Abstract
Currently, new cultivation methods are increasingly sought to create functional foods that could reduce the risk of certain diseases. Benign prostatic hyperplasia represents significant health challenges worldwide and because of that, we investigated the effect of microgravity and total darkness on the anti-proliferative, anti-inflammatory, and anti-androgenic activity of white clover sprouts. The use of clover sprouts, a widely studied plant from the Fabaceae family, can be promising due to their rich phytochemical profile, including isoflavones, known for estrogenic properties. Anti-proliferation activity was determined using a crystal violet assay. Analysis of the prostate-specific antigen (PSA) and 5-α-reductase level was performed using ELISA kits, similarly to anti-inflammatory activity. White clover sprouts exerted anti-proliferative activity against PNT2 prostate cells stimulated by testosterone, and total darkness increased this activity. In addition, anti-androgenic activity of white clover sprouts was demonstrated, through the inhibition of PSA and 5-α-reductase activity, which was most visible in 7-days-old sprouts growing in conditions of microgravity and standard light. In turn, the anti-inflammatory activity of the tested sprouts was rather moderate, but most observed in the inhibition of pro-inflammatory interleukin 6 (IL-6). White clover sprouts cultivated in microgravity and darkness may represent a candidate for novel functional food with anti-androgenic activity.
1. Introduction
Recently, research has been conducted on innovative, new methods of growing edible plant sprouts in order to stimulate the synthesis of bioactive compounds with health-promoting properties. These methods included the use of variable lighting conditions [1,2] different CO2 content [3,4] or the use of disturbed gravity. In recent years, a number of publications have examined the effects of disturbed gravity on plants [5,6], the majority of which focused on agricultural or physiological aspects, while almost no data exists on the effect on health-promoting properties of the plants. Research, although scarce, has so far revealed that growing plants in altered gravity can result in unique physiological responses, which may positively affect the production of bioactive compounds and bioactivity [7,8,9].
Prostate disorders, including benign prostatic hyperplasia (BPH), represent significant health challenges worldwide, affecting millions of men each year. While current treatment options have shown varying degrees of effectiveness, there is still an urgent need for prostate disorder prevention. Plant-based diets are associated with many health benefits, including lower risk of cardiovascular disease, diabetes, and higher overall mortality [10,11]. In recent years, the potential of plant-based diets and the use of functional food have garnered attention, also in the context of bioactive compounds that may alleviate the symptoms or slow the progression of prostate disorders.
Sprouts are easy to grow as an example of functional food. They are harvested at an early stage of plant growth and as soon as the growing of the sprouts begins, the production of the bioactive compounds instantly increases, making them a rich source of nutrients and phytochemicals, compared to plants at the later stages of the development. Additionally, sprouts can be useful in the defense of different types of chronic disorders [12]. Legume sprouts such as fenugreek and clover showed activity against prostate and breast cancer cells in vitro [13,14]. The use of clover (Trifolium L.), a widely studied plant from the Fabaceae family, can be promising due to its rich phytochemical profile, including polyphenolic compounds [15], like isoflavones which are structurally similar to 17-β-estradiol. These compounds reveal not only estrogenic activity by affecting estrogen receptors and aromatase activity but also can affect 5-α-reductase activity, responsible for the transformation of testosterone into dihydrotestosterone (DHT). This may be of great importance in terms of the development of hormone-sensitive cancers, but also in the prevention of DHT-stimulated prostate enlargement. In our previous study, clover sprouts exerted a cytotoxic effect on prostate hormone-sensitive cancer cells, which was especially visible for crimson and Persian clover sprouts, at the same time the sprouts were non-toxic for normal prostate epithelial cells [14]. Moreover, in our previous study [9], white clover (Trifolium repens) sprouts grown under simulated microgravity showed an increased synthesis of bioactive compounds and antioxidant activity. Additionally, the enhancement of their cytotoxic impact was observed, especially for androgen-dependent prostate cancer LNCaP cells. These preliminary results inspired us to explore this topic, making white clover sprouts a candidate for further investigation in the context of prostate health.
The primary factor that distinguishes this study from previous ones which used Fabaceae plants, is the use of an innovative cultivation method—microgravity and darkness, which is intended to simulate the conditions present in space. This study aims to explore the potential of white clover sprouts grown in microgravity and different lightning conditions such as darkness as a novel functional food with activity directed to benign prostate hyperplasia. To achieve this, we examined anti-proliferative potential against testosterone-stimulated PNT2 normal human prostate epithelial cells—this cellular model is intended to mimicking prostate hyperplasia. Additionally, anti-androgenic activity (determination of prostate-specific antigen (PSA) and 5-α-reductase activity) and the anti-inflammatory activity (determination of nitric oxide (NO), IL-6, and tumor necrosis factor (TNF-α) release) of the mentioned sprouts were tested. We hope that presented results will help to unveil the role of white clover sprouts grown in altered light and gravity condition as a novel diet element for prostate cancer and BPH prevention.
2. Materials and Methods
2.1. Plant Material and Sprouting Conditions
The clover (Trifolium nano repens) seeds were obtained from TORAF sp. z o.o. company, Kujakowice Górne, Poland (voucher specimen No: C/1NL3114201). The sprouts’ grow conditions were described in detail in our previous article [9]. Briefly, the seeds were transferred to special plastic containers, which were placed in the random positioning machine (RPM) (Astrotech, Poland). The RPM (AATC) is a small device, which accurately simulates the behavior of biological specimens in the free-fall conditions detected in space because of the randomization of the rotation movement of two axes. The containers were rotated throughout the entire cultivation period to simulate microgravity conditions. Different light conditions were used: standard light conditions (~12 h of sunlight and ~12 h of night) and complete darkness. The cultivation temperature was 22 ± 1 °C and the sprouting time was 5, 6, or 7 days. The control sprouts were grown in Easy Green automatic sprouters under the same light and temperature conditions as the experimental sprouts.
