Hybrid Huff-n-Puff Process for Enhanced Oil Recovery: Integration of Surfactant Flooding with CO2 Oil Swelling
Abstract
1. Introduction
2. Materials and Methods
2.1. Materials
2.2. Experimental Method
2.2.1. Fluorescence-Based Oil Swelling
2.2.2. Flooding Experiments in Micromodels
3. Results and Discussion
3.1. SDS on CO2-Induced Oil Swelling
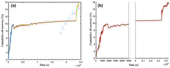
3.2. Hybrid Huff-n-Puff in Micromodels
4. Conclusions
Supplementary Materials
Author Contributions
Funding
Informed Consent Statement
Data Availability Statement
Conflicts of Interest
References
- BP, p.l.c. BP Energy Outlook 2019 Edition: The Energy Outlook. Available online: https://www.bp.com/en/global/corporate/news-and-insights/press-releases/bp-energy-outlook-2019.html (accessed on 18 December 2024).
- International Energy Agency. Key World Energy Statistics 2021; International Energy Agency: Paris, France, 2021. [Google Scholar]
- Miller, R.G.; Sorrell, S.R. The Future of Oil Supply. Philos. Trans. R. Soc. A Math. Phys. Eng. Sci. 2014, 372, 20130179. [Google Scholar] [CrossRef] [PubMed]
- Alagorni, A.H.; Bin Yaacob, Z.; Nour, A.H. An Overview of Oil Production Stages: Enhanced Oil Recovery Techniques and Nitrogen Injection. Int. J. Environ. Sci. Dev. 2015, 6, 693. [Google Scholar] [CrossRef]
- Godec, M.; Kuuskraa, V.; Van Leeuwen, T.; Melzer, L.S.; Wildgust, N. CO2 Storage in Depleted Oil Fields: The Worldwide Potential for Carbon Dioxide Enhanced Oil Recovery. Energy Procedia 2011, 4, 2162–2169. [Google Scholar] [CrossRef]
- Hu, B.; Gu, Z.; Zhou, C.; Wang, L.; Huang, C.; Su, J. Investigation of the Effect of Capillary Barrier on Water–Oil Movement in Water Flooding. Appl. Sci. 2022, 12, 6285. [Google Scholar] [CrossRef]
- Alvarado, V.; Manrique, E. Enhanced Oil Recovery: An Update Review. Energies 2010, 3, 1529–1575. [Google Scholar] [CrossRef]
- Mokheimer, E.M.A.; Hamdy, M.; Abubakar, Z.; Shakeel, M.R.; Habib, M.A.; Mahmoud, M. A Comprehensive Review of Thermal Enhanced Oil Recovery: Techniques Evaluation. ASME. J. Energy Resour. Technol. 2018, 141, 030801. [Google Scholar] [CrossRef]
- Zallaghi, M.; Website, J.; Tajmiri, M.; Roozbehani, B. A Comprehensive Review of Chemical Induced Reservoir Wettability Alteration: Characterization and EOR Aspects American Journal of Oil and Chemical Technologies A Comprehensive Review of Chemical Induced Reservoir Wettability Alteration: Characterization and EOR Aspects. Am. J. Oil Chem. Technol. 2018, 6, 151–171. [Google Scholar]
- Deng, X.; Tariq, Z.; Murtaza, M.; Patil, S.; Mahmoud, M.; Kamal, M.S. Relative Contribution of Wettability Alteration and Interfacial Tension Reduction in EOR: A Critical Review. J. Mol. Liq. 2021, 325, 115175. [Google Scholar] [CrossRef]
- Sun, X.; Zhang, Y.; Chen, G.; Gai, Z. Application of Nanoparticles in Enhanced Oil Recovery: A Critical Review of Recent Progress. Energies 2017, 10, 345. [Google Scholar] [CrossRef]
- Zhou, X.; Yuan, Q.; Peng, X.; Zeng, F.; Zhang, L. A Critical Review of the CO2 Huff ‘n’ Puff Process for Enhanced Heavy Oil Recovery. Fuel 2018, 215, 813–824. [Google Scholar] [CrossRef]
- Nguyen, T.-L.; Hoang, A.-Q.; Pham, D.-K.; Hamza, M.F.; Sinnathambi, C.M.; Merican, M.A. Recent Advancement of Hybrid Materials Used in Chemical Enhanced Oil Recovery (CEOR): A Review. IOP Conf. Ser. Mater. Sci. Eng. 2017, 206, 012007. [Google Scholar] [CrossRef]
