Semantic Processing in Healthy Aging and Alzheimer’s Disease: A Systematic Review of the N400 Differences
Abstract
1. Introduction
2. Materials and Methods
2.1. Literature Search
2.2. Selection Criteria
2.3. Quantitative Analysis
2.4. Qualitative Review
3. Results
3.1. Study Design
3.2. Participants
3.3. Materials and Procedures
3.3.1. Stimuli
3.3.2. Experimental Tasks
3.3.3. EEG Recording
3.3.4. Preprocessing
3.3.5. Statistical Analysis
3.4. Behavioral and N400 Outcomes on Semantic Tasks
3.4.1. Behavioral Accuracy
Quantitative Analyses
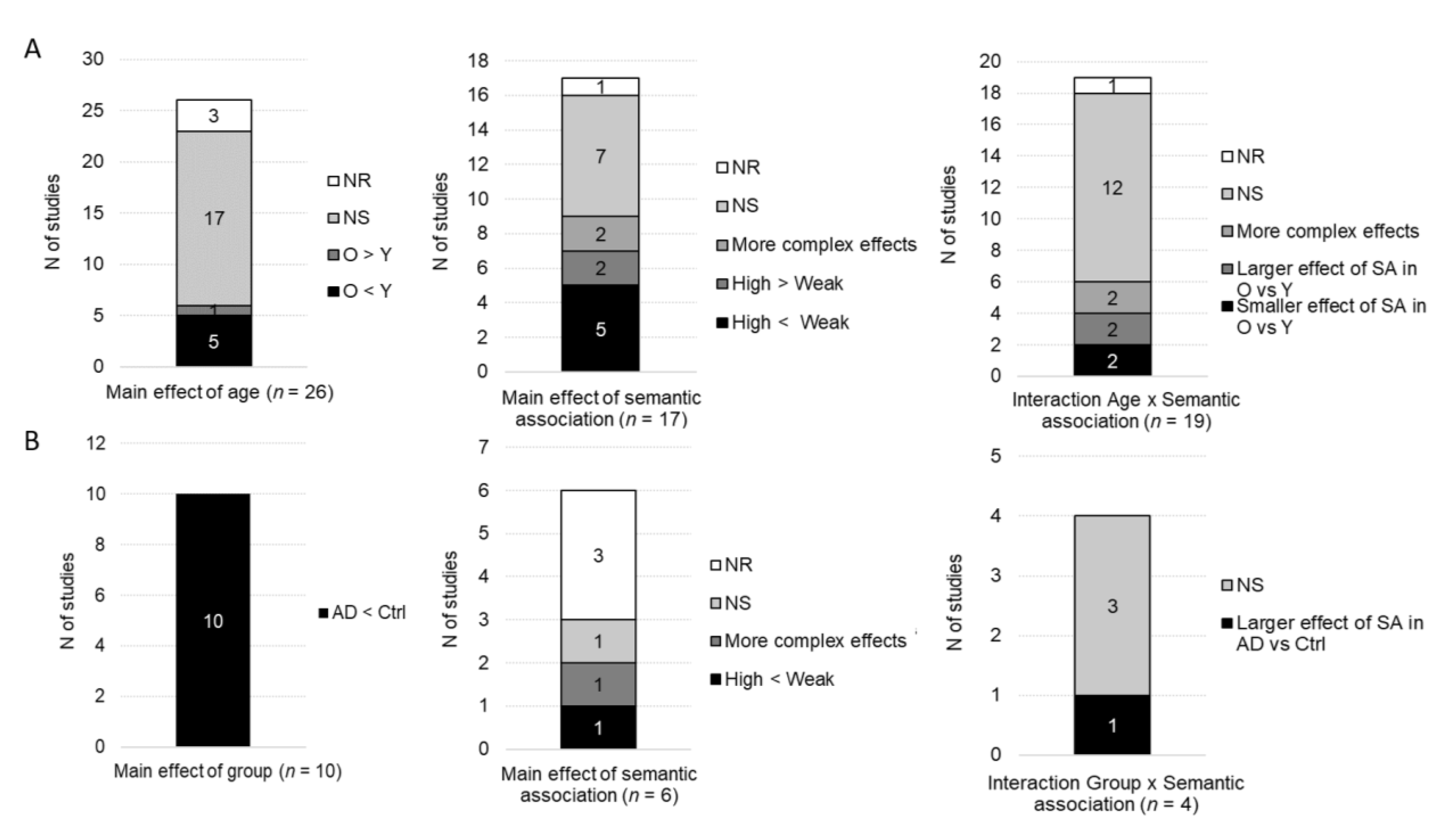
Qualitative Review
3.4.2. Behavioral Response Times
Quantitative Analyses
Qualitative Review
3.4.3. N400 Amplitude and N400 Effect Amplitude
Quantitative Analyses
Qualitative Review
3.4.4. N400 Peak Latency and N400 Effect Peak Latency
Quantitative Analyses
Qualitative Review
4. Discussion
4.1. Semantic Processing in Healthy Elderly and Young Adults
4.2. Semantic Processing in Individuals with Alzheimer’s Disease
4.3. Limitations and Perspectives
5. Conclusions
Supplementary Materials
Author Contributions
Funding
Acknowledgments
Conflicts of Interest
Appendix A
| Reference | N of Subjects (O; Y) | Mean Age (O; Y) | Female % (O; Y) | Task 1 | Stimuli 2 | N of Electrodes 3 | N400 Time-Window (ms) | Main Results 4 | |
|---|---|---|---|---|---|---|---|---|---|
| N400 | Behavior 5 | ||||||||
| Harbin et al., 1984 [89] | 12; 12 | 71; 21 | 0; 0 | Semantic judgment | Series of 5 words | 3 (Fz, Cz, Pz) | 300–600 |
|
|
| Gunter et al., 1992 [90] | 24; 24 | 56; 22 | n/a; n/a | Sentence reading | Sentences | 8 (Fz, Cz, Pz, Oz, Tl, Tr, Ml, Mr) | 30 ms time-windows from 10 to 990 ms |
| — |
| Hamberger, & Friedman, 1992 [91] | 18; 18 | 70; 25 | 100; 100 | Semantic judgment | Single words | 13 | O: 250–500; Y: 300–450 |
|
|
| Gunter et al., 1995 [92] | 24; 24 | 58; 21 | 42; 50 | Sentence reading | Sentences | 8 (Fz, Cz, Pz, Oz, Tl, Tr, Ml, Mr) | Mean amplitude: 30 ms time-windows from 10 to 750 ms, Peak amplitude/ latency: 400–650 |
| — |
| Gunter et al., 1996 [93] | 24; 24 | 58; 21 | 42; 50 | Sentence reading | Sentences with flanker word to be ignored, beneath the target | 7 (Fz, Cz, Pz, Oz, Tl, Tr, Mr) | Mean amplitude: 30 ms time-windows from 10 to 750 ms |
| — |
| Gunter et al., 1998 [24] | 20; 20 | 57; 21 | 50; 50 | Word reading | Word pairs | 7 (Fz, Cz, Pz, Oz, Tl, Tr, Mr) | Mean amplitude: 30 ms time-windows from 0 to 750 ms, peak amplitude/latency: 300–600 |
| — |
| Kutas & Iragui, 1998 [20] | 12; 12 | 74; 24 | 50; 42 | Semantic judgment | Phrases followed by a target word | 13 | 200–600 |
| n/a |
| Miyamoto et al., 1998 [10] | 12; 12 | 66; 24 | 0; 0 | Semantic judgment | Word pairs | 3 (Fz, Cz, Pz) | O: 276–326; Y: 226–276 (match) & 276–326 (mismatch) |
|
|
| Cameli & Phillips, 2000 [94] | 20; 20 | 72; 23 | 60; 60 | Sentence & word reading | Sentences & word pairs | 15 | 300–600 |
| — |
| Chaby et al., 2001 [9] | 12; 14 | 53; 25 | 50; 50 | Semantic judgment | Picture pairs | 30 | 350–450 |
|
|
| Bonnaud et al., 2002 [95] | 10; 10 | 66; 24 | n/a; n/a | Semantic judgment | Word pairs | 3 (Fz, Cz, Pz) | 300–600 |
|
|
| Federmeier et al., 2002 [46] | 24; 21 | 68; 20 | 50; 52 | Sentence listening | Sentence pairs (context sentence, followed by the target-containing sentence) | 26 | 300–500 |
| — |
| Federmeier et al., 2003 [13] | 20; 20 | 72; 22 | 50; 65 | Semantic judgment | Sentences (targets in multiple positions) | 15 | 200–500 (for sentence final words) |
|
|
| Phillips & Lesperance, 2003 [96] | Exp 1: 20; 19 Exp 2: 13; 10 | Exp 1: 77; 23, Exp 2: 72; 24 | Exp 1: 70; 74, Exp 2: 46; 50 | Sentence reading with distractor words (exp 1) or without distractors (exp 2) | Sentences followed by a target word | 17 | Exp 1: 300–600; Exp 2: Y: 400–450; O: 550–600 |
| — |
| Fabre & Lemaire, 2005 [19] | 11; 11 | 69; 24 | 46; 55 | Semantic (parity) judgment with semantic masked priming | Number pairs (arabic numerals or number words) | 32 | O:495–550; Y:370–485 & O:515–535, Y:410–430 |
|
|
| Federmeier & Kutas, 2005 [25] | 20; 20 | 67; 20 | 50; 50 | Sentence reading | Sentences | 26 | 300–500 |
| — |
| Nessler et al., 2006 [97] | 16; 16 | 72; 23 | 44; 69 | Semantic judgment | Picture-word pairs & word pairs | 62 | 400–800 |
|
|
| Faustmann et al., 2007 [98] | 12; 13 | 75; 56 | 58; 62 | Semantic judgment | Sentences (targets in the middle) | 30 | 250–500 |
|
|
| Federmeier et al., 2010 [99] | Exp 1: 20; 16 | 68; 20 | 55; 56 | Semantic judgment | Phrasal cues followed by a target word | 26 | O:350–550; Y:300–500 |
|
|
| Kawohl et al., 2010 [100] | 10; 10 | 60; 27 | n/a; n/a | Sentence reading | Sentences | 20 | 300–500 |
| — |
| Kousaie & Phillips, 2011 [101] | 15; 16 | 72; 24 | 60; 56 | Lexical decision with semantic priming | Word triplets | 29 | 50 ms time-windows from 300 to 700 ms after target onset |
| — |
| Lee & Federmeier, 2011; 2009 [102,103] | 24; 24 | 68; 20 | 50; 50 | Sentence reading | Sentences | 26 | 250–500 |
| — |
| Grieder et al., 2012 [104] | 15; 14 | 69; 27 | 73; 43 | Lexical decision with semantic priming | Word pairs | 32 | Variable |
| — |
| Huang et al., 2012 [85]; Huang et al., 2010 [105] | 20; 32 | 65; 20 | 60; 50 | Semantic judgment | Adjective-noun pairs | 26 | 300–500 |
|
|
| Lee & Federmeier, 2012 [106] | 24; 16 | 66; 19 | 50; 50 | Sentence reading | Sentences (targets in the middle) | 26 | 300–600 |
| — |
| Wlotko & Federmeier, 2012 [43] | 20; 16 | 68; 20 | 45; 50 | Sentence reading | Sentences | 26 | O: 325–525; Y: 280–480 |
| — |
