The Aetiology of Olfactory Dysfunction and Its Relationship to Diet Quality
Abstract
1. Introduction
2. Method
2.1. Participants
2.2. Procedure
2.3. Analysis
3. Results
3.1. Overall Analyses
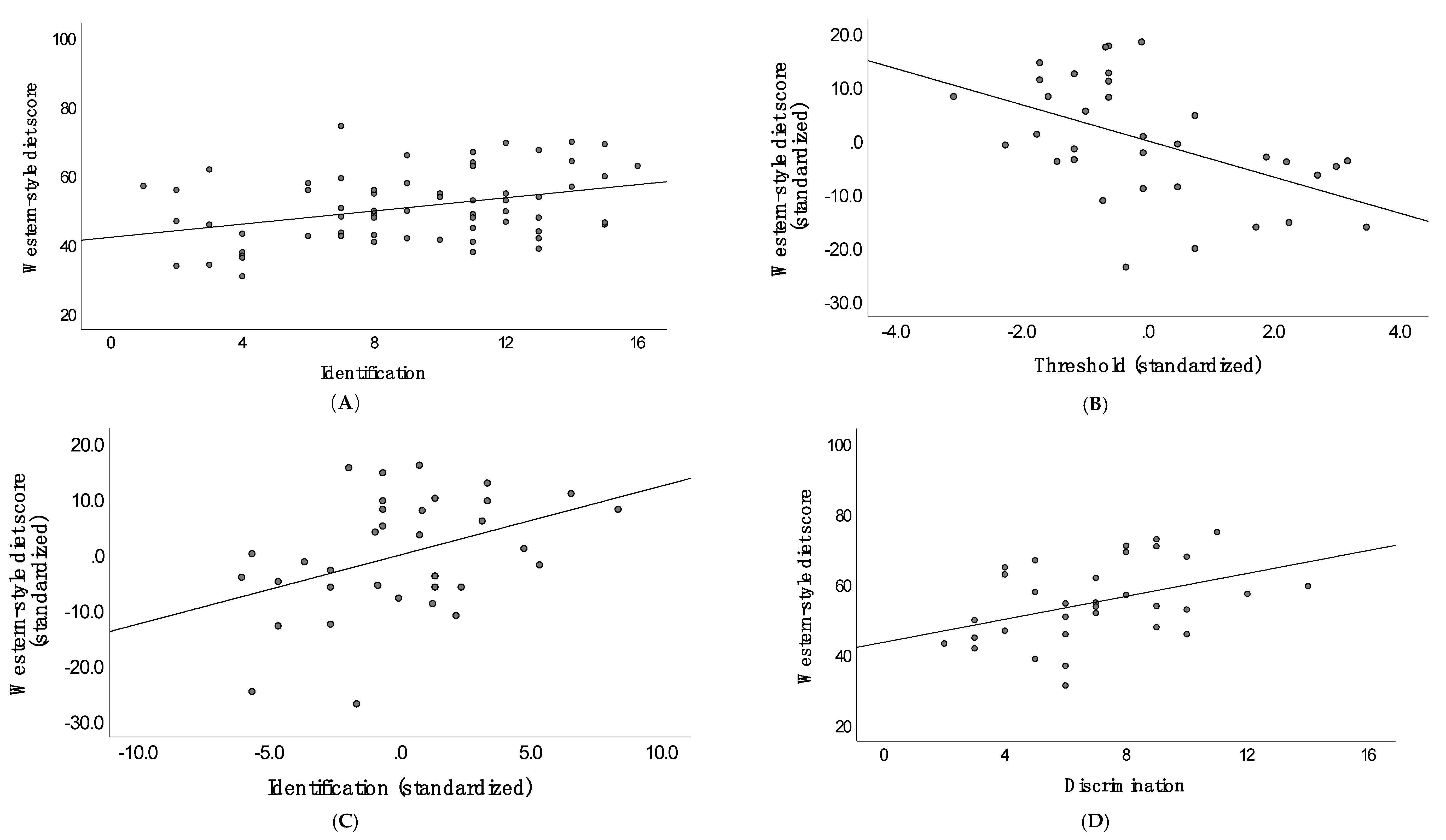
3.2. Group-Level Analyses
3.3. Exploratory Analysis of Subcomponents of a Western-Style Diet
4. Discussion
Author Contributions
Funding
Conflicts of Interest
References
- Stevenson, R.J. The Psychology of Flavour; OUP: Oxford, UK, 2009. [Google Scholar]
- Spence, C. Multisensory flavour perception: Blending, mixing, fusion, and pairing within and between the senses. Foods 2020, 9, 407. [Google Scholar] [CrossRef]
- Temmel, A.; Quint, C.; Schickinger-Fischer, B.; Klimek, L.; Stoller, E.; Hummel, T. Characteristics of olfactory disorders in relation to major causes of olfactory loss. Arch. Otolaryngol. Head Neck Surg. 2002, 128, 635–641. [Google Scholar] [CrossRef] [PubMed]
- Pellegrino, R.; Hummel, T.; Emrich, R.; Chandra, R.; Turner, J.; Trone, T.; Dorminy, C.; Luckett, C. Cultural determinants of food attitudes in anosmic patients. Appetite 2020, 147, 104563. [Google Scholar] [CrossRef]
- Zang, Y.; Han, P.; Burghardt, S.; Knaapila, A.; Schriever, V.; Hummel, T. Influence of olfactory dysfunction on the perception of food. Eur. Arch. Oto-Rhino-Laryngol. 2019, 276, 2811–2817. [Google Scholar] [CrossRef] [PubMed]
- Manesse, C.; Ferdenzi, C.; Sabri, M.; Bessy, M.; Rouby, C.; Faure, F.; Bellil, D.; Jomain, S.; Landis, B.; Hugentober, M.; et al. Dysosmia-associated changes in eating behavior. Chem. Percept. 2017, 10, 104–113. [Google Scholar] [CrossRef]
- Rowan, N.; Soler, Z.; Storck, K.; Othieno, F.; Ganjei, K.; Smith, T.; Schlosser, R. Impaired eating-related quality of life in chronic rhinosinusitis. Int. Forum Allergy Rhinol. 2019, 9, 240–247. [Google Scholar] [CrossRef]
- Merkonidis, C.; Grosse, F.; Ninh, T.; Hummel, C.; Haehner, A.; Hummel, T. Characteristics of chemosensory disorders—Results froma survey. Eur. Arch. Oto-Rhino-Laryngol. 2015, 272, 1403–1416. [Google Scholar] [CrossRef]
- Miwa, T.; Furukawa, M.; Tsukatani, T.; Costanzo, R.; DiNardo, L.; Reitzer, E. Impact of olfactory impairment on quality of life and disability. Arch. Otolaryngol. Head Neck Surg. 2001, 127, 497–503. [Google Scholar] [CrossRef]
- Hummel, T.; Nordin, S. Olfactory disorders and their consequences for quality of life. Acta Oto-Laryngol. 2005, 125, 116–121. [Google Scholar] [CrossRef] [PubMed]
