Sign in to use this feature.

Years

Between: -

Subjects

remove_circle_outline
remove_circle_outline
remove_circle_outline
remove_circle_outline
remove_circle_outline
remove_circle_outline
remove_circle_outline
remove_circle_outline
remove_circle_outline

Journals

remove_circle_outline
remove_circle_outline
remove_circle_outline
remove_circle_outline
remove_circle_outline
remove_circle_outline
remove_circle_outline

Article Types

Countries / Regions

remove_circle_outline
remove_circle_outline
remove_circle_outline
remove_circle_outline

Search Results (761)

Search Parameters:
Keywords = EOR

Order results
Result details
Results per page
Select all
Export citation of selected articles as:
14 pages, 3605 KB  
Article
A Non-Empirical Fractal Permeability Model for EOR in Hydrate-Bearing Reservoirs: Coupling Effects of Effective Stress, Temperature, and Particle Heterogeneity
by Ying-Ying Ma, Yi-Han Shang, Ke-Yi Wang and Gang Lei
Energies 2026, 19(5), 1255; https://doi.org/10.3390/en19051255 - 3 Mar 2026
Abstract
Permeability is a critical parameter for evaluating the production potential of natural gas hydrate reservoirs, and its accurate prediction is essential for enhanced oil recovery (EOR). However, existing permeability models often assume a uniform particle distribution, neglecting the inherent heterogeneity of natural sediments, [...] Read more.
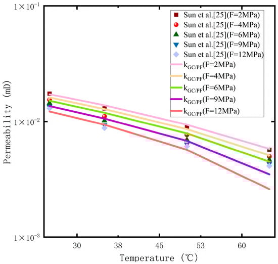
Permeability is a critical parameter for evaluating the production potential of natural gas hydrate reservoirs, and its accurate prediction is essential for enhanced oil recovery (EOR). However, existing permeability models often assume a uniform particle distribution, neglecting the inherent heterogeneity of natural sediments, and rarely fully couple the effects of effective stress and temperature variations induced by EOR operations. To address that gap, this study develops a novel non-empirical fractal permeability model that incorporates particle heterogeneity through an offset angle (θ) and an aspect ratio (m), and couples these with thermoelastic theory to describe the evolution of the pore structure under coupled thermo-mechanical conditions. The model accounts for two hydrate growth habits (grain-coating and pore-filling) and allows for their coexistence via weighting coefficients. Using this model, we systematically investigate the individual and combined effects of effective stress, temperature, particle heterogeneity, and hydrate saturation on permeability. Model predictions are validated against independent experimental data from multiple sources, showing good agreement. The results reveal that permeability decreases with increasing effective stress and temperature, with stress playing a more dominant role; moreover, the transition between hydrate growth habits under stress is captured. The proposed model provides a theoretical tool to understand permeability evolution in heterogeneous hydrate reservoirs under varying thermo-mechanical conditions, thereby supporting EOR strategy optimization. Full article
(This article belongs to the Special Issue Advances in the Development of Geoenergy: 3rd Edition)
Show Figures

Figure 1

25 pages, 3249 KB  
Article
Model-Based Decision Analysis of Production Strategy for Heavy-Oil Field Development and Management Under Uncertainty: Waterflooding, Polymer Flooding, and Intelligent Wells
by Andrés Peralta, Vinicius Botechia, Antonio Santos, Denis Schiozer, Arne Skauge and Tormod Skauge
Energies 2026, 19(5), 1241; https://doi.org/10.3390/en19051241 - 2 Mar 2026
Viewed by 39
Abstract
The decision-making procedure to develop and manage a production strategy is challenging because it requires a high investment and is performed under uncertainty. Heavy-oil reservoirs present low mobility and a high production of water under waterflooding. However, intelligent wells with ICVs (inflow control [...] Read more.
The decision-making procedure to develop and manage a production strategy is challenging because it requires a high investment and is performed under uncertainty. Heavy-oil reservoirs present low mobility and a high production of water under waterflooding. However, intelligent wells with ICVs (inflow control valves) and polymer flooding can improve the field’s performance. This work proposes a decision analysis to select the best strategy for the development of a heavy-oil field, evaluating and comparing the feasibility of waterflooding, polymers, and ICVs. We complement the nominal optimization accomplished for the base case in previous works by considering a probabilistic procedure with uncertainties, which includes the following: the generation of uncertain scenarios, the initial risk evaluation, the optimization of production strategies, a risk curve analysis, and the selection of the best strategy. A model-based reservoir simulation is used to perform the procedure, with the Expected Monetary Value (EMV) quantifying the economic returns. The case study is a sandstone heavy-oil reservoir (13° API) that represents a real Brazilian offshore field. Based on the EMV, we selected the polymer flooding strategy for this case study. However, since better water management was achieved with small differences to the polymer strategy, the option of using the ICVs in combination with polymer could be attractive depending on the various objectives of an oil field. Full article
(This article belongs to the Special Issue New Progress in Unconventional Oil and Gas Development: 2nd Edition)
Show Figures