| Wlotko et al., 2012 [21] | 24; 24 | 72; n/a | 50; n/a | Sentence reading | Sentences | 26 | Mean amplitude: O: 325–525; Y: 275–475, peak latency: 300–500 |
| — |
| Davis et al., 2013 [107] | 20; 20 | 50; 22 | 100; 100 | Semantic judgment during continuous competing speech | Word pairs | 30 | 300–600 |
|
|
| Molnár et al., 2013 [108] | 14; 15 | 66; 21 | 79; 47 | Semantic judgment | Single words | 33 | 250–500 |
|
|
| Wilkinson et al., 2013 [86] | 18; 18 | 70; 21 | 83; 83 | Semantic judgment | Prime word and superimposed but to-be-ignored picture followed by a target word | 20 | Mean amplitude: variable (200 ms time window centered around peak latency for each age group), peak latency: 300–800 |
|
|
| Mehta & Jerger, 2014 [109] | 10; 11 | Range: 60–0; 20–0 | 60; 46 | Semantic judgment | Word triplets | 30 | 250–750 |
| — |
| Zhou et al., 2015 [110] | 15; 15 | 68; 23 | 47; 40 | Semantic judgment | Single words | 64 | 300–550 |
|
|
| Chang et al., 2016 [111] | 7; 16 | 58; 23 | 29; 63 | Sentence reading | Sentences | 64 | 1st analysis: 250–500, 2nd analysis: 50 ms time-windows from 250 to 700 ms |
| — |
| Ghosh Hajra et al., 2016 [112] | 6; 6 | Range: 50-85; 20-30 | 67; 50 | Word-pair listening | Word pairs | 3 (Fz, Cz, Pz) | n/a |
| — |
| Khachatryan et al., 2017 [113] | 12; 20 | 53; 21 | 83; 45 | Semantic judgment | Sentences | 32 | 1st analysis: O: 300–500; Y: 274.2–500, 2nd analysis: 50 ms time-windows from 250 to 600 ms |
|
|
| Payne & Federmeier, 2017 [114]; Stites et al., 2017 [115] | 23; 24 | 68; 21 | 67; 21 | Sentence reading | Sentences (targets in the middle) | 26 | Parafoveal N400 window: 400–600, foveal N400 window: 850–1050 |
| — |
| Weißbecker-Klaus et al., 2017 [116] | 20; 21 | 57; 27 | 55; 43 | Semantic judgment with concurrent flanker task | Word pairs | 64 | n/a |
| n/a |
| Wiese et al., 2017 [14] | Exp 3: 20; 20 | 68; 23 | 50; 60 | Semantic judgment | Name followed by a target face | 32 | 300–600 & 400–500, 500–600 |
|
|
| Xu et al., 2017 [117] | 24; 24 | 68; 22 | 50; 58 | Semantic judgment | Sentences | 64 | 50 ms time-windows from 250 to 550 ms after target onset |
|
|
| Dave et al., 2018 [118] | 36; 36 | 71; 21 | 58; 53 | Sentence reading | Sentences | 29 | variable (100 ms time-window centered around N400 effect peak latency for each age group) |
| — |
| Dave et al., 2018 [44] | 24; 24 | 72; 21 | 58; 54 | Sentence reading | Sentences | 29 | Mean amplitude: 300–400, 350–450 and variable (100 ms time-window centered around N400 effect peak latency for each age group), peak latency: 150–650 |
| — |
| Mah & Connolly, 2018 [119] | 13; 26 | 70; 20 | 46; 73 | Sentence and word listening | Sentences and word pairs | 64 | Mean amplitude: variable (50 ms time-window centered around N400 peak), peak latency: 300–700 |
| — |
| Zhu et al., 2018 [11] | 20; 26 | 68; 22 | 45; 65 | Semantic judgment | Sentences (targets in the middle) | 62 | Mean amplitude: O:350–550; Y: 300–500, peak latency: 250–600 |
|
|
| Cheimariou et al., 2019 [12] | 21; 25 | 67; 24 | 48; 52 | Semantic judgment | Picture-word pairs | 32 | 250–500 |
|
|
| Federmeier & Kutas, 2019 [120]; Federmeier & Kutas, 1999 [121,122] | 33; 36 | 67; 21 | 64; 47 | Sentence reading | Sentences | 26 | 350–550 |
| — |
| Kim & Jin, 2019 [123] | 13; 13 | 69; 23 | n/a; 0 | Semantic judgment | Sentences | 6 (P4, PZ, P3, C4, CZ, C3) | 300–500 |
|
|
| Lucas et al., 2019 [124]; Lucas et al., 2017 [125] | 24; 24 | 69; 21 | 54; 75 | Conceptual combination & frequency-comparison | Word pairs | 29 | 300–500 |
| — |
| la Roi et al., 2020 [45] | 25; 25 | 68; 22 | 40; 76 | Sentence reading | Sentence pairs (context sentence, followed by the target-containing sentence; targets in the middle) | 62 | 200–300, 300–400, 400–500 |
| — |
| Xu et al., 2020 [126] | 43; 43 | 67; 22 | 56; 63 | Semantic judgment | Sentences | 64 | O: 320–520; Y: 350–550 |
|
|
| Reference | N of Subjects (AD; O; Y) | Mean Age (AD; O; Y) | Female % (AD; O; Y) | Task 1 | Stimuli 2 | N of Electrodes 3 | N400 Time-Window (ms) | Main Results 4 | |
|---|---|---|---|---|---|---|---|---|---|
| N400 | Behavior 5 | ||||||||
| Hamberger et al., 1995 [127] | (6; 10; 10) | (67; 67; 26) | (33; 30; 50) | Semantic judgment | Sentences | 13 | AD:425–525; O:400–500; Y:360–440 |
|
|
| Ford et al., 1996 [26] | (12; 12; 12) | (70; 70; 22) | (50; 50; 58) | Sentence listening | Sentences | 13 | Variable (300 ms time-window centered around peak latency) |
| — |
| Iragui et al., 1996 [17] | (12; 12; 12) | (70; 72; 24) | (33; 42; 33) | Semantic judgment | Phrases followed by a target word | 13 | Mean amplitude: 1rst analysis: 200–400, 400–600, 600–800, 2nd analysis: AD: 400–700; O: 300–600; Y: 200–500, 3rd analysis: 200–800, peak latency: 200–800 |
|
|
| Schwartz et al., 1996 [18] | (12; 12; 12) | (72; 73; 21) | (42; 75; 67) | Semantic judgment | Word pairs | 13 | Mean amplitude: 300–500, peak latency: Y:250–550; O:300–600; AD:400–700 |
|
|
| Castañeda et al., 1997 [22] | (10; 10; -) | (75; 68; -) | (60; 50; -) | Semantic judgment | Picture pairs | 32 | 300–580 |
|
|
| Ostrosky-Solís et al., 1998 [23] | (10; 10; 10) | (75; 68; 24) | (60; 50; 50) | Semantic judgment | Picture pairs | 32 | Mean amplitude: 325–550, N400 effect amplitude and peak latency: variable |
|
|
| Revonsuo et al., 1998 [70] | (9; 17; -) | (67; 67; -) | (67; 47; -) | Sentence listening and Semantic judgment after EEG recording | Sentences | 20 | 300–800 & 100 ms time-windows from 200 to 1500 ms after target onset |
|
|
| Ford et al., 2001 [73] | (13; 13; 13) | (75; 74; 21) | (62; 62; 62) | Semantic judgment | Picture-word pairs | 19 | Variable (200 ms time-window centered around N400 effect peak latency) |
