Advanced Techniques for Thorium Recovery from Mineral Deposits: A Comprehensive Review
Abstract
1. Introduction
1.1. Justification of the Use of Thorium in Nuclear Power Systems
1.2. Prevalence and Main Mineral Carriers of Thorium
2. Initial Raw Materials
2.1. Monazite Ores
2.2. Thorianite, Torite, and Cheralite as Key Thorium-Bearing Minerals

| Material/Source | REE | ThO2 | UO2/U3O8 | P2O5 | Fe2O3 | CaO | SiO2 | Al2O3 | Reference |
|---|---|---|---|---|---|---|---|---|---|
| Typical monazite composition (literature average) | 60–70 | 4–9 | 0.2–0.4 | 25–28 | 1–3 | – | – | – | [36,37,38] |
| Monazite concentrate (Egypt) | 63.1 | 5.39 | 0.29 | 10.05 | 12.13 | – | – | 2.3 | [39] |
| Rare-earth waste residue—impurity type (China) | 6.53 | 0.44 | – | – | 0.42 | – | 2.60 | 55.42 | [40] |
| Rare-earth waste residue—dissolved type (China) | 14.57 | 1.25 | – | – | 29.52 | – | 20.45 | 5.70 | [40] |
| Rare-earth waste residue—neutralization type (China) | 17.35 | – | – | – | 3.71 | 53.28 | 5.32 | 3.14 | [40] |
| Phosphogypsum (Voskresensk, Russia) | 0.42 | 7 × 10−4 | 2 × 10−4 | – | – | – | – | – | [41] |
| Monazite concentrate (Russia, Krasnoufimsk) | 65.0 | 6.6 | 0.18 | – | – | – | – | – | [42] |
| Thorite (ThSiO4, Bayan Obo, China) | ≤5 | 38–72 | – | – | 1–20 | – | 7–12 | – | [43] |
2.3. REE Processing Tailings and Other By-Products
2.4. Research Methodology
3. Physical Methods of Enrichment
3.1. Gravity Enrichment
3.2. Magnetic and Electrostatic Separation
4. Hydrometallurgical Leaching
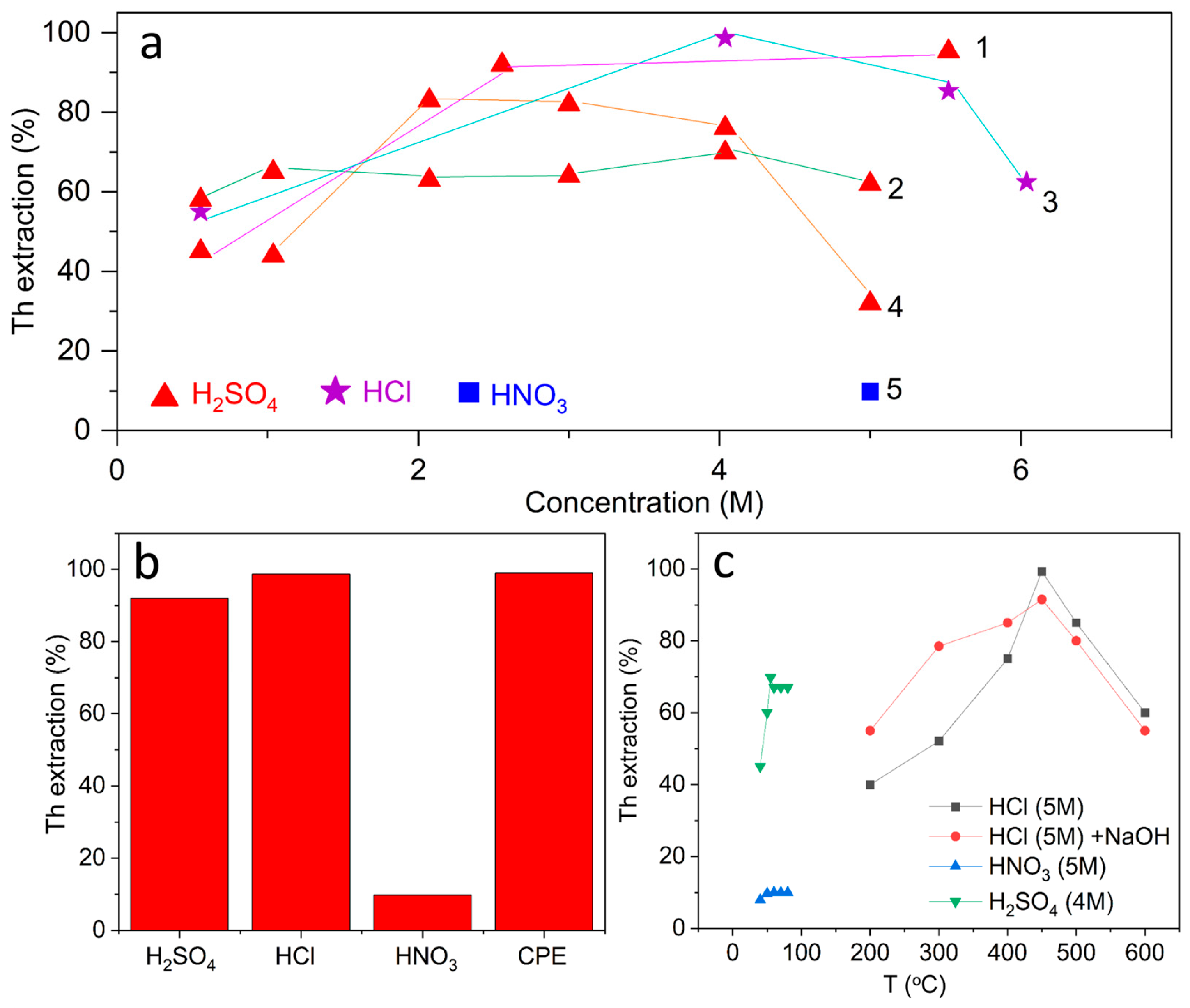
4.1. Acid Leaching (H2SO4, HCl, HNO3)
4.2. Alkaline Leaching (NaOH)
5. Extraction and Chromatographic Separation Methods
5.1. Organophosphorus Reagentter (TBP, D2EHPA)
5.2. Schiff Bases, Diglycolamides, and Ionic Liquids
5.3. Extraction Chromatography and Resins
6. Sorption and Electrosorption Methods
6.1. Nanocomposite and Ion-Printed Sorbents (TIO2, MOF, Magnetic Nanocomposites)
6.2. Electrosorption of Carbon Materials
7. Environmental and Radiological Aspects
7.1. Management of Radioactive Waste
7.2. Environmental Safety of Technologies
8. Future Perspectives and Recommendations
8.1. Hybrid Methods and Research Priorities
8.2. Economic Feasibility and Optimization
9. Conclusions
Supplementary Materials
Author Contributions
Funding
Institutional Review Board Statement
Informed Consent Statement
Data Availability Statement
Conflicts of Interest
References
- Liu, L.; Guo, H.; Dai, L.; Liu, M.; Xiao, Y.; Cong, T.; Gu, H. The role of nuclear energy in the carbon neutrality goal. Prog. Nucl. Energy 2023, 162, 104772. [Google Scholar] [CrossRef]
- Mathew, M.D. Nuclear energy: A pathway towards mitigation of global warming. Prog. Nucl. Energy 2022, 143, 104080. [Google Scholar] [CrossRef]
- Krūmiņš, J.; Kļaviņš, M. Investigating the Potential of Nuclear Energy in Achieving a Carbon-Free Energy Future. Energies 2023, 16, 3612. [Google Scholar] [CrossRef]
- Costa Peluzo, B.M.T.; Kraka, E. Uranium: The Nuclear Fuel Cycle and Beyond. Int. J. Mol. Sci. 2022, 23, 4655. [Google Scholar] [CrossRef] [PubMed]
- Paraschiv, S. Analysis of the variability of low-carbon energy sources, nuclear technology and renewable energy sources, in meeting electricity demand. Energy Rep. 2023, 9, 276–283. [Google Scholar] [CrossRef]
- Rubbia, C. A Future for Thorium Power? In Proceedings of the ThEC13 Conference: Thorium Energy for the World, CERN, Globe of Science and Innovation, Geneva, Switzerland, 27–31 October 2013; Springer International Publishing: Cham, Switzerland, 2016; pp. 9–25. [Google Scholar] [CrossRef]
- Manchanda, V.K. Thorium as an Abundant Source of Nuclear Energy and Challenges in Separation Science. Radiochim. Acta 2023, 111, 243–263. [Google Scholar] [CrossRef]
- Humphrey, U.E.; Khandaker, M.U. Viability of Thorium-Based Nuclear Fuel Cycle for the Next Generation Nuclear Reactor: Issues and Prospects. Renew. Sustain. Energy Rev. 2018, 97, 259–275. [Google Scholar] [CrossRef]
- Revol, J.P.; Bourquin, M.; Kadi, Y.; Lillestol, E.; de Mestral, J.C.; Samec, K. Thorium Energy for the World. In Proceedings of the ThEC13 Conference: Thorium Energy for the World, CERN, Globe of Science and Innovation, Geneva, Switzerland, 27–31 October 2013; Springer International Publishing: Cham, Switzerland, 2016; pp. 1–8. [Google Scholar] [CrossRef]
- Schaffer, M.B. Abundant Thorium as an Alternative Nuclear Fuel: Important Waste Disposal and Weapon Proliferation Advantages. Energy Policy 2013, 60, 4–12. [Google Scholar] [CrossRef]
- Li, D. TRU Utilization and MA Transmutation in Thorium-Based Fluorinated Molten Salt Fast Reactor. Prog. Nucl. Energy 2024, 168, 105015. [Google Scholar] [CrossRef]
- Mohsen, M.Y.; Luhaib, S.A.; Alnassar, N.; Magzoub, O.A.; Abdel-Rahman, M.A.; Sallah, M.; Galahom, A.A. Investigating the Possible Advantages of Using Different Concentrations of Transuranic Elements with Thorium–Uranium Dioxide as a Fuel for PBMR-400. Prog. Nucl. Energy 2025, 178, 105512. [Google Scholar] [CrossRef]
- Degueldre, C.; Joyce, M.J. Evidence and Uncertainty for Uranium and Thorium Abundance: A Review. Prog. Nucl. Energy 2020, 124, 103299. [Google Scholar] [CrossRef]