2.2. Extracts Preparation
Extracts preparation was described in our previous article [9]. Briefly, the sprouts were extracted for 3 h in a Soxhlet apparatus using methanol as the solvent. The extraction temperature was the same as the temperature of methanol used as the solvent (65 °C); the plant-to-solvent ratio was 25 g/300 mL. Extracts were evaporated to dry mass, (dried extract ratio was 3.5–5.5% w/w.) and then dissolved in dimethylsulfoxide (DMSO), to achieve stock solutions of 10 mg/mL, to be used for further cellular assays.
2.3. Cell Cultures
Experiments were performed on human PNT2 prostate epithelial cells. For the anti-inflammatory assay, murine RAW264.7 macrophages were used. The cells were grown under standard conditions, as mentioned previously [16], PNT2 cells in DMEM/F12 medium and RAW 264.7 cells in DMEM high glucose medium, supplemented with 10% of fetal bovine serum and antibiotics. The cell lines and all culture media were purchased in Merck, Darmstadt, Germany.
2.4. Proliferation Assay
This method was described previously [9]. Briefly, the PNT2 cells were first seeded onto 96-well plates and after 24 h of incubation, the medium was replaced with fresh medium containing 0.5 μM of testosterone propionate, to stimulate hyperproliferation of the cells. Cells were then treated with the tested extracts (50 and 100 µg/mL) or dutasteride (10 µM) as a reference drug (5-alpha-reductase inhibitor drug that is mainly used to treat benign prostatic hyperplasia). The toxicity of DMSO alone was excluded prior to the experiment, with final DMSO concentration in the wells not exceeding 0.1%. After 24, 48, and 72 h of incubation, the cell number was determined using a crystal violet (CV) assay, as described previously [17]. The proliferation rate was determined as a % of control (untreated cells).
2.5. PSA and 5-α-Reductase Determination
This method was described previously [18]. Briefly, PNT2 cells were seeded onto 96-multi-well plates and after 24 h were treated with the tested extracts at the concentrations of 50, 100, and 200 µg/mL, then incubated for another 48 h. Dutasteride (10 µM) was used as a reference drug. Cell culture supernatants were collected and used for analysis of PSA and 5-α-reductase level, performed using ELISA kits, according to the manufacturer’s protocol. The analyses were performed in triplicates, and the absorbance was measured using a microplate reader (BioTek Instruments Inc., Winooski, VT, USA). The results were determined as a % of control (untreated cells).
2.6. Anti-Inflammatory Activity
Before the experiment, the toxicity of the extracts to the macrophages was evaluated by an MTT assay, as described previously [9]. Then, the anti-inflammatory assay was performed, as described previously [17]. Briefly, the RAW 264.7 cells were seeded onto 96-multi-well plates, incubated for 24 h, and then treated with the tested extracts for 1 h, followed by the addition of 10 ng/mL of LPS. Dexamethasone (DEX) (0.5 µg/mL) was used as the positive control (synthetic glucocorticosteroid drug with long-lasting and strong anti-inflammatory effects). After 24 h of incubation, the cell culture supernatants were collected and used for further analysis. The nitric oxide level was determined using Griess Reagent Kit (Promega Corporation, Madison, Winooski, VT, USA) and the cytokine (TNF-α, IL-6) release level was determined using ELISA kits (Bioassay Technology Laboratory, Shanghai, China), all according to the manufacturer’s protocol. The analyses were performed in triplicates, and the absorbance was measured using a microplate reader (BioTek Instruments Inc., Winooski, VT, USA). The results were determined as a % of the control (LPS (lipopolysaccharide)-treated cells).
2.7. Statistical Analysis
Statistical analysis was performed with Statistica v.13.3. (TIBCO Software Inc., Palo Alto, CA, USA) tools, using ANOVA post hoc Tukey’s test. All the experiments were carried out in triplicate, and the data were reported as the mean ± standard deviation (SD). The differences between the groups were considered statistically significant when the p values were ≤0.05.
3. Results
We examined white clover sprouts grown in unpleasant environmental conditions (microgravity, total darkness) for anti-inflammatory, anti-proliferative, and anti-androgenic activity through PSA and 5-α-reductase inhibition. Based on some of the previous studies, we can conclude that stress conditions like simulated microgravity and the lack of sunlight during the early stage of sprouting can stimulate the bioactivity of the sprouts, like antioxidant and cytotoxic activity [7,9]. The results presented here are a continuation of our previous studies, in which the effect of the altered cultivation conditions on the content of bioactive compounds such as isoflavones and phenolic acids were evaluated [9]. In order to provide a better understanding of the results presented in this study, we decided to include the results of the quantitative analysis of the white clover sprout extracts (Table S1, Supplementary Materials). In general, microgravity caused an increase in the isoflavones concentration (microgravity and standard light (LM), microgravity and darkness (DM)) in comparison to normal gravity (standard light (L), darkness (D)). The most visible effect was for 5LM sprouts, in which microgravity caused more than a 2-fold increase in isoflavone synthesis.
3.1. Anti-Proliferative Activity
The anti-proliferative activity of white clover sprouts extracts against testosterone-stimulated PNT2 prostate cells after 24 h of incubation is presented in Figure 1. In this experiment, PNT2 cells were first stimulated with testosterone (prostate hyperplasia in vitro model). Testosterone in the human prostate is converted by the enzyme 5-α-reductase into DHT, which binds more strongly to androgen receptors and is the main driver of prostate cell growth and proliferation. Testosterone in fact, caused significant increased proliferation of PNT2 cells (T) in comparison to the control condition (C). Additionally, the positive control dutasteride, a 5-α-reductase inhibitor used in the treatment of prostatic hyperplasia, was applied to testosterone-stimulated cells (T + DUT). In our experiment, dutasteride caused a significant reduction in PNT2 cell proliferation in comparison to both controls (C and T) and it was more efficient than the majority of the tested sprouts extracts, which is an expected observation, as the sprouts could potentially support therapy, or cause preventative effects. Two different concentrations of the extracts were used (50 and 100 μg/mL) and the anti-proliferative effect was dose-dependent since the higher concentration caused a visible improvement in this activity of tested sprouts. In the concentration of 50 μg/mL the inhibition of proliferation did not exceed 70%, while in the concentration of 100 μg/mL the inhibition of some samples was below 50%. The anti-proliferative activity was, however, independent of the exposure time. Although the effect was examined after 24, 48, and 72 h, the activity of the extracts in the three time intervals was almost identical, therefore we decided to show only the effect after 24 h of incubation. The white clover sprouts’ extracts tested in higher concentration (100 μg/mL) exerted anti-proliferative potential, since every tested sample caused a significant decrease in PNT2 prostate cell proliferation in comparison to both controls (T and C). This effect was most profound for 5-, 6-, and 7-days-old sprouts, grown in darkness conditions, without microgravity. What is important, to our knowledge, is that this is the first study that describes the anti-proliferative activity of white clover sprouts against PNT2 cells stimulated with testosterone. Additionally, the impact of the cultivation process such as microgravity and darkness conditions and their influence on the anti-proliferative potential of white clover sprouts was also tested for the first time.