Figure 1

17 pages, 3747 KB  
Article
Interfacial Tension vs. Emulsification: Key Mechanisms in Surfactant Flooding of Low-Permeability Reservoirs
by Xiaoping An, Jirui Zou, Jiaosheng Zhang, Ruiheng Wang, Jie Dong, Xiqun Tan, Yuan Yuan and Xiangan Yue
Energies 2026, 19(5), 1208; https://doi.org/10.3390/en19051208 - 27 Feb 2026
Viewed by 145
Abstract
Surfactants play a crucial role in enhanced oil recovery by reducing interfacial tension (IFT) and promoting emulsification. However, for low-permeability reservoirs after water flooding, it remains unclear which ability is more crucial for improving recovery. To address this question, this study compared the [...] Read more.
Surfactants play a crucial role in enhanced oil recovery by reducing interfacial tension (IFT) and promoting emulsification. However, for low-permeability reservoirs after water flooding, it remains unclear which ability is more crucial for improving recovery. To address this question, this study compared the oil displacement effects of three surfactants with different IFTs and emulsifying properties using a series of core displacement experiments. The results show that the strongly emulsifying surfactant S1# achieved an incremental oil displacement efficiency of 9.94%, which is higher than that of the ultra-low-IFT surfactant S3# (8.63%), while the composite surfactant S2# (strong emulsification + ultra-low-IFT) achieved the highest incremental oil displacement efficiency of 11.79%, representing an improvement of 3.16% compared with S3#. The three surfactants have the same effect on improving oil recovery and oil displacement efficiency in heterogeneous rock cores. Strong emulsification promotes abundant in situ emulsions, increases injection pressure (up to 0.85 MPa compared with 0.41 MPa for ultra-low-IFT flooding), and expands the swept volume, indicating that emulsification-driven sweep improvement dominates over capillary-force reduction under the investigated conditions. Furthermore, a composite displacement strategy combining emulsification-driven plugging and ultra-low-IFT oil washing achieved a 12.37% recovery improvement while maintaining relatively low injection pressure (~0.48 MPa). However, the effectiveness of this mechanism is strongly dependent on reservoir heterogeneity. When the permeability contrast increased from 5.4 to 17.3, incremental recovery decreased by up to 7.03%, demonstrating that strong heterogeneity significantly limits the effectiveness of emulsification-driven sweep expansion. This work advances the understanding of surfactant flooding mechanisms and provides guidance for designing and deploying surfactants in water-flooded low-permeability reservoirs. Full article
Show Figures

