Differential Effects of Alcoholic and Non-Alcoholic Beer Intake on Renin–Angiotensin System Modulation in Spontaneous Hypertensive Rats
Abstract
1. Introduction
2. Materials and Methods
2.1. Animals and Treatments
2.2. Systolic Blood Pressure, Food and Beverage Intake
2.3. Serum Samples Acquisition
2.4. Blood Serum Chemistry Measurements
2.5. Tissue Samples Acquisition
2.6. Angiotensin-Converting Enzyme (ACE) Assay
2.7. Aminopeptidase Activities Assay
2.8. Statistical Analysis
3. Results
3.1. Food and Beverage Intake
3.2. Body Weight
3.3. Systolic Blood Pressure
3.4. Heart Rate
3.5. Serum Biochemistry Parameters
3.5.1. Electrolytes
3.5.2. Proteins and Enzymes
3.5.3. Glucose and Non-Protein Nitrogenous Compounds
3.5.4. Lipid Profile
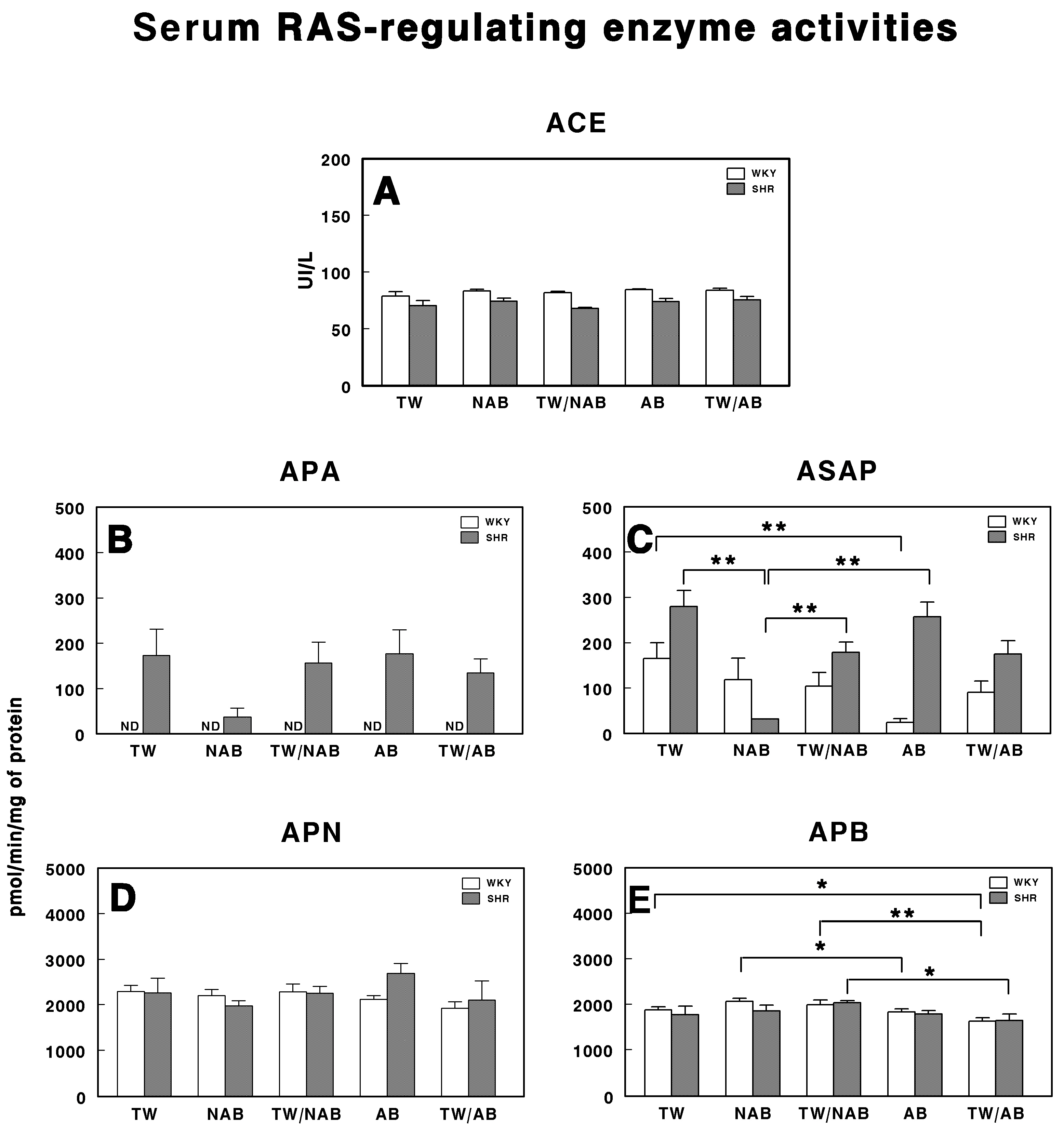
3.6. Serum RAS-Regulating Enzyme Activities
3.7. Tissue RAS-Regulating Enzyme Activities
3.7.1. Renal Cortex
3.7.2. Renal Medulla
3.7.3. Lung
3.7.4. Hypothalamus
3.7.5. Anterior Pituitary
3.7.6. Posterior Pituitary
3.7.7. Adrenal Cortex
3.7.8. Adrenal Medulla
3.7.9. Testis
4. Discussion
4.1. Food and Drink Intake
4.2. Body Weight
4.3. Blood Pressure and Heart Rate
4.4. Serum Biochemical Parameters
4.4.1. Chloride, Sodium, and Potassium Ions
4.4.2. Lipid Profile
4.4.3. Renal Function
4.4.4. Hepatic Function
4.5. RAS-Regulatory Enzymes
4.5.1. On the Regulatory Enzymes of the RAS in Serum
4.5.2. On the Regulatory Enzymes of the RAS in the Hypothalamic-Pituitary-Adrenal Axis
4.5.3. On the Regulatory Enzymes of the RAS in the Kidney
4.5.4. On the Regulatory Enzymes of the RAS in the Lung
4.5.5. On the Regulatory Enzymes of the RAS in the Testis
4.6. Limitations of the Study
5. Conclusions
Author Contributions
Funding
Institutional Review Board Statement
Data Availability Statement
Conflicts of Interest
References
- Schiffrin, E.L. Remodeling of resistance arteries in essential hypertension and effects of antihypertensive treatment. Am. J. Hypertens. 2004, 17, 1192–1200. [Google Scholar] [CrossRef] [PubMed]
- Guyenet, P.G. The sympathetic control of blood pressure. Nat. Rev. Neurosci. 2006, 7, 335–346. [Google Scholar] [CrossRef] [PubMed]
- Safar, M.E.; Asmar, R.; Benetos, A.; Blacher, J.; Boutouyrie, P.; Lacolley, P.; Laurent, S.; London, G.; Pannier, B.; Protogerou, A.; et al. Interaction Between Hypertension and Arterial Stiffness. Hypertension 2018, 72, 796–805. [Google Scholar] [CrossRef] [PubMed]
- Fowkes, F.G.; Lowe, G.D.; Rumley, A.; Lennie, S.E.; Smith, F.B.; Donnan, P.T. The relationship between blood viscosity and blood pressure in a random sample of the population aged 55 to 74 years. Eur. Heart J. 1993, 14, 597–601. [Google Scholar] [CrossRef] [PubMed]
- Kohan, D.E.; Rossi, N.F.; Inscho, E.W.; Pollock, D.M. Regulation of blood pressure and salt homeostasis by endothelin. Physiol. Rev. 2011, 91, 1–77. [Google Scholar] [CrossRef] [PubMed]
- Mitchell, G.F. Effects of central arterial aging on the structure and function of the peripheral vasculature: Implications for end-organ damage. J. Appl. Physiol. 2008, 105, 1652–1660. [Google Scholar] [CrossRef]
- Kelly, D.M.; Rothwell, P.M. Blood pressure and the brain: The neurology of hypertension. Pract. Neurol. 2020, 20, 100–108. [Google Scholar] [CrossRef]
- Botzer, A.; Finkelstein, Y.; Unger, R. Blood Pressure Regulation Evolved from Basic Homeostatic Components. Biomedicines 2021, 9, 469. [Google Scholar] [CrossRef]
- Munoz-Durango, N.; Fuentes, C.A.; Castillo, A.E.; Gonzalez-Gomez, L.M.; Vecchiola, A.; Fardella, C.E.; Kalergis, A.M. Role of the Renin-Angiotensin-Aldosterone System beyond Blood Pressure Regulation: Molecular and Cellular Mechanisms Involved in End-Organ Damage during Arterial Hypertension. Int. J. Mol. Sci. 2016, 17, 797. [Google Scholar] [CrossRef] [PubMed]
- Byars, S.G.; Prestes, P.R.; Suphapimol, V.; Takeuchi, F.; De Vries, N.; Maier, M.C.; Melo, M.; Balding, D.; Samani, N.; Allen, A.M.; et al. Four-week inhibition of the renin-angiotensin system in spontaneously hypertensive rats results in persistently lower blood pressure with reduced kidney renin and changes in expression of relevant gene networks. Cardiovasc. Res. 2024, 120, 769–781. [Google Scholar] [CrossRef]