- Herring, J.S. Uranium and Thorium Resources. In Nuclear Energy; Springer: New York, NY, USA, 2018; pp. 65–185. [Google Scholar] [CrossRef]
- Hedrick, J.B. Scandium; Mineral Commodity Summaries 2010a; U.S. Geological Survey: Reston, VA, USA, 2010.
- Ramadan, A.; El-Metwally, A.; Abd El-Bary, A. Mineralogy and Radioactivity Evaluation of Dry Stream Sediments as Raw Materials Resources in Umm Naggat Area, Egypt. Iraqi Geol. J. 2025, 58, 239–259. [Google Scholar] [CrossRef]
- Findeiß, M.; Schäffer, A. Fate and Environmental Impact of Thorium Residues during Rare Earth Processing. J. Sustain. Metall. 2017, 3, 179–189. [Google Scholar] [CrossRef]
- Jyothi, R.K.; De Melo, L.G.T.C.; Santos, R.M.; Yoon, H.S. An Overview of Thorium as a Prospective Natural Resource for Future Energy. Front. Energy Res. 2023, 11, 1132611. [Google Scholar] [CrossRef]
- Cuney, M. Uranium and Thorium: The Extreme Diversity of the Resources of the World’s Energy Minerals. In Non-Renewable Resource Issues: Geoscientific and Societal Challenges; Sotirov, I., Ed.; Springer: Dordrecht, The Netherlands, 2012; pp. 91–129. [Google Scholar] [CrossRef]
- Fesenko, S.V.; Emlutina, E.S. Thorium Concentrations in the Environment: A Review of the Global Data. Biol. Bull. 2021, 48, 2086–2097. [Google Scholar] [CrossRef]
- Raju, R.D. Critical Minerals-U-Th, Recoverable from the Placer Valuable Heavy Minerals in Mineral Sand Deposits. Int. J. Res. Innov. Appl. Sci. 2025, 10, 807–819. [Google Scholar] [CrossRef]
- Cao, M.; Bu, H.; Gao, Y. Preconcentration of Low-Grade Ta–Nb Deposit Using Physical Separation Methods. JOM 2021, 73, 1410–1418. [Google Scholar] [CrossRef]
- Williams, M.A.; Kelsey, D.E.; Rubatto, D. Thorium Zoning in Monazite: A Case Study from the Ivrea–Verbano Zone, NW Italy. J. Metamorph. Geol. 2022, 40, 1015–1042. [Google Scholar] [CrossRef]
- Corbett, M.K.; Eksteen, J.J.; Niu, X.Z.; Croue, J.P.; Watkin, E.L. Interactions of Phosphate Solubilising Microorganisms with Natural Rare-Earth Phosphate Minerals: A Study Utilizing Western Australian Monazite. Bioproc. Biosyst. Eng. 2017, 40, 929–942. [Google Scholar] [CrossRef]
- René, M.; Akitsu, T. Nature, Sources, Resources, and Production of Thorium. In Thorium: Characterization, Chemical Properties, and Applications; IntechOpen: London, UK, 2017; pp. 201–212. [Google Scholar] [CrossRef]
- UN.ESCAP. Sri Lanka: Explanatory Brochure? United Nations: New York, NY, USA, 1989. [Google Scholar]
- Sameera, K.A.G.; Wickramasinghe, W.A.G.K.; Harankahawa, S.B.; Welikanna, C.R.; De Silva, K.T.U.S. Radiometric Surveying for Th and U Mineralization in Southwestern Sri Lanka: Radiological, Mineralogical and Geochemical Characteristics of the Radioactive Anomalies. J. Geol. Soc. Sri Lanka 2020, 21, 29–44. [Google Scholar] [CrossRef]
- Allison, G.K. Fluid Inclusion Evidence for the Temperature and Composition of Ore Fluids in the Lemhi Pass and Diamond Creek REE-Th Districts, Idaho-Montana. Ph.D. Thesis, University of Missouri-Columbia, Columbia, MO, USA, 2019. [Google Scholar] [CrossRef]
- Rahmansyah, A.A.A.; Srigutomo, W. Natural Radioactivity of Rock and Potential Availability of Uranium-Thorium Minerals in Indonesia. J. Phys. Conf. Ser. 2022, 2243, 012058. [Google Scholar] [CrossRef]
- Rosianna, I.; Nugraha, E.D.; Syaeful, H.; Putra, S.; Hosoda, M.; Akata, N.; Tokonami, S. Natural Radioactivity of Laterite and Volcanic Rock Sample for Radioactive Mineral Exploration in Mamuju, Indonesia. Geosciences 2020, 10, 376. [Google Scholar] [CrossRef]
- Abdel Gawad, A.E.; Panova, E.G.; Ghoneim, M.M.; Yanson, S.Y.; Alsufyani, S.J.; Saftah, A.; Alresheedi, N.M.; Hanfi, M.Y. Radioactive Assessment and Th-, Nb-Ta-, Zr-, REE-Bearing Minerals in Alkaline Syenite: Environmental Implications for Radiological Safety. Geosciences 2025, 15, 138. [Google Scholar] [CrossRef]
- Ault, T.; Van Gosen, B.; Krahn, S.; Croff, A. Natural Thorium Resources and Recovery: Options and Impacts. Nucl. Technol. 2016, 194, 136–151. [Google Scholar] [CrossRef]
- Chidester, B.A.; Pardo, O.S.; Fischer, R.A.; Thompson, E.C.; Heinz, D.L.; Prescher, C.; Prakapenka, V.B.; Campbell, A.J. High-Pressure Phase Behavior and Equations of State of ThO2 Polymorphs. Am. Mineral. 2018, 103, 749–756. [Google Scholar] [CrossRef]
- Taylor, M.A.R.K.; Ewing, R.C. The Crystal Structures of the ThSiO4 Polymorphs: Huttonite and Thorite. Acta Crystallogr. Sect. B Struct. Sci. 1978, 34, 1074–1079. [Google Scholar] [CrossRef]
- Raison, P.E.; Heathman, S.; Wallez, G.; Zvoriste, C.E.; Bykov, D.; Ménard, G.; Caciuffo, R. Structure and Nuclear Density Distribution in the Cheralite—CaTh(PO4)2: Studies of Its Behaviour under High Pressure (36 GPa). Phys. Chem. Miner. 2012, 39, 685–692. [Google Scholar] [CrossRef]
- Amaral, J.C.; Sá, M.L.; Morais, C.A. Recovery of Uranium, Thorium and Rare Earth from Industrial Residues. Hydrometallurgy 2018, 181, 148–155. [Google Scholar] [CrossRef]
- Amer, T.E.; El-Sheikh, E.M.; Gado, M.A.; Abu-Khoziem, H.A.; Zaki, S.A. Selective recovery of lanthanides, uranium and thorium from Rosetta monazite mineral concentrate. Sep. Sci. Technol. 2018, 53, 1522–1530. [Google Scholar] [CrossRef]