Figure 1

27 pages, 3821 KB  
Article
Interplay Between Octene Content and Grafting-Induced Molecular Weight Deviations and Their Effect on the Impact Toughness of Ethylene/1-Octene-Modified Polyamide 6
by Abdul Kadir Deeb, Oliver Neuß and Silke Rathgeber
Polymers 2026, 18(5), 590; https://doi.org/10.3390/polym18050590 - 27 Feb 2026
Viewed by 97
Abstract
The impact modification of polyamide 6 (PA6) using maleic anhydride-grafted ethylene/1-octene copolymers (EOR-g-MAH) involves a trade-off between improved compatibilization, grafting-induced changes in modifier molecular weight MW, and melt processability. In this study, EOR modifiers with comparable initial MW but different [...] Read more.
The impact modification of polyamide 6 (PA6) using maleic anhydride-grafted ethylene/1-octene copolymers (EOR-g-MAH) involves a trade-off between improved compatibilization, grafting-induced changes in modifier molecular weight MW, and melt processability. In this study, EOR modifiers with comparable initial MW but different octene contents (coct = 13, 15, and 16 mol%) were grafted to two MAH levels (cMAH = 0.5 and 1.0 wt%) and incorporated into PA6 at a fixed composition. The system was designed to maintain a comparable microstructure, enabling the isolation of grafting-induced changes in modifier properties from microstructural effects. MW distributions were analyzed by gel permeation chromatography, and the impact behavior was evaluated over a wide temperature range, using an instrumented Charpy impact test. The results reveal a strong, interrelated, coct- and cMAH-dependent competition between β-scission and cross-linking during grafting, which governs the modifier’s MW distribution and particle strength. Higher coct (15 and 16 mol%) enhances the impact performance up to ≈0 °C, well above the brittle–ductile transition temperature (BDTT), through increased elastic and plastic deformation capability of the modifiers. At elevated temperatures, however, successive melting of the modifiers leads to a loss of particle strength. At high coct and cMAH = 1.0 wt%, susceptibility to β-scission increases, leading to MW reduction that, for coct = 16 mol%, is detrimental to impact performance, particularly above the BDTT. This effect is further amplified by reduced ductility due to stronger polar intermolecular interactions at high grafting levels. A moderate cMAH = 0.5 wt% and coct = 15 mol% provides an optimal compromise between strength and ductility, delivering high impact strength across a broad temperature range. At this cMAH level, the number of PA6 chains covalently anchored to the modifier particles is moderate, resulting in lower compound viscosity and supporting favorable melt processability. Full article
Show Figures

Figure 1

27 pages, 25859 KB  
Article
Insights into Pore–Throat Fractal Characteristics and Shale-Oil Mobilization by HTHP Imbibition in Lacustrine Calcareous Shale
by Xianda Sun, Qiansong Guo, Yuchen Wang, Chengwu Xu and Ziheng Zhang
Fractal Fract. 2026, 10(3), 156; https://doi.org/10.3390/fractalfract10030156 - 27 Feb 2026
Viewed by 89
Abstract
Upper Es4 lacustrine calcareous shale in the Dongying Depression is characterized by strong pore–throat heterogeneity that limits shale-oil producibility. This study quantifies multiscale pore–throat complexity using high-pressure mercury intrusion-based fractal analysis (segmented fractal dimensions D1–D3 and a weighted comprehensive [...] Read more.
Upper Es4 lacustrine calcareous shale in the Dongying Depression is characterized by strong pore–throat heterogeneity that limits shale-oil producibility. This study quantifies multiscale pore–throat complexity using high-pressure mercury intrusion-based fractal analysis (segmented fractal dimensions D1–D3 and a weighted comprehensive fractal dimension, Dc) and evaluates its control on oil occurrence and mobilization using low-field 2D NMR (T1–T2) and confocal microscopy before and after high-temperature, high-pressure spontaneous imbibition. Reservoirs show clear scale segmentation, with micropore fractality governing quality differentiation. Imbibition promotes desorption and redistribution from adsorbed to free oil, but effective mobilization is primarily controlled by pore–fracture connectivity: samples with well-connected networks can mobilize both adsorbed and free oil efficiently, whereas poorly connected systems exhibit desorption without effective production, implying that thermal stimulation alone is insufficient without fracture-assisted flow pathways. Movable-oil saturation decreases systematically with increasing Dc, indicating that higher roughness and tortuosity intensify capillary retention and Jamin trapping. Dc provides an actionable criterion for sweet-spot ranking and for designing stimulation–imbibition coupling and water-based EOR strategies in lacustrine calcareous shale-oil reservoirs. Full article
(This article belongs to the Special Issue Analysis of Geological Pore Structure Based on Fractal Theory)
Show Figures