|
|
| Auchterlonie et al., 2002 [128] | (8; 15; -) | (79; 71; -) | n/a | Semantic judgment | Word-picture pairs | 17 | n/a |
|
|
| Schwartz et al., 2003 [129] | (12; 12; 12) | (77; 72; 24) | (58; 67; 50) | Semantic judgment | Sentences (targets in the middle for 1st and 2nd analyses, and in final position for the 3rd analysis) | 15 | 1rst analysis: AD: 800–1000, O: 600–800; Y: 400–600, 2nd analysis: AD: 600–800; O: 400–600, 3rd analysis: 200–400, 400–600 |
|
|
| Wolk et al., 2005 [130] | (12; 12; -) | (72; 75; -) | (33; 50; -) | Recognition memory | Sentence stems followed by a target word | 10 (FPz, Fz, Cz, Pz, Oz, F3, F4, P3, P4, Ml) | 325–625 |
| — |
| Olichney et al., 2006 [131] | (11; 11; -) | (79; 77; -) | (27; 36; -) | Semantic judgment | Phrases followed by a target word | ≥15 | 300–550 |
|
|
| Taler et al., 2009 [132] | Exp 1: (10; 19; -) | (82; 75; -) | (70; 58; -) | Word reading | Word triplets | 32 | 50 ms time-windows from 300 to 650 ms after target onset |
| — |
| Bobes et al., 2010 [16] | (25; -; 27) | (48; -; 43) | n/a | Semantic judgment | Picture pairs | 19 | 390–440 |
|
|
| Grieder et al., 2013 [72] | (19; 19; -) | (67; 70; -) | n/a | Lexical decision with semantic priming | Word pairs | 128 | Variable |
| — |
References
- Hoffman, P. An individual differences approach to semantic cognition: Divergent effects of age on representation, retrieval and selection. Sci. Rep. 2018, 8, 8145. [Google Scholar] [CrossRef] [PubMed]
- Lambon Ralph, M.A.; Pobric, G.; Jefferies, E. Conceptual knowledge is underpinned by the temporal pole bilaterally: Convergent evidence from rTMS. Cereb. Cortex 2009, 19, 832–838. [Google Scholar] [CrossRef] [PubMed]
- Ralph, M.A.; Jefferies, E.; Patterson, K.; Rogers, T.T. The neural and computational bases of semantic cognition. Nat. Rev. Neurosci. 2017, 18, 42–55. [Google Scholar] [CrossRef]
- Altmann, L.J.; McClung, J.S. Effects of semantic impairment on language use in Alzheimer’s disease. Semin. Speech Lang. 2008, 29, 18–31. [Google Scholar] [CrossRef][Green Version]
- Verma, M.; Howard, R.J. Semantic memory and language dysfunction in early Alzheimer’s disease: A review. Int. J. Geriatr. Psychiatry 2012, 27, 1209–1217. [Google Scholar] [CrossRef] [PubMed]
- Park, D.C.; Lautenschlager, G.; Hedden, T.; Davidson, N.S.; Smith, A.D.; Smith, P.K. Models of visuospatial and verbal memory across the adult life span. Psychol. Aging 2002, 17, 299–320. [Google Scholar] [CrossRef]
- Toepper, M. Dissociating Normal Aging from Alzheimer’s Disease: A View from Cognitive Neuroscience. J. Alzheimer’s Dis. JAD 2017, 57, 331–352. [Google Scholar] [CrossRef]
- Hoffman, P.; Morcom, A.M. Age-related changes in the neural networks supporting semantic cognition: A meta-analysis of 47 functional neuroimaging studies. Neurosci. Biobehav. Rev. 2018, 84, 134–150. [Google Scholar] [CrossRef]
- Chaby, L.; Jemel, B.; George, N.; Renault, B.; Fiori, N. An ERP study of famous face incongruity detection in middle age. Brain Cogn. 2001, 45, 357–377. [Google Scholar] [CrossRef][Green Version]
- Miyamoto, T.; Katayama, J.; Koyama, T. ERPs, semantic processing and age. Int. J. Psychophysiol. 1998, 29, 43–51. [Google Scholar] [CrossRef]
- Zhu, Z.; Hou, X.; Yang, Y. Reduced Syntactic Processing Efficiency in Older Adults During Sentence Comprehension. Front. Psychol. 2018, 9, 243. [Google Scholar] [CrossRef] [PubMed]
- Cheimariou, S.; Farmer, T.A.; Gordon, J.K. Lexical prediction in the aging brain: The effects of predictiveness and congruency on the N400 ERP component. Neuropsychol. Dev. Cogn. B Aging Neuropsychol. Cogn. 2019, 26, 781–806. [Google Scholar] [CrossRef] [PubMed]
- Federmeier, K.D.; Van Petten, C.; Schwartz, T.J.; Kutas, M. Sounds, words, sentences: Age-related changes across levels of language processing. Psychol. Aging 2003, 18, 858–872. [Google Scholar] [CrossRef]
- Wiese, H.; Komes, J.; Tuttenberg, S.; Leidinger, J.; Schweinberger, S.R. Age-related differences in face recognition: Neural correlates of repetition and semantic priming in young and older adults. J. Exp. Psychol. Learn. Mem. Cogn. 2017, 43, 1254–1273. [Google Scholar] [CrossRef] [PubMed]
- Kutas, M.; Federmeier, K.D. Thirty years and counting: Finding meaning in the N400 component of the event-related brain potential (ERP). Annu. Rev. Psychol. 2011, 62, 621–647. [Google Scholar] [CrossRef] [PubMed]
- Bobes, M.A.; Garcia, Y.F.; Lopera, F.; Quiroz, Y.T.; Galan, L.; Vega, M.; Trujillo, N.; Valdes-Sosa, M.; Valdes-Sosa, P. ERP generator anomalies in presymptomatic carriers of the Alzheimer’s disease E280A PS-1 mutation. Hum. Brain Mapp. 2010, 31, 247–265. [Google Scholar] [CrossRef]
- Iragui, V.; Kutas, M.; Salmon, D.P. Event-related brain potentials during semantic categorization in normal aging and senile dementia of the Alzheimer’s type. Electroencephalogr. Clin. Neurophysiol. 1996, 100, 392–406. [Google Scholar] [CrossRef]
- Schwartz, T.J.; Kutas, M.; Butters, N.; Paulsen, J.S.; Salmon, D.P. Electrophysiological insights into the nature of the semantic deficit in Alzheimer’s disease. Neuropsychologia 1996, 34, 827–841. [Google Scholar] [CrossRef]
- Fabre, L.; Lemaire, P. Age-related differences in automatic stimulus-response associations: Insights from young and older adults’ parity judgments. Psychon. Bull. Rev. 2005, 12, 1100–1105. [Google Scholar] [CrossRef][Green Version]
- Kutas, M.; Iragui, V. The N400 in a semantic categorization task across 6 decades. Electroencephalogr. Clin. Neurophysiol. 1998, 108, 456–471. [Google Scholar] [CrossRef]