- Ferris, A.; Duffy, V. Effect of olfactory deficits on nutritional status. Ann. N. Y. Acad. Sci. 1989, 561, 113–123. [Google Scholar] [CrossRef] [PubMed]
- Schechter, P.; Henkin, R. Abnormalities of taste and smell after head trauma. Neurol. Neurosurg. Psychiat. 1974, 37, 802–810. [Google Scholar] [CrossRef]
- Mattes, R.; Cowart, B. Dietary assessment of patients with chemosensory disorders. J. Am. Diet. Assoc. 1994, 94, 50–56. [Google Scholar] [CrossRef]
- Aschenbrenner, K.; Hummel, C.; Teszmer, K.; Krone, F.; Ishimaru, T.; Seo, H.-S.; Hummel, T. The influence of olfactory loss on dietary behaviors. Laryngoscope 2007, 118, 135–144. [Google Scholar] [CrossRef] [PubMed]
- Kong, I.; Kim, S.; Prk, B.; Kim, J.; Choi, H. Olfactory dysfunction is associated with the intake of macronutrients in Korean adults. PLoS ONE 2016, 11, e0164495. [Google Scholar] [CrossRef] [PubMed]
- Keller, A.; Malaspina, D. Hidden consequences of olfactory dysfunction: A patient report series. BMC Ear Nose Throat Disord. 2013, 13, 8. [Google Scholar] [CrossRef]
- Postma, E.; De Graaf, C.; Boesveldt, S. Food preferences and intake in a population of Dutch individuals with self-reported smell loss: An on-line survey. Food Qual. Pref. 2020, 103771. [Google Scholar] [CrossRef]
- Cullen, M.; Leopold, D. Disorders of smell and taste. Med. Clin. N. Am. 1999, 83, 57–74. [Google Scholar] [CrossRef]
- Mott, A.; Leopold, D. Disorders in taste and smell. Med. Clin. N. Am. 1991, 75, 1321–1353. [Google Scholar] [CrossRef]
- Doty, R.L.; Shaman, P.; Applebaum, S.L.; Giberson, R.; Sikorski, L.; Rosenberg, L. Smell identification ability: Changes with age. Science 1984, 226, 1441–1443. [Google Scholar] [CrossRef]
- Jacek, S.; Stevenson, R.J.; Miller, L.A. Olfactory dysfunction in temporal lobe epilepsy: A case of ictus-related parosmia. Epilepsy Behav. 2007, 11, 466–470. [Google Scholar] [CrossRef]
- Henson, M.; De Castro, J.; Stringer, A.; Johnson, C. Food intake by brain injured humans who are in the chronic phase of recovery. Brain Inj. 1993, 7, 169–178. [Google Scholar] [CrossRef] [PubMed]
- Crenn, P.; Hamchaoui, S.; Bourget-Massari, A.; Hanachi, M.; Melchio, J.-C.; Azouvi, P. Changes in weight after TBI in adult patients: A longitudinal study. Clin. Nutr. 2014, 33, 348–353. [Google Scholar] [CrossRef] [PubMed]
- Fromm, S.; Horstmann, A. Psychometric evaluation of the German version of the dietary fat and free sugar—Short questionnaire. Obes. Facts 2019, 12, 518–528. [Google Scholar] [CrossRef] [PubMed]