- Rego, F.B.; Botechia, V.E.; Schiozer, D.J. Heavy oil recovery by polymer flooding and hot water injection using numerical simulation. J. Pet. Sci. Eng. 2017, 153, 187–196. [Google Scholar] [CrossRef]
- Li, Q.; Li, Q.; Wang, F.; Wu, J.; Wang, Y. The Carrying Behavior of Water-Based Fracturing Fluid in Shale Reservoir Fractures and Molecular Dynamics of Sand-Carrying Mechanism. Processes 2024, 12, 2051. [Google Scholar] [CrossRef]
- Li, Q.; Li, Q.; Han, Y.A. Numerical Investigation on Kick Control with the Displacement Kill Method during a Well Test in a Deep-Water Gas Reservoir: A Case Study. Processes 2024, 12, 2090. [Google Scholar] [CrossRef]
- Sayegh, S.G.; Maini, B.B. Laboratory Evaluation of the CO2 Huff-N-Puff Process for Heavy Oil Reservoirs. J. Can. Pet. Technol. 1984, 23, 29–36. [Google Scholar] [CrossRef]
- Simpson, M.R. The CO2 huff’n’puff process in a bottomwater-drive reservoir. J. Pet. Technol. 1988, 40, 887–893. [Google Scholar] [CrossRef]
- Murray, M.D.; Frailey, S.M.; Lawal, A.S. New approach to CO2 flood: Soak alternating gas. In Proceedings of the SPE Permian Basin Oil and Gas Recovery Conference, Midland, TX, USA, 15–17 May 2001; SPE: Kuala Lumpur, Malaysia, 2001; p. SPE-70023. [Google Scholar]
- Lv, W.; Gong, H.; Dong, M.; Li, Y.; Sun, H.; Sun, Z.; Jiang, H. Potential of Nonionic Polyether Surfactant-Assisted CO2 Huff-n-Puff for Enhanced Oil Recovery and CO2 Storage in Ultra-Low Permeability Unconventional Reservoirs. Fuel 2024, 359, 130474. [Google Scholar] [CrossRef]
- Kalam, S.; Abu-Khamsin, S.A.; Kamal, M.S.; Patil, S. A Review on Surfactant Retention on Rocks: Mechanisms, Measurements, and Influencing Factors. Fuel 2021, 293, 120459. [Google Scholar] [CrossRef]
- Kumar Gunda, N.S.; Bera, B.; Karadimitriou, N.K.; Mitra, S.K.; Hassanizadeh, S.M. Reservoir-on-a-Chip (ROC): A New Paradigm in Reservoir Engineering. Lab Chip 2011, 11, 3785–3792. [Google Scholar] [CrossRef] [PubMed]
- Hafez, M.; Ratanpara, A.P.; Martiniere, Y.; Dagois, M.; Ghazvini, M.; Kavosi, M.; Mandin, P.; Kim, M. CO2-Monoethanolamine-Induced Oil Swelling and Viscosity Reduction for Enhanced Oil Recovery. J. Pet. Sci. Eng. 2021, 206, 109022. [Google Scholar] [CrossRef]
- Ratanpara, A.; Kim, M. Wettability Alteration Mechanisms in Enhanced Oil Recovery with Surfactants and Nanofluids: A Review with Microfluidic Applications. Energies 2023, 16, 8003. [Google Scholar] [CrossRef]
- Seo, S.; Mastiani, M.; Mosavati, B.; Peters, D.M.; Mandin, P.; Kim, M. Performance evaluation of environmentally benign nonionic biosurfactant for enhanced oil recovery. Fuel 2018, 234, 48–55. [Google Scholar] [CrossRef]
- Nayak, N.; Yue, C.; Lam, Y.; Tan, Y. Thermal Bonding of PMMA: Effect of Polymer Molecular Weight. Microsyst. Technol. 2010, 16, 487–491. [Google Scholar] [CrossRef]
- Genuino, H.C.; Horvath, D.T.; King’Ondu, C.K.; Hoag, G.E.; Collins, J.B.; Suib, S.L. Effects of Visible and UV Light on the Characteristics and Properties of Crude Oil-in-Water (O/W) Emulsions. Photochem. Photobiol. Sci. 2012, 11, 692–702. [Google Scholar] [CrossRef]
