Full Life Cycle Evaluation of Stability Pile in High Slope with Multi-Layer Weak Interlayers
Abstract
1. Introduction
2. Method
3. General Situation of a High Slope
4. Calculation Model
4.1. The Slope Without Support
4.2. The Setting of the Pile Position (Ly)
4.3. The Setting of the Pile Length (Lp)
4.4. The Setting of the Pile Diameter (D)
4.5. Setting the Ratio of the On-Center Spacing to Pile Diameter (Sp/D)
5. Result
5.1. Stability of the Slope Without Support
5.2. The Effect of the Pile Position (Ly)
5.3. The Effect of the Pile Length (Lp)
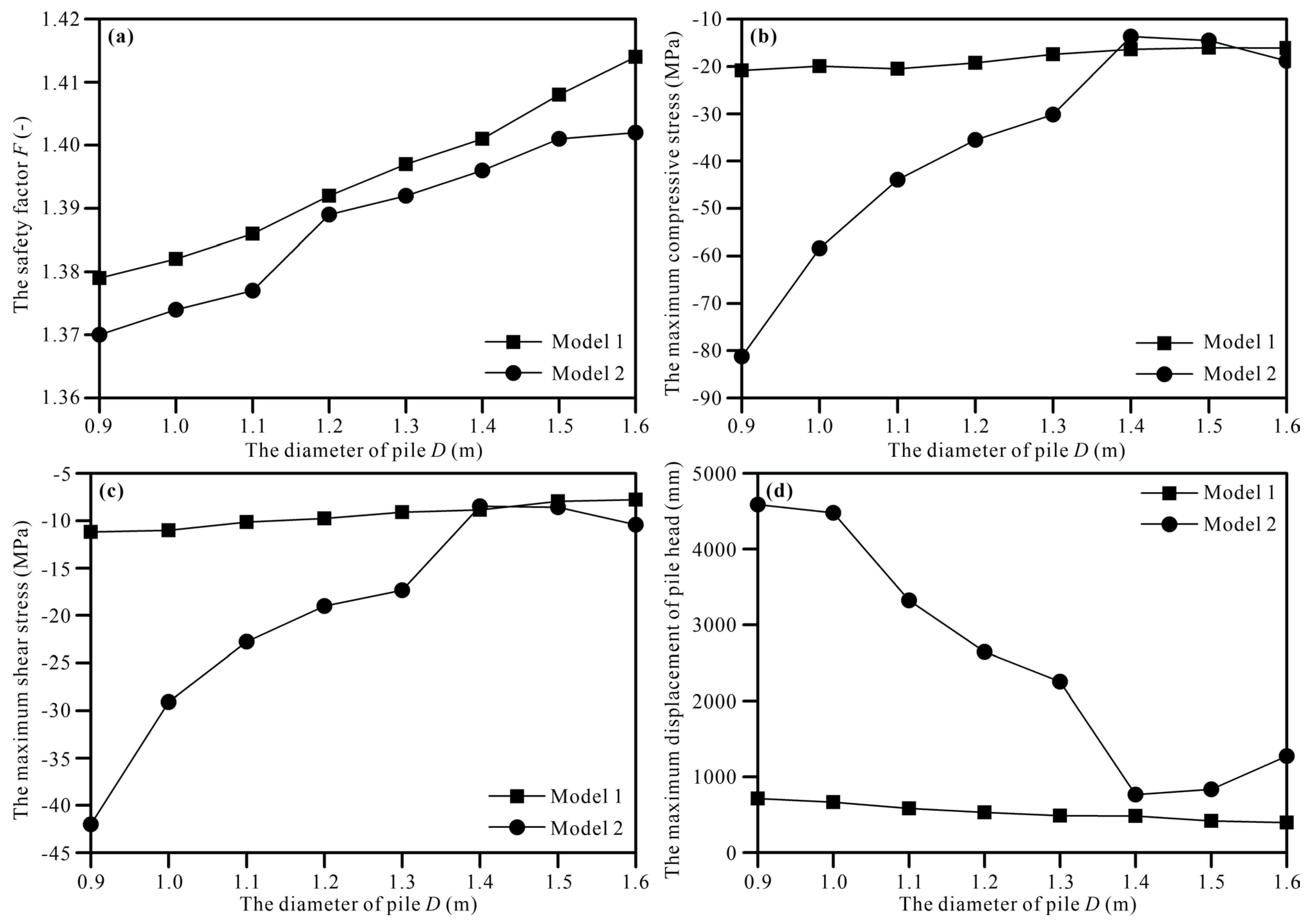
5.4. The Effect of the Pile Diameter (D)
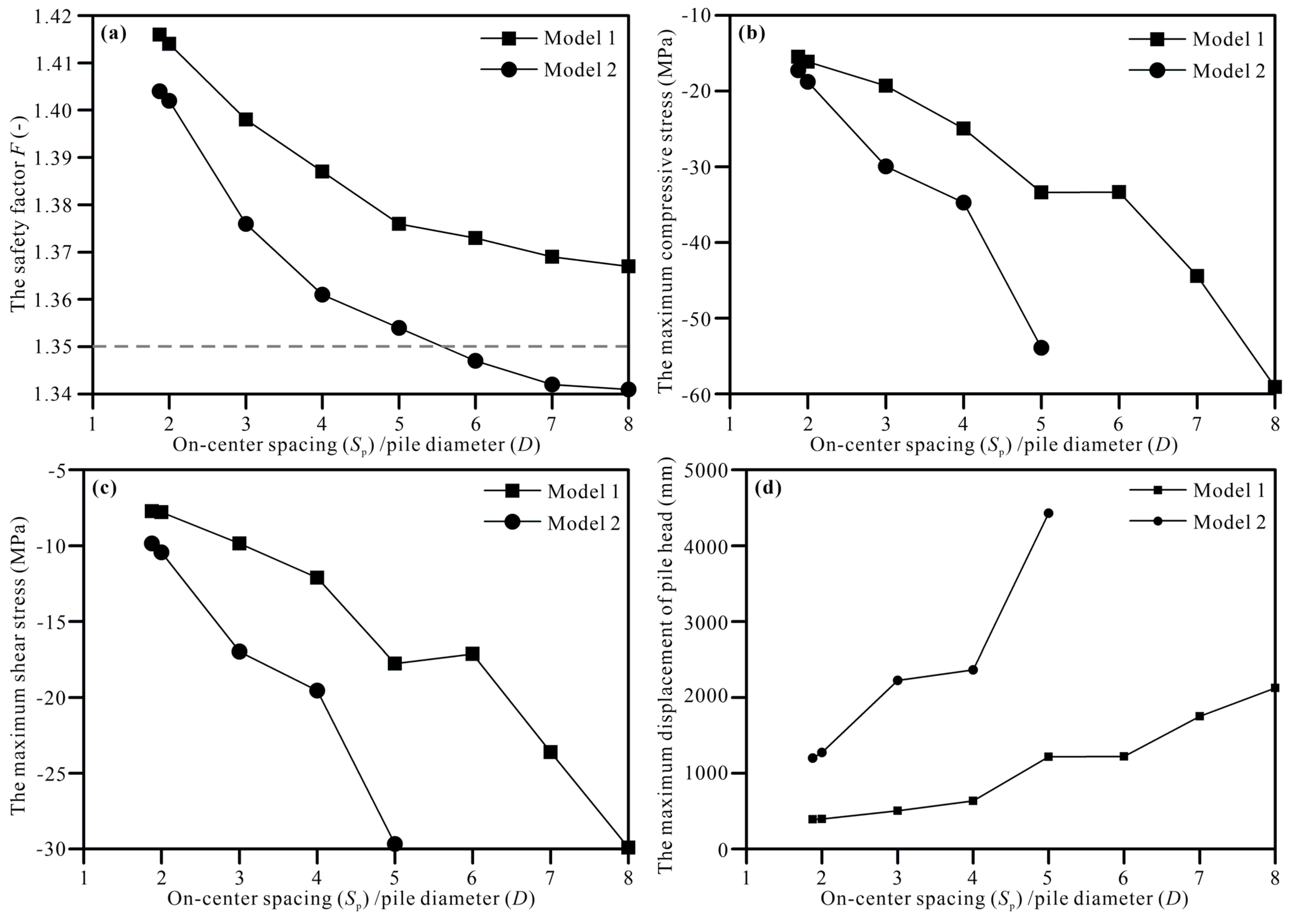
5.5. The Effect of the Ratio of On-Center Spacing to Diameter of Pile (Sp/D)
6. Discussion
6.1. The Necessity of Piles
6.2. Discussion of the Pile Position (Ly)
6.3. Discussion of the Pile Length (Lp)
6.4. Discussion of the Pile Diameter (D) and the Ratio of On-Center Spacing to Pile Diameter (Sp/D)
7. Conclusions
Author Contributions
Funding
Institutional Review Board Statement
Informed Consent Statement
Data Availability Statement
Acknowledgments
Conflicts of Interest
References
- Xu, B.T.; Yan, C.H. An experimental study of the mechanical behavior of a weak intercalated layer. Rock Mech. Rock Eng. 2014, 47, 791–798. [Google Scholar] [CrossRef]
- Yu, M.; Mao, X.B.; Hu, X.Y. Shear creep characteristics and constitutive model of limestone. Int. J. Min. Sci. Technol. 2016, 26, 423–428. [Google Scholar] [CrossRef]
- Li, J.L.; Zhang, B.; Sui, B. Stability analysis of rock slope with multilayer weak interlayer. Adv. Civ. Eng. 2021, 2021, 1409240. [Google Scholar] [CrossRef]
- Zhang, S.L.; Zhu, Z.H.; Qi, S.C.; Hu, Y.X.; Du, Q.; Zhou, J.W. Deformation process and mechanism analyses for a planar sliding in the Mayanpo massive bedding rock slope at the Xiangjiaba Hydropower Station. Landslides 2018, 15, 2061–2073. [Google Scholar] [CrossRef]
- Deng, Q.L.; Zhu, Z.Y.; Cui, Z.Q.; Wang, X.P. Mass rock creep and landsliding on the Huangtupo slope in the reservoir area of the Three Gorges Project, Yangtze River, China. Eng. Geol. 2000, 58, 67–83. [Google Scholar] [CrossRef]
- Wang, F.W.; Zhang, Y.M.; Huo, Z.T.; Matsumoto, T.; Huang, B.L. The July 14, 2003 Qianjiangping landslide, Three Gorges Reservoir, China. Landslides 2004, 1, 157–162. [Google Scholar] [CrossRef]
