Abstract
This study designs stable fast-disintegrating oral granules (FDGs) of volatile liquid essential oils (cinnamon, lemon, rose, and peppermint oils) for olfactory rehabilitation. By adsorbing liquid-type essential oils onto colloidal silicon dioxide (1:1 w/w) and incorporating olive oil (1:1:0.25 w/w) as a volatile restrainer, the retention of major odorants—cinnamaldehyde, citral, phenethyl alcohol, and menthol—in cinnamon, lemon, rose, and peppermint oils, respectively, was markedly improved after 12 h of exposure at 40 °C. Then, free-flowing FDG system was formulated with sugar alcohols (mannitol, xylitol, and sorbitol), low substituted hydroxypropyl cellulose, and magnesium stearate, exhibiting rapid spreading and disintegration (<31.2 s) upon contact with aqueous media. The package of FDGs into four-layer laminated pouch afforded markedly prevent volatility of olfactory components, preserving >82% of cinnamaldehyde, citral, phenethyl alcohol, and menthol for 8 weeks under 25 °C/65% relative humidity (RH) conditions. In an in vitro volatilization test, major odorants were effectively volatilized from artificial saliva-wetted FDGs within 90 min depending on the volatility of each constituent. Therefore, this novel oral FDG system is expected to be a promising alternative for olfactory training for neurogenic smell dysfunction, providing enhanced storage stability, precise dosing, and patient compliance.
1. Introduction
The Olfactory training (OT) is a structured therapeutic approach wherein patients repeatedly expose themselves to specific odors to stimulate olfactory function and neural plasticity [1,2]. Traditionally, OT relies on orthonasal stimulation (direct nasal sniffing of odors); however, emerging evidence highlights retronasal olfaction—the perception of odorants released from the oral cavity during natural behaviors such as eating, drinking, or speaking—as a novel and advantageous route for olfactory activation [3,4]. Notably, the retronasal and orthonasal pathways have distinct neuroscientific profiles: retronasal odor exposure engages olfactory circuits in conjunction with gustatory and somatosensory pathways (reflecting integrated flavor perception), whereas orthonasal sniffing primarily activates dedicated olfactory regions [4,5]. This dual neural engagement is believed to enhance neuroplasticity and improve the efficacy of training by tapping into the brain’s flavor-processing centers [5]. Clinically, OT has already demonstrated significant improvements in odor sensitivity and identification across diverse causes of smell loss, including post-infectious anosmia, head trauma, and COVID-19-related olfactory dysfunction, with many patients showing objective gains [6,7,8,9]. These gains are often accompanied by neuroanatomical changes such as increased olfactory bulb volume, underscoring the capacity for OT-induced cortical reorganization [10]. However, conventional OT protocols (e.g., sniffing essential oils such as rose, lemon, eucalyptus, and clove oils twice daily for approximately 12 weeks) face challenges related to patient compliance and potential placebo effects, owing to the conscious and repetitive nature of sniffing training [11]. In contrast, retronasal delivery offers practical advantages in terms of dosing precision, user compliance, and convenience by aligning therapy with everyday behaviors. Embedding olfactory stimuli within normal eating or oral routines can increase adherence (patients naturally practice them during meals) and make the training less intrusive. Moreover, an ingestible retronasal approach can reduce placebo influences by enabling better blinding in clinical trials, for example, by using identical tasting but odorless placebo granules, thereby minimizing expectancy bias in OT outcomes.
An oral fast-disintegrating solid dosage form is principally designed to disintegrate rapidly (<30–60 s) in the oral cavity without water, offering enhanced patient compliance for populations with dysphagia, pediatric/geriatric needs, or acute medical scenarios. ODTs are widely used for drugs requiring a rapid onset of action, such as analgesics, antiemetics, and medications for allergic reactions [12,13,14]. Fast-disintegrating solid dosage forms are composed of several key components, including active pharmaceutical ingredients, water-soluble excipients such as mannitol, water-swellable disintegrants, binders, and lubricants to ensure mechanical strength and rapid disintegration [15]. Additional excipients, such as flavoring agents, sweeteners, and colorants, are often incorporated to enhance palatability and patient compliance. Key characteristics include high porosity for rapid saliva penetration, palatable taste masking, and texture optimization to avoid gritty residues [16,17,18]. Their convenience, improved patient compliance, and potentially enhanced bioavailability have established ODTs as valuable dosage forms for modern pharmaceutical therapy.
In this context, we assumed that fast disintegrating granules (FDGs) of volatile essential oils could be an alternative to improve transportability, dosing convenience, and patient compliance with OT. FDGs undergo rapid disintegration and release aromas into the mouth for retronasal stimulation. Afterward, volatile bioactive compounds diffuse through the nasopharynx and ascend retronasally to the olfactory epithelium in the upper nasal cavity [19,20]. This innovative delivery system leverages the unique neural pathways and behavioral integration of retronasal olfaction, for expanding the therapeutic potential and patient acceptability of olfactory training. Therefore, we designed a stable oral FDG system for olfactory rehabilitation using four essential oils with distinct odors: cinnamon oil (CO), lemon oil (LO), rose oil (RO), and peppermint oil (PO). Stable granules were prepared by adsorbing volatile essential oils onto silicon dioxide along with non-volatile vegetable oils as volatile restrainers and evaluating the effect of the amount of silicon dioxide and the type and amount of volatile restrainers on the remaining major constituents of the individual essential oils [21,22]. Afterward, FDGs were synthesized using pharmaceutical additives such as sugar alcohols, disintegrants, and lubricants. The in vitro disintegration, flow properties, and long-term storage stability of FDGs packed in four-layer laminated pouches were further evaluated.
2. Materials and Methods
2.1. Materials
Silicon dioxide (Sipernat® 22, specific surface area determined by N2 adsorption: 190 m2/g; median particle size: about 120 µm; sodium sulfate: 1.5%; loss on drying: 7%) was obtained from Evonik Operations GmbH (Essen, Germany) [23]. Xylitol, sorbitol, cinnamon oil (EM-16B103), lemon oil (EM-16B085), rose oil (EM-17P020), and peppermint oil (FM110214) were obtained from ES Food Co., Ltd. (Gyeonggi-do, Republic of Korea). Hydroxypropyl cellulose (HPC-L-Cenyl, Nisso®; Nippon Soda, Tokyo, Japan; viscosity grade L = 6–10 mPa·s at 20 °C in 2% aqueous solution) and magnesium stearate (Faci S.p.A., Bologna, Italy) were provided by Taewangs Co., Ltd. (Gyeonggi-do, Republic of Korea). Pearlitol Flash (mannitol) was obtained from Imcd Korea (Seoul, Republic of Korea). Olive oil was purchased from Otoki Co., Ltd. (Gyeonggi-do, Republic of Korea). Ethanol (absolute, ≥99.5%, Merck, Darmstadt, Germany), trans-cinnamaldehyde (≥97.0%), citral (mixture of cis and trans, ≥96.0%), phenethyl alcohol (≥99.0%), menthol (≥99.0%), sulfuric acid (≥95.0–98.0%) and salicylaldehyde (≥98.0%) was purchased from Sigma-Aldrich (St. Louis, MO, USA). High-performance liquid chromatography-grade methanol were purchased from Samchun Chemical Co. (Gyeonggi-do, Republic of Korea). A packaging film (a four-layer laminated pouch composed of polypropylene [PP], nylon [NY], aluminum [AL], and polyethylene [PE]) was provided by Hyundai Packaging Industry Co., Ltd. (Gyeonggi-do, Republic of Korea).
2.2. Adsorption of Volatile Essential Oils into Silicon Dioxide with Volatile Restrainers
Colloidal silicon dioxide (1.0 g) was added to different amounts (0.5–2 g) of essential oils (CO, LO, RO, and MO) and placed in a glass mortar [24,25]. The adsorbate and adsorbent were mixed with a spatula for at least 200 strokes over 10 min to ensure uniform adsorption. Different low-volatility vegetable oils (grapeseed, olive, canola, and sunflower oils, 0.25–2 g) were added to silicon dioxide adsorbed with essential oil (2 g) and admixed using a spatula for 10 min to diminish the volatilization of the aroma constituents during preparation and storage. The prepared solid masses were passed through the sieve (22 mesh size) to obtain a uniformly flowing powder.
2.3. Preparation of FDGs of Volatile Essential Oils
Free-flowing FDGs of the four essential oils (CO, LO, RO, and MO) were prepared by mixing essential oil-containing silicon dioxide blank granules to prevent the loss of aromatic components. Mannitol, xylitol, and sorbitol were mixed using a mortar and pestle and passed twice through a 60-mesh sieve to prepare blank granules. Disintegrant low substituted hydroxypropyl cellulose (L-HPC, 4%) was subsequently added to the mixture and was sieved through a 42-mesh sieve to obtain a uniform particle size. Ethanol, equivalent to 10% of the total mixture weight, was added, and the mixture was manually kneaded using a mortar and pestle for 10 min. The wet granules were dried in an oven at 40 °C for 1 h to evaporate the organic solvents. The dried granules were then passed through a 32-mesh sieve to obtain uniform blank granules [26]. Subsequently, essential oil-containing silicon dioxide (0.225 g) was added to the blank granules (4.675 g), and the mixture was blended using the bag mixing method for at least 200 strokes in a polyethylene bag. Magnesium stearate (0.10 g), which was previously passed through a 40-mesh sieve, was added as a lubricant and blended for at least 100 strokes over 5 min using the same method to form free-flowing FDGs.