Figure 1

25 pages, 4447 KB  
Article
Tailoring Impact Toughness of PA6: Isolated Effects of Modifier Octene Content and Molecular Weight in MAH-Grafted EOR Copolymers
by Abdul Kadir Deeb, Oliver Neuß and Silke Rathgeber
Polymers 2026, 18(5), 584; https://doi.org/10.3390/polym18050584 - 27 Feb 2026
Viewed by 174
Abstract
The impact modification of polyamide 6 (PA6) using maleic anhydride grafted ethylene/1-octene copolymers (EOR-g-MAH) is well-established, yet the isolated influence of intrinsic modifier parameters—specifically octene content coct and molecular weight MW—remains insufficiently understood due to confounding microstructural effects. [...] Read more.
The impact modification of polyamide 6 (PA6) using maleic anhydride grafted ethylene/1-octene copolymers (EOR-g-MAH) is well-established, yet the isolated influence of intrinsic modifier parameters—specifically octene content coct and molecular weight MW—remains insufficiently understood due to confounding microstructural effects. This study presents a systematic approach to decouple these variables by maintaining constant grafting degree, modifier content, and compound morphology. A series of PA6/EOR-g-MAH compounds was prepared with controlled variations in coct (8–15 mol%) and MW (34–42 kg/mol). Instrumented Charpy impact testing across a temperature range from −40 °C to +23 °C enabled quantification of crack initiation and propagation energies (Einit and Eprop), providing mechanistic insight into the brittle–ductile transition. Complementary thermal, rheological, and tensile analyses of the modifiers revealed how coct governs cavitation behavior and low-temperature toughness, while MW in particular influences particle integrity and energy dissipation at elevated temperatures. The results demonstrate that targeted adjustment of coct and MW allows for the precise tuning of brittle–ductile transition temperature (BDTT) and impact resistance. The compound containing a high-MW modifier with intermediate coct (13 mol%) exhibited the most favorable balance of toughness and strength retention at elevated temperatures. These findings offer design principles for engineering thermoplastics with enhanced performance across broad service conditions. Full article
(This article belongs to the Section Polymer Analysis and Characterization)
Show Figures

Figure 1

19 pages, 4699 KB  
Article
New Insights into the Migration Characteristics of Polymer Systems in Porous Media
by Lijuan Zhang, Shutong Li, Xiqun Tan, Jirui Zou, Renbao Zhao, Yuan Yuan and Xiang’an Yue
Polymers 2026, 18(5), 568; https://doi.org/10.3390/polym18050568 - 26 Feb 2026
Viewed by 170
Abstract
Knowledge of the migration characteristics of polymer systems in pore throats is essential for the effective application of polymers as a profile-control oil-displacement agent for enhanced oil recovery. In this study, the effect of concentration on the viscosity and hydrodynamic radius of polymer [...] Read more.
Knowledge of the migration characteristics of polymer systems in pore throats is essential for the effective application of polymers as a profile-control oil-displacement agent for enhanced oil recovery. In this study, the effect of concentration on the viscosity and hydrodynamic radius of polymer systems was investigated using a rheometer and a dynamic light scattering instrument. Furthermore, pore-throat models, homogeneous cores, and multi-measuring-point sand-packed models were constructed to investigate pore-scale migration patterns and the effect of the throat–polymer ratio (defined as the ratio of throat size to polymer hydrodynamic radius) on the migration properties of polymers in porous media. The results showed that the transport of polymer systems in porous media is primarily related to the throat–polymer ratio. When this ratio is sufficiently small (i.e., no more than 18.94), the migration pattern of the polymer systems in the pore-throat model does not exhibit the characteristics of polymer solution flow, but rather, of discontinuous-dispersion retention, plugging-breakthrough migration, and stable-plugging retention. Upon increasing the injection rate, the polymer systems also exhibit the migration characteristics of discontinuous dispersion at a larger throat–polymer ratio. Moreover, polymer system migration resistance and improved sweep efficiency in porous media are influenced by not only the viscosity of polymer systems, but also the throat–polymer ratio. The smaller the throat–polymer ratio, the stronger the retention and plugging ability of the polymer systems. The outcomes of this study are significant for the design of polymer flooding operations in oilfields. Full article
(This article belongs to the Section Polymer Applications)
Show Figures