- Francis, H.; Stevenson, R.J. Validity and test-retest reliability of a short dietary questionnaire to assess intake of saturated fat and free sugars: A preliminary study. J. Hum. Nutr. Dietet. 2013, 26, 234–242. [Google Scholar] [CrossRef]
- Hummel, T.; Kobal, G.; Gudziol, H.; Makay-Sam, A. Normative data for the Sniffin sticks including tests of odor identification, odor discrimination, and olfactory thresholds: An upgrade based on a group of more than 3000 subjects. Eur. Arch. Oto-Rhino-Laryngol. 2007, 264, 237–243. [Google Scholar] [CrossRef]
- Fark, T.; Hummel, C.; Hahner, A.; Nin, T.; Hummel, T. Characteristics of taste disorders. Eur. Arch. Oto-Rhino-Laryngol. 2013, 270, 1855–1860. [Google Scholar] [CrossRef]
- Heilmann, S.; Hummel, T. A new method for comparing orthonasal and retronasal olfaction. Behav. Neurosci. 2004, 118, 412–419. [Google Scholar] [CrossRef]
- Yoshino, A.; Goektas, G.; Mahmut, M.K.; Zhu, Y.; Goektas, O.; Komachi, T.; Hummel, T. A new method for assessment of retronasal olfactory function. Laryngoscope 2020. [Google Scholar] [CrossRef]
- Attuquayefio, T.; Stevenson, R.J.; Boakes, R.A.; Oaten, M.; Yeomans, M.; Mahmut, M.; Francis, H.M. Increased consumption of a Western-style diet is associated with poorer inhibition of wanting for palatable snack foods when sated. J. Exp. Psychol. Anim. Learn. Cognit. 2016, 42, 415–428. [Google Scholar] [CrossRef]
- Abbot, K.; Arnott, C.; Westbrook, F.; Tran, D. The effect of high fat, high sugar, and combined high fat-high sugar diets on spatial learning and memory in rodents: A meta-analysis. Neurosci. Biobehav. Rev. 2019, 107, 399–421. [Google Scholar] [CrossRef]
- Small, D.; DiFeliceatonio, A. Processed foods and food reward. Science 2019, 363, 346–347. [Google Scholar] [CrossRef] [PubMed]
- Rogers, P.; Smit, H. Food craving and food “addiction”: A critical review of the evidence from a biopsychosocial perspective. Pharmacol. Biochem. Behav. 2000, 66, 3–14. [Google Scholar] [CrossRef]
- De Ridder, D.; Geenen, R.; Kuijer, R.; Middendorp, H. Psychological adjustment to chronic disease. Lancet 2008, 372, 246–255. [Google Scholar] [CrossRef]
- Malik, V.; Pan, A.; Willet, W.; Hu, F. Sugar-sweetened beverages and weight gain in children and adults: A systematic review and meta-analysis. Am. J. Clin. Nutr. 2013, 98, 1084–1102. [Google Scholar] [CrossRef] [PubMed]

| Variable | n | Mean | Range | SD |
