchi model | |
| Hixson–Crowell model |
| Sample | Average Crystallite Size ± SD (nm) |
|---|---|
| Fe3O4 | 7.05 ± 1.09 |
| Fe3O4@5-FU 2% | 6.52 ± 0.77 |
| Fe3O4@BPE2@5-FU 2% | 7.29 ± 0.71 |
| Fe3O4@BPE4@5-FU 2% | 8.31 ± 2.49 |
| Fe3O4@BBE2@5-FU 2% | 6.19 ± 0.89 |
| Fe3O4@BBE9@5-FU 2% | 6.78 ± 1.30 |
| Sample | 1st Mass Loss % (Water Loss) | 2nd Mass Loss% (Organic Part Oxidation) | Exo (°C) γ-Fe2O3 to α-Fe2O3 | Residual Mass (%) at 900 °C | Estimated Load % (α-Fe2O3) |
|---|---|---|---|---|---|
| Fe3O4 | 1.87% | 1.72% | 586.3 °C | 94.51% | - |
| Fe3O4@5-FU 2% | 2.31% | 3.40% | 542.6 °C | 92.63% | 1.99% |
| Fe3O4@BPE2@5-FU 2% | 1.75% | 17.60% | 565.0 °C | 79.24% | 16.16% |
| Fe3O4@BPE4@5-FU 2% | 1.98% | 16.65% | 552.5 °C | 79.80% | 15.56% |
| Fe3O4@BBE2@5-FU 2% | 3.55% | 14.80% | 550.7 °C | 79.43% | 15.96% |
| Fe3O4@BBE9@5-FU 2% | 1.86% | 5.47% | 549.4 °C | 91.27% | 3.43% |
| 5-FU Release Kinetics | ||||||||
| Sample | Zero-Order Release Kinetics | First-Order Release Kinetics | Higuchi Release Kinetics | Hixson–Crowell Release Kinetics | ||||
| K0 | R2 | K1 | R2 | KH | R2 | KHC | R2 | |
| Fe3O4@5-FU 2% | 0.8241 | 0.8450 | −0.0361 | 0.9225 | 5.2970 | 0.8670 | −0.0323 | 0.9028 |
| Fe3O4@BPE2@5-FU 1% | 0.5260 | 0.8886 | −0.0298 | 0.9357 | 3.2880 | 0.8755 | −0.0241 | 0.9289 |
| Fe3O4@BPE2@5-FU 2% | 0.4837 | 0.8948 | −0.0352 | 0.9521 | 2.9220 | 0.8315 | −0.0269 | 0.9461 |
| Fe3O4@BPE4@5-FU 1% | 0.5648 | 0.8433 | −0.0341 | 0.9331 | 3.6550 | 0.8958 | −0.0270 | 0.9153 |
| Fe3O4@BPE4@5-FU 2% | 0.7443 | 0.9394 | −0.0593 | 0.9888 | 4.7380 | 0.9177 | −0.0436 | 0.9865 |
| Fe3O4@BBE2@5-FU 1% | 0.5922 | 0.7906 | −0.0286 | 0.8699 | 3.8280 | 0.8201 | −0.0235 | 0.8606 |
| Fe3O4@BBE2@5-FU 2% | 0.6153 | 0.5265 | −0.0287 | 0.6962 | 4.2890 | 0.6641 | −0.0235 | 0.6600 |
| Fe3O4@BBE9@5-FU 1% | 0.8436 | 0.7935 | −0.0433 | 0.9203 | 5.5080 | 0.8494 | −0.0364 | 0.8875 |
| Fe3O4@BBE9@5-FU 2% | 0.8094 | 0.7774 | −0.0473 | 0.9213 | 5.2820 | 0.8436 | −0.0412 | 0.8853 |
| PCs Release Kinetics | ||||||||
| Sample | Zero-Order Release Kinetics | First-Order Release Kinetics | Higuchi Release Kinetics | Hixson–Crowell Release Kinetics | ||||
| K0 | R2 | K1 | R2 | KH | R2 | KHC | R2 | |
| Fe3O4@BPE2 | 0.9470 | 0.9001 | −0.0460 | 0.8509 | 119270 | 0.9790 | −0.0395 | 0.8891 |
| Fe3O4@BPE2@5-FU 1% | 0.6197 | 0.9482 | −0.0186 | 0.9902 | 6.8219 | 0.9905 | −0.0197 | 0.9786 |
| Fe3O4@BPE2@5-FU 2% | 1.0660 | 0.8569 | −0.0669 | 0.9858 | 11.4270 | 0.9877 | −0.0497 | 0.9743 |
| Fe3O4@BPE4 | 0.6904 | 0.8967 | −0.0430 | 0.8603 | 7.1410 | 0.9104 | −0.0342 | 0.8799 |
| Fe3O4@BPE4@5-FU 1% | 0.5092 | 0.9484 | −0.0413 | 0.9545 | 11.6673 | 0.9636 | −0.0299 | 0.9625 |
| Fe3O4@BPE4@5-FU 2% | 0.7391 | 0.8316 | −0.0332 | 0.6993 | 10.1680 | 0.9676 | −0.0298 | 0.7750 |