- Su, J.; Xu, R.; Ni, S.; Li, F.; Sun, X. A Cost-Effective Process for Recovering Thorium and Rare Earths from Radioactive Residues. J. Clean. Prod. 2020, 254, 119931. [Google Scholar] [CrossRef]
- Shahr El-Din, A.M.; Borai, E.H.; Abd El-Ghany, M. Selective separation of thorium from rare earth elements liquor during the alkaline processing of Egyptian monazite concentrate. Main Group Chem. 2018, 17, 79–88. [Google Scholar] [CrossRef]
- Su, J.; Gao, Y.; Ni, S.; Xu, R.; Sun, X. A Safer and Cleaner Process for Recovering Thorium and Rare Earth Elements from Radioactive Waste Residue. J. Hazard. Mater. 2021, 406, 124654. [Google Scholar] [CrossRef]
- Samsonov, M.D.; Trofimov, T.I.; Kulyako, Y.M.; Malikov, D.A.; Myasoedov, B.F. Supercritical Fluid Extraction of Rare Earth Elements, Thorium and Uranium from Monazite Concentrate and Phosphogypsum Using Carbon Dioxide Containing Tributyl Phosphate and Di-(2-Ethylhexyl) Phosphoric Acid. Russ. J. Phys. Chem. B 2016, 10, 1078–1084. [Google Scholar] [CrossRef]
- Gao, J.; Chen, J.; Lv, H.; Feng, X.; Liao, S.; Yan, Y.; Ma, F. The Electrolysis-Graded Leaching Process for Rapid Resource Regeneration of Th(IV)/U(VI) from Wastewater. J. Clean. Prod. 2023, 427, 139093. [Google Scholar] [CrossRef]
- Sun, Q.; Chen, B.; Li, Q.; Jin, H. Distribution and mineralogical features of thorite in the Bayan Obo deposit: Implications for hydrothermal metasomatic Th re-enrichment. Ore Geol. Rev. 2024, 164, 105831. [Google Scholar] [CrossRef]
- Chadirji-Martinez, K.; Grosvenor, A.P.; Crawford, A.; Chernikov, R.; Heredia, E.; Feng, R.; Pan, Y. Thorium Speciation in Synthetic Anhydrite: Implications for Remediation and Recovery of Thorium from Rare-Earth Mine Tailings. Hydrometallurgy 2022, 214, 105965. [Google Scholar] [CrossRef]
- Huang, B.; Liu, Z.; Wang, Y.; Zhou, L.; Wang, C.; Ye, T. Release Behavior and Mechanism of Uranium and Thorium from Ta-Nb Tailings under Simulated Rainfall in Jiangxi Province, China. Environ. Sci. Pollut. Res. 2022, 29, 57466–57478. [Google Scholar] [CrossRef] [PubMed]
- Huang, M.; Liu, Z.; Li, X. Phytoremediation of Rare Tailings-Contaminated Soil. J. Renew. Mater. 2022, 10, 3351–3365. [Google Scholar] [CrossRef]
- Kukkonen, E.; Virtanen, E.J.; Moilanen, J.O. α-Aminophosphonates, -Phosphinates, and -Phosphine Oxides as Extraction and Precipitation Agents for Rare Earth Metals, Thorium, and Uranium: A Review. Molecules 2022, 27, 3465. [Google Scholar] [CrossRef]
- Iskandar, B.T.; Ismail, A.F.; Aziman, E.S.; Ahmad, S. Advancing towards Technology Readiness: Continuous-Flow Electrosorption for Thorium Separation from Rare Earth Processing By-Products. Nucl. Eng. Technol. 2024, 56, 4611–4619. [Google Scholar] [CrossRef]
- Lei, P.; Gao, Y.; Zhai, R.; Zhang, H.; Tian, Z.; Sun, X.; Chai, Y. The Selective Electrosorption of Thorium from Rare Earth with Molybdenum Disulfide-Modified Reduced Graphene Oxide Aerogel (MoS2@rGA). Sep. Purif. Technol. 2025, 363, 132242. [Google Scholar] [CrossRef]
- Akbari, M.; Shafaei Tonkaboni, S.Z.; Khanchi, A. Thorium Recovery from Choghart Mining Waste by Beneficiation Processes. J. Miner. Met. Mater. Soc. 2023, 75, 1045–1058. [Google Scholar] [CrossRef]
- Nzeh, N.S.; Popoola, P.; Adeleke, A. Physicochemical Concentration of Heavy Minerals—A Treatise on Wet Process Media: Gravity, Centrifugal and Flotation Techniques. Int. J. Min. Miner. Eng. 2024, 15, 161–236. [Google Scholar] [CrossRef]
- Danilenko, E.G.; Telegin, S.V. Laboratory Separator of Bulk Materials. Sib. Aerosp. J. 2020, 21, 550–555. [Google Scholar] [CrossRef]
- Svoboda, J.; Fujita, T. Recent Developments in Magnetic Methods of Material Separation. Miner. Eng. 2003, 16, 785–792. [Google Scholar] [CrossRef]
- Kim, K.; Jeong, S. Separation of Monazite from Placer Deposit by Magnetic Separation. Minerals 2019, 9, 149. [Google Scholar] [CrossRef]
- Nzeh, N.S.; Popoola, P.A.; Adeleke, A.; Adeosun, S. Physical Concentration of Heavy Minerals: A Brief Review on Low- and High-Intensity Magnetic Separation Process Techniques. J. Miner. Met. Mater. Soc. 2024, 76, 1329–1344. [Google Scholar] [CrossRef]
- Tripathy, S.K.; Banerjee, P.K.; Suresh, N. Magnetic Separation Studies on Ferruginous Chromite Fine to Enhance Cr:Fe ratio. Int. J. Miner. Metall. Mater. 2016, 23, 459–469. [Google Scholar] [CrossRef]
- Dwari, R.K.; Rao, D.S. Dry Beneficiation of Coal—A Review. Miner. Process. Extr. Metall. Rev. 2009, 30, 33–49. [Google Scholar] [CrossRef]
- Stopic, S.; Friedrich, B. Advances in Understanding of the Application of Unit Operations in Metallurgy of Rare Earth Elements. Metals 2021, 11, 978. [Google Scholar] [CrossRef]
- Demol, J. The Effect of Temperature and Mineralogy on Reaction Processes during the Sulfuric Acid Baking of Monazite Ores. Ph.D. Thesis, Murdoch University, Perth, Australia, 2020. [Google Scholar]
- Shuai, G.; Zhao, L.; Wang, L.; Long, Z.; Cui, D. Aqueous Stability of Rare Earth and Thorium Elements during Hydrochloric Acid Leaching of Roasted Bastnaesite. J. Rare Earths 2017, 35, 1255–1260. [Google Scholar] [CrossRef]
- Abd El Fatah, A.I.L. Commercial Approach for Highly Pure Thorium from Egyptian Monazite Mineral Acid Process. In Proceedings of the 10th International Conference on Chemical and Environmental Engineering, Military Technical College, Cairo, Egypt, 7–9 July 2020; Volume 10, pp. 1–12. [Google Scholar] [CrossRef]