- Wlotko, E.W.; Federmeier, K.D.; Kutas, M. To predict or not to predict: Age-related differences in the use of sentential context. Psychol. Aging 2012, 27, 975–988. [Google Scholar] [CrossRef] [PubMed]
- Castaneda, M.; Ostrosky-Solis, F.; Perez, M.; Bobes, M.A.; Rangel, L.E. ERP assessment of semantic memory in Alzheimer’s disease. Int. J. Psychophysiol. 1997, 27, 201–214. [Google Scholar] [CrossRef]
- Ostrosky-Solis, F.; Castaneda, M.; Perez, M.; Castillo, G.; Bobes, M.A. Cognitive brain activity in Alzheimer’s disease: Electrophysiological response during picture semantic categorization. J. Int. Neuropsychol. Soc. 1998, 4, 415–425. [Google Scholar] [CrossRef] [PubMed]
- Gunter, T.C.; Jackson, J.L.; Mulder, G. Priming and aging: An electrophysiological investigation of N400 and recall. Brain Lang. 1998, 65, 333–355. [Google Scholar] [CrossRef]
- Federmeier, K.D.; Kutas, M. Aging in context: Age-related changes in context use during language comprehension. Psychophysiology 2005, 42, 133–141. [Google Scholar] [CrossRef]
- Ford, J.M.; Woodward, S.H.; Sullivan, E.V.; Isaacks, B.G.; Tinklenberg, J.R.; Yesavage, J.A.; Roth, W.T. N400 evidence of abnormal responses to speech in Alzheimer’s disease. Electroencephalogr. Clin. Neurophysiol. 1996, 99, 235–246. [Google Scholar] [CrossRef]
- Ansado, J.; Marsolais, Y.; Methqal, I.; Alary, F.; Joanette, Y. The adaptive aging brain: Evidence from the preservation of communication abilities with age. Eur. J. Neurosci. 2013, 37, 1887–1895. [Google Scholar] [CrossRef]
- Moher, D.; Liberati, A.; Tetzlaff, J.; Altman, D.G.; Group, P. Preferred reporting items for systematic reviews and meta-analyses: The PRISMA statement. PLoS Med. 2009, 6, e1000097. [Google Scholar] [CrossRef]
- Egger, M.; Juni, P.; Bartlett, C.; Holenstein, F.; Sterne, J. How important are comprehensive literature searches and the assessment of trial quality in systematic reviews? Empirical study. Health Technol. Assess. 2003, 7, 1–76. [Google Scholar] [CrossRef]
- Mahood, Q.; Van Eerd, D.; Irvin, E. Searching for grey literature for systematic reviews: Challenges and benefits. Res. Synth. Methods 2014, 5, 221–234. [Google Scholar] [CrossRef]
- Ali, J.I.; Smart, C.M.; Gawryluk, J.R. Subjective Cognitive Decline and APOE varepsilon4: A Systematic Review. J. Alzheimer’s Dis. JAD 2018, 65, 303–320. [Google Scholar] [CrossRef] [PubMed]
- Keil, A.; Debener, S.; Gratton, G.; Junghofer, M.; Kappenman, E.S.; Luck, S.J.; Luu, P.; Miller, G.A.; Yee, C.M. Committee report: Publication guidelines and recommendations for studies using electroencephalography and magnetoencephalography. Psychophysiology 2014, 51, 1–21. [Google Scholar] [CrossRef] [PubMed]
- Folstein, M.; Folstein, S.; McHugh, P. Mini-mental state: A practical method of grading the cognitive state of patients for the clinician. J. Psychiatr. Res. 1975, 12, 189–198. [Google Scholar] [CrossRef]
- Britt, A.E.; Ferrara, C.; Mirman, D. Distinct Effects of Lexical and Semantic Competition during Picture Naming in Younger Adults, Older Adults, and People with Aphasia. Front. Psychol. 2016, 7, 813. [Google Scholar] [CrossRef]
- Hertzog, C.; Raskind, C.L.; Cannon, C.J. Age-related slowing in semantic information processing speed: An individual differences analysis. J. Gerontol. 1986, 41, 500–502. [Google Scholar] [CrossRef]
- Pistono, A.; Busigny, T.; Jucla, M.; Cabirol, A.; Dinnat, A.L.; Pariente, J.; Barbeau, E.J. An Analysis of Famous Person Semantic Memory in Aging. Exp. Aging Res. 2019, 45, 74–93. [Google Scholar] [CrossRef]
- Mueller, S.T.; Piper, B.J. The Psychology Experiment Building Language (PEBL) and PEBL Test Battery. J. Neurosci. Methods 2014, 222, 250–259. [Google Scholar] [CrossRef]
- Sleimen-Malkoun, R.; Temprado, J.J.; Berton, E. Age-related dedifferentiation of cognitive and motor slowing: Insight from the comparison of Hick-Hyman and Fitts’ laws. Front. Aging Neurosci. 2013, 5, 62. [Google Scholar] [CrossRef]
- Bilodeau-Mercure, M.; Kirouac, V.; Langlois, N.; Ouellet, C.; Gasse, I.; Tremblay, P. Movement sequencing in normal aging: Speech, oro-facial, and finger movements. Age (Dordr) 2015, 37, 9813. [Google Scholar] [CrossRef]
- Hasher, L.; Zacks, R.T. Working memory, comprehension and aging: A review and a new view. Psychol. Learn. Motiv. 1988, 22, 193–225. [Google Scholar]
- Humeau, Y.; Choquet, D. The next generation of approaches to investigate the link between synaptic plasticity and learning. Nat. Neurosci. 2019, 22, 1536–1543. [Google Scholar] [CrossRef]
- Schiera, G.; Di Liegro, C.M.; Di Liegro, I. Cell-to-Cell Communication in Learning and Memory: From Neuro- and Glio-Transmission to Information Exchange Mediated by Extracellular Vesicles. Int. J. Mol. Sci. 2019, 21, 266. [Google Scholar] [CrossRef]
- Wlotko, E.W.; Federmeier, K.D. Age-related changes in the impact of contextual strength on multiple aspects of sentence comprehension. Psychophysiology 2012, 49, 770–785. [Google Scholar] [CrossRef] [PubMed]
- Dave, S.; Brothers, T.A.; Traxler, M.J.; Ferreira, F.; Henderson, J.M.; Swaab, T.Y. Electrophysiological evidence for preserved primacy of lexical prediction in aging. Neuropsychologia 2018, 117, 135–147. [Google Scholar] [CrossRef]
- la Roi, A.; Sprenger, S.A.; Hendriks, P. Event-related potentials reveal increased dependency on linguistic context due to cognitive aging. J. Exp. Psychol. Learn. Mem. Cogn. 2020, 46, 1226–1257. [Google Scholar] [CrossRef] [PubMed]
- Federmeier, K.D.; McLennan, D.B.; De Ochoa, E.; Kutas, M. The impact of semantic memory organization and sentence context information on spoken language processing by younger and older adults: An ERP study. Psychophysiology 2002, 39, 133–146. [Google Scholar] [CrossRef] [PubMed]