2.4. Determination of Major Constituents of Essential Oils
As a method to evaluate the degree of volatilization of essential oils, HPLC or UV–Vis spectrophotometry for representative aromatic materials contained in each essential oil was established. For the CO-, LO-, and RO-containing formulations, 100 mg of each sample was immersed in 10 mL of methanol and vortexed for 30 min. Next, the samples were filtered through a 0.45 μm polyvinylidene fluoride (PVDF) filter. For the quantification of major constituents, all analyses were conducted using the same Shimadzu HPLC system (Shimadzu Corporation, Kyoto, Japan), which consisted of a pump (Model LC-20AD pump), a UV–Vis detector (Model SPD-20A), and an autosampler (Model SIL-20AC) equipped with Phenomenex Stainless Steel C18 (250 × 4.6 mm, 5 μm, Phenomenex Inc., Torrance, CA, USA). Cinnamic aldehyde contained in CO was analyzed using a mobile phase composed of water and methanol (5:5, v/v) at a flow rate of 1.0 mL/min, with an injection volume of 5 μL, a column temperature of 30 °C, and a detection wavelength of 287 nm. The citral contained in LO was passed through a column with a mobile phase composed of water and methanol (4:6, v/v) at a wavelength of 240 nm. A mobile phase composed of water and methanol (65:35, v/v) was used with a detection wavelength of 220 nm to determine phenethyl alcohol contained in RO. Prior to initiating each run, system suitability was verified by performing six replicate injections of the same sample, in accordance with the criteria specified in ICH Q2(R1).
The menthol content, a major aromatic constituent of PO, was analyzed using a UV–Vis spectrophotometer after derivatization with salicylaldehyde because of its extremely low UV absorbance [27,28]. Briefly, each sample (100 mg) was added to ethanol (10 mL) and sonicated for 10 min at 25 °C. The samples were filtered through a 0.45 μm PVDF filter. Subsequently, 3 mL of ethanol, 1 mL of salicylaldehyde solution (1%), and 10 mL of concentrated sulfuric acid (96–98%) were carefully added to the filtered solution (1 mL) and reacted for 30 min at 25 °C. After ensuring complete derivatization, all measurements were performed within 2 h of reaction completion. Absorbance was measured at 518 nm using a 1 cm glass cell. The limit of detection (LOD) and limit of quantitation (LOQ) were determined based on the standard deviation of the y-intercepts (σ) and the slope (S) of the calibration curve, following the linear regression method described in ICH Q2(R1) guidelines [29]. A calibration curve was constructed using standard solutions at six concentration levels (cinnamic aldehyde, citral, menthol = 1–200 μg/mL and menthol = 100–1000 μg/mL). Each concentration was analyzed in triplicate to ensure statistical reliability. The linear equation was derived as y = a + bx, where y is the response (peak area) and x is the analyte concentration. From this, the slope (S) and the standard deviation of the y-intercepts (σ) were calculated [30].
2.5. Particle Size Measurement
The particle size distribution of silicon dioxide, with or without CO, was determined by laser diffraction using a HORIBA LA-950S2 (HORIBA, Ltd., Kyoto, Japan) equipped with a dry dispersion unit. A 10 g of sample was gently deagglomerated and introduced into the dry feeder. Dispersing air pressure and feed rate were adjusted to maintain a stable obscuration level of approximately 5–15%. Optical parameters, including refractive index and absorption, were set according to the matrix material, with air used as the dispersant. Measurements were performed in triplicate at room temperature (20–25 °C), and volume-based particle size distributions were recorded. D10, D50, and D90 values—representing the particle diameters below which 10%, 50%, and 90% of the sample volume falls, respectively—were obtained from the cumulative particle size distribution curve.
For FDGs, particle size distribution was assessed using a sieving method. A 10 g of granules was gently deagglomerated and loaded onto a stack of stainless-steel test sieves (200 mm × 50 mm; DAIHAN®, Seoul, Republic of Korea) arranged in descending mesh sizes: 1.00 mm, 710 µm, 500 µm, 355 µm, 150 µm, and 75 µm. The sieves were manually tapped for 10 min, followed by an additional 2–3 min check. The run was terminated when the change in mass retained on any sieve was less than 5%. The mass retained on each sieve was recorded to construct the cumulative undersize distribution (n = 3).
2.6. Determination of Flowing Property
The flow properties of essential oil-containing adsorbents and FDGs were initially evaluated by measuring the angle of repose. For FDGs, flowability was further assessed by calculating Carr’s Index (CI) and Hausner Ratio (HR) based on bulk and tapped density measurements. To determine the angle of repose, samples were carefully poured through a dry funnel positioned approximately 2 cm above a clean, flat sheet of paper, forming a conical heap. The angle of repose (α), defined as the angle between the surface of the powder heap and the horizontal surface, was calculated using the following equation: tan (α) = 2H/D, where H is the height of the heap and D is the diameter of the base formed by the accumulated granules [31].
To determine CI and HR of FDGs, 1.0 g of FDGs was gently poured without compaction into a glass graduated cylinder (outer diameter 13 mm), the free-settled height (h0) was recorded, and the bulk volume was calculated as V0 = A·h0, where A is the internal cross-sectional area of the cylinder. The cylinder was then manually tapped on a benchtop at a consistent rhythm until the bed height stabilized, followed by an additional 100 taps. The height (htapped) was recorded and the tapped volume computed as Vtapped = A·htapped. Densities were calculated as ρbulk = m/V0 and ρtapped = m/Vtapped. Then, the CI was calculated using the following equation: (ρtapped − ρbulk)/ρtapped × 100 (%). HR was calculated using the following equation: ρtapped/ρbulk × 100 (%).
2.7. Morphological Observation
The morphological features of the EO-containing adsorbents were examined using scanning electron microscopy (SEM). The samples (approximately 50 mg) were mounted onto an aluminum stub using a double-sided carbon tape. Afterward, the samples were sputter-coated with Pt/Pd using an automatic sputter coater (Model 108AUTO; Cressington Scientific Instruments Ltd., Watford, UK) for 120 s at 20 mA. The shape and surface of the drug powder were observed using scanning electron microscopy (SEM; Model JSM-6510, JEOL Ltd., Tokyo, Japan) at an acceleration voltage of 20 kV.
2.8. Volatility Assessment of Essential Oils from the Adsorbents
Each sample (500 mg) was placed on a watch glass in an open state and stored at 40 ± 2 °C for 12 h. After the storage period, a portion of each sample was withdrawn, and the content of the aromatic components (cinnamic aldehyde, citral, phenethyl alcohol, and menthol) in the formulations was analyzed using HPLC and UV–Vis spectrophotometry, as described in the Section Determination of major constituents of essential oils.
2.9. Disintegration Behavior of FDGs
Spreading and disintegration of FDGs were evaluated using Petri dishes (inner diameter 9 cm) filled with artificial saliva. Each dish was filled with 20 mL of medium and equilibrated on a leveled bench at 37 ± 2 °C. The artificial saliva consisted of sodium chloride (2.16 mM), potassium chloride (12.93 mM), potassium thiocyanate (1.95 mM), potassium dihydrogen phosphate (4.81 mM), and urea (3.33 mM), adjusted to pH 6.8 [32]. Then, a 100 mg of FDGs was gently deposited at the center with a spatula, after which no stirring or agitation was applied. A stopwatch was started at contact (0 s), and top-view images were captured under constant overhead illumination with a fixed camera positioned approximately 15 cm above the dish at 0, 10, and 30 s; a 10 mm reference was included, and scale bars were added during figure assembly.
To quantitatively determine disintegration time of FDGs, a standardized disintegration test was performed using a basket-rack apparatus (ERWEKA ZT 222, ERWEKA GmbH, Heusenstamm, Germany) in accordance with the harmonized Pharmacopoeia general test for disintegration [33,34]. Each tube was fitted with a Granule Auxiliary Basket (woven wire aperture: 0.42 mm; wire diameter: 0.29 mm; basket length: 80 mm; outer diameter: 17 mm; inner diameter: 12 mm), as specified for granular dosage forms in pharmacopeial guidelines. A 1 g sample of FDGs was placed into each tube. A 1000 mL beaker containing 900 mL of artificial saliva was used as the immersion medium. The apparatus operated at 29–32 cycles/min with a stroke length of 53–57 mm. The endpoint was defined as the complete passage of granules through the bottom screen with no visible residue. Data were expressed as mean ± SD (n = 6).
2.10. Moisture Uptake of FDGs
Moisture uptake of FDGs under different packaging and humidity conditions was evaluated. A 1.0 g of FDGs was placed in either HDPE bottles (open condition) or four-layer laminated pouches (closed condition) and stored in stability chambers maintained at 25 ± 0.5 °C with either 60 ± 3% or 75 ± 3% RH. At predetermined time intervals, samples were retrieved and subjected to loss-on-drying (LOD) analysis. Each sample was dried in a convection oven at 105 °C for 3 h. After drying, the samples were cooled in a desiccator to room temperature and reweighed. The LOD (%) was calculated using the following equation: (Winitial − Wdried)/Winitial, where Winitial is the sample weight before drying and Wdried is the weight after drying.