- Elatontsev, D.A.; Mukhachev, A.P. Investigation of methods for separating thorium and rare-earth elements in nitric-acid leaching solutions for loparite concentrate. At. Energy 2021, 130, 82–87. [Google Scholar] [CrossRef]
- Chowdhury, M.O.S.; Talan, D. From Waste to Wealth: A Circular Economy Approach to the Sustainable Recovery of Rare Earth Elements and Battery Metals from Mine Tailings. Separations 2025, 12, 52. [Google Scholar] [CrossRef]
- Pepper, R.A.; Couperthwaite, S.J.; Millar, G.J. Comprehensive Examination of Acid Leaching Behaviour of Mineral Phases from Red Mud: Recovery of Fe, Al, Ti, and Si. Miner. Eng. 2016, 99, 8–18. [Google Scholar] [CrossRef]
- Maltrana, V.; Morales, J. The Use of Acid Leaching to Recover Metals from Tailings: A Review. Metals 2023, 13, 1862. [Google Scholar] [CrossRef]
- Borai, E.H.; Abd El-Ghany, M.S.; Ahmed, I.M.; Hamed, M.M.; El-Din, A.S.; Aly, H.F. Modified Acidic Leaching for Selective Separation of Thorium, Phosphate and Rare Earth Concentrates from Egyptian Crude Monazite. Int. J. Miner. Process. 2016, 149, 34–41. [Google Scholar] [CrossRef]
- Chung, K.W.; Yoon, H.S.; Kim, C.J.; Lee, J.Y.; Jyothi, R.K. Solvent Extraction, Separation and Recovery of Thorium from Korean Monazite Leach Liquors for Nuclear Industry Applications. J. Ind. Eng. Chem. 2020, 83, 72–80. [Google Scholar] [CrossRef]
- Liu, Z.; Xiu, T.; Du, Y.; Wang, X.; Wang, L.; Li, J.; Zhang, J. Leaching Characteristics and Kinetics of Radioactive Element Uranium and Thorium from Ta/Nb Tailing. J. Radioanal. Nucl. Chem. 2020, 323, 1197–1206. [Google Scholar] [CrossRef]
- Lan, Q.; Li, J.; Wu, F.; Liu, G.; Xu, H.; Chen, X. Recovery of rare earth elements and thorium from acid leaching residue of ionic rare earth concentrates. J. Rare Earths 2025, 43, 794–804. [Google Scholar] [CrossRef]
- Basque, J.; Lavoie, J.; Reynier, N.; Lariviere, D. Quantitative Separation of Thorium from Rare Earth Elements and Uranium in a Rare Earth Element Sulfuric Acid Leachate Using Cloud Point Extraction. Microchem. J. 2023, 190, 108724. [Google Scholar] [CrossRef]
- Demol, J.; Ho, E.; Senanayake, G. Sulfuric Acid Baking and Leaching of Rare Earth Elements, Thorium and Phosphate from a Monazite Concentrate: Effect of Bake Temperature from 200 to 800 °C. Hydrometallurgy 2018, 179, 254–267. [Google Scholar] [CrossRef]
- Prasetyo, E.; Supriyatna, Y.I.; Bahfie, F.; Trinopiawan, K. Extraction of Thorium from Tin Slag Using Acidic Roasting and Leaching Method. In AIP Conference Proceedings, Proceedings of the 3rd International Seminar on Metallurgy and Materials (ISMM2019): Exploring New Innovation in Metallurgy and Materials, Tangerang Selatan, Indonesia, 23–24 October 2019; AIP Publishing LLC: New York, NY, USA, 2020; Volume 2232, p. 040008. [Google Scholar] [CrossRef]
- Fu, C.; Du, W.; Kuang, W.; Huang, Y.; Deng, B.; Liu, X.; Liao, W. Thorium-Selective Electrosorption with Phosphorylated PANI/AC Electrode. Chem. Eng. J. 2025, 475, 165955. [Google Scholar] [CrossRef]
- García, A.C.; Velázquez, S.; Silva, R.J.; La Fuente, J.I.A.D.; Vargas, A.; Rodríguez, M.H. Separation of radioactive elements from rare earth element-bearing minerals. Metals 2020, 10, 1524. [Google Scholar] [CrossRef]
- Brückner, L.; Elwert, T.; Schirmer, T. Extraction of rare earth elements from phospho-gypsum: Concentrate digestion, leaching, and purification. Metals 2020, 10, 131. [Google Scholar] [CrossRef]
- Huang, M.; Liu, D.; Xiu, T.; Liu, Z.; Liu, Z. Aluminum-Assisted Acid Leaching for Uranium/Thorium from High-Fluorine Niobium Slag: Occurrence States and Behaviors in Mineralogy. Sep. Purif. Technol. 2025, 330, 133503. [Google Scholar] [CrossRef]
- Aziman, E.S.; Ismail, A.F. Frontier Looking of Rare-Earth Processed Residue as Sustainable Thorium Resources: An Insight into Chemical Composition and Separation of Thorium. Prog. Nucl. Energy 2020, 128, 103471. [Google Scholar] [CrossRef]
- Ding, H.; Zhang, X.; Yang, H.; Luo, X.; Lin, X. Highly efficient extraction of thorium from aqueous solution by fungal mycelium-based microspheres fabricated via immobilization. Chem. Eng. J. 2019, 368, 37–50. [Google Scholar] [CrossRef]
- Zakharanka, A.; Gubbels, L.; Acevedo, B.; Verwerft, M.; Tyrpekl, V. Homogeneous Precipitation of Thorium Oxalate: Structural, Kinetic, and Morphological Aspects. J. Nucl. Mater. 2025, 605, 155574. [Google Scholar] [CrossRef]
- He, X.; Tang, J.; Wang, Z.; Feng, W.; Yan, Q.; Wei, Y.; Chen, L. Method and Mechanism for Efficient Radium Isolation from Bulk Thorium Based on Anion Exchange. Chem. Eng. J. 2024, 496, 154283. [Google Scholar] [CrossRef]
- Udayakumar, S.; Baharun, N.; Rezan, S.A.; Ismail, A.F.; Takip, K.M. Economic Evaluation of Thorium Oxide Production from Monazite Using Alkaline Fusion Method. Nucl. Eng. Technol. 2021, 53, 2418–2425. [Google Scholar] [CrossRef]
- Özkan, B.; Altaş, Y.; İnan, S. Extraction and Purification of Thorium and Rare Earth Elements from Bastnaesite Mineral: A Comprehensive Leaching and Precipitation Study. J. Radioanal. Nucl. Chem. 2025, 334, 541–550. [Google Scholar] [CrossRef]