- Yang, H.F.; Jian, W.X.; Wang, F.W.; Meng, F.H.; Okeke, A.C. Numerical Simulation of failure process of the Qianjiangping landslide triggered by water level rise and rainfall in the Three Gorges Reservoir, China. In Progress of Geo-Disaster Mitigation Technology in Asia. Environmental Science and Engineering; Wang, F., Miyajima, M., Li, T., Shan, W., Fathani, T., Eds.; Springer: Berlin/Heidelberg, Germany, 2013; pp. 503–523. [Google Scholar] [CrossRef]
- Jian, W.X.; Wang, Z.J.; Yin, K.L. Mechanism of the Anlesi landslide in the Three Gorges Reservoir, China. Eng. Geol. 2009, 108, 86–95. [Google Scholar] [CrossRef]
- Terzaghi, K. Stability of steep slopes on hard unweathered rock. Géotechnique 1962, 12, 251–270. [Google Scholar] [CrossRef]
- Jaeger, J.C. Friction of rocks and stability of rock slopes. Géotechnique 1971, 21, 97–134. [Google Scholar] [CrossRef]
- Hatzor, Y.H.; Levin, M. The shear strength of clay-filled bedding planes in limestones—Back-analysis of a slope failure in a phosphate mine, Israel. Geotech. Geol. Eng. 1997, 15, 263–282. [Google Scholar] [CrossRef]
- Liu, H.N.; Duan, S.Z.; Yan, T.S.; Liu, H.D.; Li, D.D. Potential failure mechanism of a rock slope with weak intercalated layer and the reinforcement effect evaluation. Nat. Hazards 2024, 120, 9469–9487. [Google Scholar] [CrossRef]
- Liu, F.; Zhang, J.M.; Guo, P.Z.; Liu, W.L.; Wang, Z.Q.; Chen, J.P. The Effect of Excavation Disturbance on the Stability of Bedding Cataclastic Rock Mass High Slope Containing Multimuddy Interlayers. Adv. Civ. Eng. 2024, 2024, 3659021. [Google Scholar] [CrossRef]
- Jose, D.; Kolathayar, S.; Nayak, S. An Appraisal of the Mechanism and Research Development Status of Anti-slide Piles as Effective Technique for Landslide Risk Reduction. Indian Geotech. J. 2024, 54, 741–752. [Google Scholar] [CrossRef]
- Ausilio, E.; Conte, E.; Dente, G. Stability analysis of slopes reinforced with piles. Comput. Geotech. 2001, 28, 591–611. [Google Scholar] [CrossRef]
- Rao, P.P.; Zhao, L.X.; Chen, Q.S.; Li, L. Limit analysis approach for accessing stability of three-dimensional (3-D) slopes reinforced with piles. Mar. Georesources Geotechnol. 2017, 35, 978–985. [Google Scholar] [CrossRef]
- Wei, W.B.; Cheng, Y.M. Strength reduction analysis for slope reinforced with one row of piles. Comput. Geotech. 2009, 36, 1176–1185. [Google Scholar] [CrossRef]
- Praporgescu, A.; Popa, A. Different aspects regarding slope stability improvement using piles. IOP Conf. Ser. Mater. Sci. Eng. 2024, 1304, 012009. [Google Scholar] [CrossRef]