Figure 1.
Anti-proliferative activity of white clover sprouts extracts in two different concentrations (50 and 100 μg/mL) tested on testosterone-stimulated PNT2 prostate cells, after 24 h of incubation. The results are presented as the mean % of cell proliferation inhibition ± SD (standard deviation) of three independent measurements. Significant differences (p ≤ 0.05) in each harvest day are marked with pairs of letters; significant differences (p < 0.05) between tested concentrations are marked by upper black lines. The negative control (T) had significant differences with all tested extracts and was therefore marked with *; the positive control (T + DUT) had significant differences with all tested extracts except one (7D100) and was therefore marked with **; the control (C) had significant differences with all tested extracts except 5L50, 5LM50, 5DM50, 6L50, 6LM50, 7LM50, and 7DM50 and was therefore marked with ***. Abbreviations of the sprouts’ samples: L—standard light; D—darkness; LM—standard light and microgravity; DM—darkness and microgravity. The numbers placed before each abbreviation indicate harvest day (5, 6, and 7), the numbers 50 and 100 after each abbreviation indicates concentration. Other abbreviations: T—testosterone; DUT—dutasteride; C—control.
In this experimental model, no significant differences were observed between the activity of the sprouts grown in microgravity conditions, both with standard light and darkness and the control sprouts grown in standard gravity and light, which suggests that microgravity does not affect the anti-proliferative activity of white clover sprouts against prostate cells. However, the anti-proliferative activity of sprouts grown in total darkness increased significantly in comparison to other tested conditions, and a particularly visible effect was observed for 7-days-old sprouts, where this activity was comparable to dutasteride alone.
3.2. PSA Release and 5-α-Reductase Activity
PSA is an androgen-regulated serine protease secreted almost exclusively by prostatic epithelial cells. Increased levels of PSA in plasma are usually associated with BPH and increased prostate cancer risk [19]. The 5-α-reductase isoenzymes stimulate the conversion of testosterone into its active form—dihydrotestosterone (DHT), the excess of which can lead to BPH or the development of prostate cancer [20]. Therefore, during the search for functional foods lowering the risk of developing prostate diseases, the candidates revealing inhibitory effects on both 5-α-reductase and PSA would be most valued.
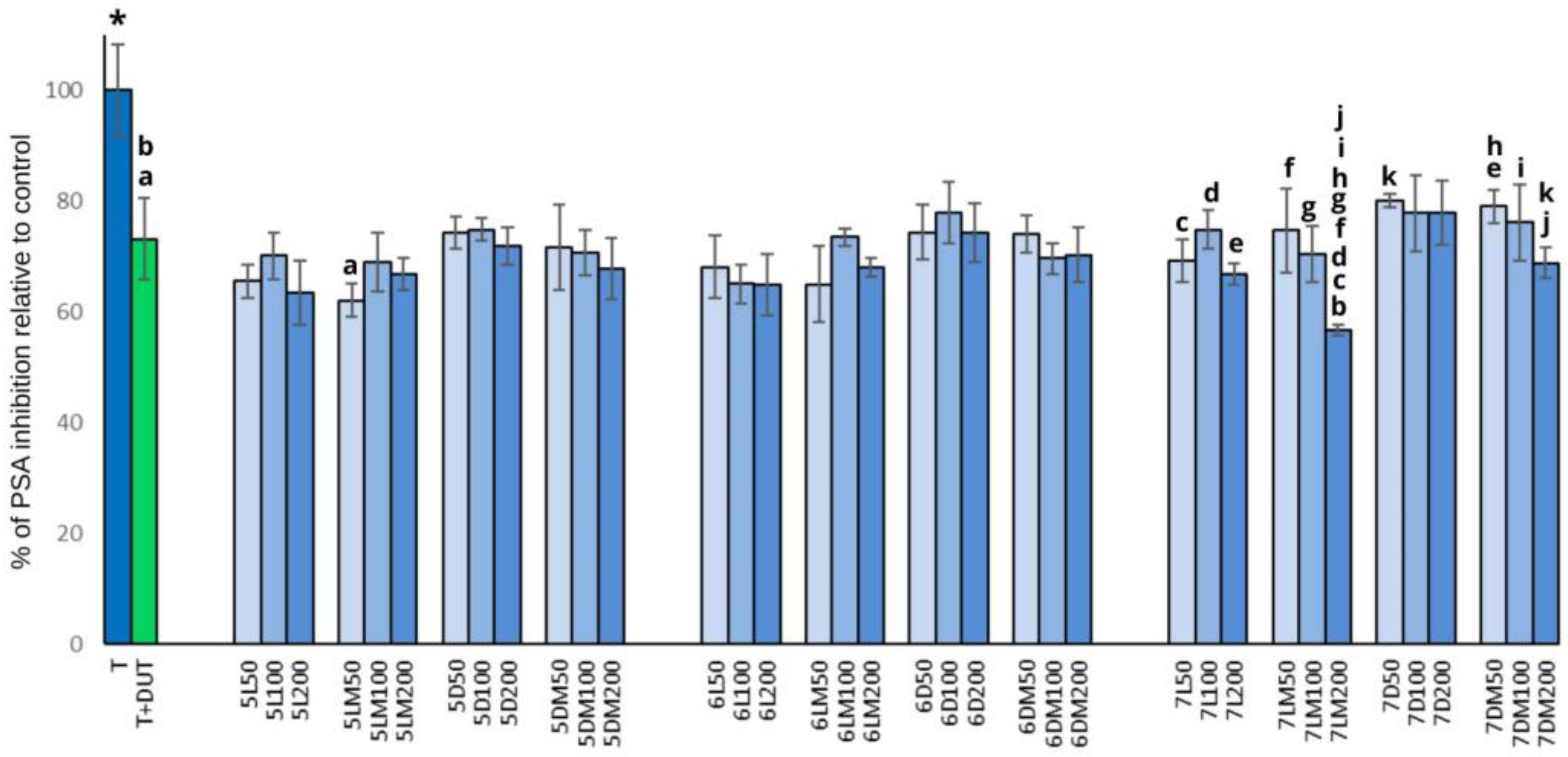
The anti-PSA activity of all tested extracts was similar to the activity of dutasteride used as positive control and resulted in the reduction in PSA release by around 30% in comparison to the control (T) (Figure 2). Microgravity-grown sprouts 5LM50 and 7LM200 were the most active in PSA inhibition. In the case of 5- and 6-days-old sprouts, there were no clear differences in the activity of sprouts grown in different cultivation conditions (microgravity and/or darkness). It cannot be clearly stated that anti-PSA activity was dose-dependent, as no statistically significant differences were found between the doses of the extracts used (the only exception was 7LM200).