2.11. Long-Term Stability Test
The chemical stabilities of the FDG formulations were evaluated under long-term storage conditions. Each sample was placed in an enclosed four-layer laminated pouch using the heat-sealing method [35]. Subsequently, each sample was stored for 8 weeks under storage conditions (25 ± 2 °C/60 ± 5% RH). After 8 weeks, all samples were withdrawn, and the amounts of principal components retained in the samples were analyzed using HPLC and UV–Vis spectrophotometry.
2.12. In Vitro Volatile Release Test of FDGs
The volatile release of major constituents from artificial saliva-wetted FDGs was evaluated based on previously reported methods with slight modifications [36]. Briefly, 100 mg of each FDG sample was placed in a 90 mm Petri dish containing 5.0 mL of artificial saliva (pH 6.8) and incubated at 37.0 ± 0.5 °C with gentle shaking (100 rpm). At predetermined time points, 10 mL of methanol was added to the dish to fully dissolve the constituents in the wetted FDGs. The mixture was then centrifuged at 13,000 rpm for 10 min at 4 °C to pellet any insoluble excipients, and the supernatant was collected for quantification by HPLC or UV–Vis spectrophotometry, as described in Section 2.4. The percentage of volatile release was calculated by subtracting the remaining concentration from the initial concentration.
2.13. Statistical Analysis
All experiments were conducted in triplicate or more, and the results are presented as mean ± standard deviation. Statistical analyses were performed using SPSS software (version 22.0; SPSS Inc., Chicago, IL, USA), applying one-way ANOVA followed by Tukey’s post hoc test for multiple group comparisons. Statistical significance was defined as p < 0.05, with simultaneous 95% confidence intervals.
3. Results and Discussion
3.1. Establishment of HPLC or UV Spectrometric Analytical Methods
To evaluate the degree of volatilization of each aromatic material, HPLC was conducted for the main components of each aromatic oil. In the case of CO, the principal components were reported to be cinnamaldehyde (71.50%, Figure 1a), linalool (7.00%), β-caryophyllene (6.40%), eucalyptol (5.40%), and eugenol (4.60%) [37]. Cinnamaldehyde is a naturally occurring volatile flavonoid that provides cinnamon with its flavor and odor; thus, an analytical method for cinnamaldehyde was established. LO is a complex mixture of chemical compounds, including terpenes, oxygenates, and sesquiterpenes [38]. Citral (Figure 1b) is the most significant flavor compound in essential oils, with neral (cis-citral) and geranial (trans-citral) being synonyms for lemon aroma. Geranial plays a dominant role in imparting the characteristic lemon scent [39]. PO is extracted from the leaves, stems, and flowers of the peppermint plant and contains menthol (Figure 1c), menthone, and cineol as active constituents of peppermint oil [40]. Menthol, a main component of PO is sensitive to heat and light, starting to evaporate from about 21 °C [41]. The principal constituents of the RO are phenethyl alcohol (25–55%, Figure 1d), citronellol (10–35%), eugenol. (approximately 6%), geraniol (approximately 7%), and neral (approximately 2%) [42]. Erbas. S et al. (2016) reported that phenethyl alcohol (43.7%) and citronellol (18.2%) were the major constituents of the oil [43]. Therefore, we selected cinnamaldehyde, both cis- and trans-citral, menthol, and phenethyl alcohol as the aromatic components to evaluate the residues in CO, LO, PO, and RO in the FDG samples and established analytical methods for each component.
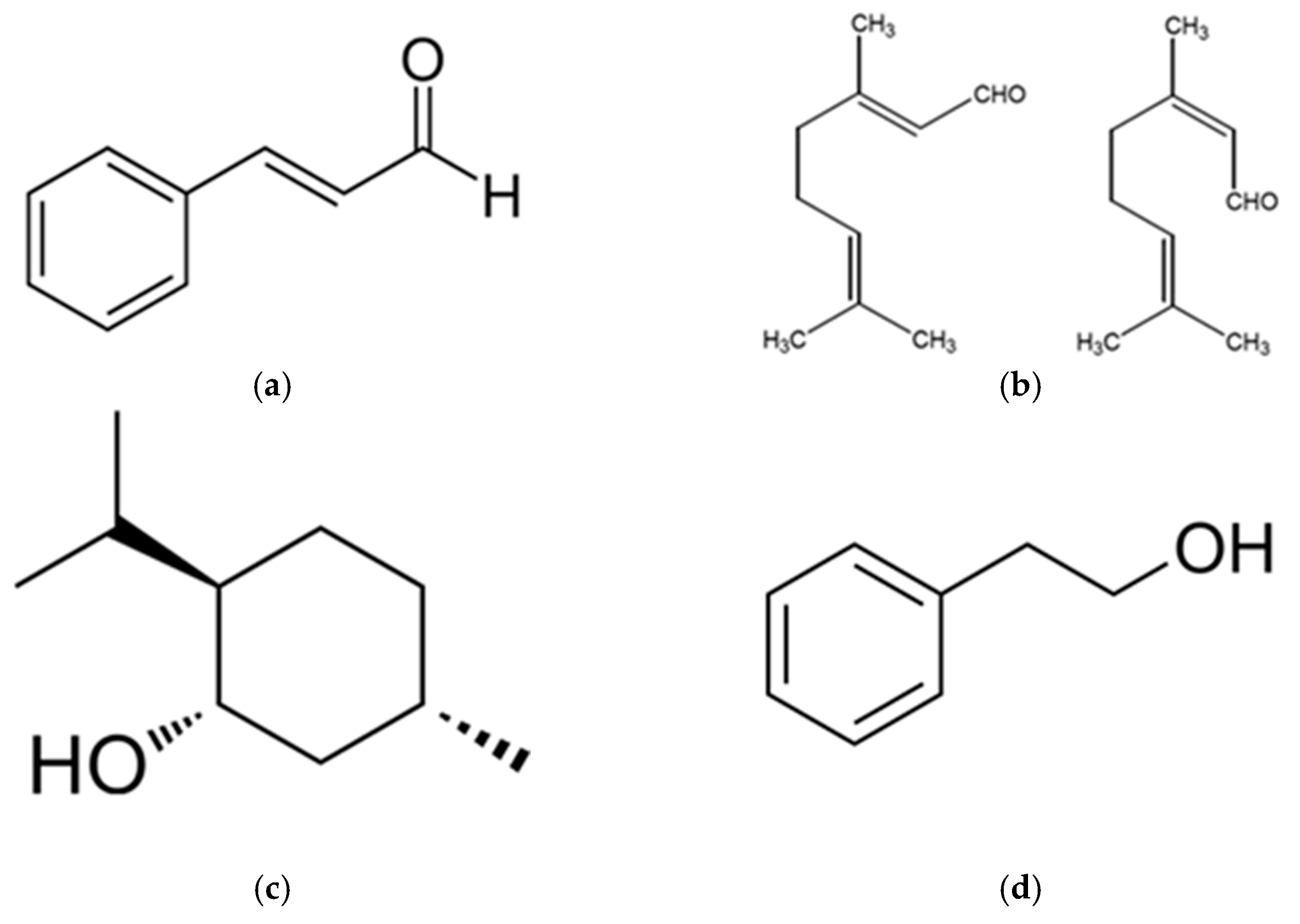
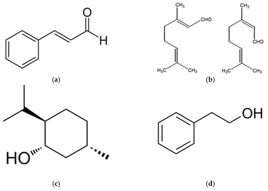
Figure 1.
Structure of major aromatic constituents of individual essential oils used for olfactory rehabilitation. (a) cinnamic aldehyde, (b) citral, (c) menthol, and (d) phenethyl alcohol contained in CO, LO, PO, and RO, respectively.
Representative HPLC chromatograms of cinnamic aldehyde, citral, and phenethyl alcohol and the UV–Vis absorption spectrum of salicylaldehyde-derivatized menthol are shown in Figure 2a, 2b, 2c, and 2d, respectively. Chromatographic analysis of the cinnamic aldehyde revealed a sharp peak at approximately 4.0 min (Figure 2a), whereas citral was separated into two sharp peaks (cis and trans), exhibiting at approximately 6.0 min (neral) and 7.0 min (geranial), respectively (Figure 2b). However, for quantification purposes, the two isomers were not measured separately. Instead, the total citral content was determined by summing the peak areas of both geometric isomers. This approach was adopted because interconversion between the two isomers can readily occur during sample preparation and analysis [44], potentially introducing experimental errors. Since both compounds share the same α,β-unsaturated aldehyde chromophore, their UV absorbance characteristics are nearly identical [45]. Phenethyl alcohol analysis revealed efficient separation, with a well-defined peak at approximately 6.0–7.0 min (Figure 2c), further confirming the robustness of the developed HPLC method for the quantification of aromatic ingredients. For menthol, a complementary UV–Vis spectrophotometric method was successfully established, with maximum absorption at 518 nm, as evidenced by the concentration-dependent absorption profile (Figure 2d).
Figure 2.
HPLC chromatograms of (a) cinnamic aldehyde, (b) cis-citral (neral) and trans-citral (geranial), and (c) phenethyl alcohol, and (d) UV–Vis spectrum of menthol after salicylaldehyde derivatization.