- Coulson, T.G.; Miles, L.F.; Zarbock, A.; Burrell, L.M.; Patel, S.K.; von Groote, T.; Pilcher, D.; Weinberg, L.; Landoni, G.; Bellomo, R. Renin-angiotensin-aldosterone system dynamics after targeted blood pressure control using angiotensin II or norepinephrine in cardiac surgery: Mechanistic randomised controlled trial. Br. J. Anaesth. 2023, 131, 664–672. [Google Scholar] [CrossRef]
- Kalupahana, N.S.; Moustaid-Moussa, N. Beyond blood pressure, fluid and electrolyte homeostasis—Role of the renin angiotensin aldosterone system in the interplay between metabolic diseases and breast cancer. Acta Physiol. 2024, 240, e14164. [Google Scholar] [CrossRef]
- Martyniak, A.; Drozdz, D.; Tomasik, P.J. Classical and Alternative Pathways of the Renin-Angiotensin-Aldosterone System in Regulating Blood Pressure in Hypertension and Obese Adolescents. Biomedicines 2024, 12, 620. [Google Scholar] [CrossRef] [PubMed]
- Park, C.H.; Kim, H.W.; Park, J.T.; Chang, T.I.; Yoo, T.H.; Lee, J.; Sung, S.; Jung, J.Y.; Hyun, Y.Y.; Oh, K.H.; et al. Intrarenal Renin-Angiotensin System Activation Alters Relationship Between Systolic Blood Pressure and Progression of Chronic Kidney Disease. Hypertension 2023, 80, 1024–1034. [Google Scholar] [CrossRef] [PubMed]
- Baltatu, O.C.; Campos, L.A.; Bader, M. Local renin-angiotensin system and the brain--a continuous quest for knowledge. Peptides 2011, 32, 1083–1086. [Google Scholar] [CrossRef]
- Pan, H.; She, X.; Wu, H.; Ma, J.; Ren, D.; Lu, J. Long-Term Regulation of the Local Renin-Angiotensin System in the Myocardium of Spontaneously Hypertensive Rats by Feeding Bioactive Peptides Derived from Spirulina platensis. J. Agric. Food Chem. 2015, 63, 7765–7774. [Google Scholar] [CrossRef] [PubMed]
- Crowley, S.D.; Gurley, S.B.; Oliverio, M.I.; Pazmino, A.K.; Griffiths, R.; Flannery, P.J.; Spurney, R.F.; Kim, H.S.; Smithies, O.; Le, T.H.; et al. Distinct roles for the kidney and systemic tissues in blood pressure regulation by the renin-angiotensin system. J. Clin. Investig. 2005, 115, 1092–1099. [Google Scholar] [CrossRef]
- Garcia, M.J.; Martinez-Martos, J.M.; Mayas, M.D.; Carrera, M.P.; De la Chica, S.; Cortes, P.; Ramirez-Exposito, M.J. Hormonal status modifies renin-angiotensin system-regulating aminopeptidases and vasopressin-degrading activity in the hypothalamus-pituitary-adrenal axis of female mice. Med. Chem. 2008, 4, 336–347. [Google Scholar] [CrossRef] [PubMed]
- Garcia, M.J.; Martinez-Martos, J.M.; Mayas, M.D.; Carrera, M.P.; Ramirez-Exposito, M.J. Hormonal status modifies renin-angiotensin system-regulating aminopeptidases and vasopressin-degrading activity in the hypothalamus-pituitary-adrenal axis of male mice. Life Sci. 2003, 73, 525–538. [Google Scholar] [CrossRef]
- Illan-Cabeza, N.A.; Jimenez-Pulido, S.B.; Ramirez-Exposito, M.J.; Garcia-Garcia, A.R.; Pena-Ruiz, T.; Martinez-Martos, J.M.; Moreno-Carretero, M.N. Structural and theoretical studies on rhodium and iridium complexes with 5-nitrosopyrimidines. Effects on the proteolytic regulatory enzymes of the renin-angiotensin system in human tumoral brain cells. J. Inorg. Biochem. 2015, 143, 20–33. [Google Scholar] [CrossRef] [PubMed]
- Martinez-Martos, J.M.; Ramirez-Exposito, M.J. Dietary fat and hypertension: A novel approach through the proteolytic regulatory enzymes of the renin-angiotensin-system. Cardiovasc. Hematol. Agents Med. Chem. 2006, 4, 263–276. [Google Scholar] [CrossRef] [PubMed]
- He, R.; Wei, F.; Hu, Z.; Huang, A.; Wang, Y. Self-management in young and middle-aged patients with hypertension: A systematic review and meta-synthesis of qualitative studies. Syst. Rev. 2024, 13, 254. [Google Scholar] [CrossRef] [PubMed]
- Rodrigues, P.; Santos-Ribeiro, S.; Teodoro, T.; Gomes, F.V.; Leal, I.; Reis, J.P.; Goff, D.C., Jr.; Goncalves, A.; Lima, J.A.C. Association Between Alcohol Intake and Cardiac Remodeling. J. Am. Coll. Cardiol. 2018, 72, 1452–1462. [Google Scholar] [CrossRef] [PubMed]
- Eidelman, R.S.; Vignola, P.; Hennekens, C.H. Alcohol consumption and coronary heart disease: A causal and protective factor. Semin. Vasc. Med. 2002, 2, 253–256. [Google Scholar] [CrossRef] [PubMed]
