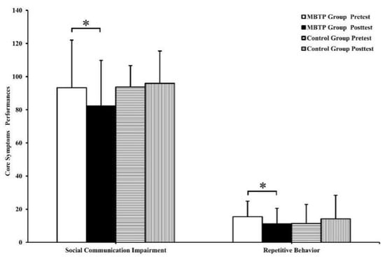
Effects of Mini-Basketball Training Program on Executive Functions and Core Symptoms among Preschool Children with Autism Spectrum Disorders
Wang, J.-G.; Cai, K.-L.; Liu, Z.-M.; Herold, F.; Zou, L.; Zhu, L.-N.; Xiong, X.; Chen, A.-G. Effects of Mini-Basketball Training Program on Executive Functions and Core Symptoms among Preschool Children with Autism Spectrum Disorders. Brain Sci. 2020, 10, 263. https://doi.org/10.3390/brainsci10050263
Wang J-G, Cai K-L, Liu Z-M, Herold F, Zou L, Zhu L-N, Xiong X, Chen A-G. Effects of Mini-Basketball Training Program on Executive Functions and Core Symptoms among Preschool Children with Autism Spectrum Disorders. Brain Sciences. 2020; 10(5):263. https://doi.org/10.3390/brainsci10050263
Chicago/Turabian StyleWang, Jin-Gui, Ke-Long Cai, Zhi-Mei Liu, Fabian Herold, Liye Zou, Li-Na Zhu, Xuan Xiong, and Ai-Guo Chen. 2020. "Effects of Mini-Basketball Training Program on Executive Functions and Core Symptoms among Preschool Children with Autism Spectrum Disorders" Brain Sciences 10, no. 5: 263. https://doi.org/10.3390/brainsci10050263


