Parametric Numerical Analysis of Factors Influencing the Shear Strength of Precast Concrete Walls with Dry Connections
Abstract
1. Introduction
- Concrete compressive strength
- Axial force percentage
- Wall section height
- Wall height
- Connection characteristics, such as bar dimensions, quantity, and positioning.
2. Methodology
2.1. Wall Modelling Description
2.2. Validation of the Model
2.3. Definition of Materials
2.3.1. Concrete
2.3.2. Steel
2.4. Description of the Parametric Study
2.4.1. Section Height
2.4.2. Normalised Axial Load
2.4.3. Concrete Compressive Strength
2.4.4. Wall Height
2.4.5. Dry Mechanical Connections
- Rebar diameter variations (20, 25, and 30 mm) to assess the influence of reinforcement size.
- Number of rebars per connection (2, 3, and 5 rebars) to study the effect of quantity in the limited space of one wall.
- Position variations (cantered vs. edge placement) to evaluate the impact of connector location.
3. Results and Discussion
3.1. Global Analysis
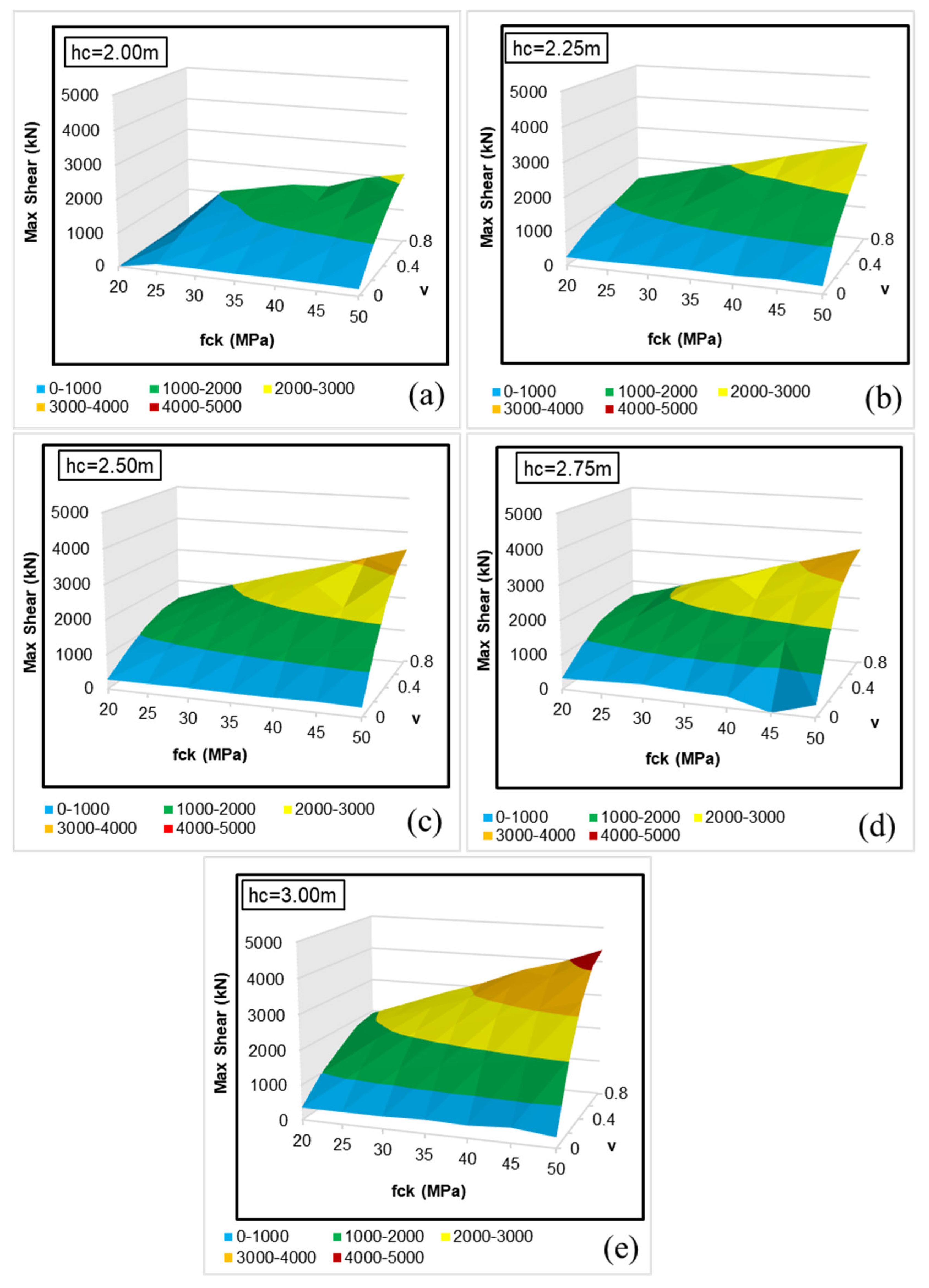
3.2. Concrete Compressive Strength and Axial Force
3.3. Section Height
3.4. Wall Height
3.5. Dry Mechanical Connections
3.5.1. Rebar Diameter
3.5.2. Number and Disposition of Connecting Rebars
4. Conclusions
- Wall Geometry—Section Height: An increase in section height significantly enhances the shear capacity. For example, in the most favourable case studied (fck = 50 MPa, v = 0.8, H = 2.67 m), increasing the section height from hc = 2 m to hc = 3 m resulted in a shear strength increase from 2361 kN to 4349 kN, representing an 84% improvement.