- Lan, Q.; Zhang, X.; Niu, F.; Liu, D.; Yang, Y. Recovery Process of Rare Earths, Al, U, and Th from Ionic Rare Earth Purification Residue Using Sequential Alkaline Leaching, Acid Leaching, Solvent Extraction and Stripping. Hydrometallurgy 2025, 119, 106524. [Google Scholar] [CrossRef]
- Singh, B.K.; Hafeez, M.A.; Kim, H.; Hong, S.; Kang, J.; Um, W. Inorganic Waste Forms for Efficient Immobilization of Radionuclides. ACS EST Eng. 2021, 1, 1149–1170. [Google Scholar] [CrossRef]
- Al-Areqi, W.M.; Majid, A.A.; Sarmani, S. Separation of Thorium (IV) from Lanthanide Concentrate (LC) and Water Leach Purification (WLP) Residue. In AIP Conference Proceedings, Proceedings of the 2014 Ukm Fst Postgraduate Colloquium, Universiti Kebangsaan Malaysia, Faculty of Science and Technology 2014 Postgraduate Colloquium, Selangor, Malaysia, 9–11 April 2014; American Institute of Physics: Melville, NY, USA, 2014; Volume 1614, pp. 482–485. [Google Scholar] [CrossRef]
- Lapidus, G.T.; Doyle, F.M. Selective Thorium and Uranium Extraction from Monazite: II. Approaches to Enhance the Removal of Radioactive Contaminants. Hydrometallurgy 2015, 155, 161–167. [Google Scholar] [CrossRef]
- Li, M.; Li, J.; Zhang, D.; Gao, K.; Wang, H.; Xu, W.; Ma, X. Decomposition of Mixed Rare Earth Concentrate by NaOH Roasting and Kinetics of Hydrochloric Acid Leaching Process. J. Rare Earths 2020, 38, 1019–1029. [Google Scholar] [CrossRef]
- Xie, B.; Liu, C.; Wei, B.; Wang, R.; Ren, R. Recovery of Rare Earth Elements from Waste Phosphors via Alkali Fusion Roasting and Controlled Potential Reduction Leaching. Waste Manag. 2023, 163, 43–51. [Google Scholar] [CrossRef] [PubMed]
- Medjahed, B.; Didi, M.A. Spectroscopic Study of Complexes from UO2(II), Th(IV) and Sm(III) Based on the Effects of the Characteristic TBP, TOPO and D2EHPA Bands in Various Organic Solvents. J. Radioanal. Nucl. Chem. 2018, 318, 1427–1438. [Google Scholar] [CrossRef]
- Dash, S.; Hıal, P.; Senapatı, S.; Dalai, B. A Survey on Various Methods of Extraction and Recovery of Thorium. J. Turk. Chem. Soc. Sect. A Chem. 2021, 8, 1197–1210. [Google Scholar] [CrossRef]
- Zhu, Z.; Pranolo, Y.; Cheng, C.Y. Separation of Uranium and Thorium from Rare Earths for Rare Earth Production—A Review. Miner. Eng. 2015, 77, 185–196. [Google Scholar] [CrossRef]
- Talan, D.; Huang, Q.; Liang, L.; Song, X. Conceptual Process Development for the Separation of Thorium, Uranium, and Rare Earths from Coarse Coal Refuse. Miner. Process. Extr. Metall. Rev. 2023, 44, 330–345. [Google Scholar] [CrossRef]
- Talan, D.; Huang, Q. Separation of Thorium, Uranium, and Rare Earths from a Strip Solution Generated from Coarse Coal Refuse. Hydrometallurgy 2020, 197, 105446. [Google Scholar] [CrossRef]
- Salehuddin, A.H.J.M.; Ismail, A.F.; Aziman, E.S.; Mohamed, N.A.; Teridi, M.A.M.; Idris, W.M.R. Production of High-Purity ThO2 from Monazite Ores for Thorium Fuel-Based Reactor. Prog. Nucl. Energy 2021, 136, 103728. [Google Scholar] [CrossRef]
- Gao, S.; Shen, X.; Chen, Q.; Gao, H. Solvent Extraction of Thorium(IV) Using W/O Microemulsion. Sci. China Chem. 2012, 55, 1712–1718. [Google Scholar] [CrossRef]
- Arabi, H.R.; Milani, S.A.; Abolghasemi, H.; Zahakifar, F. Recovery and Transport of Thorium(IV) through Polymer Inclusion Membrane with D2EHPA from Nitric Acid Solutions. J. Radioanal. Nucl. Chem. 2021, 327, 653–665. [Google Scholar] [CrossRef]
- Eskandari Nasab, M.; Sam, A.; Alamdar Milani, S. Determination of Optimum Process Conditions for Solvent Extraction of Thorium Using Taguchi Method. J. Radioanal. Nucl. Chem. 2011, 287, 239–245. [Google Scholar] [CrossRef]
- Dong, Y.; Li, S.; Su, X.; Wang, Y.; Shen, Y.; Sun, X. Separation of Thorium from Rare Earths with High-Performance Diphenyl Phosphate Extractant. Hydrometallurgy 2017, 171, 387–393. [Google Scholar] [CrossRef]
- Pathak, P.N.; Veeraraghavan, R.; Prabhu, D.R.; Mahajan, G.R.; Manchanda, V.K. Separation Studies of Uranium and Thorium Using Di-2-Ethylhexyl Isobutyramide (D2EHIBA). Sep. Sci. Technol. 1999, 34, 2601–2614. [Google Scholar] [CrossRef]
- Shaeri, M.; Torab-Mostaedi, M.; Rahbar Kelishami, A. Solvent Extraction of Thorium from Nitrate Medium by TBP, Cyanex272 and Their Mixture. J. Radioanal. Nucl. Chem. 2015, 303, 2093–2099. [Google Scholar] [CrossRef]
- Ansari, S.A.; Pathak, P.; Mohapatra, P.K.; Manchanda, V.K. Chemistry of Diglycolamides: Promising Extractants for Actinide Partitioning. Chem. Rev. 2012, 112, 1751–1772. [Google Scholar] [CrossRef] [PubMed]
- Al Zoubi, W. Solvent Extraction of Metal Ions by Use of Schiff Bases. J. Coord. Chem. 2013, 66, 2264–2289. [Google Scholar] [CrossRef]
- Rahman, M.S. Advancements in solvent extraction of metal ions: Mechanisms, kinetics, and efficiency with diverse extractants. Int. J. Sci. Res. Arch. 2024, 12, 2374–2396. [Google Scholar] [CrossRef]
- Yokoyama, T.; Makishima, A.; Nakamura, E. Separation of Thorium and Uranium from Silicate Rock Samples Using Two Commercial Extraction Chromatographic Resins. Anal. Chem. 1999, 71, 135–141. [Google Scholar] [CrossRef] [PubMed]
- Marin, N.M.; Nita Lazar, M.; Popa, M.; Galaon, T.; Pascu, L.F. Current Trends in Development and Use of Polymeric Ion-Exchange Resins in Wastewater Treatment. Materials 2024, 17, 5994. [Google Scholar] [CrossRef] [PubMed]