Figure 1

29 pages, 4431 KB  
Article
Integrating CO2-EOR and Sequestration via Assisting Steam Huff and Puff in Offshore Heavy Oil Reservoirs with Bottom Water
by Guodong Cui, Kaijun Yuan, Haiqing Cheng, Quanqi Dai, Xi Chen, Rui Wang, Zhe Hu and Zheng Niu
J. Mar. Sci. Eng. 2026, 14(5), 423; https://doi.org/10.3390/jmse14050423 - 25 Feb 2026
Viewed by 199
Abstract
CO2-assisted steam huff and puff is an effective method to improve oil recovery and store CO2 in heavy oil reservoirs. However, few studies focused on complex geological formations, such as bottom water. The bottom water condition not only complicates the [...] Read more.
CO2-assisted steam huff and puff is an effective method to improve oil recovery and store CO2 in heavy oil reservoirs. However, few studies focused on complex geological formations, such as bottom water. The bottom water condition not only complicates the process of oil production and CO2 sequestration, but also makes migration and distribution of oil, water and CO2 unclear. In this paper, a numerical geological model of an offshore heavy oil reservoir with bottom water is established to analyze the influence of bottom water on injection and production parameters, oil recovery and CO2 storage capability under vertical and horizontal well layouts. The results show that the bottom water could maintain the formation pressure, but reduce the steam chamber radius and heavy oil utilization area, increase water production and decrease the oil–water ratio. CO2 could enhance oil recovery in the bottom water reservoir. Oil development indicators of the horizontal well are higher than the vertical well. Meanwhile, CO2-assisted steam huff and puff use in the bottom water reservoir can create a high-pressure and -temperature environment to make CO2 supercritical, as it has better CO2 storage capability and efficiency. The CO2 storage efficiency of the horizontal well is 63% larger than the vertical well. Thus, the horizontal well layout should be used as a priority if bottom water presents. Conducted analysis of bottom water formation sensitivity parameters shows that the advantageous formation conditions are high oil saturation, porosity of 0.2–0.4 and permeability of 2000–3000 mD. The influence degrees of each formation parameter were evaluated as well. Full article
(This article belongs to the Section Marine Energy)
Show Figures

Figure 1

36 pages, 1420 KB  
Review
Advances in CO2 Injection for Enhanced Hydrocarbon Recovery: Reservoir Applications, Mechanisms, Mobility Control Technologies, and Challenges
by Mazen Hamed and Ezeddin Shirif
Energies 2026, 19(4), 1086; https://doi.org/10.3390/en19041086 - 20 Feb 2026
Viewed by 246
Abstract
Carbon dioxide injection is one of the most advanced and commercially proven methods of enhanced hydrocarbon recovery, and CO2 injection has been shown to be very effective in conventional oil reservoirs and is gaining attention in gas, unconventional, and coalbed methane reservoirs. [...] Read more.
Carbon dioxide injection is one of the most advanced and commercially proven methods of enhanced hydrocarbon recovery, and CO2 injection has been shown to be very effective in conventional oil reservoirs and is gaining attention in gas, unconventional, and coalbed methane reservoirs. The advantages of CO2 injection lie in the favorable phase properties and interactions with reservoir fluids, such as swelling, reduction in oil viscosity, reduction in interfacial tension, and miscible displacement in favorable cases. But the low viscosity and density of CO2 compared to the reservoir fluids result in unfavorable mobility ratios and gravity override, resulting in sweep efficiency limitations. This review offers a broad and EOR-centric evaluation of the various CO2 injection methods for a broad array of reservoir types, such as depleted oil reservoirs, gas reservoirs for the purpose of gas recovery, tight gas/sands, as well as coalbed methane reservoirs. Particular attention will be given to the use of mobility control/sweep enhancement techniques such as water alternating gas (CO2-WAG), foam-assisted CO2 injection, polymer-assisted WAG processes, as well as hybrid processes that combine the use of CO2 injection with low salinity or engineered waterflood. Further, recent developments in compositional simulation, fracture-resolving simulation, hysteresis modeling, and data-driven optimization techniques have been highlighted. Operational challenges such as injectivity reduction, asphaltene precipitation, corrosion, and conformance problems have been reviewed, along with the existing methods to mitigate such issues. Finally, key gaps in the current studies have been identified, with an emphasis on the development of EHR processes using CO2 in complex and low-permeability reservoirs, enhancing the resistance of chemical and foam methods in realistic conditions, and the development of reliable methods for optimizing the process on the field scale. This review article will act as an aid in the technical development process for the implementation of CO2 injection projects for the recovery of hydrocarbons. Full article
Show Figures