- Lehrner, J.; Coutinho, G.; Mattos, P.; Moser, D.; Pfluger, M.; Gleiss, A.; Auff, E.; Dal-Bianco, P.; Pusswald, G.; Stogmann, E. Semantic memory and depressive symptoms in patients with subjective cognitive decline, mild cognitive impairment, and Alzheimer’s disease. Int. Psychogeriatr. 2017, 29, 1123–1135. [Google Scholar] [CrossRef]
- Nebes, R.D. Semantic memory in Alzheimer’s disease. Psychol. Bull. 1989, 106, 377–394. [Google Scholar] [CrossRef]
- Cervera-Crespo, T.; Gonzalez-Alvarez, J. Age and Semantic Inhibition Measured by the Hayling Task: A Meta-Analysis. Arch. Clin. Neuropsychol. 2017, 32, 198–214. [Google Scholar] [CrossRef]
- Salehi, M.; Reisi, M.; Ghasisin, L. Lexical Retrieval or Semantic Knowledge? Which One Causes Naming Errors in Patients with Mild and Moderate Alzheimer’s Disease? Dement. Geriatr. Cogn. Dis. Extra 2017, 7, 419–429. [Google Scholar] [CrossRef]
- Myerson, J.; Lawrence, B.; Hale, S.; Jenkins, L.; Chen, J. General slowing of lexical and nonlexical information processing in dementia of the Alzheimer type. Neuropsychol. Dev. Cogn. B Aging Neuropsychol. Cogn. 1998, 5, 182–193. [Google Scholar] [CrossRef] [PubMed]
- Laisney, M.; Giffard, B.; Belliard, S.; de la Sayette, V.; Desgranges, B.; Eustache, F. When the zebra loses its stripes: Semantic priming in early Alzheimer’s disease and semantic dementia. Cortex J. Devoted Study Nerv. Syst. Behav. 2011, 47, 35–46. [Google Scholar] [CrossRef] [PubMed][Green Version]
- Simoes Loureiro, I.; Lefebvre, L. Distinct progression of the deterioration of thematic and taxonomic links in natural and manufactured objects in Alzheimer’s disease. Neuropsychologia 2016, 91, 426–434. [Google Scholar] [CrossRef] [PubMed]
- Lau, E.F.; Weber, K.; Gramfort, A.; Hamalainen, M.S.; Kuperberg, G.R. Spatiotemporal Signatures of Lexical-Semantic Prediction. Cereb. Cortex 2016, 26, 1377–1387. [Google Scholar] [CrossRef]
- McCarthy, G.; Nobre, A.C.; Bentin, S.; Spencer, D.D. Language-related field potentials in the anterior-medial temporal lobe: I. Intracranial distribution and neural generators. J. Neurosci. 1995, 15, 1080–1089. [Google Scholar] [CrossRef]
- Nobre, A.C.; McCarthy, G. Language-related field potentials in the anterior-medial temporal lobe: II. Effects of word type and semantic priming. J. Neurosci. 1995, 15, 1090–1098. [Google Scholar] [CrossRef]
- Van Petten, C.; Luka, B.J. Neural localization of semantic context effects in electromagnetic and hemodynamic studies. Brain Lang. 2006, 97, 279–293. [Google Scholar] [CrossRef]
- Verclytte, S.; Lopes, R.; Lenfant, P.; Rollin, A.; Semah, F.; Leclerc, X.; Pasquier, F.; Delmaire, C. Cerebral Hypoperfusion and Hypometabolism Detected by Arterial Spin Labeling MRI and FDG-PET in Early-Onset Alzheimer’s Disease. J. Neuroimaging 2016, 26, 207–212. [Google Scholar] [CrossRef]
- Huang, J.; Friedland, R.P.; Auchus, A.P. Diffusion tensor imaging of normal-appearing white matter in mild cognitive impairment and early Alzheimer disease: Preliminary evidence of axonal degeneration in the temporal lobe. AJNR Am. J. Neuroradiol. 2007, 28, 1943–1948. [Google Scholar] [CrossRef]
- Migliaccio, R.; Agosta, F.; Possin, K.L.; Canu, E.; Filippi, M.; Rabinovici, G.D.; Rosen, H.J.; Miller, B.L.; Gorno-Tempini, M.L. Mapping the Progression of Atrophy in Early- and Late-Onset Alzheimer’s Disease. J. Alzheimer’s Dis. JAD 2015, 46, 351–364. [Google Scholar] [CrossRef]
- Bejanin, A.; Schonhaut, D.R.; La Joie, R.; Kramer, J.H.; Baker, S.L.; Sosa, N.; Ayakta, N.; Cantwell, A.; Janabi, M.; Lauriola, M.; et al. Tau pathology and neurodegeneration contribute to cognitive impairment in Alzheimer’s disease. Brain 2017, 140, 3286–3300. [Google Scholar] [CrossRef]
- Kang, S.H.; Park, Y.H.; Lee, D.; Kim, J.P.; Chin, J.; Ahn, Y.; Park, S.B.; Kim, H.J.; Jang, H.; Jung, Y.H.; et al. The Cortical Neuroanatomy Related to Specific Neuropsychological Deficits in Alzheimer’s Continuum. Dement. Neurocogn. Disord. 2019, 18, 77–95. [Google Scholar] [CrossRef] [PubMed]
- Melrose, R.J.; Campa, O.M.; Harwood, D.G.; Osato, S.; Mandelkern, M.A.; Sultzer, D.L. The neural correlates of naming and fluency deficits in Alzheimer’s disease: An FDG-PET study. Int. J. Geriatr. Psychiatry 2009, 24, 885–893. [Google Scholar] [CrossRef] [PubMed]
- Zahn, R.; Juengling, F.; Bubrowski, P.; Jost, E.; Dykierek, P.; Talazko, J.; Huell, M. Hemispheric asymmetries of hypometabolism associated with semantic memory impairment in Alzheimer’s disease: A study using positron emission tomography with fluorodeoxyglucose-F18. Psychiatry Res. 2004, 132, 159–172. [Google Scholar] [CrossRef]
- Kirova, A.M.; Bays, R.B.; Lagalwar, S. Working memory and executive function decline across normal aging, mild cognitive impairment, and Alzheimer’s disease. Biomed. Res. Int. 2015, 2015, 748212. [Google Scholar] [CrossRef] [PubMed]
- Holcomb, P.J. Automatic and attentional processing: An event-related brain potential analysis of semantic priming. Brain Lang. 1988, 35, 66–85. [Google Scholar] [CrossRef]
- Kiefer, M.; Brendel, D. Attentional modulation of unconscious “automatic” processes: Evidence from event-related potentials in a masked priming paradigm. J. Cogn. Neurosci. 2006, 18, 184–198. [Google Scholar] [CrossRef]
- Kim, A.E.; Oines, L.; Miyake, A. Individual differences in verbal working memory underlie a tradeoff between semantic and structural processing difficulty during language comprehension: An ERP investigation. J. Exp. Psychol. Learn. Mem. Cogn. 2018, 44, 406–420. [Google Scholar] [CrossRef]