| Fe3O4@BBE2 | 0.8498 | 0.5559 | −0.0400 | 0.8894 | 9.6730 | 0.6837 | −0.0347 | 0.7869 |
| Fe3O4@BBE2@5-FU 1% | 0.7960 | 0.4252 | −0.0464 | 0.7968 | 12.8670 | 0.5766 | −0.0363 | 0.6749 |
| Fe3O4@BBE2@5-FU 2% | 0.9048 | 0.6576 | −0.0578 | 0.9191 | 10.0700 | 0.7736 | −0.0433 | 0.8800 |
| Fe3O4@BBE9 | 0.9786 | 0.7716 | −0.0444 | 0.9570 | 10.5900 | 0.8579 | −0.0389 | 0.9252 |
| Fe3O4@BBE9@5-FU 1% | 0.8135 | 0.6334 | −0.0266 | 0.8646 | 9.0240 | 0.7399 | −0.0270 | 0.8075 |
| Fe3O4@BBE9@5-FU 2% | 1.2150 | 0.8028 | −0.0552 | 0.9942 | 13.2500 | 0.9051 | −0.0469 | 0.9609 |
Disclaimer/Publisher’s Note: The statements, opinions and data contained in all publications are solely those of the individual author(s) and contributor(s) and not of MDPI and/or the editor(s). MDPI and/or the editor(s) disclaim responsibility for any injury to people or property resulting from any ideas, methods, instructions or products referred to in the content. |
© 2024 by the authors. Licensee MDPI, Basel, Switzerland. This article is an open access article distributed under the terms and conditions of the Creative Commons Attribution (CC BY) license (https://creativecommons.org/licenses/by/4.0/).
Share and Cite
Ilie, C.-I.; Spoiala, A.; Chircov, C.; Dolete, G.; Oprea, O.-C.; Vasile, B.-S.; Crainiceanu, S.A.; Nicoara, A.-I.; Marinas, I.C.; Stan, M.S.; et al. Antioxidant, Antitumoral, Antimicrobial, and Prebiotic Activity of Magnetite Nanoparticles Loaded with Bee Pollen/Bee Bread Extracts and 5-Fluorouracil. Antioxidants 2024, 13, 895. https://doi.org/10.3390/antiox13080895
Ilie C-I, Spoiala A, Chircov C, Dolete G, Oprea O-C, Vasile B-S, Crainiceanu SA, Nicoara A-I, Marinas IC, Stan MS, et al. Antioxidant, Antitumoral, Antimicrobial, and Prebiotic Activity of Magnetite Nanoparticles Loaded with Bee Pollen/Bee Bread Extracts and 5-Fluorouracil. Antioxidants. 2024; 13(8):895. https://doi.org/10.3390/antiox13080895
Chicago/Turabian StyleIlie, Cornelia-Ioana, Angela Spoiala, Cristina Chircov, Georgiana Dolete, Ovidiu-Cristian Oprea, Bogdan-Stefan Vasile, Simona Adriana Crainiceanu, Adrian-Ionut Nicoara, Ioana Cristina Marinas, Miruna Silvia Stan, and et al. 2024. "Antioxidant, Antitumoral, Antimicrobial, and Prebiotic Activity of Magnetite Nanoparticles Loaded with Bee Pollen/Bee Bread Extracts and 5-Fluorouracil" Antioxidants 13, no. 8: 895. https://doi.org/10.3390/antiox13080895
APA StyleIlie, C.-I., Spoiala, A., Chircov, C., Dolete, G., Oprea, O.-C., Vasile, B.-S., Crainiceanu, S. A., Nicoara, A.-I., Marinas, I. C., Stan, M. S., Ditu, L.-M., Ficai, A., & Oprea, E. (2024). Antioxidant, Antitumoral, Antimicrobial, and Prebiotic Activity of Magnetite Nanoparticles Loaded with Bee Pollen/Bee Bread Extracts and 5-Fluorouracil. Antioxidants, 13(8), 895. https://doi.org/10.3390/antiox13080895