- Rosenkranz, S.; Gibbs, J.S.; Wachter, R.; De Marco, T.; Vonk-Noordegraaf, A.; Vachiery, J.L. Left ventricular heart failure and pulmonary hypertension. Eur. Heart J. 2016, 37, 942–954. [Google Scholar] [CrossRef] [PubMed]
- Zimmermann, A.J.; Conen, D. How Does Alcohol Intake Relate to the Risk of Atrial Fibrillation? J. Atr. Fibrillation 2012, 5, 433. [Google Scholar] [CrossRef] [PubMed]
- Hatley, M.; Lam, T.; Ekeruo, I.; Taegtmeyer, H. Alcohol and Atrial Fibrillation: An Update and New Perspectives. Am. J. Med. 2024, 137, 1042–1048. [Google Scholar] [CrossRef]
- Reynolds, K.; Lewis, B.; Nolen, J.D.; Kinney, G.L.; Sathya, B.; He, J. Alcohol consumption and risk of stroke: A meta-analysis. JAMA 2003, 289, 579–588. [Google Scholar] [CrossRef]
- Jagla, F.; Pechanova, O. Age-Related Cognitive Impairment as a Sign of Geriatric Neurocardiovascular Interactions: May Polyphenols Play a Protective Role? Oxid. Med. Cell. Longev. 2015, 2015, 721514. [Google Scholar] [CrossRef]
- Arranz, S.; Chiva-Blanch, G.; Valderas-Martinez, P.; Medina-Remon, A.; Lamuela-Raventos, R.M.; Estruch, R. Wine, beer, alcohol and polyphenols on cardiovascular disease and cancer. Nutrients 2012, 4, 759–781. [Google Scholar] [CrossRef] [PubMed]
- de Gaetano, G.; Di Castelnuovo, A.; Rotondo, S.; Iacoviello, L.; Donati, M.B. A meta-analysis of studies on wine and beer and cardiovascular disease. Pathophysiol. Haemost. Thromb. 2002, 32, 353–355. [Google Scholar] [CrossRef]
- Di Castelnuovo, A.; Rotondo, S.; Iacoviello, L.; Donati, M.B.; De Gaetano, G. Meta-analysis of wine and beer consumption in relation to vascular risk. Circulation 2002, 105, 2836–2844. [Google Scholar] [CrossRef] [PubMed]
- Kondo, K. Beer and health: Preventive effects of beer components on lifestyle-related diseases. Biofactors 2004, 22, 303–310. [Google Scholar] [CrossRef]
- Marcos, A.; Serra-Majem, L.; Perez-Jimenez, F.; Pascual, V.; Tinahones, F.J.; Estruch, R. Moderate Consumption of Beer and Its Effects on Cardiovascular and Metabolic Health: An Updated Review of Recent Scientific Evidence. Nutrients 2021, 13, 879. [Google Scholar] [CrossRef] [PubMed]
- Osorio-Paz, I.; Brunauer, R.; Alavez, S. Beer and its non-alcoholic compounds in health and disease. Crit. Rev. Food Sci. Nutr. 2020, 60, 3492–3505. [Google Scholar] [CrossRef]
- Padro, T.; Munoz-Garcia, N.; Vilahur, G.; Chagas, P.; Deya, A.; Antonijoan, R.M.; Badimon, L. Moderate Beer Intake and Cardiovascular Health in Overweight Individuals. Nutrients 2018, 10, 1237. [Google Scholar] [CrossRef] [PubMed]
- Redondo, N.; Nova, E.; Diaz-Prieto, L.E.; Marcos, A. Effects of moderate beer consumption on health. Nutr. Hosp. 2018, 35, 41–44. [Google Scholar] [CrossRef] [PubMed]
- Sacanella Angles, I.; Casas Rodriguez, R.; Vinas Esmel, E.; Castro Barquero, S.; Sacanella Meseguer, E. Prevention of cardiovascular disease and fermented alcoholic beverages. Reality or fiction? Nutr. Hosp. 2019, 36, 58–62. [Google Scholar] [CrossRef] [PubMed]
- Spaggiari, G.; Cignarelli, A.; Sansone, A.; Baldi, M.; Santi, D. To beer or not to beer: A meta-analysis of the effects of beer consumption on cardiovascular health. PLoS ONE 2020, 15, e0233619. [Google Scholar] [CrossRef]
- Pedrera-Zamorano, J.D.; Lavado-Garcia, J.M.; Roncero-Martin, R.; Calderon-Garcia, J.F.; Rodriguez-Dominguez, T.; Canal-Macias, M.L. Effect of beer drinking on ultrasound bone mass in women. Nutrition 2009, 25, 1057–1063. [Google Scholar] [CrossRef]
- Zhang, S.; Jin, S.; Zhang, C.; Hu, S.; Li, H. Beer-gut microbiome alliance: A discussion of beer-mediated immunomodulation via the gut microbiome. Front. Nutr. 2023, 10, 1186927. [Google Scholar] [CrossRef] [PubMed]
- Imhof, A.; Blagieva, R.; Marx, N.; Koenig, W. Drinking modulates monocyte migration in healthy subjects: A randomised intervention study of water, ethanol, red wine and beer with or without alcohol. Diab. Vasc. Dis. Res. 2008, 5, 48–53. [Google Scholar] [CrossRef] [PubMed]
- Matsumoto, C.; Miedema, M.D.; Ofman, P.; Gaziano, J.M.; Sesso, H.D. An expanding knowledge of the mechanisms and effects of alcohol consumption on cardiovascular disease. J. Cardiopulm. Rehabil. Prev. 2014, 34, 159–171. [Google Scholar] [CrossRef] [PubMed]