- Al-Jeznawi, D.; Alzabeebee, S.; Mohammed Shafiqu, Q.S.; Güler, E. Analysis of Slope Stabilized with Piles Under Earthquake Excitation. Transp. Infrastruct. Geotech. 2024, 11, 197–215. [Google Scholar] [CrossRef]
- Abdelaziz, A.; Hafez, D.; Hussein, A. The effect of pile parameters on the factor of safety of piled-slopes using 3D numerical analysis. HBRC J. 2017, 13, 277–285. [Google Scholar] [CrossRef]
- Zhou, D.Y.; Du, C.Z.; Shang, J.X.; Zhao, Y.; Liu, M.D.; Yu, P. Establishment of Pile-soil Interaction Model and Optimization Analysis of Distance Diameter Ratio. J. Phys. Conf. Ser. 2024, 2890, 012042. [Google Scholar] [CrossRef]
- Zhou, B.G.; Zhong, H.B.; Yang, K.P.; Yang, X.Q.; Cai, C.F.; Xiao, J.; Liu, Y.J.; Yuan, B.X. A Study on the Factors Influencing High Backfill Slope Reinforced with Anti-Slide Piles under Static Load Based on Numerical Simulation. Buildings 2024, 14, 799. [Google Scholar] [CrossRef]
- Xu, X.; Xing, Y.C.; Guo, Z.; Huang, Y. Stability Analysis of Rainfall-Triggered Toe-Cut Slopes and Effectiveness Evaluation of Pile-Anchor Structures. J. Earth Sci. 2021, 32, 1104–1112. [Google Scholar] [CrossRef]
- Xue, D.M.; Li, T.B.; Zhang, S.A.; Ma, C.C.; Gao, M.B.; Liu, J. Failure mechanism and stabilization of a basalt rock slide with weak layers. Eng. Geol. 2018, 233, 213–224. [Google Scholar] [CrossRef]
- Huang, M.S.; Wang, H.R.; Sheng, D.C.; Liu, Y.L. Rotational-translational mechanism for the upper bound stability analysis of slopes with weak interlayer. Comput. Geotech. 2013, 53, 133–141. [Google Scholar] [CrossRef]
- Ho, I.H. Numerical study of slope-stabilizing piles in undrained clayey slopes with a weak thin layer. Int. J. Geomech. 2015, 15, 06014025. [Google Scholar] [CrossRef]
- Zhou, H.Z.; Zheng, G.; Yang, X.Y.; Diao, Y.; Gong, L.S.; Cheng, X.S. Displacement of pile-reinforced slopes with a weak layer subjected to seismic loads. Math. Probl. Eng. 2016, 2016, 1527659. [Google Scholar] [CrossRef]
- Ito, T.; Matsui, T.; Hong, W.P. Design method for stabilizing piles against landslide—One row of piles. Soils Found. 1981, 21, 21–37. [Google Scholar] [CrossRef]
- Hassiotis, S.; Chameau, J.L.; Gunaratne, M. Design method for stabilization of slopes with piles. J. Geotech. Geoenviron. Eng. 1997, 123, 314–323. [Google Scholar] [CrossRef]
