Abstract
The semi-autogenous (SAG) mill is crucial equipment in the beneficiation process, and power consumption is a key indicator of its operational status. Due to the complex and variable operating environment, the power consumption of the SAG mill has the characteristics of strong coupling of multiple factors, nonlinearity and uncertainty. In order to effectively extract the features that affect the mill power consumption prediction performance and dynamically adjust the weights of each feature, we propose a hybrid prediction model based on channel attention convolutional network (CACN) and long short-term memory (LSTM). The CACN-based network extracts high-dimensional features of input parameters and dynamically assigns weights to them to better capture the key features that characterize the power consumption of the SAG mill, and the LSTM captures long-term dependencies to enable accurate prediction of SAG mill power consumption. To validate the superiority of the proposed method, actual hourly power consumption data from a SAG mill in the beneficiation plant in Yunnan Province is utilized, and experiments are conducted comparing it with models such as GRU, ARIMA, SVM, LSTM, TCN, CNN-GRU, and CNN-LSTM. Experimental results confirm that the proposed model has better prediction performance than other models, and indicators such as R2 have increased by at least 5%.
    1. Introduction
The mining industry is one of the most energy-intensive industries in the world, comprising 11% of world energy consumption, 38% of industrial energy usage, and 15% of electricity consumption []. In the beneficiation plant, the pulverization circuit is the most energy-consuming unit. As an important equipment in the pulverization circuit, the semi-autogenous (SAG) mill consumes a lot of electricity but has a low energy utilization rate []. In order to reduce costs, the beneficiation plant must adopt better production strategies to improve energy efficiency []. In the past, production strategies were mainly adjusted based on operator experience []. Now, a prediction model can be developed to predict the power consumption of the SAG mill grinding process. Based on the power consumption prediction of the model, the beneficiation plant can adjust the production schedule of the SAG mill to ensure it continues to operate at optimal levels []. Therefore, developing an accurate and practical SAG mill power consumption prediction model is crucial to guide the production of SAG mills.
Different from the time series prediction based on a multi-input parameter problem, the grinding process of the SAG mill is a dynamic process, which is nonlinear and strongly coupled between input parameters. Fluctuations between various parameters will affect each other, which leads to different degrees of influence on power consumption []. In addition, due to the harsh working conditions, the collected SAG mill operating data is uncertain []. These factors hinder the accuracy of the power consumption for the SAG mill.
In recent years, prediction methods based on deep learning have been widely used in the mining industry []. These methods predict mill power consumption through automatic feature extraction and nonlinear mapping. Compared with traditional mechanism models or artificial experience models, deep learning, as a universal approximator, can map complex functions and is therefore highly complex in processing. It shows significant advantages in non-linear prediction tasks [].
Avalos S et al. [] proposed a method to predict SAG mill power consumption using real-time operating variables to significantly improve the power consumption prediction accuracy of SAG mills in mining operations. Inapakurthi R K et al. [] introduced a novel data-driven modeling methodology employing recurrent neural networks (RNNs) to attain auxiliary nonlinear feedback control of mills, and it shows great prediction results of energy consumption. A similar study proposed a new data-driven method called the multi-state approach (MRA) based on the deep neural network (DNN) to better predict the energy consumption of grinding mills [].
However, due to the existence of numerous input parameters, many vital information affecting power consumption prediction cannot be captured in time. It leads to a negative impact on power consumption prediction for the SAG mill. In order to screen out key parameters, scholars have also carried out many studies.
Sadat H F et al. [] developed artificial neural network (ANN) and genetic algorithm neural network (GANN) models using a dataset of 185 full-scale SAG mills. Feed moisture, mass flow rate, mill load cell mass, SAG mill solids percentage, SAG mill water inlet and outlet, and operating index were selected as model inputs. Experiments have shown that GANN is more effective than ANN in predicting SAG power. Hoseinian F S et al. [] developed a new prediction model based on gene expression programming (GEP) to predict SAG mill power and selected feed moisture, mass flowrate, mill load cell weight, SAG mill solid percentage, inlet and outlet water to the SAG mill and work index as the input of GEP. The experimental results show that the GEP model is superior to nonlinear multiple regression (NLMR) in predicting mill power. Tohry A et al. [] established a random forest (RF) model using an industrial ball mill database to explore the relationship between power consumption and monitoring operating parameters, and select the ball charge and work index that are most relevant to the ball mill power consumption as the input of RF. Results show that RF significantly improves power consumption prediction accuracy compared to typical regression methods.