- Maisch, B. Alcoholic cardiomyopathy: The result of dosage and individual predisposition. Herz 2016, 41, 484–493. [Google Scholar] [CrossRef] [PubMed]
- Manolis, T.A.; Apostolopoulos, E.J.; Manolis, A.A.; Melita, H.; Manolis, A.S. The proarrhythmic conundrum of alcohol intake. Trends Cardiovasc. Med. 2022, 32, 237–245. [Google Scholar] [CrossRef] [PubMed]
- Puddey, I.B.; Beilin, L.J.; Rakic, V. Alcohol, hypertension and the cardiovascular system: A critical appraisal. Addict. Biol. 1997, 2, 159–170. [Google Scholar] [CrossRef]
- Bell, R.A.; Mayer-Davis, E.J.; Martin, M.A.; D’Agostino, R.B., Jr.; Haffner, S.M. Associations between alcohol consumption and insulin sensitivity and cardiovascular disease risk factors: The Insulin Resistance and Atherosclerosis Study. Diabetes Care 2000, 23, 1630–1636. [Google Scholar] [CrossRef] [PubMed]
- Liptak, B.; Kaprinay, B.; Gasparova, Z. A rat-friendly modification of the non-invasive tail-cuff to record blood pressure. Lab Anim. 2017, 46, 251–253. [Google Scholar] [CrossRef] [PubMed]
- Shibata, Y.; Maruizume, T.; Miyage, H. Chemistry and industrial chemistry. J. Chem. Soc. Jpn. 1992, 9, 961–967. [Google Scholar]
- Farrel, E.C. Calxium. In Methods in Clinical Chemistry; Pesce, A.J., Kaplan, L.A., Eds.; Mosby: Maryland Heights, MO, USA, 1987; pp. 865–869. [Google Scholar]
- Tietz, N.W. Clinical Guide to Laboratory Tests; Saunders Company: Philadelphia, PA, USA, 1995. [Google Scholar]
- Praetorius, E.; Poulsen, H. Enzymatic determination of uric acid; with detailed directions. Scand. J. Clin. Lab. Investig. 1953, 5, 273–280. [Google Scholar] [CrossRef]
- Talke, H.; Schubert, G.E. Enzymatic Urea Determination in the Blood and Serum in the Warburg Optical Test. Klin. Wochenschr. 1965, 43, 174–175. [Google Scholar] [CrossRef] [PubMed]
- Bartels, H.; Bohmer, M.; Heierli, C. Serum creatinine determination without protein precipitation. Clin. Chim. Acta Int. J. Clin. Chem. 1972, 37, 193–197. [Google Scholar] [CrossRef] [PubMed]
- Peterson, J.I.; Young, D.S. Evaluation of the hexokinase-glucose-6-phosphate dehydrogenase method of determination of glucose in urine. Anal. Biochem. 1968, 23, 301–316. [Google Scholar] [CrossRef]
- Roeschlau, P.; Bernt, E.; Gruber, W. Enzymatic determination of total cholesterol in serum. Z. Fur Klin. Chem. Und Klin. Biochem. 1974, 12, 226. [Google Scholar]
- Sugiuchi, H.; Uji, Y.; Okabe, H.; Irie, T.; Uekama, K.; Kayahara, N.; Miyauchi, K. Direct measurement of high-density lipoprotein cholesterol in serum with polyethylene glycol-modified enzymes and sulfated alpha-cyclodextrin. Clin. Chem. 1995, 41, 717–723. [Google Scholar] [CrossRef]
- Siedel, J.; Schmuck, R.; Staepels, J. Long term stable liquid ready-to-use monoreagent for the enzymatic assay of serum and plasma triglycerides (GPO-PAD method). Clin. Chem. 1993, 39, 1127. [Google Scholar]
- Friedewald, W.T.; Levy, R.I.; Fredrickson, D.S. Estimation of the concentration of low-density lipoprotein cholesterol in plasma, without use of the preparative ultracentrifuge. Clin. Chem. 1972, 18, 499–502. [Google Scholar] [CrossRef] [PubMed]
- Tietz, N.W.; Rinker, A.D.; Shaw, L.M. International Federation of Clinical Chemistry. IFCC methods for the measurement of catalytic concentration of enzymes. Part 5. IFCC method for alkaline phosphatase (orthophosphoric-monoester phosphohydrolase, alkaline optimum, EC 3.1.3.1). IFCC Document Stage 2, Draft 1, 1983–03 with a view to an IFCC Recommendation. Clin. Chim. Acta Int. J. Clin. Chem. 1983, 135, 339F–367F. [Google Scholar]
- Bergmeyer, H.U.; Horder, M.; Rej, R. International Federation of Clinical Chemistry (IFCC) Scientific Committee, Analytical Section: Approved recommendation (1985) on IFCC methods for the measurement of catalytic concentration of enzymes. Part 2. IFCC method for aspartate aminotransferase (L-aspartate: 2-oxoglutarate aminotransferase, EC 2.6.1.1). J. Clin. Chem. Clin. Biochem. 1986, 24, 497–510. [Google Scholar]