Figure 1

10 pages, 351 KB  
Article
Extent of Resection and Survival in IDH-Wildtype Glioblastoma: A Dual-Center Retrospective Study
by Selami Bayram, Mustafa Serkan Alemdar, Ali Murat Tatli, Derya Kivrak Salim, Banu Ozturk, Muharrem Okan Cakir and Mustafa Ozdogan
Medicina 2026, 62(2), 385; https://doi.org/10.3390/medicina62020385 - 15 Feb 2026
Viewed by 272
Abstract
Background and Objectives: Glioblastoma (GBM), defined as IDH-wildtype CNS WHO grade 4, remains the most common and aggressive primary malignant brain tumor in adults. Although the extent of resection (EOR), particularly gross total resection (GTR), is considered a potentially modifiable factor, survival [...] Read more.
Background and Objectives: Glioblastoma (GBM), defined as IDH-wildtype CNS WHO grade 4, remains the most common and aggressive primary malignant brain tumor in adults. Although the extent of resection (EOR), particularly gross total resection (GTR), is considered a potentially modifiable factor, survival comparisons across surgical groups are vulnerable to selection bias and unmeasured biological confounding. We evaluated the association between GTR and survival outcomes in patients with newly diagnosed IDH-wildtype GBM in a dual-center, real-world cohort. Materials and Methods: We conducted a retrospective, dual-center cohort study of 100 adult patients with histopathologically confirmed GBM who underwent primary surgical resection between 2015 and 2021. GTR was defined as no measurable residual contrast-enhancing tumor on early postoperative MRI (≤72 h). All patients received adjuvant chemoradiotherapy according to the Stupp protocol. Survival was analyzed using Kaplan–Meier methods with log-rank tests and explored using univariable Cox regression analysis. Given the missing key prognostic covariates (notably MGMT promoter methylation) and the retrospective design, the analyses were reported as unadjusted and descriptive. Results: Of the 100 patients, 63 (63%) underwent GTR and 37 (37%) non-GTR. The GTR group had a significantly higher rate of radiologic complete response (42.9% vs. 10.8%, p = 0.001). However, no significant differences were observed in overall survival (OS; median 13 vs. 12 months, p = 0.847) or progression-free survival (PFS; 8 vs. 8 months, p = 0.963) between the groups in unadjusted analyses. Long-term Kaplan–Meier estimates (e.g., 5-year OS) should be interpreted cautiously due to the small number of patients at risk and potential selection and biological confounding. Conclusions: In this dual-center cohort, GTR was associated with improved radiologic response but not with longer OS or PFS in unadjusted analyses. These results should be considered hypothesis-generating and not interpreted as evidence against maximal safe resection. The absence of MGMT promoter methylation status, lack of volumetric EOR quantification (including non-contrast-enhancing/FLAIR disease), and lack of standardized functional outcome data substantially limited causal inference. Prospective studies integrating molecular stratification, volumetric resection metrics, and functional outcome assessments are warranted. Full article
(This article belongs to the Section Oncology)
Show Figures

Figure 1

20 pages, 4674 KB  
Article
Quantifying the Pore Throat Mobilization Characteristics in Volatile Reservoirs via In Situ NMR Technology: Implications for CO2-Enhanced Oil Recovery
by Zuochen Wang, Huiqing Liu, Yue Pan, Hong Huang and Feihang Zhong
Energies 2026, 19(4), 961; https://doi.org/10.3390/en19040961 - 12 Feb 2026
Viewed by 219
Abstract
Integrating enhanced oil recovery (EOR) with geological carbon storage presents a dual-strategy solution for sustainable hydrocarbon production and greenhouse gas emission mitigation. CO2 flooding, particularly under miscible conditions, is a pivotal technology in this endeavor. This study employs advanced in situ nuclear [...] Read more.
Integrating enhanced oil recovery (EOR) with geological carbon storage presents a dual-strategy solution for sustainable hydrocarbon production and greenhouse gas emission mitigation. CO2 flooding, particularly under miscible conditions, is a pivotal technology in this endeavor. This study employs advanced in situ nuclear magnetic resonance (NMR) imaging to visually and quantitatively investigate the pore-scale mechanisms of CO2 flooding in fractured carbonate rocks from a Kazakhstan oilfield. By establishing a novel correlation between NMR data and pore throat size distribution, we quantify the lower limit of pore throat mobilization—a key parameter for evaluating storage and displacement efficiency. Results show that miscible CO2 flooding significantly reduces this limit to the submicron scale (0.1 μm) in matrix rocks, dramatically improving oil recovery from small pores. However, fracture networks dominate fluid flow, leading to early gas breakthrough and severely limiting CO2 penetration and miscible displacement in the matrix. The study provides pore-scale insights for optimizing CO2 injection strategies to maximize both hydrocarbon recovery and CO2 storage potential in complex carbonate formations. The study elucidates the microscopic mobilization mechanisms and remaining oil distribution patterns during CO2 flooding in volatile reservoirs. Moreover, it represents an environmentally friendly methodology for mitigating greenhouse gas emissions. Full article
(This article belongs to the Section H1: Petroleum Engineering)
Show Figures