- Wall Geometry—Wall Height: Conversely, increasing the overall wall height reduced shear capacity. For instance, with fixed parameters (Section 3.4), increasing wall height from H = 1.5 m to H = 3.5 m reduced shear strength from 1878 kN to 760 kN, a 58% decrease.
- Axial Load: Increased axial load significantly improved shear capacity by enhancing friction and force distribution within the wall. The most notable increase observed was over 1300%, rising from 298 kN (v = 0.0) to 4349 kN (v = 0.8) for fixed parameters (fck = 50 MPa, hc = 3 m, H = 2.67 m).
- Concrete Compressive Strength: Higher compressive strength of concrete greatly improved shear capacity, with an increase of 125% observed—from 1930 kN (fck = 20 MPa) to 4349 kN (fck = 50 MPa), under fixed parameters (v = 0.8, H = 2.67 m, hc = 3 m).
- Mechanical Connections—Diameter: Increasing rebar diameter from 2ϕ20 to 2ϕ30 improved shear capacity from 915 kN to 1095 kN, a 22% increase (hc = 2.25 m, H = 2.67 m, v = 0.2, fck = 30 MPa).
- Mechanical Connections—Quantity: Increasing the number of bars from 2ϕ25 to 5ϕ25 increased shear capacity from 827 kN to 1029 kN, a 24% improvement (hc = 2.25 m, H = 2.67 m, v = 0.2, fck = 30 MPa).
- Mechanical Connections—Placement: Adjusting bar placement from cantered to edge placement resulted in a minor increase from 1029 kN to 1059 kN, a 3% improvement (hc = 2.25 m, H = 2.67 m, v = 0.2, fck = 30 MPa).
Author Contributions
Funding
Institutional Review Board Statement
Informed Consent Statement
Data Availability Statement
Conflicts of Interest
References
- Hendershot, G.L.; Cook, G.E. Precast Concrete Construction and Construction Method. U.S. Patent 6076319A, 3 October 1995. [Google Scholar]
- de Lima Silva, L.N.; de Souza Queiroz, E. Avaliação Da Execução de Pré-Moldados Em Residências. Rev. Ft. 2024, 29, 59–60. [Google Scholar] [CrossRef]
- Kurama, Y.C.; Sritharan, S.; Fleischman, R.B.; Restrepo, J.I.; Henry, R.S.; Cleland, N.M.; Ghosh, S.K.; Bonelli, P. Seismic-Resistant Precast Concrete Structures: State of the Art. J. Struct. Eng. 2018, 144, 03118001. [Google Scholar] [CrossRef]
- Nasrun, M.; Nawi, M.; Nor, M.; Azman, A.; Baluch, N.; Anuar, K.; Kamar, M.; Zuhairi, D.; Ha-mid, A. Study on the Use of Industrialised Building System in Malaysian Private Construction Pro-jects. ARPN J. Eng. Appl. Sci. 2015, 10, 7368–7374. [Google Scholar]
- Hu, X.; Xue, W.; Lv, Y. Seismic Behavior of a New Type of Precast Concrete Shear Wall Using UHPC Connections at Boundary Elements. Eng. Struct. 2024, 302, 117468. [Google Scholar] [CrossRef]