- Bergmeyer, H.U.; Horder, M.; Rej, R. International Federation of Clinical Chemistry (IFCC) Scientific Committee, Analytical Section: Approved recommendation (1985) on IFCC methods for the measurement of catalytic concentration of enzymes. Part 3. IFCC method for alanine aminotransferase (L-alanine: 2-oxoglutarate aminotransferase, EC 2.6.1.2). J. Clin. Chem. Clin. Biochem. 1986, 24, 481–495. [Google Scholar] [PubMed]
- Belfield, A.; Goldberg, D.M. Revised assay for serum phenyl phosphatase activity using 4-amino-antipyrine. Enzyme 1971, 12, 561–573. [Google Scholar] [CrossRef] [PubMed]
- Doumas, B.T.; Watson, W.A.; Biggs, H.G. Albumin standards and the measurement of serum albumin with bromcresol green. Clin. Chim. Acta Int. J. Clin. Chem. 1971, 31, 87–96. [Google Scholar] [CrossRef]
- Bradford, M.M. A rapid and sensitive method for the quantitation of microgram quantities of protein utilizing the principle of protein-dye binding. Anal. Biochem. 1976, 72, 248–254. [Google Scholar] [CrossRef] [PubMed]
- Alves, M.F.; Araujo, M.C.; Juliano, M.A.; Oliveira, E.M.; Krieger, J.E.; Casarini, D.E.; Juliano, L.; Carmona, A.K. A continuous fluorescent assay for the determination of plasma and tissue angiotensin I-converting enzyme activity. Braz. J. Med. Biol. Res. 2005, 38, 861–868. [Google Scholar] [CrossRef] [PubMed]
- Arechaga, G.; Sanchez, B.; Alba, F.; de Dios Luna, J.; Luttenauer, L.; Martinez, J.M.; Ramirez, M. Subcellular distribution of soluble and membrane-bound Arg-beta-naphthylamide hydrolyzing activities in the developing and aged rat brain. Cell. Mol. Biol. Res. 1995, 41, 369–375. [Google Scholar]
- Arechaga, G.; Sanchez, B.; Alba, F.; Luna, J.D.; Prieto, I.; Martinez, J.M.; Ramirez, M. Developmental changes of soluble and membrane-bound aspartate aminopeptidase activities in rat brain. Rev. Esp. Fisiol. 1996, 52, 149–154. [Google Scholar]
- Ramirez-Exposito, M.J.; Martinez, J.M.; Prieto, I.; Alba, F.; Ramirez, M. Comparative distribution of glutamyl and aspartyl aminopeptidase activities in mouse organs. Horm. Metab. Res. 2000, 32, 161–163. [Google Scholar] [CrossRef]
- Rowland, N.E.; Nasrallah, N.; Robertson, K.L. Accurate caloric compensation in rats for electively consumed ethanol-beer or ethanol-polycose mixtures. Pharmacol. Biochem. Behav. 2005, 80, 109–114. [Google Scholar] [CrossRef]
- Diaz Prieto, L.E.; Gomez-Martinez, S.; Nova, E.; Marcos, A. Do we know what moderate alcohol consumption is? The particular case of beer. Nutr. Hosp. 2022, 39, 12–16. [Google Scholar] [CrossRef] [PubMed]
- Buemann, B.; Dyerberg, J.; Astrup, A. Alcohol drinking and cardiac risk. Nutr. Res. Rev. 2002, 15, 91–121. [Google Scholar] [CrossRef] [PubMed]
- Klatsky, A.L. Alcohol and cardiovascular health. Integr. Comp. Biol. 2004, 44, 324–328. [Google Scholar] [CrossRef] [PubMed]
- Sancen, M.; Leniz, A.; Macarulla, M.T.; Gonzalez, M.; Milton-Laskibar, I.; Portillo, M.P. Features of Non-Alcoholic Beer on Cardiovascular Biomarkers. Can It Be a Substitute for Conventional Beer? Nutrients 2023, 15, 173. [Google Scholar] [CrossRef]
- Seiler, C. Alcohol, the heart and cardiovascular system. Ther. Umsch. 2000, 57, 200–204. [Google Scholar] [CrossRef] [PubMed]
- Trius-Soler, M.; Marhuenda-Munoz, M.; Laveriano-Santos, E.P.; Martinez-Huelamo, M.; Sasot, G.; Storniolo, C.E.; Estruch, R.; Lamuela-Raventos, R.M.; Tresserra-Rimbau, A. Moderate Consumption of Beer (with and without Ethanol) and Menopausal Symptoms: Results from a Parallel Clinical Trial in Postmenopausal Women. Nutrients 2021, 13, 2278. [Google Scholar] [CrossRef] [PubMed]
- Trius-Soler, M.; Martinez-Carrasco, P.; Tresserra-Rimbau, A.; Moreno, J.J.; Estruch, R.; Lamuela-Raventos, R.M. Effect of moderate beer consumption (with and without ethanol) on cardiovascular health in postmenopausal women. J. Sci. Food Agric. 2023, 103, 7506–7516. [Google Scholar] [CrossRef] [PubMed]
- Vilahur, G.; Casani, L.; Mendieta, G.; Lamuela-Raventos, R.M.; Estruch, R.; Badimon, L. Beer elicits vasculoprotective effects through Akt/eNOS activation. Eur. J. Clin. Investig. 2014, 44, 1177–1188. [Google Scholar] [CrossRef] [PubMed]