Figure 2.
The effect of tested white clover sprouts on PSA release in PNT2 cells stimulated by testosterone. The cells were incubated with extract at different concentrations (50, 100, and 200 μg/mL), with reference drug dutasteride (T + DUT), or treated only with testosterone (T). The results are expressed as the mean % of control ± SD of three experiments. Significant differences (p ≤ 0.05) in each harvest day are marked with pairs of letters. The control (T) had significant differences with all tested extracts and was therefore marked with *. Abbreviations of the sprouts’ samples: L—standard light; D—darkness; LM—standard light and microgravity; DM—darkness and microgravity. The numbers placed before each abbreviation indicate harvest day (5, 6, and 7); the numbers 50, 100, and 200 after each abbreviation indicates concentration.
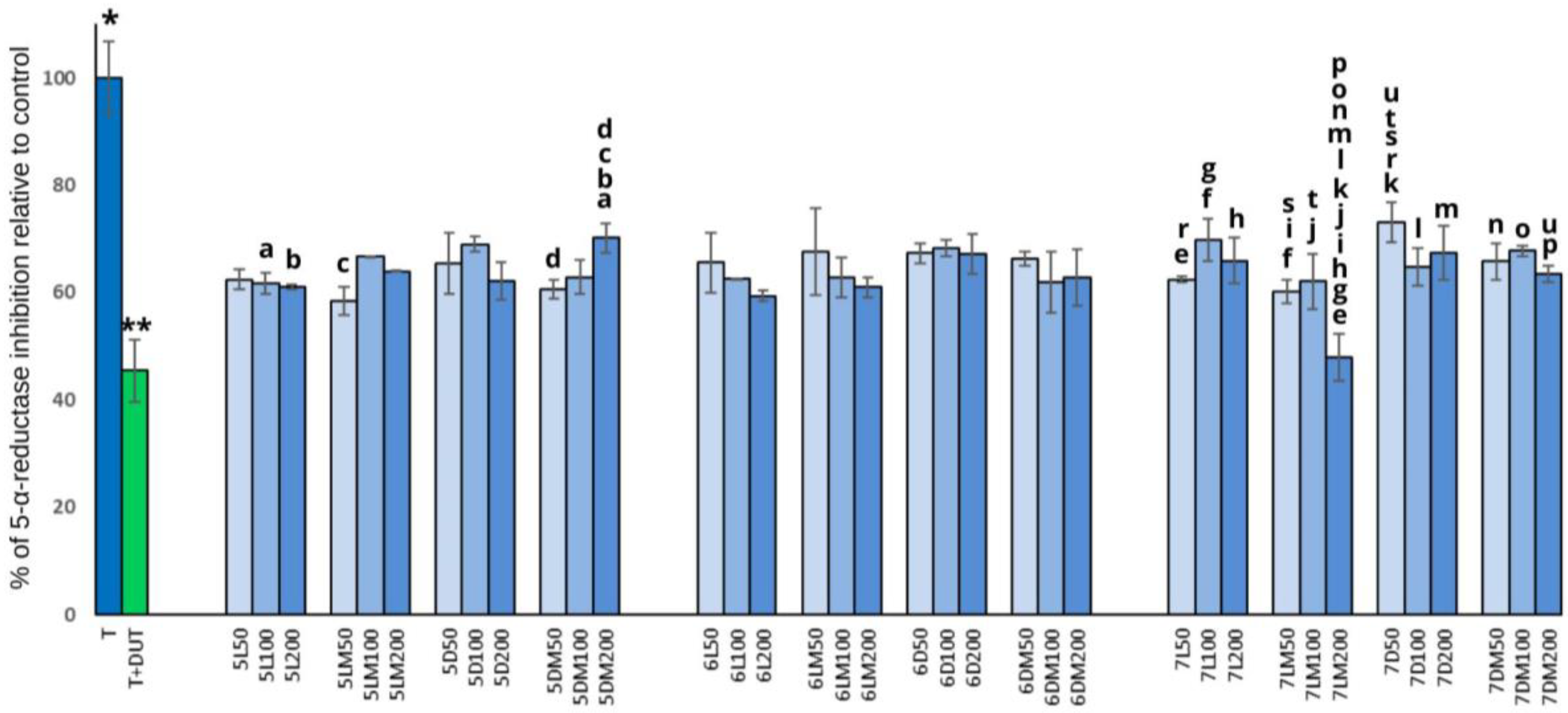
The effect of white clover sprouts on 5-α-reductase activity in PNT2 cells are shown in Figure 3. Generally, all of the tested white clover extracts showed inhibition of 5-α-reductase, compared to the control (T) and caused inhibition of the activity of this enzyme by around 35%. In addition, dutasteride, used as a positive control (T + DUT), caused the inhibition of the enzyme activity by half, and comparable activity was shown by the 7LM extract in concentration of 200 μg/mL, which was the strongest inhibitor of 5-α-reductase, among all tested extracts. The 7-days-old white clover sprouts grown under microgravity and standard light (LM) conditions were found to be the most active in terms of the inhibition of 5-α-reductase and PSA. In the case of 5- and 6-days-old sprouts, there were no clear differences in the activity of sprouts grown in different cultivation conditions, except for the 5DM200 extract, which was the least active among 5-days-old sprouts. It cannot be clearly stated that this activity was dose-dependent, as no statistically significant differences were found between the doses of extracts used (the only exception was the 7LM200 and 5DM200 extracts).