Figure 1

1 pages, 131 KB  
Retraction
RETRACTED: Davarpanah, A. Parametric Study of Polymer-Nanoparticles-Assisted Injectivity Performance for Axisymmetric Two-Phase Flow in EOR Processes. Nanomaterials 2020, 10, 1818
by Afshin Davarpanah
Nanomaterials 2026, 16(4), 235; https://doi.org/10.3390/nano16040235 - 12 Feb 2026
Viewed by 191
Abstract
The journal retracts the article “Parametric Study of Polymer-Nanoparticles-Assisted Injectivity Performance for Axisymmetric Two-Phase Flow in EOR Processes” [...] Full article
(This article belongs to the Special Issue Application of Nanoparticles for Oil Recovery)
16 pages, 6507 KB  
Article
Performance and Numerical Simulation of Gel–Foam Systems for Profile Control and Flooding in Fractured Reservoirs
by Junhui Bai, Yingwei He, Jiawei Li, Yue Lang, Zhengxiao Xu, Tongtong Zhang, Qiao Sun, Xun Wei and Fengrui Yang
Gels 2026, 12(2), 133; https://doi.org/10.3390/gels12020133 - 2 Feb 2026
Viewed by 316
Abstract
Enhanced oil recovery (EOR) in fractured reservoirs presents significant challenges due to fluid channeling and poor sweep efficiency. In this study, a synergistic EOR system was developed with polymer-based weak gel as the primary component and foam as the auxiliary enhancer. The system [...] Read more.
Enhanced oil recovery (EOR) in fractured reservoirs presents significant challenges due to fluid channeling and poor sweep efficiency. In this study, a synergistic EOR system was developed with polymer-based weak gel as the primary component and foam as the auxiliary enhancer. The system utilizes a low-concentration polymer (1000 mg·L−1) that forms a weakly cross-linked three-dimensional viscoelastic gel network in the aqueous phase, inheriting the core functions of viscosity enhancement and profile control from polymer flooding. Foam acts as an auxiliary component, leveraging the high sweep efficiency and strong displacement capability of gas in fractures. These two components synergistically create a multiscale enhancement mechanism of “bulk-phase stability control and interfacial-driven displacement.” Systematic screening of seven foaming agents identified an optimal formulation of 0.5% SDS and 1000 mg·L−1 polymer. Two-dimensional visual flow experiments demonstrated that the polymer-induced gel network significantly improves mobility control and sweep efficiency under various injection volumes (0.1–0.7 PV) and gravity segregation conditions. Numerical simulation in a 3D fractured network model confirmed the superiority of this enhanced system, achieving a final oil recovery rate of 75%, significantly outperforming gas flooding (65%) and water flooding (59%). These findings confirm that weakly cross-linked polymer gels serve as the principal EOR material, with foam providing complementary reinforcement, offering robust conformance control and enhanced recovery potential in fracture-dominated reservoirs. Full article
(This article belongs to the Special Issue Polymer Gels for Oil Recovery and Industry Applications)
Show Figures