- Castro-Sepulveda, M.; Johannsen, N.; Astudillo, S.; Jorquera, C.; Alvarez, C.; Zbinden-Foncea, H.; Ramirez-Campillo, R. Effects of Beer, Non-Alcoholic Beer and Water Consumption before Exercise on Fluid and Electrolyte Homeostasis in Athletes. Nutrients 2016, 8, 345. [Google Scholar] [CrossRef] [PubMed]
- Rasoul, D.; Ajay, A.; Abdullah, A.; Mathew, J.; Lee Wei En, B.; Mashida, K.; Sankaranarayanan, R. Alcohol and Heart Failure. Eur. Cardiol. 2023, 18, e65. [Google Scholar] [CrossRef] [PubMed]
- Baumgartner, C.; Zeiler, K.; Auff, E.; Dal Bianco, P.; Holzner, F.; Lesch, O.M.; Deecke, L. Does alcohol consumption promote the manifestation of strokes? Considerations on pathophysiology. Wien. Klin. Wochenschr. 1988, 100, 99–107. [Google Scholar] [PubMed]
- Cecchini, M.; Filippini, T.; Whelton, P.K.; Iamandii, I.; Di Federico, S.; Boriani, G.; Vinceti, M. Alcohol Intake and Risk of Hypertension: A Systematic Review and Dose-Response Meta-Analysis of Nonexperimental Cohort Studies. Hypertension 2024, 81, 1701–1715. [Google Scholar] [CrossRef]
- Kelbaek, H.S. Alcohol and the heart. Ugeskr. Laeger 1995, 157, 1505–1509. [Google Scholar] [PubMed]
- Pardell, H.; Armario, P.; Hernandez, R. [Pathogenesis and epidemiology of arterial hypertension]. Drugs 1998, 56 (Suppl. 2), 1–10. [Google Scholar] [CrossRef]
- Husain, K.; Ansari, R.A.; Ferder, L. Alcohol-induced hypertension: Mechanism and prevention. World J. Cardiol. 2014, 6, 245–252. [Google Scholar] [CrossRef]
- Cerrillo, I.; Escudero-Lopez, B.; Ortega, A.; Martin, F.; Fernandez-Pachon, M.S. Effect of daily intake of a low-alcohol orange beverage on cardiovascular risk factors in hypercholesterolemic humans. Food Res. Int. 2019, 116, 168–174. [Google Scholar] [CrossRef]
- Daimiel, L.; Mico, V.; Diez-Ricote, L.; Ruiz-Valderrey, P.; Istas, G.; Rodriguez-Mateos, A.; Ordovas, J.M. Alcoholic and Non-Alcoholic Beer Modulate Plasma and Macrophage microRNAs Differently in a Pilot Intervention in Humans with Cardiovascular Risk. Nutrients 2021, 13, 69. [Google Scholar] [CrossRef] [PubMed]
- Cleophas, T.J. Wine, beer and spirits and the risk of myocardial infarction: A systematic review. Biomed. Pharmacother. 1999, 53, 417–423. [Google Scholar] [CrossRef] [PubMed]
- Bobak, M.; Skodova, Z.; Marmot, M. Effect of beer drinking on risk of myocardial infarction: Population based case-control study. BMJ 2000, 320, 1378–1379. [Google Scholar] [CrossRef] [PubMed][Green Version]
- Sherk, A.; Gilmore, W.; Churchill, S.; Lensvelt, E.; Stockwell, T.; Chikritzhs, T. Implications of Cardioprotective Assumptions for National Drinking Guidelines and Alcohol Harm Monitoring Systems. Int. J. Environ. Res. Public Health 2019, 16, 4956. [Google Scholar] [CrossRef]
- Hoffmeister, H.; Schelp, F.P.; Mensink, G.B.; Dietz, E.; Bohning, D. The relationship between alcohol consumption, health indicators and mortality in the German population. Int. J. Epidemiol. 1999, 28, 1066–1072. [Google Scholar] [CrossRef] [PubMed][Green Version]
- Chiva-Blanch, G.; Magraner, E.; Condines, X.; Valderas-Martinez, P.; Roth, I.; Arranz, S.; Casas, R.; Navarro, M.; Hervas, A.; Siso, A.; et al. Effects of alcohol and polyphenols from beer on atherosclerotic biomarkers in high cardiovascular risk men: A randomized feeding trial. Nutr. Metab. Cardiovasc. Dis. 2015, 25, 36–45. [Google Scholar] [CrossRef]
- Martinez Alvarez, J.R.; Belles, V.V.; Lopez-Jaen, A.B.; Marin, A.V.; Codoner-Franch, P. Effects of alcohol-free beer on lipid profile and parameters of oxidative stress and inflammation in elderly women. Nutrition 2009, 25, 182–187. [Google Scholar] [CrossRef] [PubMed]
- Martinez-Gomez, A.; Caballero, I.; Blanco, C.A. Phenols and Melanoidins as Natural Antioxidants in Beer. Structure, Reactivity and Antioxidant Activity. Biomolecules 2020, 10, 400. [Google Scholar] [CrossRef] [PubMed]
- Hernandez-Quiroz, F.; Nirmalkar, K.; Villalobos-Flores, L.E.; Murugesan, S.; Cruz-Narvaez, Y.; Rico-Arzate, E.; Hoyo-Vadillo, C.; Chavez-Carbajal, A.; Pizano-Zarate, M.L.; Garcia-Mena, J. Influence of moderate beer consumption on human gut microbiota and its impact on fasting glucose and beta-cell function. Alcohol 2020, 85, 77–94. [Google Scholar] [CrossRef] [PubMed]