- Gong, C.; Hu, Y.; Liang, Z.; Zhang, S.; Qian, Y. Seismic Performance and Design of Precast Shear Wall with Headed Bar Overlap Connections. J. Build. Eng. 2024, 86, 108727. [Google Scholar] [CrossRef]
- Zhong, Z.; Li, G.; Li, J.; Shen, J.; Zhao, M.; Du, X. Experimental Study on Out-of-Plane Seismic Performance of Precast Composite Sidewalls of Utility Tunnel with Grouting-Sleeve Joints. Underground space (new). Undergr. Space 2024, 16, 1–17. [Google Scholar] [CrossRef]
- Pham, K.V.A.; Kim, Y.N.; Woo, S.; Kim, S.J.; Lee, G.; Lee, K. Experimental-FEA Investigation of the Structural Performance of Steel Box Connector in Precast Concrete Connection. J. Build. Eng. 2024, 95, 110077. [Google Scholar] [CrossRef]
- Zhang, R.; Guo, T.; Li, A. Experimental Investigation into Demountable Dry Connections for Fully Precast Frame Structures through Shaking Table Tests. Thin-Walled Struct. 2024, 201, 112014. [Google Scholar] [CrossRef]
- Fintel, M. Performance of Precast and Prestressed Concrete in Mexico Earthquake. PCI J. V. January-February. 1986, 18–42. Available online: https://www.pci.org/PCI_Docs/Publications/PCI%20Journal/1986/January/Performance%20of%20Precast%20and%20Prestressed%20Concrete%20in%20Mexico%20Earthquake.pdf (accessed on 1 January 2025). [CrossRef]
- Wood, P.R.; Berrill, J.B.; Gillon, N.R.; North, P.J. Earthquake of 7 December 1988, Spitak, Armenia Report of the NZNSEE Team Visit of 1989. Bull. N. Z. Natl. Soc. Earthq. Eng. 1989, 26. [Google Scholar] [CrossRef]
- Fintel, M. Performance of Buildings with Shear Walls in Earthquakes of the Last Thirty Years. PCI J. 1995, 40, 62–80. [Google Scholar] [CrossRef]
- Saatcioglu, M.; Mitchell, D.; Tinawi, R.; Gardner, N.J.; Gillies, A.G.; Ghobarah, A.; Anderson, D.L.; Lau, D. The August 17, 1999 Kocaeli (Turkey) Earthquake—Damage to Structures. Can. J. Civ. Eng. 2001, 28, 715–737. [Google Scholar]
- Muguruma, H.; Nishiyama, M.; Watanabe, F. Lessons Learned from the Kobe Earthquake—A Japanese Perspective. PCI J. 1995, 40, 28–42. [Google Scholar] [CrossRef]
- Psycharis, I.N.; Kalyviotis, I.M.; Mouzakis, H.P. Experimental Investigation of the Response of Precast Concrete Cladding Panels with Integrated Connections under Monotonic and Cyclic Loading. Eng. Struct. 2018, 159, 75–88. [Google Scholar] [CrossRef]
- Furtado, A.; Sousa, R.; Carmo, R.; Júlio, E. Desafios Na Simulação Numérica de Construções Modulares Pre-Fabricadas Em Betão Armado. In Proceedings of the 13º Congresso Nacional de Sismologia e Engenharia Sísmica, Sísmica 2024, Guimaraes, Portugal, 17–19 April 2024. [Google Scholar]
- SeismoStruct, Version 2024; Seismosoft Ltd.: Pavia, Italy, 2024.