- Wechsler, D. Manual for the Wechsler Adult Intelligence Scale; Psychological Corporation: New York, NY, USA, 1955. [Google Scholar]
- Revonsuo, A.; Portin, R.; Juottonen, K.; Rinne, J.O. Semantic processing of spoken words in Alzheimer’s disease: An electrophysiological study. J. Cogn. Neurosci. 1998, 10, 408–420. [Google Scholar] [CrossRef]
- Kaplan, E.; Goodglass, H.; Weintraub, S. Boston Naming Test; Lee & Febiger: Philadelphia, PA, USA, 1983. [Google Scholar]
- Grieder, M.; Crinelli, R.M.; Jann, K.; Federspiel, A.; Wirth, M.; Koenig, T.; Stein, M.; Wahlund, L.O.; Dierks, T. Correlation between topographic N400 anomalies and reduced cerebral blood flow in the anterior temporal lobes of patients with dementia. J. Alzheimer’s Dis. JAD 2013, 36, 711–731. [Google Scholar] [CrossRef]
- Ford, J.M.; Askari, N.; Mathalon, D.H.; Menon, V.; Gabrieli, J.D.; Tinklenberg, J.R.; Yesavage, J. Event-related brain potential evidence of spared knowledge in Alzheimer’s disease. Psychol. Aging 2001, 16, 161–176. [Google Scholar] [CrossRef] [PubMed][Green Version]
- Spreng, R.N.; Turner, G.R. The Shifting Architecture of Cognition and Brain Function in Older Adulthood. Perspect. Psychol. Sci. 2019, 14, 523–542. [Google Scholar] [CrossRef] [PubMed]
- Schaie, K.W. The course of adult intellectual development. Am. Psychol. 1994, 49, 304–313. [Google Scholar] [CrossRef] [PubMed]
- Kaufman, A.S. WAIS-III IQs, Horn’s theory, and generational changes from young adulthood to old age. Intelligence 2001, 29, 131–167. [Google Scholar] [CrossRef]
- Clayson, P.E.; Carbine, K.A.; Baldwin, S.A.; Larson, M.J. Methodological reporting behavior, sample sizes, and statistical power in studies of event-related potentials: Barriers to reproducibility and replicability. Psychophysiology 2019, 56, e13437. [Google Scholar] [CrossRef] [PubMed]
- Larson, M.J.; Carbine, K.A. Sample size calculations in human electrophysiology (EEG and ERP) studies: A systematic review and recommendations for increased rigor. Int. J. Psychophysiol. 2017, 111, 33–41. [Google Scholar] [CrossRef]
- Duncan, C.C.; Barry, R.J.; Connolly, J.F.; Fischer, C.; Michie, P.T.; Naatanen, R.; Polich, J.; Reinvang, I.; Van Petten, C. Event-related potentials in clinical research: Guidelines for eliciting, recording, and quantifying mismatch negativity, P300, and N400. Clin. Neurophysiol. Off. J. Int. Fed. Clin. Neurophysiol. 2009, 120, 1883–1908. [Google Scholar] [CrossRef]
- Tanner, D.; Morgan-Short, K.; Luck, S.J. How inappropriate high-pass filters can produce artifactual effects and incorrect conclusions in ERP studies of language and cognition. Psychophysiology 2015, 52, 997–1009. [Google Scholar] [CrossRef]
- Holcomb, P.J.; Grainger, J.; O’Rourke, T. An electrophysiological study of the effects of orthographic neighborhood size on printed word perception. J. Cogn. Neurosci. 2002, 14, 938–950. [Google Scholar] [CrossRef]
- Swaab, T.Y.; Baynes, K.; Knight, R.T. Separable effects of priming and imageability on word processing: An ERP study. Brain Res. Cogn. Brain Res. 2002, 15, 99–103. [Google Scholar] [CrossRef]
- West, W.C.; Holcomb, P.J. Imaginal, semantic, and surface-level processing of concrete and abstract words: An electrophysiological investigation. J. Cogn. Neurosci. 2000, 12, 1024–1037. [Google Scholar] [CrossRef]
- Barton, J.J.; Hanif, H.M.; Eklinder Bjornstrom, L.; Hills, C. The word-length effect in reading: A review. Cogn. Neuropsychol. 2014, 31, 378–412. [Google Scholar] [CrossRef] [PubMed]
- Huang, H.W.; Meyer, A.M.; Federmeier, K.D. A “concrete view” of aging: Event related potentials reveal age-related changes in basic integrative processes in language. Neuropsychologia 2012, 50, 26–35. [Google Scholar] [CrossRef]
- Wilkinson, A.J.; Yang, L.; Dyson, B.J. Modulating younger and older adults’ performance in ignoring pictorial information during a word matching task. Brain Cogn. 2013, 83, 351–359. [Google Scholar] [CrossRef] [PubMed]
- DeLong, K.A.; Quante, L.; Kutas, M. Predictability, plausibility, and two late ERP positivities during written sentence comprehension. Neuropsychologia 2014, 61, 150–162. [Google Scholar] [CrossRef]
- Lau, E.F.; Namyst, A. fMRI evidence that left posterior temporal cortex contributes to N400 effects of predictability independent of congruity. Brain Lang. 2019, 199, 104697. [Google Scholar] [CrossRef]
- Harbin, T.J.; Marsh, G.R.; Harvey, M.T. Differences in the late components of the event-related potential due to age and to semantic and non-semantic tasks. Electroencephalogr. Clin. Neurophysiol. 1984, 59, 489–496. [Google Scholar] [CrossRef]
- Gunter, T.C.; Jackson, J.L.; Mulder, G. An electrophysiological study of semantic processing in young and middle-aged academics. Psychophysiology 1992, 29, 38–54. [Google Scholar] [CrossRef] [PubMed]
- Hamberger, M.; Friedman, D. Event-related potential correlates of repetition priming and stimulus classification in young, middle-aged, and older adults. J. Gerontol. 1992, 47, P395–P405. [Google Scholar] [CrossRef]
- Gunter, T.C.; Jackson, J.L.; Mulder, G. Language, memory, and aging: An electrophysiological exploration of the N400 during reading of memory-demanding sentences. Psychophysiology 1995, 32, 215–229. [Google Scholar] [CrossRef]
- Gunter, T.C.; Jackson, J.L.; Mulder, G. Focussing on aging: An electrophysiological exploration of spatial and attentional processing during reading. Biol Psychol. 1996, 43, 103–145. [Google Scholar] [CrossRef]
- Cameli, L.; Phillips, N.A. Age-related differences in semantic priming: Evidence from event-related brain potentials. Brain Cogn. 2000, 43, 69–73. [Google Scholar]