- Klatsky, A.L.; Friedman, G.D.; Armstrong, M.A.; Kipp, H. Wine, liquor, beer, and mortality. Am. J. Epidemiol. 2003, 158, 585–595. [Google Scholar] [CrossRef] [PubMed]
- Mayas, M.D.; Martinez-Martos, J.M.; Ramirez-Exposito, M.J.; Garcia, M.J.; Tsuboyama, G.K.; Prieto, I.; Arechaga, G.; Ramirez, M. In vitro study of the effect of ethanol on pyroglutamyl aminopeptidase activity in mouse synaptosomes under basal and stimulated conditions. Rev. Neurol. 2000, 30, 128–131. [Google Scholar] [PubMed]
- Mayas, M.D.; Ramirez-Exposito, M.J.; Garcia, M.J.; Carrera, M.P.; Cobo, M.; Camacho, B.; Martinez Martos, J.M. Chronic ethanol intake modifies renin-angiotensin system-regulating aminopeptidase activities in mouse cerebellum. Neuropeptides 2005, 39, 67–72. [Google Scholar] [CrossRef]
- Mayas, M.D.; Ramirez-Exposito, M.J.; Garcia, M.J.; Carrera, M.P.; Martinez-Martos, J.M. Influence of chronic ethanol intake on mouse synaptosomal aspartyl aminopeptidase and aminopeptidase A: Relationship with oxidative stress indicators. Alcohol 2012, 46, 481–487. [Google Scholar] [CrossRef]
- Mayas, M.D.; Ramirez-Exposito, M.J.; Garcia, M.J.; Carrera, P.; Martinez-Martos, J.M. Ethanol modulates neuropeptide-degrading aminopeptidases at synapse level in calcium-dependent conditions. Alcohol Alcohol. 2004, 39, 393–405. [Google Scholar] [CrossRef]
- Mayas, M.D.; Ramirez-Exposito, M.J.; Garcia, M.J.; Ramirez, M.; Martinez-Martos, J.M. Ethanol modifies differently aspartyl- and glutamyl-aminopeptidase activities in mouse frontal cortex synaptosomes. Brain Res. Bull. 2002, 57, 195–203. [Google Scholar] [CrossRef]
- Mayas, M.D.; Ramirez-Exposito, M.J.; Garcia, M.J.; Tsuboyama, G.; Ramirez, M.; Martinez-Martos, J.M. Calcium-dependent modulation by ethanol of mouse synaptosomal pyroglutamyl aminopeptidase activity under basal and K(+)-stimulated conditions. Neurosci. Lett. 2000, 293, 199–202. [Google Scholar] [CrossRef]
- Mayas, M.D.; Ramirez-Exposito, M.J.; Garcia-Lopez, M.J.; Carrera, M.P.; Martinez-Martos, J.M. Chronic ethanol intake modifies pyrrolidon carboxypeptidase activity in mouse frontal cortex synaptosomes under resting and K+ -stimulated conditions: Role of calcium. Neurosci. Lett. 2008, 439, 75–78. [Google Scholar] [CrossRef]
- Fujita, N.; Takei, Y. Alcohol consumption and metabolic syndrome. Hepatol. Res. 2011, 41, 287–295. [Google Scholar] [CrossRef] [PubMed]
- Ramirez-Exposito, M.J.; Martinez-Martos, J.M.; Prieto, I.; Alba, F.; Ramirez, M. Angiotensinase activity in mice fed an olive oil-supplemented diet. Peptides 2001, 22, 945–952. [Google Scholar] [CrossRef] [PubMed]
- Ramirez-Exposito, M.J.; Mayas, M.D.; Garcia, M.J.; Ramirez, M.; Martinez-Martos, J.M. Pituitary aminopeptidase activities involved in blood-pressure regulation are modified by dietary cholesterol: Sex differences. Regul. Pept. 2001, 102, 87–92. [Google Scholar] [CrossRef] [PubMed]
- de la Chica-Rodriguez, S.; Cortes-Denia, P.; Ramirez-Exposito, M.J.; Martinez-Martos, J.M. Effects of alpha1-adrenergic receptor blockade by doxazosin on renin-angiotensin system-regulating aminopeptidase and vasopressin-degrading activities in male and female rat thalamus. Horm. Metab. Res. 2007, 39, 813–817. [Google Scholar] [CrossRef] [PubMed]
- Daimon, M.; Kamba, A.; Murakami, H.; Mizushiri, S.; Osonoi, S.; Matsuki, K.; Sato, E.; Tanabe, J.; Takayasu, S.; Matsuhashi, Y.; et al. Dominance of the hypothalamus-pituitary-adrenal axis over the renin-angiotensin-aldosterone system is a risk factor for decreased insulin secretion. Sci. Rep. 2017, 7, 11360. [Google Scholar] [CrossRef]
- Pan, S.; Worker, C.J.; Feng Earley, Y. The hypothalamus as a key regulator of glucose homeostasis: Emerging roles of the brain renin-angiotensin system. Am. J. Physiol. Cell Physiol. 2023, 325, C141–C154. [Google Scholar] [CrossRef]
- Ramirez-Exposito, M.J.; Martinez-Martos, J.M.; Canton-Habas, V.; Carrera-Gonzalez, M.D.P. Moderate Beer Consumption Modifies Tumoral Growth Parameters and Pyrrolidone Carboxypeptidase Type-I and Type-II Specific Activities in the Hypothalamus-Pituitary-Mammary Gland Axis in an Animal Model of Breast Cancer. Nutr. Cancer 2021, 73, 2695–2707. [Google Scholar] [CrossRef] [PubMed]