- Correia, A.N. Simulação Numérica Da Resposta de Estruturas Modulares Pré Fabricadas Em Betão a Ações Horizontais. Master’s Thesis, Instituto Superior Técnico—University of Lisbon, Lisbon, Portugal, 2024. [Google Scholar]
- Nunes, M.S.M. Seismic Behaviour of Prefabricated Reinforced Concrete Modular Constructions. Master’s Thesis, Instituto Superior Técnico—University of Lisbon, Lisbon, Portugal, 2004. [Google Scholar]
- Seismosoft Ltd. SeismoStruct—User Manual; Seismosoft Ltd.: Pavia, Italy, 2024. [Google Scholar]
- Menegotto, M.; Pinto, P.E. Method of Analysis for Cyclically Loaded R.C. Plane Frames Including Changes in Geometry and Non-Elastic Behaviour of Elements under Combined Normal Force and Bending. In Proceedings of the Symposium on the Resistance and Ultimate Deformability of Structures Acted on by Well Defined Bibliography 319 Repeated Loads, International Association for Bridge and Structural Engineering, Lisbon, Portugal, 13–14 September 1973; pp. 15–22. [Google Scholar]
- Chang, G.A.; Mander, J.B. Seismic Energy Based Fatigue Damage Analysis of Bridge Columns: Part 1—Evaluation of Seismic Capacity; NCEER Technical Report No. NCEER-94-0006; National Center for Earthquake Engineering Research; State University of New York at Buffalo: Buffalo, NY, USA, 1994. [Google Scholar]
- Yassin, M.H.M. Nonlinear Analysis of Prestressed Concrete Structures Under Monotonic and Cyclic Loads. Ph.D. Thesis, University of California, Berkeley, CA, USA, 1994. [Google Scholar]
- Filippou, F.C.; Popov, E.P.; Bertero, V.V. Effects of Bond Deterioration on Hysteretic Behaviour of Reinforced Concrete Joints. In Report EERC 83-19, Earthquake Engineering Research Center; University of California: Berkeley, CA, USA, 1983. [Google Scholar]
- Monti, G.; Nuti, C.; Santini, S. CYRUS—Cyclic Response of Upgraded Sections. In Report No. 96-2; University of Chieti: Chieti, Italy, 1996. [Google Scholar]
- Fragiadakis, M.; Papadrakakis, M. Modeling, Analysis and Reliability of Seismically Excited Structures: Computational Issues. Int. J. Comput. Methods 2008, 5, 483–511. [Google Scholar] [CrossRef]
- Prota, A.; Cicco, F.; Cosenza, E. Cyclic Behavior of Smooth Steel Reinforcing Bars: Experimental Analysis and Modeling Issues. J. Earthq. Eng. 2009, 13, 500–519. [Google Scholar] [CrossRef]











| fc (MPa) | ft (MPa) | Ec (MPa) | εc (m/m) | εt (m/m) |
|---|---|---|---|---|
| 20–50 | 0.1 | 24,600 | 0.002 | 0.0002 |
| Es (MPa) | fy (MPa) | μ | R0 | a1 | a2 | a3 | a4 | εult |
|---|---|---|---|---|---|---|---|---|
| 170,000 | 570 | 0.005 | 20 | 18.5 | 0.15 | 0 | 1 | 10 |
Disclaimer/Publisher’s Note: The statements, opinions and data contained in all publications are solely those of the individual author(s) and contributor(s) and not of MDPI and/or the editor(s). MDPI and/or the editor(s) disclaim responsibility for any injury to people or property resulting from any ideas, methods, instructions or products referred to in the content. |
© 2025 by the authors. Licensee MDPI, Basel, Switzerland. This article is an open access article distributed under the terms and conditions of the Creative Commons Attribution (CC BY) license (https://creativecommons.org/licenses/by/4.0/).
Share and Cite
Ribeiro, A.; Daskalakis, P.; Hosseini, S.; Furtado, A. Parametric Numerical Analysis of Factors Influencing the Shear Strength of Precast Concrete Walls with Dry Connections. Appl. Sci. 2025, 15, 1959. https://doi.org/10.3390/app15041959
Ribeiro A, Daskalakis P, Hosseini S, Furtado A. Parametric Numerical Analysis of Factors Influencing the Shear Strength of Precast Concrete Walls with Dry Connections. Applied Sciences. 2025; 15(4):1959. https://doi.org/10.3390/app15041959
Chicago/Turabian StyleRibeiro, Aléxia, Panagiotis Daskalakis, Seyedsajjad Hosseini, and André Furtado. 2025. "Parametric Numerical Analysis of Factors Influencing the Shear Strength of Precast Concrete Walls with Dry Connections" Applied Sciences 15, no. 4: 1959. https://doi.org/10.3390/app15041959
APA StyleRibeiro, A., Daskalakis, P., Hosseini, S., & Furtado, A. (2025). Parametric Numerical Analysis of Factors Influencing the Shear Strength of Precast Concrete Walls with Dry Connections. Applied Sciences, 15(4), 1959. https://doi.org/10.3390/app15041959