Figure 3.
The effect of tested white clover sprouts on 5-α-reductase activity in PNT2 cells stimulated by testosterone. The cells were incubated with extract at different concentrations (50, 100, and 200 μg/mL), with reference drug dutasteride (T + DUT), or treated only with testosterone (T). The results are expressed as the mean % of control ± SD of three experiments. Significant differences (p ≤ 0.05) in each harvest day are marked with pairs of letters. The negative control (T) had significant differences with all tested extracts and was therefore marked with *, the positive control (T + DUT) had significant differences with all tested extracts except one sample (7LM200) and was therefore marked with **. Abbreviations of the sprouts’ samples: L—standard light; D—darkness; LM—standard light and microgravity; DM—darkness and microgravity. The numbers placed before each abbreviation indicate harvest day (5, 6, and 7); the numbers 50, 100, and 200 after each abbreviation indicates concentration.
3.3. Anti-Inflammatory Activity
Chronic inflammation is usually associated with the progression of BPH, it could also be a predictor of poor response to BPH medical treatment [21]. Because of that, agents with anti-inflammatory activity in patients with BPH should be considered. To complete the evaluation of white clover sprouts cultivated in different gravity and light conditions, we finally determined their anti-inflammatory activity, by measuring the release of pro-inflammatory cytokines IL-6 and TNF-α, and NO production in LPS-stimulated RAW 264.7 macrophages, treated with two different concentrations (50 and 100 μg/mL) of the extracts. It should also be underlined that the two doses were not cytotoxic to the macrophages. The results are presented in Figure 4.
Figure 4.
The activity of tested white clover sprouts on the release of IL-6, TNF-α, and NO in LPS-stimulated RAW 264.7 macrophages. The cells were incubated with extract at different concentrations (50 and 100 μg/mL), with reference drug dexamethasone (LPS + DEX), or treated only with testosterone (LPS). The results are presented as the mean % of LPS control ± SD of three independent measurements. Significant differences (p ≤ 0.05) in each harvest day are marked with pairs of letters, significant differences (p ≤ 0.05) between tested concentrations are marked by upper black lines. The positive control (LPS + DEX) and control (C) had significant differences with all tested extracts and was therefore marked with *. Abbreviations of the sprouts’ samples: L—standard light; D—darkness; LM—standard light and microgravity; DM—darkness and microgravity. The numbers placed before each abbreviation indicate harvest day (5, 6, and 7); the numbers 50 and 100 after each abbreviation indicates concentration. Other abbreviations: LPS—lipopolysaccharide; DEX—dexamethasone; C—control.
IL-6 level was significantly reduced to around 80% of LPS control, by all of the tested sprout extracts and to a similar extent, without any visible differences, except three samples marked in Figure 4. We can conclude that white clover sprouts exerted weak anti-inflammatory activity by inhibiting IL-6 release, while no impact of microgravity or darkness on this activity was noted. Only two of the extracts caused significant reduction in TNF-α, namely 5-days-old microgravity and darkness-grown sprouts (5DM) and 6-days-old darkness-grown sprouts (6D) in the highest concentration used. This means, that darkness conditions, especially during sprouting process, could contribute to the reduction in TNF-α. NO level was reduced only scarcely by around 10% of LPS control with the use of some sprouts grown in the microgravity and/or darkness—5LM100, 6LM100, 6D100, 6DM100, 7D50 and 7D100. This moderate anti-inflammatory activity of white clover sprouts was not dose-dependent as only in the case of one extract (6D) the higher dose had significantly greater activity.
4. Discussion
The results of this study indicate that white clover sprouts, especially those grown in the condition of total darkness, are promising in the context of prostate disorder inhibition. Additionally, dark conditions have been previously reported as beneficial to the nutritional quality of sprouts [22] and positively corelated to the sprouts’ taste quality [23]. What is interesting is that in darkness-grown sprouts, the synthesis of isoflavones, which could be responsible for the activity, was the lowest among the other conditions in every day of cultivation (Table S1, Supplementary Materials). In our previous study on chickpea sprouts, the best scores in terms of their potential towards prostate disorders were noted for the sprouts with moderate concentration of isoflavones, as compared to the sprouts with the highest level of these compounds [1]. There are studies showing the anti-proliferative effect of isoflavones (pure compounds) [24,25], on the other hand, our observations indicate that not only isoflavones, but probably also other compounds are responsible for this anti-proliferative activity of white clover sprouts. Other compounds which could be responsible for this activity are polyphenolic compounds (also present in our extracts) such as caffeic acid which showed potent anti-inflammatory activity [26].
Our results indicate that white clover sprouts may be potentially effective 5-α-reductase inhibitors and anti-PSA agents, regardless of the cultivation method used, and microgravity may stimulate this activity only in 7-days-old sprouts. Can isoflavones content be related to the mentioned activity of the sprouts? In one of the studies, after a year of administering red clover isoflavones to 20 men, the PSA levels decreased by about 30% [27], similarly to our results. Although the results cannot be directly compared to ours, due to the difference in the model (humans vs. cells) and the use of the isolated isoflavones, it can be an indication of the role of isoflavones in lowering PSA activity. Similarly, Evans et al. (1995) and Bae et al. (2012) concluded that isoflavones like genistein, biochanin A, and equol are potent inhibitors of 5-α-reductase [28,29]. Although none of the mentioned compounds were found in our extracts, other isoflavones were present, like daidzin, ononin, and formononetin, with the latter isoflavone also exerting an inhibitory effect on 5-α-reductase, but weaker than genistein or biochanin A [29]. Although a recent systematic review provided evidence that isoflavones have no influence on PSA levels, due to the heterogenicity of presented studies in terms of dosing, it was difficult for the authors to draw far-reaching conclusions [30]. On the other hand, Messina et al. (2006) concluded that soy isoflavones did not affect serum PSA in healthy subjects, but in prostate cancer patients, isoflavones significantly affected PSA, without an absolute decrease in PSA concentrations [31]. Some studies have shown that isoflavones can inhibit the secretion of PSA in the LNCaP androgen-dependent prostate cancer cell line [32,33] and this observation was also demonstrated by our previous study involving chickpea sprout extracts containing isoflavones [1].