|---|---|---|---|---|
| Age in years | 222 | 55.6 | 12–85 | 16.5 |
| Sex (Male/Female) | 222 (95/127) | |||
| Cause of olfactory loss | ||||
| Congenital | 10 | |||
| Idiopathic | 66 | |||
| Post-infection | 63 | |||
| Sino-nasal disease | 34 | |||
| Trauma | 33 | |||
| Miscellaneous * | 17 | |||
| Presence of parosmia | 35 | |||
| Presence of phantosmia | 30 | |||
| Duration of problem (months) | 212 | 32.9 | 2–204 | 43.6 |
| Threshold (Sniffin sticks) | 217 | 2.4 | 1–8.5 | 2.1 |
| Discrimination (Sniffin sticks) ** | 215 | 8.2 | 1–15 | 3.1 |
| Identification (Sniffin sticks) ** | 222 | 8.3 | 0–8 | 4.0 |
| Retronasal Western test (% correct) | 105 | 67.4 | 0–100 | 33.2 |
| Taste sprays (% correct) | 220 | 92.5 | 0–100 | 18.0 |
| Western-style diet (DFS *** score) | 221 | 53.2 | 24–81 | 10.9 |
| Variable | DFS Score | ||
|---|---|---|---|
| n | r | p | |
| Age in years | 220 | −0.19 | 0.005 |
| Gender | 220 | 0.04 | 0.51 |
| Presence of parosmia | 221 | 0.09 | 0.16 |
| Presence of phantosmia | 221 | −0.05 | 0.50 |
| Duration of problem | 211 | −0.07 | 0.31 |
| Threshold | 215 | −0.03 | 0.67 |
| Discrimination | 214 | 0.06 | 0.40 |
| Identification | 220 | 0.01 | 0.88 |
| Retronasal test | 105 | 0.06 | 0.58 |
| Taste sprays | 218 | 0.11 | 0.12 |
| Variable | Congenital | Idiopathic | Post-Infection | Sino-Nasal Disease | Trauma | Miscellaneous |
|---|---|---|---|---|---|---|
| Number of cases | 10 | 66 | 63 | 34 | 33 | 17 |
| Mean age in years (SD) | 17.7 (5.6) | 61.9 (13.8) | 56.2 (15.3) | 57.5 (11.4) | 53.2 (14.6) | 52.6 (17.5) |
| Percent males | 20% | 47% | 32% | 53% | 49% | 50% |
| Percent presence of parosmia | 0% | 8% | 37% | 0% | 18% | 6% |
| Percent presence of phantosmia | 0% | 18% | 11% | 9% | 21% | 6% |
| Mean duration of problem-months (SD) | - | 33.3 (37.7) | 19.9 (30.0) | 71.9 (65.4) | 17.5 (26.9) | 27.8 (30.4) |
| Mean threshold (SD) | 1.0 (0.2) | 2.7 (2.1) | 2.3 (2.0) | 2.2 (2.0) | 1.6 (1.6) | 3.9 (2.7) |
| Mean discrimination (SD) | 5.6 (2.2) | 8.6 (3.1) | 8.3 (3.1) | 8.8 (3.2) | 7.0 (2.8) | 9.9 (3.2) |
| Mean identification (SD) | 4.8 (1.7) | 9.1 (4.0) | 8.8 (3.5) | 8.1 (4.3) | 5.9 (4.0) | 11.0 (3.3) |
| Mean retronasal test (SD) | 53.3 (40.2) | 68.3 (35.7) | 67.6 (34.4) | 65.1 (23.7) | 65.1 (31.3) | 83.3 (35.7) |
| Mean taste sprays (SD) | 92.5 (12.0) | 90.0 (22.5) | 93.5 (16.3) | 93.2 (15.7) | 92.3 (18.3) | 92.5 (14.7) |
| Mean Western style diet (SD) | 61.1 (6.8) | 51.0 (10.3) | 52.6 (10.9) | 53.5 (11.3) | 55.1 (11.0) | 54.1 (12.3) |