As prediction tasks become more and more complex, a single model is no longer sufficient to meet the requirements of high accuracy, so hybrid models have been widely used in the prediction field. Based on federated learning (FL), Feng et al. [] proposed a personalized model using model-independent meta-learning (MAML), which greatly enhanced the personalization and compatibility of federated learning. In order to solve the client drift (CD) problem, the stochastic controlled average (SCA) algorithm is integrated as a federated aggregation method. Numerical results show that this method can provide high accuracy and robust performance even in the case of data heterogeneity and packet loss. In another study, Tan et al. [] explored the coupling characteristics of node networks and designed a multi-peak feature module based on an initialization strategy and gated temporal convolutional network (GTCN) to reveal the implicit coupling characteristics in node load data. Then, they proposed a new multi-objective neural network model that combines multi-modal feature modules with gated recurrent units (GRU) to simultaneously predict the load of multiple nodes. Simulation results show that this method can effectively capture the spatiotemporal coupling characteristics of multi-node load data and achieve an accurate prediction of node load.
Due to the complexity of data, CNN-LSTM models with strong feature extraction capabilities and temporal dependency capture capabilities are increasingly used in prediction tasks. Pan et al. [] proposed a multi-level tandem learning (METL) model that combines variational mode decomposition (VMD), multi-head convolutional neural network (MCNN), stacked long short-term memory network (SLSTM) and attention mechanism (AT). Experimental results show that the METL model outperforms other single models and classification models and has higher accuracy in iron ore price prediction. Wang et al. [] proposed a new long short-term memory attention model for accurate prediction of drilling pump energy consumption. By combining the long short-term memory (LSTM) network with the attention mechanism, the model can effectively capture the complex nonlinear relationships and long-term dependencies in energy consumption data. Comparative experiments with traditional LSTM and convolutional neural network (CNN) models show that the LSTM-Attention model outperforms these models in multiple evaluation indicators, significantly reduces the prediction error, and enhances robustness and adaptability.
In summary, previous studies have mainly considered parameters with strong correlation with SAG mill power consumption, such as mass flow rate of SAG mill, weight of mill weighing sensor, solid content of SAG mill, inlet and outlet of SAG mill, etc., when predicting SAG mill power consumption, and mostly ignored parameters with weak correlation. These parameters contain key information that affects the power consumption prediction performance and are also of great significance for accurately predicting SAG mill power consumption. Faced with complex data and prediction tasks, CNN-LSTM is a good prediction model, but in previous studies, people’s attention has been focused on better time series prediction after LSTM, and few people have paid attention to the CNN part used for the feature extraction module. As a key equipment in a mineral processing plant, the SAG mill has a complex operating status and diverse operating data patterns. Therefore, clarifying the relationship between input parameters in the SAG mill power consumption task, effectively extracting the key features of the operating parameters, and assigning weights to each feature according to its importance to achieve accurate prediction of SAG mill power consumption is an urgent problem to be solved.
In order to effectively extract the effective features of the SAG mill operating parameters and accurately predict the power consumption of the SAG mill during the grinding process, this paper proposes a hybrid prediction model that combines the channel attention convolutional network (CACN) and the long short-term memory (LSTM) to accurately predict the power consumption of the SAG mill. The main work of the paper is as follows:
- The Pearson correlation coefficient (PCC) is used to screen the real-time operation data collected from the production process of the SAG mill, and the key parameters that affect the power consumption of the SAG mill are selected for modeling, thereby effectively reducing data redundancy.
 - Based on the improved CNN network, high-dimensional features of different input parameters are extracted, and weights are adaptively assigned to the high-dimensional features so that the weak correlation coefficient can also play a role in the prediction of semi-autogenous grinding power consumption.
 - Combining the advantages of CACN and LSTM, a new hybrid power consumption prediction model is proposed to achieve accurate prediction of the power consumption of the SAG mill. The effectiveness of the model is verified based on the measured data of the SAG mill in a mine in Yunnan.
 