The observed anti-inflammatory activity of the sprouts, although weak, may result from the presence of isoflavones [34], including formononetin [35], which is present in white clover sprouts (Table S1, Supplementary Materials) [9]. The 5LM sprouts in our experiment had the highest level of isoflavones, however it did not translate into greater anti-inflammatory activity. On the contrary, 6D sprouts, which inhibited TNF-α to the greatest extent, were characterized by the lowest level of isoflavones. All sprouts’ samples showed similar activity toward IL-6 inhibition, so it is difficult to unequivocally state that isoflavones were responsible for this activity, since their levels were different in each plant sample. The anti-inflammatory activity of clover has been investigated so far, mainly using the whole clover plant [36,37,38], but we found no results for white clover sprouts, thus the anti-inflammatory activity of the sprouts is published here for the first time.
5. Conclusions
White clover sprouts have anti-proliferative activity against PNT2 prostate cells stimulated by testosterone, which is clearly increased when the sprouts are grown in conditions of total darkness. In addition, the anti-androgenic activity of white clover sprouts was demonstrated through the inhibition of PSA and 5-α-reductase activity, which was most visible in 7-days-old sprouts growing in conditions of microgravity. In turn, the anti-inflammatory activity of the tested sprouts was rather weak, but most visible in the inhibition of pro-inflammatory IL-6. Taken together, these results suggest for the first time, that white clover sprouts may represent a functional food with anti-androgenic activity and may therefore be useful in reducing the risk of prostate disorders. Furthermore, their cultivation with the use of microgravity and total darkness may promote this activity. To our knowledge, our research team was the first to investigate the effect of white clover sprouts grown in the conditions of microgravity and/or total darkness on the parameters like anti-proliferative and anti-inflammatory activity and the inhibition of PSA release and 5-α-reductase activity in PNT2 cells, which indicates the innovative nature of our research. At the same time, as the authors, we recognize the limitations of this study, based only on the in vitro assays and absence of purified compound testing. In the future, it would also be worthwhile to study extracts obtained through simulated in vitro digestion and in in vivo experiments. As the authors, we are also aware that the large-scale production of sprouts in microgravity conditions is currently unrealistic, but the data presented in this article provide new information on the impact of microgravity on plant bioactivity, which can be used, among others, by astronauts in future space missions.
Supplementary Materials
The following supporting information can be downloaded at: https://www.mdpi.com/article/10.3390/app152111668/s1, Table S1: Content of isoflavones in white clover sprouts evaluated in our previous study.
Author Contributions
Conceptualization, M.M., A.G. and P.P.; methodology, M.M., A.G., E.P., A.K. and P.P.; formal analysis, M.M., A.G. and P.P.; investigation, M.M., A.G. and E.P.; resources, A.K. and P.P.; data curation, M.M. and E.P.; writing—original draft preparation, M.M.; writing—review and editing, M.M., A.G., A.K. and P.P.; visualization, M.M.; supervision, A.G. and P.P.; project administration, M.M. and P.P.; funding acquisition, M.M., A.G. and P.P. All authors have read and agreed to the published version of the manuscript.
Funding
The study was created with the use of funds provided by the Excellence Initiative at Jagiellonian University, Research Support Module, project titled “Preselection of seed species and optimization of the cultivation of edible plant sprouts in conditions of disturbed gravity in terms of the content of active compounds with health-promoting potential” (No. U1C/W42/NO/28.17). This research was also supported by the following grant from the Polish Ministry of Science and Higher Education: N42/DBS/000435.
Institutional Review Board Statement
Not applicable.
Informed Consent Statement
Not applicable.
Data Availability Statement
The data presented in this study are available upon request from the corresponding author.
Conflicts of Interest
The authors declare no conflicts of interest.
Abbreviations
The following abbreviations are used in this manuscript:
| L | Standard light conditions |
| D | Darkness |
| LM | Standard light and microgravity |
| DM | Darkness and microgravity |
| T | Testosterone |
| C | Control conditions |
| DUT | Dutasteride |
| TNF-α | Tumor necrosis factor-alpha |
| IL-6 | Interleukin 6 |
| NO | Nitric oxide |
| LPS | Lipopolysaccharide |
| PSA | Prostate-specific antigen |
| BPH | Benign prostatic hyperplasia |
| DHT | Dihydrotestosterone |
| DEX | Dexamethasone |
References
- Galanty, A.; Prochownik, E.; Grudzińska, M.; Paśko, P. Chickpea Sprouts as a Potential Dietary Support in Different Prostate Disorders—A Preliminary In Vitro Study. Molecules 2024, 29, 1044. [Google Scholar] [CrossRef] [PubMed]
