Synthesis, Characterization, and Evaluation of a Hindered Phenol-Linked Benzophenone Hybrid Compound as a Potential Polymer Anti-Aging Agent
Abstract
1. Introduction
2. Materials and Methods
2.1. Reagents and Instruments
2.2. Synthetic Methods and Preparation Processes
2.3. Characterization of Compound Structure
2.4. Aging Test and Performance Characterization
3. Results and Discussion
3.1. Characterization of Products
3.2. The Results of POE Aging Resistance Performance Testing
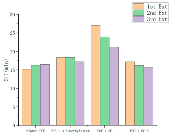
3.2.1. The Impact of Different Anti-Aging Agents on the Oxidative Induction Time of POE
3.2.2. UV Transmittance of POE Films
3.2.3. The Impact of Different Anti-Aging Agents on the Melt Flow Index of POE
3.2.4. Light Transmittance Measurement of POE Films after Thermal Oxidative Aging
3.2.5. Carbonyl Index Determination in POE Film after Thermal Oxidative Aging
3.2.6. Light Transmittance Measurement of POE Films after Ultraviolet Aging
3.2.7. Carbonyl Index Determination in POE Film after Ultraviolet Aging
4. Conclusions
Author Contributions
Funding
Institutional Review Board Statement
Informed Consent Statement
Data Availability Statement
Acknowledgments
Conflicts of Interest
Appendix A




References
- Hao, C.B.; Zheng, S.S.; Xiao, D.J.; Li, C.H.; Yao, X.C.; Liu, Q.Z. Influences of Different Hindered Amine Light Stabilizers and Nucleating Agents on Light Aging Properties of Polypropylene. Eng. Plast. Appl. 2023, 51, 106–112. [Google Scholar]
 - Zhou, N.T.; Zhou, H.; Wei, M.P.; Zhu, J.; Mamatjan, Y. Effects of Different UV on Aging Behavior of PP Modified with Inorganic Nanomaterials. China Plast. 2016, 30, 28–33. [Google Scholar] [CrossRef]
 - Häder, D.P.; Worrest, R.C. Effects of Enhanced Solar Ultraviolet Radiation on Aquatic Ecosystems. Photochem. Photobiol. 2008, 53, 717–725. [Google Scholar] [CrossRef]
 - Entezaria, M.S.A.; Hekmatic, M. Synthe-sis and application of novel phenols as UV absorber indyes and polymers. Trends Mod. Chemstry 2012, 5, 14–19. [Google Scholar]
 - Hussain, I.; Redhwi, H.H. Development of Polypropylene-Based Ultraviolet-Stabilized Formulations for Harsh Environments. J. Mater. Eng. Perform. 2002, 11, 317–321. [Google Scholar] [CrossRef]
 - Li, Y.; Li, Z.S. Status Quo of Ultraviolet Absorber Benzotriazole and Its Development Trends. Fine Spec. Chem. 2007, 15, 5–7+14. [Google Scholar]
 - Qin, J.X.; Hu, Z.Y.; Zhu, H.L.; Zhai, L.J. Synthesis and characterization of water-soluble copolymer ultraviolet absorber containing the structure of benzophenone. Appl. Chem. Ind. 2009, 38, 418–420. [Google Scholar] [CrossRef]
 - Mao, F.; He, Y.; Gin, K.Y.-H. Occurrence and fate of benzophenone-type UV filters in aquatic environments: A review. Environ. Sci. Water Res. Technol. 2019, 5, 209–223. [Google Scholar] [CrossRef]
 - Tang, Z.; Han, X.; Li, G.; Tian, S.; Yang, Y.; Zhong, F.; Han, Y.; Yang, J. Occurrence, distribution and ecological risk of ultraviolet absorbents in water and sediment from Lake Chaohu and its inflowing rivers, China. Ecotoxicol. Environ. Saf. 2018, 164, 540–547. [Google Scholar] [CrossRef]
 - Wang, J.; Pan, L.; Wu, S.; Lu, L.; Xu, Y.; Zhu, Y.; Guo, M.; Zhuang, S. Recent Advances on Endocrine Disrupting Effects of UV Filters. Int. J. Environ. Res. Public Health 2016, 13, 782. [Google Scholar] [CrossRef]
 - Li, Z.J.; Yang, F.J.; Yang, L.; Zu, Y.G. Comparison of the antioxidant effects of carnosic acid and synthetic antioxidants on tara seed oil. Chem. Cent. J. 2018, 12, 37. [Google Scholar] [CrossRef]
 - Pan, Y.; Wang, X.J.; Cao, L.; Fan, Y.L.; Bi, X.D.; Han, X.P. Overview of Hindered Phenolic Antioxidants. Zhejiang Chenical Ind. 2021, 52, 18–21. [Google Scholar]
 - del Teso Sánchez, K.; Allen, N.S.; Liauw, C.M.; Catalina, F.; Corrales, T.; Edge, M. Chemiluminescence studies on comparison of antioxidant effectiveness on multiextruded polyethylenes. Polym. Degrad. Stab. 2015, 113, 32–39. [Google Scholar] [CrossRef]
 - Wang, J.; Wang, Y.R.; Li, C.Q.; Shi, W.G. Evaluating Methods of Hindered Phenolic Antioxidants in Polyolefins. China Plastics 2015, 29, 17–25. [Google Scholar] [CrossRef]
 - Sönmez, H.E.; Bodur, M.S.; Baysan, A.A.; Bakkal, M.; Serhatli, E. Photostabilizers performance on the surface analysis of green composites. Polym. Polym. Compos. 2020, 29, 57–64. [Google Scholar] [CrossRef]