2. Methodology
2.1. Pearson Correlation Coefficient Method
Accurate power consumption prediction for an SAG mill is crucial for the efficient operation of the beneficiation plants and the rational allocation of electricity. Selecting appropriate input parameters is key to achieving reliable SAG mill power consumption prediction. However, in practical applications, the acquired data may be highly dimensional. In order to solve this problem, dimensionality reduction techniques are usually used for variable screening.
The PCC method is frequently employed to evaluate the linear correlation between two normally distributed continuous variables, with the correlation degree ranging from −1 to 1. If PCC values are greater than 0, it signifies a positive correlation between the two variables. If the PCC value is less than 0, it signifies a negative correlation between the two variables. A PCC value of 0 means there is no correlation between the two variables. The PCC value between variables X and Y signifies the strength of the linear correlation between these two variables. The PCC calculation formula is as follows:
      
        
      
      
      
      
    
        where  and  represent the mean values of variables X and Y, respectively. Table 1 provides the classification criteria for correlation coefficients, as per the rules in reference [].
       
    
    Table 1.
    Classification Criteria for Correlation Coefficients.
  
2.2. CNN
The CNN structure is shown in Figure 1, which mainly consists of three parts: convolutional layer, pooling layer and fully connected layer []. It can use convolutional and pooling layers to extract feature information [].
      
    
    Figure 1.
      The structure of CNN.
  
The convolution layer is the core of the CNN model. The convolution calculation uses the convolution kernel to perform a sliding window operation on the input data to extract features. In addition, this process considers the local variance of the input data in order to capture more comprehensive information about the variation and structure of localized regions, as shown in Equation (2) [].
        
      
        
      
      
      
      
    
In Equation (2), the convolution kernel is ,.  is the height of the convolution kernel, and  is the width of the convolution kernel.  is the bias parameter,  is a ReLU nonlinear function,  is a key parameter related to the power consumption of the SAG mill,  is the number of key parameters,  is the convolution operation, and  is the result of the convolution calculation. The convolution kernel selected in this paper is 3 × 1; that is, the height is 3 and the width is 1. The convolution window slides down at a step size of 1 to obtain the local feature vector  of the input parameter.
The role of the pooling layer is to sample the convolution results, reduce the size of the convolutional vectors, and prevent overfitting. All sampled eigenvalues are combined into the output  of the CNN. This paper adopts the maximum pooling method, and the formula is as follows:
      
        
      
      
      
      
    
Here,  refers to the result of applying max pooling to the -th convolutional result, .
2.3. Channel Attention Embedded in CNN
The multiple 1-D time series will produce different high-dimensional features after passing through the convolutional layers of the CNN. However, some irrelevant features may also be extracted by the network, which distracts the focus of the prediction network and reduces prediction accuracy. In addition, CNN may face the problem of channel dependence, which can negatively affect the model’s ability to identify key features and reduce its generalization ability. Channel dependency refers to the interrelationships between different channels or feature maps in CNN. These dependencies indicate how the features from one channel can influence the features of other channels, which is crucial for capturing the complex patterns in the data. In order to further alleviate the channel dependency problem of the model and improve the model’s sensitivity to important features, Hu et al. [] proposed the Squeeze-and-Excitation block, alternatively referred to as the channel attention mechanism. This paper refers to the Squeeze-and-Excitation block as the Squeeze-and-Excitation Layer (SE Layer). The SE Layer dynamically recalibrates the inter-channel responses of feature maps, enabling the model to adaptively learn the importance of each feature. In addition, assign higher weights to key features to enhance the feature expression ability of the model.
2.3.1. SE Layer
The structure of the SE Layer is shown in Figure 2. It primarily consists of three algorithmic modules: Squeeze, Excitation, and Scale.
      