Quantification methods for cinnamic aldehyde, citral, phenethyl alcohol, and menthol were successfully established with excellent linearity, as evidenced by the correlation coefficients (R2) ranging from 0.9974 to 1.0000 (Table 1), demonstrating the high precision and reliability of the analytical procedures [46]. The developed methods provided sensitivity with low limits of detection (LOD) for cinnamic aldehyde (0.77 μg/mL), citral (0.89 μg/mL), phenethyl alcohol (1.07 μg/mL), and 74.5 μg/mL for menthol. The calibration curve equations for each compound (cinnamic aldehyde: y = 53,741x − 4422; citral: y = 78,455x − 81,349; phenethyl alcohol: y = 17,971x − 12,297; menthol: y = 0.0034x − 0.7387, x: sample concentration (μg/mL), y: peak area) provided robust mathematical models for accurate quantification across different concentration ranges.
Table 1.
Calibration curve, correlation coefficients, LOD, and LOQ values of the established determination methods for major aromatic constituents in individual essential oils.
3.2. Effect of the Amount of Adsorbent on Remaining Volatile Ingredient
Encapsulation into polymeric or lipid-based particles or inclusion in cyclodextrins have been explored for their diverse applications as natural antimicrobials [47,48,49]. These formulation strategies have demonstrated improvements in the physicochemical stability of volatile compounds and have enabled controlled release of bioactive constituents [50]. However, the construction of nano- or microparticulate systems typically requires a high proportion of carrier materials relative to the essential oil payload. Moreover, the manufacturing process often involves multiple complex steps—such as dissolution, particle formation, wash and purification, and collection—which can lead to substantial volatile loss during production [51]. Yang et al. (2025) reported that the loading efficiency of peppermint essential oil in lipid nanoparticles ranged from only 47.5% to 52.7%, depending on the lipid matrix [52]. Furthermore, lipid-based encapsulation has been found insufficient for ensuring long-term storage stability. The retention period of essential oil components from Lippia angustifolia, Rosemary, and Citrus sinensis encapsulated in liposomes, solid lipid nanoparticles, or nanostructured lipid carriers, respectively, was reported to be only 60–90 days under refrigerated conditions [53,54,55]. On the other hand, adsorption on solid carriers is an advantageous technique because the carriers display a high surface area, strong adsorption capacity, ease of processing, and the ability to form free-flowing powders that can be converted to solid dosage forms, including granules, tablets, and capsules [56]. In addition, the combination of solid carriers with the volatile restrainers is expected to be a simple and effective strategy to suppress the evaporation of volatile essential oil components and enhance their overall stability. Volatile restrainers are typically non-volatile or low-volatile compounds that interact with essential oil constituents through physical or chemical mechanisms such as hydrogen bonding, van der Waals forces, or encapsulation within a restraining matrix [57]. These interactions reduce the vapor pressure of the essential oil components, thereby slowing their volatilization rate [58]. For example, the incorporation of glycerol in essential oil formulations has been shown to effectively reduce evaporation and oxidation, leading to prolonged shelf life and sustained antimicrobial efficacy [59].
At first CO was adsorbed onto silicon dioxide at different weight ratios (1:0, 1:0.25, 1:0.5, 1:1, and 1:2 w/w) to formulate FDG and evaluate its effect on volatility reduction and powder flowability. The volatile nature of CO presents significant challenges in formulating an FDG system, necessitating the development of stabilization strategies to reduce its volatilization [60,61,62]. In this study, CO was adsorbed onto silicon dioxide at different weight ratios (1:0, 1:0.25, 1:0.5, 1:1, and 1:2 w/w) to formulate FDG and evaluate its effect on volatility reduction and powder flowability. As illustrated in Figure 3a, the retention of cinnamic aldehyde—the primary volatile constituent of CO—was significantly enhanced upon adsorption onto silicon dioxide under a harsh open-vial condition (40 °C for 12 h). Notably, the 1:1 CO-to-silicon dioxide ratio exhibited the highest retention rate (24%). In contrast, the pure CO formulation (1:0) and the formula containing minimal silicon dioxide (1:0.25) exhibited poor retention performance, with only approximately 3–4% of cinnamic aldehyde remaining under identical stress conditions. The entrapment of oil molecules within the nanoscale porous structure of silicon dioxide, which possesses a large surface area (up to 190 m2/g), could limit molecular mobility and vapor-phase diffusion [63]. In addition, polar interactions between the hydroxyl groups of silicon dioxide and the aldehyde group in cinnamaldehyde may enhance adsorption through hydrogen bonding and dipole–dipole forces.
Figure 3.
Adsorption of CO onto colloidal silicon dioxide with different ratios. Effects of CO and silicon dioxide ratio on the (a) remaining of cinnamic aldehyde and (b) angle of repose. Morphological features of adsorbents; (c) intact silicon dioxide, (d) 1:2, (e) 1:1, and (f) 1:0.25 w/w, respectively. Volumetric size distribution of (g) intact and (h) CO-containing silicon dioxides (1:1, w/w) determined by dry laser diffraction. Note: (a) Each sample (500 mg) was stored at 40 ± 2 °C for 12 h in an open state. (a,b) Data represent mean ± SD (n = 3). Significant differences compared with 1:0 ratio (* p < 0.05), 1:0.25 ratio (** p < 0.05), and 1:2 ratio (†† p < 0.05), respectively.
The flowability of the formulations was assessed by measuring the angle of repose; lower angles indicated superior flow properties (Figure 3b). The 1:0.25 ratio exhibited the highest angle of repose (approximately 58 degrees), suggesting poor flowability characteristics that would be problematic for manufacturing processing. As the amount of silicon dioxide increases, the flowability improved; the 1:1 and 1:2 ratios exhibited markedly improved flowability with angles of repose of approximately 30 degrees, which falls within the acceptable range for good powder flow properties.
Scanning electron microscopy (SEM) revealed that intact colloidal silicon dioxide appeared to be spherical particles (approximately 100 μm), with smooth surfaces (Figure 3c). As CO was adsorbed onto silicon dioxide, the internal tortuous and porous structure was filled, and the surface became rougher owing to the adsorption of the essential oil and fine silicon dioxide particles on the particle surface. At 1:2 and 1:1 ratios, colloidal silicon dioxide preserved smooth surfaces with no observable unabsorbed oils, indicating the effective adsorption of oils within the silicon dioxide particles (Figure 3d,e) [25]. However, at a 1:0.25 ratio, noticeably increased surface roughness was observed along with pronounced particle agglomeration, suggesting saturation of the adsorption capacity and excessive oil content, leading to interparticle adhesion (Figure 3f). These morphological observations correspond directly with the flowability measurements, suggesting that excessive essential oil content promotes particle aggregation and diminishes powder flow properties.
The particle size distribution of intact silicon dioxide (Figure 3g) showed D10, D50, and D90 values of 53, 114, and 179 μm, respectively. In comparison, the CO-adsorbed silicon dioxide (1:1 w/w ratio, Figure 3h) exhibited similar values of 53, 123, and 188 μm for D10, D50, and D90, respectively. These results denote that the essential oil was effectively adsorbed into the internal porous structure of the silicon dioxide at a 1:1 ratio without causing granulation or aggregation. Based on these findings, a CO to silicon dioxide ratio of 1:1 (w/w), simultaneously achieving the highest retention of volatile components and satisfactory powder flow properties, was selected to formulate the FDG of the essential oils.
3.3. Effect of Non-Volatile Vegetable Oils on Volatilization of Essential Oils
Different non-volatile food-grade vegetable oils (olive oil, canola oil, grape seed oil, and sunflower oil) were co-adsorbed into silicon dioxide with volatile essential oils to reduce the volatility of volatile odorants. As shown in Figure 4a, the addition of vegetable oils markedly improved the retention of the aromatic odorants for all four essential oils tested (CO, LO, RO, and PO), with the remaining percentages increasing from approximately 25% in controls to 40–85% in treated samples. Among the tested oils, olive oil exhibited superior performance across all essential oil types, particularly with LO, where retention increased from approximately 25% to 85%. This enhanced performance of olive oil is probably attributed to its unique fatty acid composition; its low polyunsaturated fatty acid (PUFA) content and high monounsaturated fatty acid (MUFA) content impart greater viscosity and facilitates the formation of a more continuous oil matrix on the silica surface. This, in turn, kinetically suppresses the diffusion of entrapped volatile compounds [64]. In line with this viscosity-driven mechanism, sunflower oil, which contains a higher proportion of PUFAs and exhibits lower viscosity, showed the weakest suppression effect among the oils tested. In contrast, canola and grape seed oils showed intermediate retention capabilities, enhancing volatile retention by approximately 15–50% compared to the control formulations [64].
Figure 4.
Effect of different kinds of volatile restrainers on the (a) volatility of aromatic constituents and (b) flowing property of CO-, LO-, RO-, and PO-containing adsorbents. Notes: (a) Each sample (500 mg) was stored at 40 ± 2 °C for 12 h in an open state. (a,b) The ratio of essential oil, silicon dioxide, and volatile restrainers was set to 1:1:1 w/w/w. Data represent mean ± SD (n = 3). Significant differences compared with control “-” (* p < 0.05), olive oil (** p < 0.05), canola oil (‡ p < 0.05), grape seed oil († p < 0.05), and sunflower oil (†† p < 0.05), respectively.
The angle of repose measurements (Figure 4b) revealed that the addition of vegetable oils markedly affected the flow properties of the silicon dioxide-based granules, maintaining acceptable angles between 25 and 35 degrees in all preparations. Statistical analysis revealed no differences in flowability between the control and oil-treated samples, indicating that improved retention was achieved without compromising powder handling characteristics. Based on these findings, olive oil was selected as the volatile restrainer for essential oils with silicon dioxide carriers.