- Ali, V.; Mandal, J.; Vyas, D. Insights into light-driven dynamics of phytochemicals in sprouts and microgreens. Plant Growth Regul. 2024, 105, 129–152. [Google Scholar] [CrossRef]
- Almuhayawi, M.S.; AbdElgawad, H.; Al Jaouni, S.K.; Selim, S.; Hassan, A.H.A.; Khamis, G. Elevated CO2 improves glucosinolate metabolism and stimulates anticancer and anti-inflammatory properties of broccoli sprouts. Food Chem. 2020, 328, 127102. [Google Scholar] [CrossRef]
- Almuhayawi, M.S.; Hassan, A.H.A.; Al Jaouni, S.K.; Alkhalifah, D.H.M.; Hozzein, W.N.; Selim, S.; AbdElgawad, H.; Khamis, G. Influence of elevated CO2 on nutritive value and health-promoting prospective of three genotypes of Alfalfa sprouts (Medicago sativa). Food Chem. 2021, 340, 128147. [Google Scholar] [CrossRef]
- Sathasivam, M.; Hosamani, R.K.; Swamy, B.; Kumaran, G.S. Plant responses to real and simulated microgravity. Life Sci. Space Res. 2021, 28, 74–86. [Google Scholar] [CrossRef]
- Paradiso, R.; Ceriello, A.; Pannico, A.; Sorrentino, S.; Palladino, M.; Giordano, M.; Fortezza, R.; De Pascale, S. Design of a Module for Cultivation of Tuberous Plants in Microgravity: The ESA Project “Precursor of Food Production Unit” (PFPU). Front. Plant Sci. 2020, 11, 417. [Google Scholar] [CrossRef]
- Nakajima, S.; Ogawa, Y.; Suzuki, T.; Kondo, N. Enhanced Antioxidant Activity in Mung Bean Seedlings Grown under Slow Clinorotation. Microgravity Sci. Technol. 2019, 31, 395–401. [Google Scholar] [CrossRef]
- Wakabayashi, K.; Soga, K.; Kamisaka, S.; Hoson, T. Changes in Levels of Cell Wall Constituents in Wheat Seedlings Grown under Continuous Hypergravity Conditions. Adv. Space Res. 2005, 36, 1292–1297. [Google Scholar] [CrossRef]
- Grudzińska, M.; Galanty, A.; Prochownik, E.; Kołodziejczyk, A.; Paśko, P. Can Simulated Microgravity and Darkness Conditions Influence the Phytochemical Content and Bioactivity of the Sprouts?—A Preliminary Study on Selected Fabaceae Species. Plants 2024, 13, 1515. [Google Scholar] [CrossRef]
- Baden, M.Y.; Liu, G.; Satija, A.; Li, Y.; Sun, Q.; Fung, T.T.; Rimm, E.B.; Willett, W.C.; Hu, F.B.; Bhupathiraju, S.N. Changes in plant-based diet quality and total and cause-specific mortality. Circulation 2019, 140, 979–991. [Google Scholar] [CrossRef] [PubMed]
- Satija, A.; Bhupathiraju, S.N.; Rimm, E.B.; Spiegelman, D.; Chiuve, S.E.; Borgi, L.; Willett, W.C.; Manson, J.E.; Sun, Q.; Hu, F.B. Plant-based dietary patterns and incidence of type 2 diabetes in US men and women: Results from three prospective cohort studies. PLoS Med. 2016, 13, e1002039. [Google Scholar] [CrossRef]
- Aziz, A.; Noreen, S.; Khalid, W.; Mubarik, F.; Niazi, M.K.; Koraqi, H.; Ali, A.; Lima, C.M.G.; Alansari, W.S.; Eskandrani, A.A.; et al. Extraction of Bioactive Compounds from Different Vegetable Sprouts and Their Potential Role in the Formulation of Functional Foods against Various Disorders: A Literature-Based Review. Molecules 2022, 27, 7320. [Google Scholar] [CrossRef]
- Khoja, K.K.; Howes, M.R.; Hider, R.; Sharp, P.A.; Farrell, I.W.; Latunde-Dada, G.O. Cytotoxicity of Fenugreek Sprout and Seed Extracts and Their Bioactive Constituents on MCF-7 Breast Cancer Cells. Nutrients 2022, 14, 784. [Google Scholar] [CrossRef]
- Galanty, A.; Niepsuj, M.; Grudzińska, M.; Zagrodzki, P.; Podolak, I.; Paśko, P. In the Search for Novel, Isoflavone-Rich Functional Foods—Comparative Studies of Four Clover Species Sprouts and Their Chemopreventive Potential for Breast and Prostate Cancer. Pharmaceuticals 2022, 15, 806. [Google Scholar] [CrossRef]
- Grela, E.R.; Kiczorowska, B.; Samolińska, W.; Matras, J.; Kiczorowski, P.; Rybiński, W.; Hanczakowska, E. Chemical composition of leguminous seeds: Part I—Content of basic nutrients, amino acids, phytochemical compounds, and antioxidant activity. Eur. Food Res. Technol. 2017, 243, 1385–1395. [Google Scholar] [CrossRef]
- Sołtys, A.; Galanty, A.; Grabowska, K.; Paśko, P.; Zagrodzki, P.; Podolak, I. Multidirectional Effects of Terpenoids from Sorbus intermedia (EHRH.) PERS Fruits in Cellular Model of Benign Prostate Hyperplasia. Pharmaceuticals 2023, 16, 965. [Google Scholar] [CrossRef] [PubMed]
- Galanty, A.; Zagrodzki, P.; Gdula-Argasińska, J.; Grabowska, K.; Koczurkiewicz-Adamczyk, P.; Wróbel-Biedrawa, D.; Podolak, I.; Pękala, E.; Paśko, P. A Comparative Survey of Anti-Melanoma and Anti-Inflammatory Potential of Usnic Acid Enantiomers—A Comprehensive In Vitro Approach. Pharmaceuticals 2021, 14, 945. [Google Scholar] [CrossRef]
- Nakayama, A.; Ide, H.; Lu, Y.; Takei, A.; Fukuda, K.; Osaka, A.; Arai, G.; Horie, S.; Okada, H.; Saito, K. Effects of Curcumin Combined with the 5-alpha Reductase Inhibitor Dutasteride on LNCaP Prostate Cancer Cells. In Vivo 2021, 35, 1443–1450. [Google Scholar] [CrossRef] [PubMed]
- Ornstein, D.K.; Pruthi, R.S. Prostate-specific antigen. Expert Opin. Pharmacother. 2000, 1, 1399–1411. [Google Scholar] [CrossRef]
- Tindall, D.J.; Rittmaster, R.S. The rationale for inhibiting 5α-reductase isoenzymes in the prevention and treatment of prostate cancer. J. Urol. 2008, 179, 1235–1242. [Google Scholar] [CrossRef] [PubMed]