- Gong, B.; Zhang, H.; Wang, X.; Lian, K.; Li, X.; Chen, B.; Wang, H.; Niu, X. Ultraviolet-Induced Fluorescence of Oil Spill Recognition Using a Semi-Supervised Algorithm Based on Thickness and Mixing Proportion–Emission Matrices. Anal. Methods 2023, 15, 1649–1660. [Google Scholar] [CrossRef] [PubMed]
- Li, H.; Zheng, S.; Yang, D. Enhanced Swelling Effect and Viscosity Reduction of Solvent(s)/CO2/Heavy-Oil Systems. SPE J. 2013, 18, 695–707. [Google Scholar] [CrossRef]
- Li, L.; Zheng, J.; Shi, Y.; Su, Y.; Hao, Y.; Chen, Z. Mechanisms of Fluid Migration and CO2 Storage in Low Permeability Heavy Oil Reservoirs Using High-Pressure Microfluidic CO2 Flooding Experiment. Energy Fuels 2024, 38, 7997–8008. [Google Scholar] [CrossRef]
- Sharbatian, A.; Abedini, A.; Qi, Z.; Sinton, D. Full Characterization of CO2-Oil Properties On-Chip: Solubility, Diffusivity, Extraction Pressure, Miscibility, and Contact Angle. Anal. Chem. 2018, 90, 2461–2467. [Google Scholar] [CrossRef] [PubMed]
- Hammouda, B. Temperature Effect on the Nanostructure of SDS Micelles in Water. J. Res. Natl. Inst. Stand. Technol. 2013, 118, 151. [Google Scholar] [CrossRef] [PubMed]










| Injection Pressure | Distance [µm] (FI: 0.2 to 0.9) | |
|---|---|---|
| 5 psig CO2 | Pure oil at 180 min | 2358.2 |
| Pure oil at 360 min | 2395 | |
| SDS-oil at 180 min | 2399.9 | |
| SDS-oil at 360 min | 2320.7 | |
| 10 psig CO2 | Pure oil at 180 min | 2220.9 |
| Pure oil at 360 min | 2225.6 | |
| SDS-oil at 180 min | 2008.1 | |
| SDS-oil at 360 min | 895.31 | |
Disclaimer/Publisher’s Note: The statements, opinions and data contained in all publications are solely those of the individual author(s) and contributor(s) and not of MDPI and/or the editor(s). MDPI and/or the editor(s) disclaim responsibility for any injury to people or property resulting from any ideas, methods, instructions or products referred to in the content. |
© 2024 by the authors. Licensee MDPI, Basel, Switzerland. This article is an open access article distributed under the terms and conditions of the Creative Commons Attribution (CC BY) license (https://creativecommons.org/licenses/by/4.0/).
Share and Cite
Ratanpara, A.; Donjuan, J.; Smith, C.; Procak, M.; Aboubakar, I.; Mandin, P.; Al-Raoush, R.I.; Inguanta, R.; Kim, M. Hybrid Huff-n-Puff Process for Enhanced Oil Recovery: Integration of Surfactant Flooding with CO2 Oil Swelling. Appl. Sci. 2024, 14, 12078. https://doi.org/10.3390/app142412078
Ratanpara A, Donjuan J, Smith C, Procak M, Aboubakar I, Mandin P, Al-Raoush RI, Inguanta R, Kim M. Hybrid Huff-n-Puff Process for Enhanced Oil Recovery: Integration of Surfactant Flooding with CO2 Oil Swelling. Applied Sciences. 2024; 14(24):12078. https://doi.org/10.3390/app142412078
Chicago/Turabian StyleRatanpara, Abhishek, Joshua Donjuan, Camron Smith, Marcellin Procak, Ibrahima Aboubakar, Philippe Mandin, Riyadh I. Al-Raoush, Rosalinda Inguanta, and Myeongsub Kim. 2024. "Hybrid Huff-n-Puff Process for Enhanced Oil Recovery: Integration of Surfactant Flooding with CO2 Oil Swelling" Applied Sciences 14, no. 24: 12078. https://doi.org/10.3390/app142412078
APA StyleRatanpara, A., Donjuan, J., Smith, C., Procak, M., Aboubakar, I., Mandin, P., Al-Raoush, R. I., Inguanta, R., & Kim, M. (2024). Hybrid Huff-n-Puff Process for Enhanced Oil Recovery: Integration of Surfactant Flooding with CO2 Oil Swelling. Applied Sciences, 14(24), 12078. https://doi.org/10.3390/app142412078