    
    Figure 2.
      Structure of SE Layer.
  
The squeeze algorithm module consists of a global average pooling layer. In order to solve the problem of channel dependency, the global average pooling method is used to compress the global spatial information into a channel descriptor. Global average pooling is applied to each channel, and the feature map containing global information in each channel is directly compressed into a feature vector. In this way, the generated channel-level statistics  contain contextual information, alleviating the problem of channel dependency. The calculation formula of  is as follows:
      
        
      
      
      
      
    
          where  denotes the output of the -th channel,  signifies the element located in the -th row and -th column of the -th channel, while  and  indicate the dimensions (rows and columns) of the -th input channel, and  represents the total number of channels. In this paper, .
The excitation algorithm module consists of two stacked linear layers to capture the channel dependencies fully. To handle the nonlinear relationships between channels, the ReLU function is applied after the first linear layer, and the Sigmoid function is applied after the second linear layer. After two linear layers, we obtain the weights assigned to each channel. After assigning channel weights to the input data, the focus of the model on important signals is significantly enhanced []. The formula is as follows:
      
        
      
      
      
      
    
          where  and  are the parameter matrices of the two linear layers,  represents the ReLU function, and  represents the Sigmoid function.
The scale algorithm module incorporates the weight produced by the Sigmoid function into the original feature, modifies its significance, and enhances network focus. The formula is as follows:
      
        
      
      
      
      
    
          where  denotes the multiplication between elements and  is the original feature.
2.3.2. CACN: Adaptive Feature Weight Assignment
Figure 3 illustrates the architecture of the created CNAN. The CACN network consists of two convolutional layers and a SE Layer. The convolutional layers are used for feature extraction of the input parameters, while the SE layer adaptively assigns weights to the extracted high-dimensional features, thereby accentuating the significance of vital elements while reducing the impact of non-critical features.
      
    
    Figure 3.
      The framework of CACN.
  
The CACN network is processed as follows.
Step 1. The selected key parameters () are used as the input to the CACN convolutional layer, resulting in high-dimensional features . The formula is Equation (2). Higher dimensional features that can potentially characterize the power consumption of the SAG mill are obtained by nonlinear mapping of the input parameters. The adaptive assignment of the high-dimensional features in the next step yields significant key information and  is used as input for the SE layer.
Step 2. In order to adaptively learn the significance of high-dimensional features and enhance focus on important features,  is processed through the SE Lyer to obtain the weight matrix  of high-dimensional features with different sensitivities to SAG mill power consumption. The weight  is calculated by Equation (5). Weighting  to  yields the adaptively weighted high-dimensional feature . The formula is Equation (6).
2.4. LSTM
LSTM is a variant of RNN introduced by Hochreiter and Schmidhuber []. The architecture of LSTM consists of four gates: the forget gate (), update gate (), input gate (), and output gate (), along with a memory cell known as the cell []. Figure 4 illustrates the structure of LSTM. The pertinent equations are Equations (7)–(12), described as follows: where  and , () are the weight matrices and biases related to the control gates, the output  from the previous time step and the current input  are used as inputs to the LSTM,  and  represent the cell states at the previous and current time steps, respectively,  denotes the sigmoid activation function, and  represents the hyperbolic tangent activation function.
        
      
        
      
      
      
      
    
      
    
    Figure 4.
      The structure of LSTM.
  
3. Power Consumption Prediction Model of SAG Mill Based on CACN-LSTM
In order to accurately and reliably predict the power consumption of SAG mills, a hybrid prediction model, CACN-LSTM, which integrates CACN and LSTM, is proposed to predict the power of SAG mills. It consists of three main parts: local feature extraction based on CNN, adaptive feature weighting based on SE, and power consumption prediction based on LSTM. The framework of this prediction network is shown in Figure 5. The specific steps are as follows:
      
    
    Figure 5.
      The framework of CACN-LSTM.
  