Figure 1

28 pages, 3661 KB  
Article
A Hybrid Ionic Liquid–HPAM Flooding for Enhanced Oil Recovery: An Integrated Experimental and Numerical Study
by Mohammed A. Khamis, Omer A. Omer, Faisal S. Altawati and Mohammed A. Almobarky
Polymers 2026, 18(3), 359; https://doi.org/10.3390/polym18030359 - 29 Jan 2026
Viewed by 390
Abstract
Declining recovery factors from mature oil fields, coupled with the technical challenges of recovering residual oil under harsh reservoir conditions, necessitate the development of advanced enhanced oil recovery (EOR) techniques. While promising, chemical EOR often faces economic and technical hurdles in high-salinity, high-temperature [...] Read more.
Declining recovery factors from mature oil fields, coupled with the technical challenges of recovering residual oil under harsh reservoir conditions, necessitate the development of advanced enhanced oil recovery (EOR) techniques. While promising, chemical EOR often faces economic and technical hurdles in high-salinity, high-temperature environments where conventional polymers like hydrolyzed polyacrylamide (HPAM) degrade and fail. This study presents a comprehensive numerical investigation that addresses this critical industry challenge by applying a rigorously calibrated simulation framework to evaluate a novel hybrid EOR process that synergistically combines an ionic liquid (IL) with HPAM polymer. Utilizing core-flooding data from a prior study that employed the same Berea sandstone core plug and Saudi medium crude oil, supplemented by independently measured interfacial tension and contact angle data for the same chemical system, we built a core-scale model that was history-matched with RMSE < 2% OOIP. The calibrated polymer transport parameters—including a low adsorption capacity (~0.012 kg/kg-rock) and a high viscosity multiplier (4.5–5.0 at the injected concentration)—confirm favorable polymer propagation and effective in -situ mobility control. Using this validated model, we performed a systematic optimization of key process parameters, including IL slug size, HPAM concentration, salinity, temperature, and injection rate. Simulation results identify an optimal design: a 0.4 pore volume (PV) slug of IL (Ammoeng 102) reduces interfacial tension and shifts wettability toward water-wet, effectively mobilizing residual oil. This is followed by a tailored HPAM buffer in diluted formation brine (20% salinity, 500 ppm), which enhances recovery by up to 15% of the original oil in place (OOIP) over IL flooding alone by improving mobility control and enabling in-depth sweep. This excellent history match confirms the dual-displacement mechanism: microscopic oil mobilization by the IL, followed by macroscopic conformance improvement via HPAM-induced flow diversion. This integrated simulation-based approach not only validates the technical viability of the hybrid IL–HPAM flood but also delivers a predictive, field-scale-ready framework for heterogeneous reservoir systems. The work provides a robust strategy to unlock residual oil in such challenging reservoirs. Full article
(This article belongs to the Special Issue Application of Polymers in Enhanced Oil Recovery)
Show Figures

Figure 1

11 pages, 1883 KB  
Article
In Situ Self-Assembled Particle-Enhanced Foam System for Profile Control and Enhanced Oil Recovery in Offshore Heterogeneous Reservoirs
by Mengsheng Jiang, Shanfa Tang and Yu Xia
Processes 2026, 14(3), 411; https://doi.org/10.3390/pr14030411 - 24 Jan 2026
Viewed by 188
Abstract
Severe reservoir heterogeneity in offshore oilfields often leads to dominant flow channels, high water cut, and low sweep efficiency during long-term water flooding. In this study, an in situ self-assembled composite foam system combining soft polymer particles with a low-interfacial-tension foaming agent was [...] Read more.
Severe reservoir heterogeneity in offshore oilfields often leads to dominant flow channels, high water cut, and low sweep efficiency during long-term water flooding. In this study, an in situ self-assembled composite foam system combining soft polymer particles with a low-interfacial-tension foaming agent was developed for profile control and enhanced oil recovery (EOR) in offshore heterogeneous reservoirs. The self-assembly characteristics and physicochemical properties of different particle systems were evaluated to optimize the composite foam structure. Static and dynamic experiments were conducted to assess foam stability, plugging performance, injectivity behavior, and oil displacement efficiency. Results show that the optimized composite foam undergoes in situ self-assembly under reservoir conditions, forming a stable particle–foam structure that enhances selective plugging and mobility control. Core flooding experiments demonstrate that the system increases oil recovery by up to 27.2% across a wide permeability range. Field application further confirms its effectiveness in regulating interlayer water absorption, stabilizing injection pressure, and reducing water cut. These results indicate that the proposed in situ self-assembled composite foam is a promising technique for integrated profile control and enhanced oil recovery in offshore heterogeneous reservoirs. Full article
(This article belongs to the Special Issue Applications of Intelligent Models in the Petroleum Industry)
Show Figures

Figure 1

Back to TopTop