3.4. Effect of the Amount of Adsorbent on Remaining Volatile Ingredients
The effects of different amounts of olive oil on the remaining volatile components and flowability characteristics of four essential oils (CO, LO, RO, and PO) adsorbed onto silicon dioxide were evaluated. As shown in Figure 5, the addition of olive oil markedly enhanced the remaining volatile compounds across all essential oils compared to the control, with improvements ranging from 20% to over 90% depending on the type of essential oil and essential oil to olive oil ratio. For CO, the 1:1:0.25 w/w ratio of essential oil, silicon dioxide to olive oil exhibited the highest remaining of approximately 50%, whereas higher ratios (1:1:1.5 and 1:1:2) displayed decreased remaining to 20%, suggesting that excess oil forms a more mobile, continuous phase to promote volatilization of odorants (Figure 5a). LO exhibited the most dramatic improvement with a 1:1:0.25 ratio of essential oil, silicon dioxide to olive oil, achieving no loss (95–98%) of volatile compounds compared to control (3%), representing the highest remaining among all tested essential oils (Figure 5c). RO similarly showed peak retention at the 1:1:0.25 ratio (approximately 50%), with effectiveness diminishing at higher olive oil (Figure 5e). Interestingly, PO displayed a different pattern, where the remaining odorant progressively increased with higher olive oil ratios, reaching a maximum value of approximately 48% at a 1:1:2 ratio (Figure 5g). This suggests different physicochemical interactions between peppermint volatiles and olive oil compared with other essential oils. The angle of repose measurements revealed appropriate flowability (lowest angles of approximately 25°) at a 1:1:0.25 olive oil ratio for all four oils and silicon dioxide, with significant deterioration in the powder flow properties observed at ratios of 1:1:1.5, and above (>40–50 degrees) (Figure 5b,d,f,h). Therefore, the ratio between essential oil, silicon dioxide, and olive oil was set to 1:1:0.25 w/w/w as the standard formulation.

Figure 5.
Effect of the amount of olive oil on the volatility of aromatic constituents and flowing property of (a,b) CO-, (c,d) LO-, (e,f) RO-, and (g,h) PO-containing adsorbents, respectively. Notes: (a,c,e,g) Each sample (500 mg) was stored at 40 ± 2 °C for 12 h in an open state. (a–h) Data represent mean ± SD (n = 3). Significant differences compared with 1:0:0 ratio (* p < 0.05), 1:1:0 ratio (** p < 0.05), 1:1:0.25 ratio (# p < 0.05), 1:1:0.5 ratio († p < 0.05), 1:1:1 ratio (†† p < 0.05), 1:1:1.5 ratio (‡ p < 0.05), and 1:1:2 ratio (‡‡ p < 0.05), respectively.
3.5. Preparation and Physiochemical Characteristics of FDGs
Pharmaceutical excipients were mixed with odorant-containing silicon dioxide to further improve flow properties. The development of oral dosage forms containing volatile essential oils presents significant challenges, particularly regarding the preservation of volatile compounds and optimization of powder flow properties essential for fabrication. The FDG formulations contained balanced ratios of each essential oil (20 mg), silicon dioxide (20 mg), and olive oil (5 mg) as the core functional components, with sugar alcohols comprising the bulk of the formulation (approximately 885–890 mg per 1000 mg tablet). As presented in Table 2, all formulations were standardized to contain identical proportions of L-HPC (40 mg) and magnesium stearate (20 mg), ensuring consistency across different essential oil preparations. The amount of magnesium stearate was minimized to 2% to improve the flow properties while not negatively impacting the disintegration behavior by forming hydrophobic barriers to water penetration.
Table 2.
Composition of FDG formulas of CO, LO, RO, and PO.
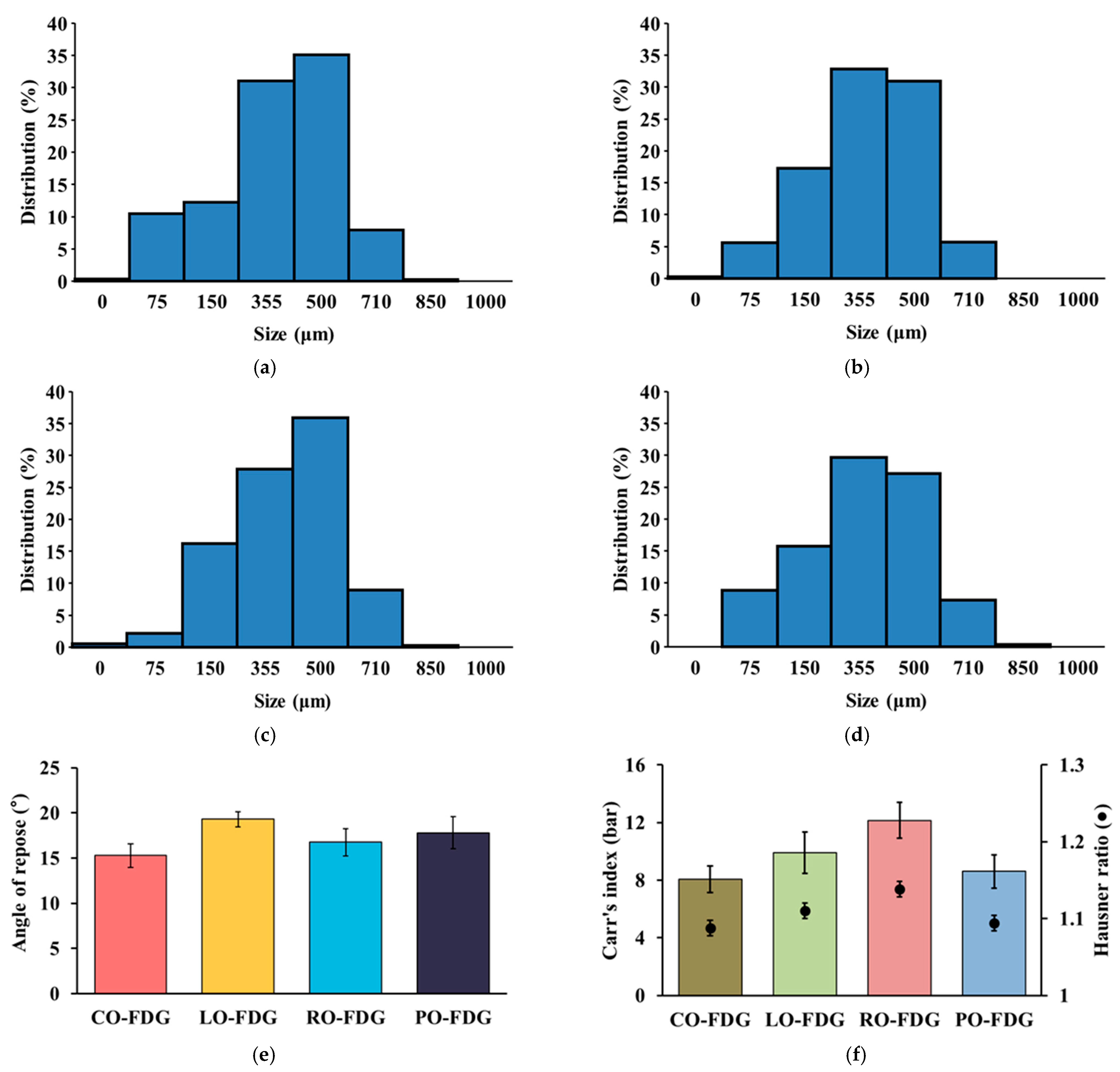
The particle size distribution of the FDGs, determined by the sieving method, is presented in Figure 6. All four FDG formulations exhibited similar size distribution (Figure 6a–d), with median diameters (D50) ranging from 457.5 to 501.8 μm. This distribution closely reflects the particle size characteristics of the major sugar alcohols—mannitol, xylitol, and sorbitol—used as key excipients in the formulations. Flowability assessment based on angle of repose measurements revealed significant improvements across all formulations, with values ranging from 15° to 19°, corresponding to the “excellent” flowability category according to pharmaceutical standards (Figure 6e) [65]. Furthermore, CI values of 8.07–9.92% and HR values of 1.09–1.11 for CO-FDG, LO-FDG, and PO-FDG also indicated “excellent” flowability. RO-FDG, with a CI of 12.15% and an HR of 1.14, demonstrated “good” flowability (Figure 6f) [66]. This improved flowability could be attributed to the combined effects of mannitol, xylitol, and sorbitol, which are known to provide good compressibility and flow characteristics when used as fillers. Collectively, we concluded that all FDG formulations possess sufficient to excellent powder flow characteristics, suitable for subsequent manufacturing processes such as automated filling into four-layer laminated pouches.
Figure 6.
Particle size distribution and flowing property of four essential oils-loaded FDGs. Size distribution of (a) CO-FDG, (b) LO-FDG, (c) RO-FDG, and (d) PO-FDG. (e) Angle of repose (°) and (f) CI (%) and HR of four FDGs. Notes: (a–d) Data represent mean (n = 3). (e,f) Data represent mean ± SD (n = 3).