- Yang, X.; Zhang, Z.; Kuang, S.; Wei, H.; Li, Y.; Wu, G.; Liao, W. Removal of thorium and uranium from leach solutions of ion-adsorption rare earth ores by solvent extraction with Cextrant 230. Hydrometallurgy 2020, 194, 105343. [Google Scholar] [CrossRef]
- Wang, H.; Kuang, S.; Liao, W. Synergistic extraction and separation of thorium from rare earths in chloride media using mixture of Cextrant 230 and Cyanex 923. J. Rare Earths 2024, 42, 759–767. [Google Scholar] [CrossRef]
- Zhou, H.; Huang, Z.; Zhang, X.; Bu, X.; Du, Y.; Shi, W.; Yuan, L. Enabling the extraction of high-purity thorium from rare earth ores by simple one-step crystallization. Chem. Eng. J. 2025, 519, 165158. [Google Scholar] [CrossRef]
- Agboola, O.; Fayomi, O.S.I.; Ayodeji, A.; Ayeni, A.O.; Alagbe, E.E.; Sanni, S.E.; Oni, B.A. A Review on Polymeric Nanocomposites and Their Effective Applications in Membranes and Adsorbents for Water Treatment and Gas Separation. Membranes 2021, 11, 139. [Google Scholar] [CrossRef]
- Ahmed, R.M.; Hasan, I. A Review on Properties and Applications of TiO2 and Associated Nanocomposite Materials. Mater. Today Proc. 2023, 81, 1073–1078. [Google Scholar] [CrossRef]
- Moghaddam, Z.S.; Kaykhaii, M.; Khajeh, M.; Oveisi, A.R. Synthesis of UiO-66-OH zirconium metal-organic framework and its application for selective extraction and trace determination of thorium in water samples by spectrophotometry. Spectrochim. Acta A Mol. Biomol. Spectrosc. 2018, 194, 76–82. [Google Scholar] [CrossRef] [PubMed]
- Zhang, N.; Yuan, L.Y.; Guo, W.L.; Luo, S.Z.; Chai, Z.F.; Shi, W.Q. Extending the use of highly porous and functionalized MOFs to Th(IV) capture. ACS Appl. Mater. Interfaces 2017, 9, 25216–25224. [Google Scholar] [CrossRef]
- Gaidimas, M.A.; Smoljan, C.S.; Ye, Z.M.; Stern, C.L.; Malliakas, C.D.; Kirlikovali, K.O.; Farha, O.K. Thorium metal–organic framework crystallization for efficient recovery from rare earth element mixtures. Chem. Sci. 2025, 16, 3895–3903. [Google Scholar] [CrossRef]
- Sharma, M.; Sharma, P.; Yadav, L.; Janu, V.C.; Gupta, R. Sequestration and recovery of thorium ions using a recyclable, low-cost, glutathione-based magnetic nanocomposite: Experimental study and statistical modeling. Sep. Purif. Technol. 2023, 322, 124264. [Google Scholar] [CrossRef]
- Hamdy, G.; El-Sabbagh, I.A.; Taher, F.A. Highly efficient sorption of thorium(IV) onto a ternary magnetic TiO2/Fe3O4/GO nanocomposite. Mater. Today Proc. 2021, 42, 2218–2226. [Google Scholar] [CrossRef]
- Alharthi, S. Separation of thorium(IV) from aquatic media using magnetic ferrite nanoparticles. Radiochim. Acta 2021, 109, 823–833. [Google Scholar] [CrossRef]
- Özkan, B.; Altaş, Y.; İnan, S. Investigation of nanocomposite efficiency on the separation and purification processes of thorium and rare earth elements. J. Radioanal. Nucl. Chem. 2023, 332, 4677–4686. [Google Scholar] [CrossRef]
- Othman, N.A.F.; Selambakkannu, S.; Azian, H.; Ratnam, C.T.; Yamanobe, T.; Hoshina, H.; Seko, N. Synthesis of surface ion-imprinted polymer for specific detection of thorium under acidic conditions. Polym. Bull. 2021, 78, 165–183. [Google Scholar] [CrossRef]
- He, D.; Ning, S.; Liu, J.; Zhang, S.; Chen, L.; Xu, Y.; Wei, Y. Efficiently selective removal of radioactive thorium and uranium from rare earths by trialkyl phosphine oxide modified porous silica–polymer based adsorbent. Sep. Purif. Technol. 2025, 364, 132426. [Google Scholar] [CrossRef]
- Lin, C.; Wang, H.; Wang, Y.; Zhou, L.; Liang, J. Selective preconcentration of trace thorium from aqueous solutions with Th (IV)-imprinted polymers prepared by a surface-grafted technique. Int. J. Environ. Anal. Chem. 2011, 91, 1050–1061. [Google Scholar] [CrossRef]
- He, Q.; Chang, X.; Wu, Q.; Huang, X.; Hu, Z.; Zhai, Y. Synthesis and applications of surface-grafted Th (IV)-imprinted polymers for selective solid-phase extraction of thorium (IV). Anal. Chim. Acta 2007, 605, 192–197. [Google Scholar] [CrossRef]
- da Costa, J.G.D.R.; Costa, J.M.; de Almeida Neto, A.F. Recent advances and future applications in electro-adsorption technology: An updated review. J. Environ. Chem. Eng. 2021, 9, 106355. [Google Scholar] [CrossRef]
- Lissaneddine, A.; Pons, M.N.; Aziz, F.; Ouazzani, N.; Mandi, L.; Mousset, E. Electro-sorption/-desorption with bio-sourced granular activated carbon electrode for phenols recovery and combination with advanced electro-oxidation for residual olive mill wastewater treatment. J. Water Process Eng. 2025, 69, 106663. [Google Scholar] [CrossRef]
- Lesbayev, B.; Rakhymzhan, N.; Ustayeva, G.; Maral, Y.; Atamanov, M.; Auyelkhankyzy, M.; Zhamash, A. Preparation of nanoporous carbon from rice husk with improved textural characteristics for hydrogen sorption. J. Compos. Sci. 2024, 8, 74. [Google Scholar] [CrossRef]
- Taurbekov, A.; Abdisattar, A.; Atamanov, M.; Kaidar, B.; Yeleuov, M.; Joia, R.; Atamanova, T. Investigations of activated carbon from different natural sources for preparation of binder-free few-walled CNTs/activated carbon electrodes. J. Compos. Sci. 2023, 7, 452. [Google Scholar] [CrossRef]