- Bonnaud, V.; Gil, R.; Ingrand, P. Metaphorical and non-metaphorical links: A behavioral and ERP study in young and elderly adults. Neurophysiol. Clin. 2002, 32, 258–268. [Google Scholar] [CrossRef]
- Phillips, N.A.; Lesperance, D. Breaking the waves: Age differences in electrical brain activity when reading text with distractors. Psychol. Aging 2003, 18, 126–139. [Google Scholar] [CrossRef] [PubMed]
- Nessler, D.; Johnson, R., Jr.; Bersick, M.; Friedman, D. On why the elderly have normal semantic retrieval but deficient episodic encoding: A study of left inferior frontal ERP activity. Neuroimage 2006, 30, 299–312. [Google Scholar] [CrossRef] [PubMed]
- Faustmann, A.; Murdoch, B.E.; Finnigan, S.P.; Copland, D.A. Effects of advancing age on the processing of semantic anomalies in adults: Evidence from event-related brain potentials. Exp. Aging Res. 2007, 33, 439–460. [Google Scholar] [CrossRef] [PubMed]
- Federmeier, K.D.; Kutas, M.; Schul, R. Age-related and individual differences in the use of prediction during language comprehension. Brain Lang. 2010, 115, 149–161. [Google Scholar] [CrossRef] [PubMed]
- Kawohl, W.; Bunse, S.; Willmes, K.; Hoffrogge, A.; Buchner, H.; Huber, W. Semantic event-related potential components reflect severity of comprehension deficits in aphasia. Neurorehabil. Neural Repair 2010, 24, 282–289. [Google Scholar] [CrossRef]
- Kousaie, S.; Phillips, N.A. Age-related differences in interlingual priming: A behavioural and electrophysiological investigation. Neuropsychol. Dev. Cogn. B Aging Neuropsychol. Cogn. 2011, 18, 22–55. [Google Scholar] [CrossRef]
- Lee, C.L.; Federmeier, K.D. Wave-ering: An ERP study of syntactic and semantic context effects on ambiguity resolution for noun/verb homographs. J. Mem. Lang. 2009, 61, 538–555. [Google Scholar] [CrossRef]
- Lee, C.L.; Federmeier, K.D. Differential age effects on lexical ambiguity resolution mechanisms. Psychophysiology 2011, 48, 960–972. [Google Scholar] [CrossRef] [PubMed]
- Grieder, M.; Crinelli, R.M.; Koenig, T.; Wahlund, L.O.; Dierks, T.; Wirth, M. Electrophysiological and behavioral correlates of stable automatic semantic retrieval in aging. Neuropsychologia 2012, 50, 160–171. [Google Scholar] [CrossRef] [PubMed][Green Version]
- Huang, H.W.; Lee, C.L.; Federmeier, K.D. Imagine that! ERPs provide evidence for distinct hemispheric contributions to the processing of concrete and abstract concepts. Neuroimage 2010, 49, 1116–1123. [Google Scholar] [CrossRef]
- Lee, C.L.; Federmeier, K.D. Ambiguity’s aftermath: How age differences in resolving lexical ambiguity affect subsequent comprehension. Neuropsychologia 2012, 50, 869–879. [Google Scholar] [CrossRef] [PubMed][Green Version]
- Davis, T.M.; Jerger, J.; Martin, J. Electrophysiological evidence of augmented interaural asymmetry in middle-aged listeners. J. Am. Acad. Audiol. 2013, 24, 159–173. [Google Scholar] [CrossRef]
- Molnar, M.; Toth, B.; Boha, R.; Gaal, Z.A.; Kardos, Z.; File, B.; Stam, C.J. Aging effects on ERP correlates of emotional word discrimination. Clin. Neurophysiol. Off. J. Int. Fed. Clin. Neurophysiol. 2013, 124, 1986–1994. [Google Scholar] [CrossRef]
- Mehta, J.; Jerger, J. Variation in semantic priming across age groups: An AERP study. Int. J. Audiol. 2014, 53, 235–242. [Google Scholar] [CrossRef]
- Zhou, T.; Li, J.; Broster, L.S.; Niu, Y.; Wang, P. Reduced late positivity in younger adults, but not older adults, during short-term repetition. Brain Res. 2015, 1594, 223–232. [Google Scholar] [CrossRef]
- Chang, C.T.; Lee, C.Y.; Chou, C.J.; Fuh, J.L.; Wu, H.C. Predictability effect on N400 reflects the severity of reading comprehension deficits in aphasia. Neuropsychologia 2016, 81, 117–128. [Google Scholar] [CrossRef]
- Ghosh Hajra, S.; Liu, C.C.; Song, X.; Fickling, S.; Liu, L.E.; Pawlowski, G.; Jorgensen, J.K.; Smith, A.M.; Schnaider-Beeri, M.; Van Den Broek, R.; et al. Developing Brain Vital Signs: Initial Framework for Monitoring Brain Function Changes Over Time. Front. Neurosci. 2016, 10, 211. [Google Scholar] [CrossRef]
- Khachatryan, E.; De Letter, M.; Vanhoof, G.; Goeleven, A.; Van Hulle, M.M. Sentence Context Prevails Over Word Association in Aphasia Patients with Spared Comprehension: Evidence from N400 Event-Related Potential. Front. Hum. Neurosci. 2016, 10, 684. [Google Scholar] [CrossRef] [PubMed]
- Payne, B.R.; Federmeier, K.D. Event-related brain potentials reveal age-related changes in parafoveal-foveal integration during sentence processing. Neuropsychologia 2017, 106, 358–370. [Google Scholar] [CrossRef] [PubMed]
- Stites, M.C.; Payne, B.R.; Federmeier, K.D. Getting ahead of yourself: Parafoveal word expectancy modulates the N400 during sentence reading. Cogn. Affect. Behav. Neurosci. 2017, 17, 475–490. [Google Scholar] [CrossRef] [PubMed]
- Weißbecker-Klaus, X.; Ullsperger, P.; Freude, G.; Schapkin, S.A. Impaired error processing and semantic processing during multitasking. J. Psychophysiol. 2017, 31, 167–178. [Google Scholar] [CrossRef]
- Xu, N.; Hou, X.; Zhao, B.; Zhu, Z.; Yang, Y. Age-related temporal-spatial dynamic ERP changes during sentence comprehension. Neurosci. Lett. 2017, 645, 74–79. [Google Scholar] [CrossRef]
- Dave, S.; Brothers, T.A.; Swaab, T.Y. 1/f neural noise and electrophysiological indices of contextual prediction in aging. Brain Res. 2018, 1691, 34–43. [Google Scholar] [CrossRef]
- Mah, R.L.; Connolly, J.F. A framework for the extended monitoring of levels of cognitive function in unresponsive patients. PLoS ONE 2018, 13, e0200793. [Google Scholar] [CrossRef]