- Cai, F.; Ugai, K. Numerical analysis of the stability of a slope reinforced with piles. Soils Found. 2000, 40, 73–84. [Google Scholar] [CrossRef]
- Benmebarek, M.A.; Benmebarek, S.; Rad, M.M.; Ray, R. Pile optimization in slope stabilization by 2D and 3D numerical analyses. Int. J. Geotech. Eng. 2022, 16, 211–224. [Google Scholar] [CrossRef]
- GB 50330-2013; Technical Code for Building Slope Engineering. Standard of People’s Republic of China: Beijing, China, 2013. (In Chinese)
- Jeong, S.; Kim, B.; Won, J.; Lee, J. Uncoupled analysis of stabilizing piles in weathered slopes. Comput. Geotech. 2003, 30, 671–682. [Google Scholar] [CrossRef]
- Sarkhani Benemaran, R.; Esmaeili-Falak, M.; Katebi, H. Physical and numerical modelling of pile-stabilized saturated layered slopes. Proc. Inst. Civ. Eng.-Geotech. Eng. 2020, 175, 523–538. [Google Scholar] [CrossRef]
- Griffiths, D.V.; Fenton, G.A. Probabilistic slope stability analysis by finite elements. J. Geotech. Geoenviron. Eng. 2004, 130, 507–518. [Google Scholar] [CrossRef]
- Griffiths, D.V.; Marquez, R.M. Three-dimensional slope stability analysis by elasto-plastic finite elements. Géotechnique 2007, 57, 537–546. [Google Scholar] [CrossRef]
- Huat, B.B.; Mohammed, T.A. Finite element study using FE code (PLAXIS) on the geotechnical behavior of shell footings. J. Comput. Sci. 2006, 2, 104–108. [Google Scholar] [CrossRef][Green Version]
- Fasihnikoutalab, M.H.; Huat, B.B.K.; Asadi, A.; Daneshmand, S. Numerical stability analysis of tunnel by PLAXIS. EJGE 2012, 17, 451–461. [Google Scholar]
- Wulandari, P.S.; Tjandra, D. Analysis of piled raft foundation on soft soil using PLAXIS 2D. Procedia Eng. 2015, 125, 363–367. [Google Scholar] [CrossRef]
- Salahudeen, A.B.; Sadeeq, J.A. Investigation of shallow foundation soil bearing capacity and settlement characteristics of Minna City Centre development site using Plaxis 2D software and empirical formulations. Niger. J. Technol. 2017, 36, 663–670. [Google Scholar] [CrossRef]
- Chimdesa, F.F.; Chimdesa, F.F.; Jilo, N.Z.; Hulagabali, A.; Babalola, O.E.; Tiyasha, T.; Ramaswamy, K.; Kumar, A.; Bhagat, S.K. Numerical analysis of pile group, piled raft, and footing using finite element software PLAXIS 2D and GEO5. Sci. Rep. 2023, 13, 15875. [Google Scholar] [CrossRef]
- Zhao, Z.R.; Liu, W.L.; Wang, Z.Q. Investigation Report on Side (Slip) Slope Management Project for Yuxi City DomesticWaste Incineration Power Generation Project; Kunming Prospecting Design Institute of China Nonferrous Metals Industry Co., Ltd.: Kunming, China, 2019. (In Chinese) [Google Scholar]