- Sun, Z.; Zhao, M.; Chen, L.; Gong, Z.; Hu, J.; Ma, D. Electrokinetic remediation for the removal of heavy metals in soil: Limitations, solutions and prospection. Sci. Total Environ. 2023, 903, 165970. [Google Scholar] [CrossRef] [PubMed]
- Aziman, E.S.; Ismail, A.F.; Muttalib, N.A.; Hanifah, M.S. Investigation of thorium separation from rare-earth extraction residue via electrosorption with carbon based electrode toward reducing waste volume. Nucl. Eng. Technol. 2021, 53, 2926–2936. [Google Scholar] [CrossRef]
- Aziman, E.S.; Ismail, A.F. Rapid selective removal of thorium via electrosorption towards efficiently managing rare-earth extraction residue. J. Environ. Chem. Eng. 2021, 9, 105478. [Google Scholar] [CrossRef]
- Akhtar, N.; Ismail, A.F.; Hanafiah, M.M.; Fadzil, S.M.; Park, S. Evaluating environmental impacts of thorium extraction: A comparative study of solvent and electrosorption technologies using life cycle assessment (LCA). Clean. Eng. Technol. 2025, 26, 100960. [Google Scholar] [CrossRef]
- Aziman, E.S.; Ismail, A.F. Removal of thorium from industrial waste via electrosorption technique. IOP Conf. Ser. Mater. Sci. Eng. 2020, 785, 012014. [Google Scholar] [CrossRef]
- Aziman, E.S.; Mohd Salehuddin, A.H.J.; Ismail, A.F. Remediation of thorium(IV) from wastewater: Current status and way forward. Sep. Purif. Rev. 2021, 50, 177–202. [Google Scholar] [CrossRef]
- Yussuf, N.M.; Ismail, A.F.; Yasir, M.S. Revolutionizing thorium capture: G-C3N4 electrodes for enhanced thorium electrosorption. J. Saudi Chem. Soc. 2025, 29, 1. [Google Scholar] [CrossRef]
- Yussuf, N.M.; Ismail, A.F.; Rahmat, M.A.; Mohamed, N.A. Electrosorption-driven selective thorium removal from radioactive wastewater with phosphate–incorporated g-C3N4 electrode. J. Environ. Chem. Eng. 2024, 12, 113440. [Google Scholar] [CrossRef]
- Williamson, A.J.; Binet, M.; Sergeant, C. Radionuclide biogeochemistry: From bioremediation toward the treatment of aqueous radioactive effluents. Crit. Rev. Biotechnol. 2024, 44, 698–716. [Google Scholar] [CrossRef]
- Sukadana, I.G.; Sulaeman; Syaeful, H.; Indrastomo, F.D.; Adimedha, T.B.; Ciputra, R.C.; Widodo, S. High field strength element (HFSE) and rare earth element (REE) enrichment in laterite deposit of high background natural radiation area (HBNRA) of Mamuju, West Sulawesi, Indonesia. Resources 2025, 14, 84. [Google Scholar] [CrossRef]
- Karthikayini, S.; Sathish, V.; Chandrasekaran, A.; Issa, S.A.; Hanfi, M.Y.; Khandaker, M.U. Natural radioactivity and concomitant health hazards in Kovalam Beach sediments, Tamil Nadu with physico-chemical and mineralogical analysis. Radiat. Phys. Chem. 2025, 113161. [Google Scholar] [CrossRef]
- Ion, A.; Cosac, A.; Ene, V.V. Natural radioactivity in soil and radiological risk assessment in Lișava uranium mining sector, Banat Mountains, Romania. Appl. Sci. 2022, 12, 12363. [Google Scholar] [CrossRef]
- Akakçe, N.; Öztürk Atay, N.; Tüney Kizilkaya, I.; Uğur Görgün, A. Radioactivity and heavy metal accumulation in surface sediment from the West Aegean Coast. Soil Sediment Contam. Int. J. 2024, 33, 560–577. [Google Scholar] [CrossRef]
- El-Shlemy, E.S.; Gad, A.; El Feky, M.G.; Mahmoud, A.M.A.; El-Sayed, O.; Abed, N.S. Potentially toxic elements and natural radioactivity in Nasser Lake sediments: Environmental risks in a key Egyptian freshwater lake. Toxics 2025, 13, 745. [Google Scholar] [CrossRef]
- Seif, R.A.; Ene, A.; Zakaly, H.M.; Sallam, A.M.; Taalab, S.A.; Fnais, M.S.; Awad, H.A. Distribution of heavy metals along the Mediterranean shoreline from Baltim to El-Burullus (Egypt): Consequences for possible contamination. Minerals 2024, 14, 931. [Google Scholar] [CrossRef]
- Xu, X.; Liu, Y.; Yu, K.; Luo, M.; Luo, F. Constructing a cationic porous organic polymer with [PF6]−-charge-balanced anion for a rapid, selective and high-capacity thorium capture. Sep. Purif. Technol. 2025, 362, 131814. [Google Scholar] [CrossRef]
- Wimmers, A.; Böse, F.; Beppler, J.; Morawe, P.; Weber, M.; von Hirschhausen, C. (Re)integrating radioactive materials and waste into a global sustainable development context. Radiat. Environ. Biophys. 2024, 63, 519–536. [Google Scholar] [CrossRef]
- Bhatt, D.; Kumar, R.; Kumar, R.; Prakash, O. Health effects and toxicity mechanism of thorium: Knowledge gaps and research prospects. In Hazardous Chemicals; Academic Press: Cambridge, MA, USA, 2025; pp. 729–740. [Google Scholar] [CrossRef]
- Luhar, I.; Luhar, S.; Abdullah, M.M.A.B.; Sandu, A.V.; Vizureanu, P.; Razak, R.A.; Imjai, T. Solidification/stabilization technology for radioactive wastes using cement: An appraisal. Materials 2023, 16, 954. [Google Scholar] [CrossRef] [PubMed]
- Eddy, N.O.; Igwe, O.; Eze, I.S.; Garg, R.; Akpomie, K.; Timothy, C.; Paktin, H. Environmental and public health risk management, remediation and rehabilitation options for impacts of radionuclide mining. Discov. Sustain. 2025, 6, 209. [Google Scholar] [CrossRef]
- Akbari, R.; Nasr, M.A.; D’Auria, F.; Cammi, A.; Maiorino, J.R.; de Stefani, G.L. Analysis of thorium–transuranic fuel deployment in a LW-SMR: A solution toward sustainable fuel supply for the future plants. Nucl. Eng. Des. 2024, 421, 113090. [Google Scholar] [CrossRef]