Step 1. The relevant variables  affecting the power consumption of the grinding process of the SAG mill are inputted into the CNN. First, a one-dimensional convolution operation is performed, resulting in the convolved operation outcome . Then, a convolution window of size 3 × 1 with a stride of 1 is used to slide down, and after convolution through two convolutional layers, the local feature vector  is obtained.
Step 2. The local feature vector  is input into the SE module. Firstly, the squeeze module performs global average pooling on the input features of each channel, resulting in . Since the input data in power prediction are all one-dimensional time series, the input data for each channel is 1 column; that is, . At this time, ,  is the element in the m-th row and n-th column of the c-th channel. Secondly, the excitation module assigns weights to the input features of different channels to obtain . Finally, the weights are assigned to the original features through the Scale module to obtain .
Step 3. The features extracted through CNN and SE are input into the LSTM, and the final predicted power consumption value of  the SAG mill can be obtained through the LSTM.
4. Experiments
4.1. Data Description
The data acquisition system of the deep copper series SAG mill of a certain ore beneficiation plant in Yunnan is shown in Figure 6. Various operating parameters of the semi-autogenous mill are collected in real time through various sensors. The key operating parameters captured in the dataset used in this paper include ore feed rate (OFR), sand return rate (SRR), feed end pressure (FEP), discharge end pressure (DEP), grinding noise (GS), water feed rate (WFR), inlet side bearing temperature (ISBT), outlet side bearing temperature (OSBT), motor temperature (MT), and power consumption (PC).
      
    
    Figure 6.
      Mineral processing plant data acquisition system.
  
In this paper, real-time data from a SAG mill (CITIC Heavy Industries, Luoyang, China) of a deep copper series in a beneficiation plant in Yunnan, covering the period from 1 June 2023, at 1:00 AM to 14 December 2023, at 4:00 PM, are utilized for the experiments. Table 2 lists the statistical characteristics of the selected key parameters. The data acquisition system of this beneficiation plant records data at one-hour intervals, resulting in a total of 4610 samples over six months. For this paper, five months of data are employed as the training set, while the remaining month is used as the test set. The training set consists of 4281 samples, and the test set comprises 329 samples.
       
    
    Table 2.
    Statistical Characterization of Key Parameters of the SAG Mill Grinding Process.
  
4.2. Parameter Settings and Hyperparameters Experiment
Due to the inherent randomness of deep learning algorithms, we conduct 10 trials for each of the eight models to enhance the reliability of the results, taking the average of the 10 trials as the final outcome. Based on the experiments conducted, this paper analyzes the performance of different models on the SAG mill grinding process dataset and evaluates the accuracy of the prediction results. The parameter settings for the CACN-LSTM model are shown in Table 3, which are obtained after multiple trials. The Adam optimization algorithm is employed to optimize the other parameters of the prediction model, with a learning rate of 0.001.
       
    
    Table 3.
    Hyper-parameter set for CACN-LSTM.
  
After the general parameter setting, we conducted hyperparameter selection experiments to optimize the model. A grid search was performed for multiple hyperparameters. Table 4 is a summary of the parameters considered and the value ranges explored.
       
    
    Table 4.
    Hyperparameter grid search set for LSTM.
  
As shown in Figure 7a, the model shows the best overall performance on the dataset when the number of units is 64. The performance decreases when the number of units is 128, indicating overfitting. Although the overall results are relatively good when the number is 32, 128 units provide the best overall accuracy.
      
    
    Figure 7.
      Experimental results of hyperparameter settings. (a) R2 of different units. (b) R2 of different layers. (c) R2 of different batch sizes.
  
Similarly, in Figure 7b,c, due to non-convergence, the performance is not as good when the number of hidden layers is 1 as when the number of hidden layers is 2. When the number of hidden layers exceeds 2, the prediction accuracy decreases beyond 2 layers due to overfitting. A batch size of 64 provides the best prediction results, with smoother fluctuations and avoids overfitting.
Our CACN-LSTM model achieved a high accuracy starting from 50 epochs. To ensure the accuracy of the prediction and keep it consistent with other models, we set the epoch to 100. Comparing the effect analysis of TCN, LSTM, GRU, CNN-LSTM, and CNN-GRU, the parameter settings are shown in Table 5.
       