- Kourkoulis, R.; Gelagoti, F.; Anastasopoulos, I.; Gazetas, G. Slope stabilizing piles and pile-groups: Parametric study and design insights. J. Geotech. Geoenviron. Eng. 2011, 137, 663–677. [Google Scholar] [CrossRef]
- Kourkoulis, R.; Gelagoti, F.; Anastasopoulos, I.; Gazetas, G. Hybrid method for analysis and design of slope stabilizing piles. J. Geotech. Geoenviron. Eng. 2012, 138, 1–14. [Google Scholar] [CrossRef]
- Azzam, W.R.; Basha, A.M. Utilization of micro-piles for improving the sub-grade under the existing strip foundation: Experimental and numerical study. Innov. Infrastruct. Solut. 2018, 3, 44. [Google Scholar] [CrossRef]
- Dai, Z.H.; Xu, X. 3D finite element method for design computations of anti-slide piles. Chin. J. Rock Mech. Eng. 2012, 31, 2572–2578. (In Chinese) [Google Scholar]
- Nian, Y.K.; Xu, H.Y.; Liu, H.S. Several issues in three-dimensional numerical analysis of slopes reinforced with anti-slide piles. Rock Soil Mech. 2012, 33, 2521–2526+2535. (In Chinese) [Google Scholar]
- Shooshpasha, I.; Amirdehi, H.A. Evaluating the stability of slope reinforced with one row of free head piles. Arab. J. Geosci. 2015, 8, 2131–2141. [Google Scholar] [CrossRef]
- Wang, L.; Sun, D.D.; Yao, Y.P.; Wu, L.Z.; Xu, Y.F. Kinematic limit analysis of three-dimensional unsaturated soil slopes reinforced with a row of piles. Comput. Geotech. 2020, 120, 103428. [Google Scholar] [CrossRef]
- Li, X.P.; Pei, X.J.; Gutierrez, M.; He, S.M. Optimal location of piles in slope stabilization by limit analysis. Acta Geotech. 2012, 7, 253–259. [Google Scholar] [CrossRef]
- Ho, I.H. Three-dimensional finite element analysis for soil slopes stabilisation using piles. Geomech. Geoengin. 2017, 12, 234–249. [Google Scholar] [CrossRef]
- Hajiazizi, M.; Mazaheri, A.; Orense, R.P. Analytical approach to evaluate stability of pile-stabilized slope. Sci. Iran. 2018, 25, 2525–2536. [Google Scholar] [CrossRef]















| Geological Materials | Unit Volume Weight (g.cm−3) | Elastic Modulus (MPa) | Poisson’s Ratio | Cohesion (MPa) | Internal Friction Angle (°) |
|---|---|---|---|---|---|
| Laterite | 1.75 | 300 | 0.35 | 0.0578 | 13.8 |
| Sand | 1.71 | 80 | 0.33 | 0.03 | 15 |
| Gravel soil 1 | 1.90 | 200 | 0.31 | 0.035 | 20 |
| Gravel soil 2 | 2.50 | 350 | 0.28 | 0.045 | 25 |