The in vitro disintegration evaluation in Petri dish revealed rapid and uniform dispersion of the four formulations, with complete spreading observed within 30 s of introduction into the test medium, indicating excellent wettability and disintegration properties (Figure 7a). All formulations showed an analogous disintegration pattern across all four essential oils, with an initial concentrated distribution followed by progressive outward migration at 15 s and subsequent complete dispersion at 30 s. This rapid disintegration was achieved by the incorporation of L-HPC along with hydrophilic sugar alcohols, which are known for their superior disintegrant properties through rapid water absorption and subsequent volume expansion [67].
Figure 7.
Disintegration behavior of FDG formulations upon contact with artificial salvia. (a) Time-dependent spreading and disintegration behaviors of FDGs in Petri dish upon contact with artificial salvia at 37 ± 2 °C. (b) Disintegration time of FDGs determined by general disintegration test method. Notes: (a) Scale bars in all images represent 1 cm. (b) All data represent mean ± SD (n = 6).
The disintegration times of the four FDG formulations were further quantitatively evaluated in accordance with general disintegration test method (Figure 7b). All formulations exhibited rapid disintegration, with complete disaggregation and dissolution within 31.2 s. This rapid disintegration and dissolution are expected to enhance ease of administration and improve patient compliance, while facilitating the liberation of essential oil constituents within the oral cavity.
The hygroscopicity of FDGs was assessed under controlled conditions (25 °C/60% RH and 25 °C/75% RH) in both open (unprotected) and closed (sealed four-layer laminated pouch) states by measuring LOD (Table 3). Due to the presence of hygroscopic sugar alcohols, FDGs stored in open conditions for 24 h exhibited increased moisture absorption with higher humidity, with LOD values ranging from 0.55% to 2.01% at 60% RH and 4.50% to 5.84% at 75% RH. In contrast, FDGs stored in sealed four-layer laminated pouches showed excellent moisture protection, maintaining minimal LOD values of 0.19% to 0.29% after 24 h storage at 60% and 75% RH. Furthermore, long-term stability testing revealed that even after 2 months, the moisture content remained negligible, between 0.08% and 0.13%. These findings indicate that although the FDG formulations are inherently hygroscopic, the selected stick packaging provides an effective barrier against environmental moisture, thereby preserving product stability during storage.
Table 3.
Moisture uptake of FDGs stored under controlled conditions (25 °C/60% RH and 25 °C/75% RH) in both open (unprotected) and closed (sealed four-layer laminated pouch) states.
3.6. Long-Term Stability of FDG Formulations
Four FDGs containing volatile essential oils (CO, LO, RO, and PO) were packaged in polypropylene sticks and evaluated for stability under controlled conditions (25 °C, 60%RH). Polypropylene has been demonstrated to be effective in suppressing the evaporation of volatile substances because of its low permeability and hydrophobic polymer matrix, which acts as a barrier [68].
As shown in Figure 8, FDGs of CO, RO, and PO exhibited excellent stability, maintaining over 98% of olfactory material after 8 weeks of storage. In contrast, the FDG of LO showed relatively lower retention, with approximately 82% remaining after 8 weeks. This observation aligns with previous reports indicating that citrus oils—particularly citral-rich lemon oil—are highly prone to oxidation and volatilization during storage [69]. In this context, the ~82% recovery underscores that our solidification strategy using volatile restrainers, combined with four-layer laminated pouch packaging, provides acceptable stability even for LO. The hydrophobic nature of polypropylene may offer an effective barrier against moisture-induced degradation and volatilization, contributing to the observed long-term stability of all essential oils. From these findings, we conclude that the adsorption of essential oils onto solid carriers, along with volatile restrainers and subsequent polypropylene, offers an effective method to develop oral dosage forms of volatile essential oils with enhanced stability. The novel FDG system formulated for essential oils can be used for clinical applications, including OT, enabling more precise dosing and improved patient compliance.
Figure 8.
Long-term stability of FDG formulations packed in four-layer laminated pouch under storage conditions (25 °C/60%) of CO-, LO-, RO-, and PO-FDGs. Notes: FDG samples were stored at 25 ± 2 °C and 60 ± 5% RH for 8 weeks after enclosure in a four-layer laminated pouch using a heat-sealed method. Data represent mean ± SD (n = 3). Significant differences compared with 4 week (* p < 0.05) and 8 week († p < 0.05), respectively.
3.7. In Vitro Volatile Release Profile of FDGs
The in vitro volatilization kinetics of major constituents from saliva-wetted FDGs were evaluated at 37 °C to simulate oral cavity conditions (Figure 9). All formulations disintegrated rapidly within 30 s. In the volatile release test, LO-FDG and RO-FDG exhibited fast volatilization profiles, with 90.2 ± 0.9% and 93.6 ± 1.9% of citral and phenethyl alcohol release within 15 and 30 min, respectively. Conversely, CO-FDG displayed a slower, near-linear release profile, requiring 90 min to reach a cumulative cinnamaldehyde release over 90%. PO-FDG exhibited intermediate kinetics with an initial release faster than CO-FDG, but slower than LO-FDG and RO-FDG, providing 88.1 ± 1.2% release of menthol after 90 min. These differential release rates strongly correlate with the relative vapor pressures of the volatile ingredients, with citral and phenethyl alcohol showing high relative vapor pressures (~0.091 mmHg and ~0.087 mmHg at 25 °C, respectively), whereas cinnamaldehyde and menthol have lower vapor pressures (0.030 mmHg and 0.064 mmHg at 25 °C, respectively) [70]. Despite these differences, the large surface area of silicon dioxide might facilitate volatilization of the odorants, providing >88% release within 90 min. Such variability in volatilization rate among essential oils may serve as valuable data for clinical dose settings.
Figure 9.
In vitro volatile release profile of artificial saliva-wetted FDG formulations. Note: Data represent mean ± SD (n = 3).
4. Conclusions
Novel FDGs were formulated for olfactory rehabilitation by adsorbing volatile essential oils (cinnamon, lemon, rose, and peppermint oils) onto silicon dioxide (1:1 w/w) with olive oil (1:0.25 w/w) as a volatility restrainer. Free-flowing FDGs were formulated using sugar alcohols, L-HPC, and Mg stearate. FDGs provided ≥82% retention of key odorants (cinnamaldehyde, citral, phenethyl alcohol, and menthol) for 8 weeks under 25 °C/65% RH, providing rapid in vitro disintegration (<30 s). In addition, major constituents were effectively volatilized from saliva-wetted FDGs within 90 min under simulated oral cavity conditions. Therefore, the designed free-flowing, stable FDG system is expected to enable clinical application as a new route for olfactory rehabilitation.
Author Contributions
Conceptualization, I.G.Y., S.H.Y. and M.J.K.; methodology, G.Y.L. and J.-S.B.; investigation, I.G.Y., J.W.Y., C.W.P. and M.Y.J.; validation, I.G.Y.; writing—original draft preparation, I.G.Y.; writing—review & editing, G.Y.L., S.H.Y. and M.J.K.; funding acquisition, S.H.Y.; supervision, J.-H.M. and M.J.K. All authors have read and agreed to the published version of the manuscript.
Funding
This research was supported by a Dankook University Hospital Research Grant for 2024. This research was supported by the Bio&Medical Technology Development Program of the National Research Foundation (NRF) funded by the Korean government (MSIT) (RS-2023-00220408).
Data Availability Statement
The data supporting the findings of this study are available from the corresponding authors upon reasonable request.
Conflicts of Interest
The authors declare that they have no competing financial interests or personal relationships that may have influenced the work reported in this study.