- Federmeier, K.D.; Kutas, M. What’s “left”? Hemispheric sensitivity to predictability and congruity during sentence reading by older adults. Neuropsychologia 2019, 133, 107173. [Google Scholar] [CrossRef]
- Federmeier, K.D.; Kutas, M. Right words and left words: Electrophysiological evidence for hemispheric differences in meaning processing. Brain Res. Cogn. Brain Res. 1999, 8, 373–392. [Google Scholar] [CrossRef]
- Federmeier, K.D.; Kutas, M. A Rose by Any Other Name: Long-Term Memory Structure and Sentence Processing. J. Mem. Lang. 1999, 41, 469–495. [Google Scholar] [CrossRef]
- Kim, H.; Jin, Y. Emotion and reading comprehension in elderly and young adults: An ERP study. NeuroQuantology 2019, 17, 50–58. [Google Scholar] [CrossRef]
- Lucas, H.D.; Gupta, R.S.; Hubbard, R.J.; Federmeier, K.D. Adult Age Differences in the Use of Conceptual Combination as an Associative Encoding Strategy. Front. Hum. Neurosci. 2019, 13, 339. [Google Scholar] [CrossRef]
- Lucas, H.D.; Hubbard, R.J.; Federmeier, K.D. Flexible conceptual combination: Electrophysiological correlates and consequences for associative memory. Psychophysiology 2017, 54, 833–847. [Google Scholar] [CrossRef] [PubMed]
- Xu, N.; Chen, S.; Yang, Y.; Zhu, Z. Increased world knowledge in older adults does not prevent decline in world knowledge comprehension: An ERP study. Brain Cogn. 2020, 140, 105534. [Google Scholar] [CrossRef] [PubMed]
- Hamberger, M.J.; Friedman, D.; Ritter, W.; Rosen, J. Event-related potential and behavioral correlates of semantic processing in Alzheimer’s patients and normal controls. Brain Lang. 1995, 48, 33–68. [Google Scholar] [CrossRef] [PubMed]
- Auchterlonie, S.; Phillips, N.A.; Chertkow, H. Behavioral and electrical brain measures of semantic priming in patients with Alzheimer’s disease: Implications for access failure versus deterioration hypotheses. Brain Cogn. 2002, 48, 264–267. [Google Scholar]
- Schwartz, T.J.; Federmeier, K.D.; Van Petten, C.; Salmon, D.P.; Kutas, M. Electrophysiological analysis of context effects in Alzheimer’s disease. Neuropsychology 2003, 17, 187–201. [Google Scholar] [CrossRef][Green Version]
- Wolk, D.A.; Schacter, D.L.; Berman, A.R.; Holcomb, P.J.; Daffner, K.R.; Budson, A.E. Patients with mild Alzheimer’s disease attribute conceptual fluency to prior experience. Neuropsychologia 2005, 43, 1662–1672. [Google Scholar] [CrossRef]
- Olichney, J.M.; Iragui, V.J.; Salmon, D.P.; Riggins, B.R.; Morris, S.K.; Kutas, M. Absent event-related potential (ERP) word repetition effects in mild Alzheimer’s disease. Clin. Neurophysiol. Off. J. Int. Fed. Clin. Neurophysiol. 2006, 117, 1319–1330. [Google Scholar] [CrossRef]
- Taler, V.; Klepousniotou, E.; Phillips, N.A. Comprehension of lexical ambiguity in healthy aging, mild cognitive impairment, and mild Alzheimer’s disease. Neuropsychologia 2009, 47, 1332–1343. [Google Scholar] [CrossRef]







| Outcome | Factor | df | F Value | p Value | ηp2 |
|---|---|---|---|---|---|
| Accuracy | Age | 1/51 | 11.435 | 0.001 * | 0.183 |
| Semantic association | 1/51 | 1.192 | 0.280 | 0.023 | |
| Age × Semantic Association | 1/51 | 1.523 | 0.223 | 0.029 | |
| Study | 17/51 | 19.647 | 0.000 ** | 0.868 | |
| RTs | Age | 1/33 | 25.934 | 0.000 ** | 0.440 |
| Semantic association | 1/33 | 15.505 | 0.000 ** | 0.320 | |
| Age × Semantic Association | 1/33 | 0.323 | 0.574 | 0.010 | |
| Study | 11/33 | 78.584 | 0.000 ** | 0.963 | |
| N400 amplitude | Age | 1/60 | 4.338 | 0.042 * | 0.067 |
| Semantic association | 1/60 | 64.889 | 0.000 ** | 0.520 | |
| Age × Semantic Association | 1/60 | 11.128 | 0.001 * | 0.156 | |
| High association: O vs. Y | 1/20 | 0.764 | 0.392 | 0.037 | |
| Weak association: O vs. Y | 1/20 | 13.272 | 0.002 * | 0.399 | |
| Older: High vs. Weak | 1/20 | 52.716 | 0.000 ** | 0.725 | |
| Younger: High vs. Weak | 1/20 | 77.119 | 0.000 ** | 0.794 | |
| Study | 20/60 | 16.497 | 0.000 ** | 0.846 | |
| N400 effect amplitude | Age | 1/30 | 89.605 | 0.000 ** | 0.749 |
| Study | 30/30 | 5.287 | 0.000 ** | 0.841 | |
| N400 effect peak latency | Age | 1/11 | 51.393 | 0.000 ** | 0.824 |
| Study | 11/11 | 12.476 | 0.000 ** | 0.926 |
Publisher’s Note: MDPI stays neutral with regard to jurisdictional claims in published maps and institutional affiliations. |
© 2020 by the authors. Licensee MDPI, Basel, Switzerland. This article is an open access article distributed under the terms and conditions of the Creative Commons Attribution (CC BY) license (http://creativecommons.org/licenses/by/4.0/).
Share and Cite
Joyal, M.; Groleau, C.; Bouchard, C.; Wilson, M.A.; Fecteau, S. Semantic Processing in Healthy Aging and Alzheimer’s Disease: A Systematic Review of the N400 Differences. Brain Sci. 2020, 10, 770. https://doi.org/10.3390/brainsci10110770
Joyal M, Groleau C, Bouchard C, Wilson MA, Fecteau S. Semantic Processing in Healthy Aging and Alzheimer’s Disease: A Systematic Review of the N400 Differences. Brain Sciences. 2020; 10(11):770. https://doi.org/10.3390/brainsci10110770
Chicago/Turabian StyleJoyal, Marilyne, Charles Groleau, Clara Bouchard, Maximiliano A. Wilson, and Shirley Fecteau. 2020. "Semantic Processing in Healthy Aging and Alzheimer’s Disease: A Systematic Review of the N400 Differences" Brain Sciences 10, no. 11: 770. https://doi.org/10.3390/brainsci10110770
APA StyleJoyal, M., Groleau, C., Bouchard, C., Wilson, M. A., & Fecteau, S. (2020). Semantic Processing in Healthy Aging and Alzheimer’s Disease: A Systematic Review of the N400 Differences. Brain Sciences, 10(11), 770. https://doi.org/10.3390/brainsci10110770