| Sandy dolomite | 1.71 | 150 | 0.30 | 0.04 | 22 |
| Fragmented dolomite 1 | 1.90 | 350 | 0.28 | 0.07 | 28 |
| Fragmented dolomite 2 | 2.50 | 500 | 0.25 | 0.10 | 35 |
| Weak interlayer | 2.73 | 20 | 0.35 | 0.03 | 10 |
| Specific Weight (kN.m−3) | Elastic Modulus (MPa) | Poisson’s Ratio |
|---|---|---|
| 25 | 3.0 × 104 | 0.20 |
| Pile Length (m) | |||||||||||
|---|---|---|---|---|---|---|---|---|---|---|---|
| 20 | 22 | 24 | 26 | 28 | 30 | 32 | 34 | 35 | 40 | ||
| Maximum principal stress (MPa) | Model 1 | / | 17.96 | 10.12 | 13.82 | 14.38 | 14.14 | 14.54 | 14.57 | 14.76 | 15.20 |
| Model 2 | 17.85 | 18.86 | 18.87 | 19.27 | 19.33 | 17.63 | 17.58 | 16.86 | 17.63 | 18.27 | |
| Maximum shear stress (MPa) | Model 1 | / | 8.15 | 5.52 | 6.79 | 7.10 | 7.01 | 7.21 | 7.20 | 7.21 | 7.45 |
| Model 2 | 8.46 | 9.00 | 9.01 | 9.17 | 9.20 | 9.05 | 9.04 | 8.70 | 9.06 | 9.38 | |
Disclaimer/Publisher’s Note: The statements, opinions and data contained in all publications are solely those of the individual author(s) and contributor(s) and not of MDPI and/or the editor(s). MDPI and/or the editor(s) disclaim responsibility for any injury to people or property resulting from any ideas, methods, instructions or products referred to in the content. |
© 2024 by the authors. Licensee MDPI, Basel, Switzerland. This article is an open access article distributed under the terms and conditions of the Creative Commons Attribution (CC BY) license (https://creativecommons.org/licenses/by/4.0/).
Share and Cite
Shi, G.; Zhang, J.; Lu, M.; Liu, F.; Guo, P.; Wang, C. Full Life Cycle Evaluation of Stability Pile in High Slope with Multi-Layer Weak Interlayers. Appl. Sci. 2024, 14, 12077. https://doi.org/10.3390/app142412077
Shi G, Zhang J, Lu M, Liu F, Guo P, Wang C. Full Life Cycle Evaluation of Stability Pile in High Slope with Multi-Layer Weak Interlayers. Applied Sciences. 2024; 14(24):12077. https://doi.org/10.3390/app142412077
Chicago/Turabian StyleShi, Guie, Jiaming Zhang, Mingzhi Lu, Fei Liu, Pengzheng Guo, and Chenxi Wang. 2024. "Full Life Cycle Evaluation of Stability Pile in High Slope with Multi-Layer Weak Interlayers" Applied Sciences 14, no. 24: 12077. https://doi.org/10.3390/app142412077
APA StyleShi, G., Zhang, J., Lu, M., Liu, F., Guo, P., & Wang, C. (2024). Full Life Cycle Evaluation of Stability Pile in High Slope with Multi-Layer Weak Interlayers. Applied Sciences, 14(24), 12077. https://doi.org/10.3390/app142412077