- Gandaglia, G.; Briganti, A.; Gontero, P.; Mondaini, N.; Novara, G.; Salonia, A.; Sciarra, A.; Montorsi, F. The role of chronic prostatic inflammation in the pathogenesis and progression of benign prostatic hyperplasia (bph). BJU Int. 2013, 112, 432–441. [Google Scholar] [CrossRef]
- Vale, A.P.; Santos, J.; Brito, N.V.; Fernandes, D.; Rosa, E.; Oliveira, M.B.P.P. Evaluating the impact of sprouting conditions on the glucosinolate content of Brassica oleracea sprouts. Phytochemistry 2015, 115, 252–260. [Google Scholar] [CrossRef] [PubMed]
- Braunstein, M.M. Sprout Garden: Indoor Grower’s Guide to Gourmet Sprouts; Book Publishing Co.: Summertown, TN, USA, 1999. [Google Scholar]
- Yao, J.; Wang, Z.; Wang, R.; Wang, Y.; Xu, J.; He, X. Anti-proliferative and anti-inflammatory prenylated isoflavones and coumaronochromones from the fruits of Ficus altissima. Bioorg. Chem. 2021, 113, 104996. [Google Scholar] [CrossRef]
- Liu, Y.; Pu, Y.; Shen, L.; Li, D.; Xu, J.; He, X.; Wang, Y. Isoflavones isolated from the fruits of Ficus altissima and their anti-proliferative activities. Fitoterapia 2024, 175, 105966. [Google Scholar] [CrossRef]
- Yin, J.; Heo, J.H.; Hwang, Y.J.; Le, T.T.; Lee, M.W. Inhibitory Activities of Phenolic Compounds Isolated from Adina rubella Leaves Against 5α-Reductase Associated with Benign Prostatic Hypertrophy. Molecules 2016, 21, 887. [Google Scholar] [CrossRef]
- Engelhardt, P.F.; Riedl, C.R. Effects of One-Year Treatment with Isoflavone Extract from Red Clover on Prostate, Liver Function, Sexual Function, and Quality of Life in Men with Elevated PSA Levels and Negative Prostate Biopsy Findings. Urology 2008, 71, 185–190. [Google Scholar] [CrossRef]
- Evans, B.A.J.; Griffiths, K.; Morton, M.S. Inhibition of 5α-reductase in genital skin fibroblasts and prostate tissue by dietary lignans and isoflavonoids. J. Endocrinol. 1995, 147, 295–302. [Google Scholar] [CrossRef]
- Bae, M.; Woo, M.; Kusuma, I.W.; Arung, E.T.; Yang, C.H.; Kim, Y. Inhibitory Effects of Isoflavonoids on Rat Prostate Testosterone 5α-Reductase. Innov. Acupunct. Med. 2012, 5, 319–322. [Google Scholar] [CrossRef][Green Version]
- Ratha, P.; Neumann, T.; Schmidt, C.A.; Schneidewind, L. Can Isoflavones Influence Prostate Specific Antigen Serum Levels in Localized Prostate Cancer? A Systematic Review. Nutr. Cancer 2020, 73, 361–368. [Google Scholar] [CrossRef] [PubMed]
- Messina, M.; McCaskill-Stevens, W.; Lampe, J.W. Addressing the soy and breast cancer relationship: Review, commentary, and workshop proceedings. J. Natl. Cancer Inst. 2006, 98, 1275–1284. [Google Scholar] [CrossRef] [PubMed]
- Peternac, D.; Klima, I.; Cecchini, M.G.; Schwaninger, R.; Studer, U.E.; Thalmann, G.N. Agents used for chemoprevention of prostate cancer may influence PSA secretion independently of cell growth in the LNCaP model of human prostate cancer progression. Prostate 2008, 68, 1307–1318. [Google Scholar] [CrossRef]
- Sivonová, M.K.; Kaplán, P.; Tatarková, Z.; Lichardusová, L.; Dušenka, R.; Jureceková, J. Androgen receptor and soy isoflavones in prostate cancer. Mol. Clin. Oncol. 2019, 10, 191–204. [Google Scholar] [PubMed]
- Al-Shami, A.S.; Essawy, A.E.; Elkader, H.A.E.A. Molecular mechanisms underlying the potential neuroprotective effects of Trifolium pratense and its phytoestrogen-isoflavones in neurodegenerative disorders. Phytother. Res. 2023, 37, 2693–2737. [Google Scholar] [CrossRef] [PubMed]
- Jiang, D.; Rasul, A.; Batool, R.; Sarfraz, I.; Hussain, G.; Tahir, M.M.; Qin, T.; Selamoglu, Z.; Ali, M.; Li, J.; et al. Potential Anticancer Properties and Mechanisms of Action of Formononetin. BioMed Res. Int. 2019, 2019, 5854315. [Google Scholar] [CrossRef]
- Lee, S.A.; Park, B.R.; Moon, S.M.; Han, S.H.; Kim, C.S. Anti-inflammatory potential of Trifolium pratense L. leaf extract in LPS-stimulated RAW264.7 cells and in a rat model of carrageenan-induced inflammation. Arch. Physiol. Biochem. 2018, 126, 74–81. [Google Scholar] [CrossRef] [PubMed]
- Chen, Y.; Chen, P.; Wang, Y.; Yang, C.; Wu, X.; Wu, C.; Luo, L.; Wang, Q.; Niu, C.; Yao, J. Structural characterization and anti-inflammatory activity evaluation of chemical constituents in the extract of Trifolium repens L. J. Food Biochem. 2019, 43, e12981. [Google Scholar] [CrossRef]
- Kim, J.Y.; Kim, S.Y.; Park, S.J. Effects of Trifolium repens and Trifolium pratense on the LPS-induced Inflammatory Responses in RAW 264.7 Macrophages. J. Agric. Life Environ. Sci. 2021, 33, 409–419. [Google Scholar]
Disclaimer/Publisher’s Note: The statements, opinions and data contained in all publications are solely those of the individual author(s) and contributor(s) and not of MDPI and/or the editor(s). MDPI and/or the editor(s) disclaim responsibility for any injury to people or property resulting from any ideas, methods, instructions or products referred to in the content. |
© 2025 by the authors. Licensee MDPI, Basel, Switzerland. This article is an open access article distributed under the terms and conditions of the Creative Commons Attribution (CC BY) license (https://creativecommons.org/licenses/by/4.0/).