    
    Table 5.
    Baseline Model Parameter Settings for Comparative Experiments.
  
It should be noted that in the above models, the CNN settings in CNN-LSTM and CNN-GRU are the same as those of CACN-LSTM. Since SVM and ARIMA have different parameters from deep learning algorithms, they are explained separately here. In SVM, the RBF kernel is selected as c = 10, epsilon = 0.1, and gamma = ’scale’. In ARIMA, p = 2, d = 1, q = 2.
4.3. Evaluation Indicators
In order to quantitatively assess the performance of the model, this paper selects root mean square error (RMSE), mean absolute error (MAE), mean absolute percentage error (MAPE), and coefficient of determination (R2) as the evaluation metrics.
The RMSE is a statistic used to measure the difference between the predicted results of a model and the actual observations []. The RMSE is calculated as shown in Equation (13).
        
      
        
      
      
      
      
    
The MAE denotes the mean of absolute errors, denoting the mean magnitude of discrepancies between two sets of measurements []. The MAE is calculated as shown in Equation (14).
        
      
        
      
      
      
      
    
The MAPE is a metric that quantifies the relative error between actual and predicted power consumption []. The calculation of MAPE is shown in Equation (15). A smaller MAPE value indicates more stable prediction results and better predictive performance.
        
      
        
      
      
      
      
    
The R2 signifies the extent of fit between the predicted values and the actual values []. The calculation of R2 is shown in Equation (16). The higher the R2, the better the fit.
        
      
        
      
      
      
      
    
        where  represents the predicted values,  represents the original actual values,  is the sample size, and  represents the mean value of SAG power consumption samples.
4.4. Data Preprocessing
As shown in Table 2, the data ranges and fluctuations of different variables are different. In order to ensure the accuracy of model calculations and optimize calculation efficiency, a data normalization operation is performed.
Normalization adjusts the data to a range between 0 and 1 by translation and mapping, hence reducing the influence of numerical disparities on the model. The normalization process is calculated as shown in Equation (17) [].
        
      
        
      
      
      
      
    
        where  means the mean of .
In the process of collecting real-time data from the SAG mill, some outliers may exist in the raw data due to a variety of reasons, including human operation and system failure. For the outliers existing in the raw data, the box-and-line diagram method was used to detect and remove the outliers, and then the interpolation method was used to interpolate the values using the linear interpolation method.
Figure 8 presents the boxplots of the data before preprocessing and after preprocessing. Evidently, Figure 8a demonstrates that the variables FEP, DEP, WFR, ISBT, OSBT and MT exhibit no outliers. From Figure 8b, the outliers in the data after preprocessing are effectively removed, and reasonable interpolation is performed.
      
    
    Figure 8.
      Box plots of the data before preprocessing and after preprocessing. (a) Box plot of data before preprocessing; (b) Box plot of the processed data.
  
4.5. Comparative Analysis of Experimental Results
To demonstrate the outstanding performance of the suggested prediction model, we compare it to SVM, ARIMA, GRU, LSTM, TCN [], CNN-GRU [], and CNN-LSTM. Experiments are conducted on a dataset of power consumption during the SAG mill grinding process, and the performance of different models is analyzed.
This study uses the Python programming language to build a neural network model and implements the proposed method using the PyTorch framework (v.23.11) for model construction and training. The experiments were conducted on a laptop equipped with a 13th-generation Intel® Core™ i7-13650HX processor, 16 GB of RAM, an NVIDIA GeForce RTX 4060 GPU, and the Windows 11 operating system (Santa Clara, CA, USA).
4.5.1. Key Parameter Selection Results and Analysis
On the basis of calculating the PCC and combining the actual data generated by the SAG mill grinding process monitored by the beneficiation plant, variables with low correlation and above are selected as input parameters of the SAG mill power prediction model according to Table 1. Finally, seven key parameters were selected as the input of the hybrid model. The selected parameters include OFR, SRR, FEP, DEP, GS, WFR, and MT. The power consumption of the SAG mill grinding process is used as the model output. Figure 9 shows the heatmap of PCC between the selected parameters and the power consumption of the SAG mill. As can be seen from Figure 9, the ore feed rate, water feed rate, and power consumption are negatively correlated, and the remaining parameters are positively correlated with power consumption. Different input parameters have different effects on power consumption, and the degree of correlation between different parameters is also different. Therefore, considering the importance of different parameters is very important for the construction of the prediction model. Table 6 provides a detailed description and explanation of the selected parameters.
      