| Variable | ANOVA for Model | R2 | Predictor Variable/s | t(df) | p | r | Sr | Sr2 |
|---|---|---|---|---|---|---|---|---|
| Idiopathic | F(1,60) = 11.77, p < 0.001 | 0.15 | Identification | 3.43 (60) | 0.001 | 0.41 | 0.41 | 0.17 |
| Sino-nasal disease | F(2,30) = 5.48, p < 0.01 | 0.22 | Threshold | 3.25 (30) | 0.003 | −0.37 | −0.51 | 0.26 |
| Identification | 2.35 (30) | 0.026 | 0.10 | 0.37 | 0.14 | |||
| Trauma | F(1,31) = 6.48, p < 0.02 | 0.15 | Discrimination | 2.55 (31) | 0.016 | 0.42 | 0.42 | 0.18 |
| Group | Saturated-Fat Rich Foods | Added Sugar Rich Foods | ||||
|---|---|---|---|---|---|---|
| Threshold | Identification | Discrimination | Threshold | Identification | Discrimination | |
| Overall | −0.01 | −0.02 | 0.03 | 0.00 | 0.01 | 0.11 |
| Congenital | 0.00 | −0.77 * | −0.44 | −0.08 | −0.01 | 0.07 |
| Idiopathic | 0.13 | 0.19 | 0.14 | 0.36 * | 0.45 * | 0.29 * |
| Post-infection | 0.03 | −0.11 | −0.08 | −0.12 | −0.19 | 0.01 |
| Sino-nasal disease | −0.21 | 0.19 | 0.09 | −0.34 ** | 0.06 | 0.02 |
| Trauma | 0.04 | −0.11 | 0.06 | −0.01 | −0.12 | 0.37 * |
| Miscellaneous | −0.01 | −0.16 | 0.45 | 0.11 | −0.47 ** | −0.07 |
Publisher’s Note: MDPI stays neutral with regard to jurisdictional claims in published maps and institutional affiliations. |
© 2020 by the authors. Licensee MDPI, Basel, Switzerland. This article is an open access article distributed under the terms and conditions of the Creative Commons Attribution (CC BY) license (http://creativecommons.org/licenses/by/4.0/).
Share and Cite
Stevenson, R.J.; Mahmut, M.K.; Horstmann, A.; Hummel, T. The Aetiology of Olfactory Dysfunction and Its Relationship to Diet Quality. Brain Sci. 2020, 10, 769. https://doi.org/10.3390/brainsci10110769
Stevenson RJ, Mahmut MK, Horstmann A, Hummel T. The Aetiology of Olfactory Dysfunction and Its Relationship to Diet Quality. Brain Sciences. 2020; 10(11):769. https://doi.org/10.3390/brainsci10110769
Chicago/Turabian StyleStevenson, Richard J., Mehmet K. Mahmut, Annette Horstmann, and Thomas Hummel. 2020. "The Aetiology of Olfactory Dysfunction and Its Relationship to Diet Quality" Brain Sciences 10, no. 11: 769. https://doi.org/10.3390/brainsci10110769
APA StyleStevenson, R. J., Mahmut, M. K., Horstmann, A., & Hummel, T. (2020). The Aetiology of Olfactory Dysfunction and Its Relationship to Diet Quality. Brain Sciences, 10(11), 769. https://doi.org/10.3390/brainsci10110769