- Rehm, T.E. Advanced nuclear energy: The safest and most renewable clean energy. Curr. Opin. Chem. Eng. 2023, 39, 100878. [Google Scholar] [CrossRef]
- Titarenko, Y.E.; Ananev, S.S.; Batyaev, V.F.; Belousov, V.I.; Blandinskiy, V.Y.; Chernov, K.G.; Konobeyev, A.Y. Radiation and nuclear physics aspects of the use of the thorium fuel cycle in a hybrid fusion facility. Fusion Sci. Technol. 2023, 79, 117–134. [Google Scholar] [CrossRef]
- Man, G.T.; Albu, P.C.; Nechifor, A.C.; Grosu, A.R.; Popescu, D.I.; Grosu, V.A.; Marinescu, V.E.; Nechifor, G. Simultaneously Recovery of Thorium and Tungsten Through Hybrid Electrolysis–Nanofiltration Processes. Toxics 2024, 12, 103. [Google Scholar] [CrossRef]
- Man, G.T.; Albu, P.C.; Nechifor, A.C.; Grosu, A.R.; Tanczos, S.K.; Grosu, V.A.; Ioan, M.-R.; Nechifor, G. Thorium removal, recovery and recycling: A membrane challenge for urban mining. Membranes 2023, 13, 765. [Google Scholar] [CrossRef]
- Yang, B.; Zhang, X.; Tan, S.; Wang, H.; Kuang, S.; Liu, X.; Liao, W. Ultra-selective removal of thorium from rare earths by aminophosphonic acid-modified porous silica. Sep. Purif. Technol. 2024, 341, 126952. [Google Scholar] [CrossRef]
- Zhang, Y.; Hu, Y.; Tong, J.; Hu, K.; Li, B.; Chang, B.; Shi, K.; Yang, J.; Hou, X. A novel strategy for sequential separation of Th(IV) from highly acidic wastewater based on solid phase extraction. Chem. Eng. J. 2024, 499, 155892. [Google Scholar] [CrossRef]
- Ghosh, B.; Vapnik, H.; Kim, H.-E.; Kim, Y.; Birawat, R.; Lu, Y.; Su, X.; Yang, H. Electrochemical separation and clean energy applications of rare earth elements. Chem. Rev. 2025, 125, 16. [Google Scholar] [CrossRef]
- Lin, Z.; Ooi, J.K.; Woon, K.S. An integrated life cycle multi-objective optimization model for health–environment–economic nexus in food waste management sector. Sci. Total Environ. 2022, 816, 151541. [Google Scholar] [CrossRef]
- Sharma, B.K.; Chandel, M.K. Life cycle cost analysis of municipal solid waste management scenarios for Mumbai, India. Waste Manag. 2021, 124, 293–302. [Google Scholar] [CrossRef]
- Aryan, Y.; Kumar, A.; Samadder, S.R. Environmental and economic assessment of waste collection and transportation using LCA: A case study. Environ. Res. 2023, 231, 116108. [Google Scholar] [CrossRef] [PubMed]
- Salehuddin, A.H.J.M.; Ismail, A.F.; Bahri, C.N.A.C.Z.; Aziman, E.S. Economic analysis of thorium extraction from monazite. Nucl. Eng. Technol. 2019, 51, 631–640. [Google Scholar] [CrossRef]
- Li, X.C.; Yang, K.F.; Spandler, C.; Fan, H.R.; Zhou, M.F.; Hao, J.L.; Yang, Y.H. The Effect of Fluid-Aided Modification on the Sm-Nd and Th-Pb Geochronology of Monazite and Bastnäsite: Implication for Resolving Complex Isotopic Age Data in REE Ore Systems. Geochim. Cosmochim. Acta 2021, 300, 1–24. [Google Scholar] [CrossRef]
- Anitha, J.K.; Joseph, S.; Rejith, R.G.; Sundararajan, M. Monazite Chemistry and its Distribution along the Coast of Neendakara–Kayamkulam Belt, Kerala, India. SN Appl. Sci. 2020, 2, 812. [Google Scholar] [CrossRef]
- Colombo, F.; Simmons, W.; Falster, A.U.; Lira, R. Occurrence, Crystal Chemistry and Alteration of Thorite from the NYF-Type Miarolitic Pegmatites of the El Portezuelo Granite, Papachacra (Catamarca, NW Argentina). Asoc. Geol. Argent. Ser. D Publ. Espec. 2011, 14, 65–67. [Google Scholar]









| Strengths | Weaknesses |
|---|---|
|
|
| Opportunities | Threats |
|
|
Disclaimer/Publisher’s Note: The statements, opinions and data contained in all publications are solely those of the individual author(s) and contributor(s) and not of MDPI and/or the editor(s). MDPI and/or the editor(s) disclaim responsibility for any injury to people or property resulting from any ideas, methods, instructions or products referred to in the content. |
© 2025 by the authors. Licensee MDPI, Basel, Switzerland. This article is an open access article distributed under the terms and conditions of the Creative Commons Attribution (CC BY) license (https://creativecommons.org/licenses/by/4.0/).
Share and Cite
Atamanova, T.; Lesbayev, B.; Tanirbergenova, S.; Alsar, Z.; Kalybay, A.; Mansurov, Z.; Atamanov, M.; Insepov, Z. Advanced Techniques for Thorium Recovery from Mineral Deposits: A Comprehensive Review. Appl. Sci. 2025, 15, 11403. https://doi.org/10.3390/app152111403
Atamanova T, Lesbayev B, Tanirbergenova S, Alsar Z, Kalybay A, Mansurov Z, Atamanov M, Insepov Z. Advanced Techniques for Thorium Recovery from Mineral Deposits: A Comprehensive Review. Applied Sciences. 2025; 15(21):11403. https://doi.org/10.3390/app152111403
Chicago/Turabian StyleAtamanova, Tolganay, Bakhytzhan Lesbayev, Sandugash Tanirbergenova, Zhanna Alsar, Aisultan Kalybay, Zulkhair Mansurov, Meiram Atamanov, and Zinetula Insepov. 2025. "Advanced Techniques for Thorium Recovery from Mineral Deposits: A Comprehensive Review" Applied Sciences 15, no. 21: 11403. https://doi.org/10.3390/app152111403
APA StyleAtamanova, T., Lesbayev, B., Tanirbergenova, S., Alsar, Z., Kalybay, A., Mansurov, Z., Atamanov, M., & Insepov, Z. (2025). Advanced Techniques for Thorium Recovery from Mineral Deposits: A Comprehensive Review. Applied Sciences, 15(21), 11403. https://doi.org/10.3390/app152111403