References
- Kollndorfer, K.; Kowalczyk, K.; Hoche, E.; Mueller, C.A.; Pollak, M.; Trattnig, S.; Schöpf, V. Recovery of Olfactory Function Induces Neuroplasticity effects in Patients with Smell Loss. Neural Plast. 2014, 2014, 140419. [Google Scholar] [CrossRef]
- Pieniak, M.; Oleszkiewicz, A.; Avaro, V.; Calegari, F.; Hummel, T. Olfactory Training—Thirteen Years of Research Reviewed. Neurosci. Biobehav. Rev. 2022, 141, 104853. [Google Scholar] [CrossRef] [PubMed]
- Sanganahalli, B.G.; Baker, K.L.; Thompson, G.J.; Herman, P.; Shepherd, G.M.; Verhagen, J.V.; Hyder, F. Orthonasal versus retronasal glomerular activity in rat olfactory bulb by fMRI. NeuroImage 2020, 212, 116664. [Google Scholar] [CrossRef]
- Small, D.M.; Gerber, J.C.; Mak, Y.E.; Hummel, T. Differential Neural Responses Evoked by Orthonasal versus Retronasal Odorant Perception in Humans. Neuron 2005, 47, 593–605. [Google Scholar] [CrossRef]
- Blankenship, M.L.; Grigorova, M.; Katz, D.B.; Maier, J.X. Retronasal Odor Perception Requires Taste Cortex, but Orthonasal Does Not. Curr. Biol. 2019, 29, 62–69.e3. [Google Scholar] [CrossRef]
- Kattar, N.; Do, T.M.; Unis, G.D.; Migneron, M.R.; Thomas, A.J.; McCoul, E.D. Olfactory Training for Postviral Olfactory Dysfunction: Systematic Review and Meta-analysis. Otolaryngol. Head Neck Surg. 2021, 164, 244–254. [Google Scholar] [CrossRef]
- Huang, T.; Wei, Y.; Wu, D. Effects of olfactory training on posttraumatic olfactory dysfunction: A Systematic Review and Meta-analysis. Int. Forum Allergy Rhinol. 2021, 11, 1102–1112. [Google Scholar] [CrossRef] [PubMed]
- Alarfaj, A.A.; Aldrweesh, A.K.; Aldoughan, A.F.; Alarfaj, S.M.; Alabdulqader, F.K.; Alyahya, K.A. Olfactory Dysfunction following COVID-19 and the Potential Benefits of Olfactory Training. Clin. Med. 2023, 12, 4761. [Google Scholar] [CrossRef] [PubMed]
- Treder-Rochna, N.; Mańkowska, A.; Kujawa, W.; Harciarek, M. The effectiveness of olfactory training for chronic olfactory disorder following COVID-19: A systematic review. Front. Hum. Neurosci. 2024, 18, 1457527. [Google Scholar] [CrossRef]
- Mahmut, M.K.; Musch, M.; Han, P.; Abolmaali, N.; Hummel, T. The Effect of Olfactory Training on Olfactory Bulb Volumes in Patients with Idiopathic Olfactory Loss. Rhinology 2020, 58, 413–415. [Google Scholar] [CrossRef]
- Haas, M.; Raninger, J.; Kaiser, J.; Mueller, C.A.; Liu, D.T. Treatment Adherence to Olfactory Training: A Real-World Observational Study. Rhinology 2024, 62, 35–45. [Google Scholar]
- Cirri, M.; Mura, P.A.; Maestrelli, F.; Benedetti, S.; Buratti, S. Pediatric Orally Disintegrating Tablets (ODTs) with Enhanced Palatability Based on Propranolol HCl Coground with Hydroxypropyl-β-Cyclodextrin. Pharmaceutics 2024, 16, 1351. [Google Scholar] [CrossRef]
- Okuda, Y.; Irisawa, Y.; Okimoto, K.; Osawa, T.; Yamashita, S. A new formulation for orally disintegrating tablets using a suspension spray-coating method. Int. J. Pharm. 2009, 382, 80–87. [Google Scholar] [CrossRef] [PubMed]
- Swamivelmanickam, M.; Palanivel, V.; Govindarajan, S. Preparation and Evaluation of Mouth Dissolving Tablets of Loratadine by Direct Compression Method. Res. J. Pharm. Technol. 2020, 13, 2629–2633. [Google Scholar] [CrossRef]
- Ohrem, H.L.; Schornick, E.; Kalivoda, A.; Ognibene, R. Why Is Mannitol Becoming More and More Popular as a Pharmaceutical Excipient in Solid Dosage Forms? Pharm. Dev. Technol. 2014, 19, 257–262. [Google Scholar] [CrossRef] [PubMed]
- Ali, J.; Zgair, A.; Hameed, G.S.; Garnett, M.C.; Roberts, C.J.; Burley, J.C.; Gershkovich, P. Application of biorelevant saliva-based dissolution for optimisation of orally disintegrating formulations of felodipine. Int. J. Pharm. 2019, 555, 228–236. [Google Scholar] [CrossRef]
- Douroumis, D. Orally Disintegrating Dosage Forms and Taste-Masking Technologies. Expert Opin. Drug Deliv. 2011, 8, 665–675. [Google Scholar] [CrossRef]
- Szakonyi, G.; Zelkó, R. Prediction of Oral Disintegration Time of Fast Disintegrating Tablets by Computational Methods. Int. J. Pharm. 2013, 448, 346–353. [Google Scholar] [CrossRef]
- Ni, R.; Michalski, M.H.; Brown, E.; Doan, N.; Zinter, J.; Ouellette, N.T.; Shepherd, G.M. Optimal directional volatile transport in retronasal olfaction. Proc. Natl. Acad. Sci. USA 2015, 112, 14700–14704. [Google Scholar] [CrossRef]
- Lledo, P.M.; Gheusi, G.; Vincent, J.D. Information Processing in the Mammalian Olfactory System. Physiol. Rev. 2005, 85, 281–317. [Google Scholar] [CrossRef]
- Pharma Excipients. Dry Granulation in Solid Oral Formulation: Advantages of Spray-Dried Mannitol in Roll Compaction. Available online: https://www.pharmaexcipients.com/news/spray-dried-mannitol/ (accessed on 21 October 2025).
- Rojas, J.; Kumar, V. Coprocessing of cellulose II with amorphous silicon dioxide: Effect of silicification on the powder and tableting properties. Drug Dev. Ind. Pharm. 2012, 38, 209–226. [Google Scholar] [CrossRef]
- Evonik Operations GmbH. SIPERNAT® 22 (Food & Feed): Product Information; Evonik Operations GmbH: Hanau-Wolfgang, Germany, 2022. [Google Scholar]
- Ibrahim, M.A.; Jaafar, M.Z.; Yusof, M.A.; Shye, C.A.; Idris, A.K. Influence of Size and Surface Charge on the Adsorption Behaviour of Silicon Dioxide Nanoparticles on Sand Particles. Colloids Surf. A 2023, 674, 131943. [Google Scholar] [CrossRef]
- Zengin, H.; Erkan, B. Adsorption of Acids and Bases from Aqueous Solutions onto Silicon Dioxide Particles. J. Hazard. Mater. 2009, 172, 978–985. [Google Scholar] [CrossRef] [PubMed]
- Badawy, S.I.F.; Shah, K.R.; Surapaneni, M.S.; Szemraj, M.; Hussain, M. Use of Mannitol as a Filler in Wet Granulation. In Handbook of Pharmaceutical Wet Granulation: Theory and Practice in a Quality by Design Paradigm; Academic Press: Cambridge, MA, USA, 2019; pp. 455–467. [Google Scholar] [CrossRef]
- Kushwah, H.; Hans, T.; Chauhan, M.; Mittal, G.; Sandal, N. Development and Validation of the Spectrophotometric Method for the Determination of Menthol. J. Appl. Spectrosc. 2020, 87, 563–567. [Google Scholar] [CrossRef]
- Anastasia-Sandu, A.; Bîrzu, S.; Dițu, I.; Bulgariu, L. Direct Determination of Menthol Using a Simple Spectrophotometric Method. Bul. Institutului Politeh. Din Iași Chem. Chem. Eng. 2013, LIX, 71–80. [Google Scholar]
- International Conference on Harmonisation (ICH). ICH Harmonised Tripartite Guideline: Validation of Analytical Procedures: Text and Methodology Q2(R1); ICH: Geneva, Switzerland, 2005; Available online: https://database.ich.org/sites/default/files/Q2%28R1%29%20Guideline.pdf (accessed on 21 October 2025).
- Uhrovič, J. Strategy for Determination of LOD and LOQ Values—Some Basic Aspects. Talanta 2014, 119, 178–180. [Google Scholar] [CrossRef]
- Al-Hashemi, H.M.B.; Al-Amoudi, O.S.B. A Review on the Angle of Repose of Granular Materials. Powder Technol. 2018, 330, 397–417. [Google Scholar] [CrossRef]
- De Caro, V.; Giandalia, G.; Siragusa, M.G.; Campisi, G.; Giannola, L.I. Galantamine Delivery on Buccal Mucosa: Permeation Enhancement and Design of Matrix Tablets. J. Bioequiv. Availab. 2009, 1, 127–134. [Google Scholar] [CrossRef]
- United States Pharmacopeial Convention. United States Pharmacopeia and National Formulary (USP 43–NF 38); General Chapter <701> Disintegration; United States Pharmacopeial Convention: Rockville, MD, USA, 2020. [Google Scholar]
- International Council for Harmonisation (ICH). Q4B Annex 5(R1): Disintegration Test General Chapter; ICH: Geneva, Switzerland, 2010. [Google Scholar]
- Zeng, F.; Chen, J.; Yang, F.; Kang, J.; Cao, Y.; Xiang, M. Effect of Surface Treatment on the Dispersion of Silica Nanoparticles in Polymer Matrix. Materials 2018, 11, 144. [Google Scholar] [CrossRef]
- Rabe, S.; Krings, U.; Berger, R.G. In Vitro Study of the Influence of Physiological Parameters on Dynamic In-Mouth Flavour Release from Liquids. Chem. Senses 2004, 29, 153–162. [Google Scholar] [CrossRef][Green Version]
- Yu, Y.; Ma, Y.; Ouyang, Z.; Huang, L. Mentha Essential Oils: Unraveling Chemotype-Dependent Biosynthesis and Assessing Evidence for Health-Promoting Activities. Nutrients 2025, 17, 3258. [Google Scholar] [CrossRef]