- de la Chica-Rodriguez, S.; Cortes-Denia, P.; Ramirez-Exposito, M.J.; de Saavedra, J.M.; Sanchez-Agesta, R.; Perez Mdel, C.; Martinez-Martos, J.M. In vivo administration of doxazosin in rats highly decreases serum circulating levels of testosterone through a mechanism involving the testicular renin-angiotensin system. Int. J. Androl. 2008, 31, 364–370. [Google Scholar] [CrossRef] [PubMed]
- Ramirez-Exposito, M.J.; Arrazola, M.; Carrera-Gonzalez, M.P.; Arias de Saavedra, J.M.; Sanchez-Agesta, R.; Mayas, M.D.; Martinez-Martos, J.M. Serum specific vasopressin-degrading activity is related to blood total cholesterol levels in men but not in women. Med. Chem. 2012, 8, 749–752. [Google Scholar] [CrossRef] [PubMed]
- Ramirez-Exposito, M.J.; Martinez-Martos, J.M. Hypertension, RAS, and gender: What is the role of aminopeptidases? Heart Fail. Rev. 2008, 13, 355–365. [Google Scholar] [CrossRef] [PubMed]
- Sanchez-Agesta Ortega, R.; Arias de Saavedra-Alias, J.M.; Liebana-Canada, A.; Sanchez-Munoz, B.; Martinez-Martos, J.M.; Ramirez-Exposito, M.J. Circulating aminopeptidase activities in men and women with essential hypertension. Curr. Med. Chem. 2013, 20, 4935–4945. [Google Scholar] [CrossRef]
- Aydin, F.; Turkoglu, V.; Bas, Z. Purification and characterization of angiotensin-converting enzyme (ACE) from sheep lung. Mol. Biol. Rep. 2021, 48, 4191–4199. [Google Scholar] [CrossRef] [PubMed]
- Wosten-van Asperen, R.M.; Lutter, R.; Haitsma, J.J.; Merkus, M.P.; van Woensel, J.B.; van der Loos, C.M.; Florquin, S.; Lachmann, B.; Bos, A.P. ACE mediates ventilator-induced lung injury in rats via angiotensin II but not bradykinin. Eur. Respir. J. 2008, 31, 363–371. [Google Scholar] [CrossRef] [PubMed]
- Oczkowski, M.; Rembiszewska, A.; Dziendzikowska, K.; Wolinska-Witort, E.; Kolota, A.; Malik, A.; Stachon, M.; Lachowicz, K.; Gromadzka-Ostrowska, J. Beer consumption negatively regulates hormonal reproductive status and reduces apoptosis in Leydig cells in peripubertal rats. Alcohol 2019, 78, 21–31. [Google Scholar] [CrossRef] [PubMed]
- Zamir-Nasta, T.; Abbasi, A.; Amini, K.; Mohammadi, E.; Jalili, C. Alcoholic beer consumption permutes P21 and cyclin D1 expression, oxidative stress factors, and histomorphometric parameters in rat testis. Alcohol 2024, 117, 21–26. [Google Scholar] [CrossRef]



















Disclaimer/Publisher’s Note: The statements, opinions and data contained in all publications are solely those of the individual author(s) and contributor(s) and not of MDPI and/or the editor(s). MDPI and/or the editor(s) disclaim responsibility for any injury to people or property resulting from any ideas, methods, instructions or products referred to in the content. |
© 2025 by the authors. Licensee MDPI, Basel, Switzerland. This article is an open access article distributed under the terms and conditions of the Creative Commons Attribution (CC BY) license (https://creativecommons.org/licenses/by/4.0/).
Share and Cite
Mayas, M.D.; Cueto-Ureña, C.; Ramírez-Expósito, M.J.; Martínez-Martos, J.M. Differential Effects of Alcoholic and Non-Alcoholic Beer Intake on Renin–Angiotensin System Modulation in Spontaneous Hypertensive Rats. Appl. Sci. 2025, 15, 572. https://doi.org/10.3390/app15020572
Mayas MD, Cueto-Ureña C, Ramírez-Expósito MJ, Martínez-Martos JM. Differential Effects of Alcoholic and Non-Alcoholic Beer Intake on Renin–Angiotensin System Modulation in Spontaneous Hypertensive Rats. Applied Sciences. 2025; 15(2):572. https://doi.org/10.3390/app15020572
Chicago/Turabian StyleMayas, María Dolores, Cristina Cueto-Ureña, María Jesús Ramírez-Expósito, and José Manuel Martínez-Martos. 2025. "Differential Effects of Alcoholic and Non-Alcoholic Beer Intake on Renin–Angiotensin System Modulation in Spontaneous Hypertensive Rats" Applied Sciences 15, no. 2: 572. https://doi.org/10.3390/app15020572
APA StyleMayas, M. D., Cueto-Ureña, C., Ramírez-Expósito, M. J., & Martínez-Martos, J. M. (2025). Differential Effects of Alcoholic and Non-Alcoholic Beer Intake on Renin–Angiotensin System Modulation in Spontaneous Hypertensive Rats. Applied Sciences, 15(2), 572. https://doi.org/10.3390/app15020572