 - Xu, M.; Meng, P.; Wang, H.; Liu, J.; Guo, T.; Zhu, Z.; Bi, Y. Synthesis, Characterization and Evaluation of a Novel Tetraphenolic Compound as a Potential Antioxidant. Antioxidants 2023, 12, 1473. [Google Scholar] [CrossRef] [PubMed]
 - Park, M.A.; Hwang, K.A.; Lee, H.R.; Yi, B.R.; Jeung, E.B.; Choi, K.C. Benzophenone-1 stimulated the growth of BG-1 ovarian cancer cells by cell cycle regulation via an estrogen receptor alpha-mediated signaling pathway in cellular and xenograft mouse models. Toxicology 2013, 305, 41–48. [Google Scholar] [CrossRef]
 - Suzuki, T.; Kitamura, S.; Khota, R.; Sugihara, K.; Fujimoto, N.; Ohta, S. Estrogenic and antiandrogenic activities of 17 benzophenone derivatives used as UV stabilizers and sunscreens. Toxicol. Appl. Pharmacol. 2005, 203, 9–17. [Google Scholar] [CrossRef]
 - Mustieles, V.; Balogh, R.K.; Axelstad, M.; Montazeri, P.; Marquez, S.; Vrijheid, M.; Draskau, M.K.; Taxvig, C.; Peinado, F.M.; Berman, T.; et al. Benzophenone-3: Comprehensive review of the toxicological and human evidence with meta-analysis of human biomonitoring studies. Environ. Int. 2023, 173, 107739. [Google Scholar] [CrossRef]
 - GB/T 3682.1-2018; Plastics—Determination of the Melt Mass-Flow Rate (MFR) and Melt Volume-Flow Rate (MVR) of Thermoplastics—Part 1: Standard Method. National Public Service Platform for Standards Information: Beijing, China, 2018. Available online: https://std.samr.gov.cn/gb/search/gbDetailed?id=71F772D82D44D3A7E05397BE0A0AB82A (accessed on 17 July 2024).
 - GB/T 2410-2008; Determination of the luminous Transmittance and Haze of Transparent Plastics: Standard Method. National Public Service Platform for Standards Information: Beijing, China, 2008. Available online: https://std.samr.gov.cn/gb/search/gbDetailed?id=71F772D759E5D3A7E05397BE0A0AB82A (accessed on 17 July 2024).
 - The Cambridge Crystallographic Data Centre. CCDC 2348653 (3C) Contain the Supplementary Crystallographic Data for this Paper. Available online: https://www.ccdc.cam.ac.uk/data_request/cif (accessed on 17 July 2024).
 - Gensler, R.; Plummer, C.J.G.; Kausch, H.H.; Kramer, E.; Pauquet, J.R.; Zweifel, H. Thermo-oxidative degradation of isotactic polypropylene at high temperatures: Phenolic antioxidants versus HAS. Polym. Degrad. Stab. 2000, 67, 195–208. [Google Scholar] [CrossRef]
 - Mallégol, J.; Carlsson, D.J.; Deschênes, L. A comparison of phenolic antioxidant performance in HDPE at 32–80 °C. Polym. Degrad. Stab. 2001, 73, 259–267. [Google Scholar] [CrossRef]
 













| Blank: POE | POE + 3,5-Methylester | POE + 3C | POE + UV-0 | |
|---|---|---|---|---|
| Melt flow index | 4.80 g/10 min | 4.64 g/10 min | 4.00 g/10 min | 4.84 g/10 min | 
Disclaimer/Publisher’s Note: The statements, opinions and data contained in all publications are solely those of the individual author(s) and contributor(s) and not of MDPI and/or the editor(s). MDPI and/or the editor(s) disclaim responsibility for any injury to people or property resulting from any ideas, methods, instructions or products referred to in the content.  | 
© 2024 by the authors. Licensee MDPI, Basel, Switzerland. This article is an open access article distributed under the terms and conditions of the Creative Commons Attribution (CC BY) license (https://creativecommons.org/licenses/by/4.0/).
Share and Cite
Wang, S.; Huang, Y.; Sun, W.; Lin, X. Synthesis, Characterization, and Evaluation of a Hindered Phenol-Linked Benzophenone Hybrid Compound as a Potential Polymer Anti-Aging Agent. Antioxidants 2024, 13, 894. https://doi.org/10.3390/antiox13080894
Wang S, Huang Y, Sun W, Lin X. Synthesis, Characterization, and Evaluation of a Hindered Phenol-Linked Benzophenone Hybrid Compound as a Potential Polymer Anti-Aging Agent. Antioxidants. 2024; 13(8):894. https://doi.org/10.3390/antiox13080894
Chicago/Turabian StyleWang, Shenshuai, Yingjie Huang, Weiye Sun, and Xufeng Lin. 2024. "Synthesis, Characterization, and Evaluation of a Hindered Phenol-Linked Benzophenone Hybrid Compound as a Potential Polymer Anti-Aging Agent" Antioxidants 13, no. 8: 894. https://doi.org/10.3390/antiox13080894
APA StyleWang, S., Huang, Y., Sun, W., & Lin, X. (2024). Synthesis, Characterization, and Evaluation of a Hindered Phenol-Linked Benzophenone Hybrid Compound as a Potential Polymer Anti-Aging Agent. Antioxidants, 13(8), 894. https://doi.org/10.3390/antiox13080894
        