- Wilson, N.D.; Ivanova, M.S.; Watt, R.A.; Moffat, A.C. The quantification of citral in lemongrass and lemon oils by near-infrared spectroscopy. J. Pharm. Pharmacol. 2002, 54, 1257–1263. [Google Scholar] [CrossRef]
- Elsharif, S.A.; Buettner, A. Structure–odor relationship study on geraniol, nerol, and their synthesized oxygenated derivatives. J. Agric. Food Chem. 2018, 66, 2324–2333. [Google Scholar] [CrossRef]
- Loolaie, M.; Moasefi, N.; Rasouli, H.; Adibi, H. Peppermint and Its Functionality: A Review. Arch. Clin. Microbiol. 2017, 8, 54. [Google Scholar] [CrossRef]
- Han, X.; Huang, X.; Zhang, B. Morphological studies of menthol as a temporary consolidant for urgent conservation in archaeological field. J. Cult. Herit. 2016, 18, 271–278. [Google Scholar] [CrossRef]
- Dobreva, A.; Nedeva, D.; Mileva, M. Comparative Study of the Yield and Chemical Profile of Rose Oils and Hydrosols Obtained by Industrial Plantations of Oil-Bearing Roses in Bulgaria. Resources 2023, 12, 83. [Google Scholar] [CrossRef]
- Erbas, S.; Baydar, H. Variation in Scent Compounds of Oil-Bearing Rose (Rosa damascena Mill.) Produced by Headspace Solid Phase Microextraction, Hydrodistillation and Solvent Extraction. Rec. Nat. Prod. 2016, 10, 555–565. [Google Scholar]
- Wolken, W.A.M.; ten Have, R.; van der Werf, M.J. Amino Acid-Catalyzed Conversion of Citral: Cis–trans Isomerization and Its Conversion into 6-Methyl-5-hepten-2-one and Acetaldehyde. J. Agric. Food Chem. 2000, 48, 5401–5405. [Google Scholar] [CrossRef]
- Gaonkar, R.; Yallappa, S.; Dhananjaya, B.L.; Hegde, G. Development and validation of reverse phase high performance liquid chromatography for citral analysis from essential oils. J. Chromatogr. B Anal. Technol. Biomed. Life Sci. 2016, 1036–1037, 50–56. [Google Scholar] [CrossRef]
- Lu, C.H.; Fang, M.C.; Chen, Y.Z.; Huang, S.C.; Wang, D.Y. Quantitative analysis of fragrance allergens in various matrixes of cosmetics by liquid-liquid extraction and GC-MS. J. Food Drug. Anal. 2021, 29, 700–708. [Google Scholar] [CrossRef]
- Pinilla, C.M.B.; Lopes, N.A.; Brandelli, A. Lipid-Based Nanostructures for the Delivery of Natural Antimicrobials. Molecules 2021, 26, 3587. [Google Scholar] [CrossRef] [PubMed]
- Mehta, N.; Kumar, P.; Verma, A.K.; Umaraw, P.; Kumar, Y.; Malav, O.P.; Sazili, A.Q.; Domínguez, R.; Lorenzo, J.M. Micro-encapsulation as a Noble Technique for the Application of Bioactive Compounds in the Food Industry: A Comprehensive Review. Appl. Sci. 2022, 12, 1424. [Google Scholar] [CrossRef]
- Tian, B.; Liu, Y. Cyclodextrin-Active Natural Compounds in Food Applications: A Review of Antibacterial Activity. Turk. J. Chem. 2021, 45, 1707–1724. [Google Scholar] [CrossRef]
- Sheikh, A.R.; Wu-Chen, R.A.; Matloob, A.; Mahmood, M.H.; Javed, M. Nanoencapsulation of Volatile Plant Essential Oils: A Paradigm Shift in Food Industry Practices. Food Innov. Adv. 2024, 3, 305–319. [Google Scholar] [CrossRef]
- Yammine, J.; Chihib, N.-E.; Gharsallaoui, A.; Ismail, A.; Karam, L. Advances in essential oils encapsulation: Development, characterization and release mechanisms. Polym. Bull. 2024, 81, 3837–3882. [Google Scholar] [CrossRef]
- Yang, J.; Kok, C.R.; Ciftci, D.; Hutkins, R.; Ciftci, O.N. Hollow Solid Lipid Particles Loaded with Essential Oils via Supercritical CO2 to Develop Novel Antimicrobial Lipids with Controlled Release for Food Applications. Innov. Food Sci. Emerg. Technol. 2025, 102, 103980. [Google Scholar] [CrossRef]
- Shah, S.; Dhawan, V.; Holm, R.; Nagarsenker, M.S.; Perrie, Y. Liposomes: Advancements and Innovation in the Manufacturing Process. Adv. Drug Deliv. Rev. 2020, 154–155, 102–122. [Google Scholar] [CrossRef]
- Bedoya-Agudelo, J.P.; López-Carvajal, J.E.; Quiguanás-Guarín, E.S.; Cardona, N.; Padilla-Sanabria, L.; Castaño-Osorio, J.C. Assessment of Antimicrobial and Cytotoxic Activities of Liposomes Loaded with Curcumin and Lippia origanoides Essential Oil. Biomolecules 2024, 14, 851. [Google Scholar] [CrossRef]
- Saporito, F.; Sandri, G.; Bonferoni, M.C.; Rossi, S.; Boselli, C.; Cornaglia, A.I.; Mannucci, B.; Grisoli, P.; Vigani, B.; Ferrari, F. Essential Oil-Loaded Lipid Nanoparticles for Wound Healing. Int. J. Nanomed. 2018, 13, 175–186. [Google Scholar] [CrossRef]
- Baek, K.; Jin, S.G. Solidification Materials and Technology for Solid Self-Emulsifying Drug Delivery Systems. Pharmaceuticals 2025, 18, 1550. [Google Scholar] [CrossRef]
- Mușuc, A.M. Cyclodextrins: Advances in Chemistry, Toxicology, and Multifaceted Applications. Molecules 2024, 29, 5319. [Google Scholar] [CrossRef] [PubMed]
- Tucker, I.; Ward, J.; Davidson, G.W. Vapor Pressure Studies of Benzene–Cyclodextrin Inclusion Complexes. J. Am. Chem. Soc. 1984, 106, 1945–1951. [Google Scholar] [CrossRef]
- Kurek, M.; Debeaufort, F.; Karbowiak, T.; Voilley, A. How Composition and Process Parameters Affect Volatile Retention During Film Formation. Carbohydr. Polym. 2012, 88, 646–656. [Google Scholar] [CrossRef]
- Gilpin, S.J.; Hui, X.; Maibach, H.I. Volatility of Fragrance Chemicals: Patch Testing Implications. Dermatitis 2009, 20, 200–207. [Google Scholar] [CrossRef]
- Bridges, B. Fragrance: Emerging Health and Environmental Concerns. Flavour. Fragr. J. 2002, 17, 361–371. [Google Scholar] [CrossRef]
- Yildiz, Z.I.; Kilic, M.E.; Durgun, E.; Uyar, T. Molecular Encapsulation of Cinnamaldehyde within Cyclodextrin Inclusion Complex Electrospun Nanofibers: Fast-Dissolution, Enhanced Water Solubility, High-Temperature Stability, and Antibacterial Activity of Cinnamaldehyde. J. Agric. Food Chem. 2019, 67, 11066–11076. [Google Scholar] [CrossRef] [PubMed]
- Gulin-Sarfraz, T.; Kalantzopoulos, G.N.; Haugen, J.-E.; Axelsson, L.; Kolstad, H.R.; Sarfraz, J. Controlled Release of Volatile Antimicrobial Compounds from Mesoporous Silica Nanocarriers for Active Food Packaging Applications. Int. J. Mol. Sci. 2022, 23, 7032. [Google Scholar] [CrossRef]
- Yalcin, H.; Toker, O.S.; Dogan, M. Effect of Oil Type and Fatty Acid Composition on Dynamic and Steady Shear Rheology of Vegetable Oils. J. Oleo Sci. 2012, 61, 181–187. [Google Scholar] [CrossRef]
- Nakashima, H.; Shioji, Y.; Kobayashi, T.; Aoki, S.; Shimizu, H.; Miyasaka, J.; Ohdoi, K. Determining the Angle of Repose of Sand under Low-Gravity Conditions Using Discrete Element Method. J. Terramech. 2011, 48, 17–26. [Google Scholar] [CrossRef]
- Shah, R.B.; Tawakkul, M.A.; Khan, M.A. Comparative Evaluation of Flow for Pharmaceutical Powders and Granules. AAPS PharmSciTech 2008, 9, 250–258. [Google Scholar] [CrossRef]
- Mishra, S.M.; Sauer, A. Effect of physical properties and chemical substitution of excipient on compaction and disintegration behavior of tablet: A case study of low-substituted hydroxypropyl cellulose (L-HPC). Macromol 2022, 2, 113–130. [Google Scholar] [CrossRef]
- Rubino, M.; Tung, M.A.; Yada, S.; Britt, I.J. Permeation of oxygen, water vapor, and limonene through printed and unprinted biaxially oriented polypropylene films. J. Agric. Food Chem. 2001, 49, 3041–3045. [Google Scholar] [CrossRef] [PubMed]
- Weerawatanakorn, M.; Wu, J.C.; Pan, M.H.; Ho, C.T. Reactive and Stability-Related Changes of Selected Flavor Compounds: A Review. J. Food Drug Anal. 2015, 23, 176–190. [Google Scholar] [CrossRef] [PubMed]
- Linstrom, P.J.; Mallard, W.G. (Eds.) NIST Chemistry WebBook, NIST Standard Reference Database Number 69; National Institute of Standards and Technology: Gaithersburg, MD, USA, 2025. [Google Scholar] [CrossRef]
Disclaimer/Publisher’s Note: The statements, opinions and data contained in all publications are solely those of the individual author(s) and contributor(s) and not of MDPI and/or the editor(s). MDPI and/or the editor(s) disclaim responsibility for any injury to people or property resulting from any ideas, methods, instructions or products referred to in the content. |
© 2025 by the authors. Licensee MDPI, Basel, Switzerland. This article is an open access article distributed under the terms and conditions of the Creative Commons Attribution (CC BY) license (https://creativecommons.org/licenses/by/4.0/).