    
    Figure 9.
      Input parameter correlation.
  
       
    
    Table 6.
    The key parameter during the grinding process.
  
4.5.2. Analysis of Prediction Results
- (1)
 - Power consumption prediction
 
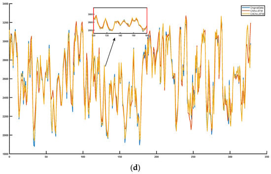
To intuitively illustrate the prediction performance of the proposed CACN-LSTM model, Figure 10 shows the prediction results of the proposed model and the baseline models on the power consumption dataset of the SAG mill grinding process.

      
    
    Figure 10.
      Prediction results of different models. (a) Power consumption prediction based on SVM and ARIMA. (b) Power consumption prediction based on GRU and LSTM. (c) Power consumption prediction based on TCN and CNN-GRU. (d) Power consumption prediction based on CNN-LSTM and CACN-LSTM.
  
From the prediction results shown in Figure 10a, the performance of SVM and ARIMA in predicting the power consumption trend of the SAG grinding process is generally unsatisfactory. In addition, the local prediction is poor, making it difficult to forecast the local peaks in power consumption variation, which is primarily due to their inadequate feature capture ability.
Compared with SVM and ARIMA, GRU and LSTM show better prediction performance. From Figure 10b, they can predict the changing trend and local peak of power consumption relatively effectively, but there is still much room for improvement.
Compared to GRU and LSTM, the CNN-GRU, TCN, and CNN-LSTM models with added convolution operations have partial local feature extraction capabilities and can effectively predict local trends. However, they still face challenges in accurately predicting obvious peaks and troughs.
As shown in Figure 10d, the predictions of the CACN-LSTM model closely align with the original data, accurately predicting not only the overall trend and local trends of power consumption but also effectively predicting significant peaks and troughs. This indicates that the proposed CACN-LSTM model is capable of reliably and accurately predicting the local variations and overall trends in power consumption during the SAG mill grinding process.
To visualize the adaptive weighting process of high-dimensional features by the CACN-LSTM model, the high-dimensional feature weights from a certain epoch during the training process are visualized.
As shown in Figure 11, the horizontal coordinate is the feature dimension, and the vertical coordinate is the size of the time window. The area marked by the blue box indicates a decrease in attention, while the area marked by the green box indicates an increase in attention. Upon analyzing Figure 11a,b, the colors of the 23rd and 36th high-dimensional features in the heatmap are fading, indicating that the attention is less focused on these features. In contrast, the attention is more focused on the 11th and 17th high-dimensional features. Figure 11c shows the weights assigned by the channel attention mechanism to each high-dimensional feature, with a range from 0.50 to 0.64. It can also be clearly seen from Figure 11c that among the high-dimensional feature weights after training, the weights of the 11th and 17th high-dimensional features are relatively high, while the weights of the 23rd and 36th high-dimensional features are low. This is consistent with the weight changes during the training process shown in Figure 11a,b.
      
    
    Figure 11.
      The weights of the high-dimensional features. (a) High-dimensional feature weights without channel attention. (b) High-dimensional feature weights with channel attention. (c) The weight of each channel.
  
In summary, CACN-LSTM effectively predicts the trend features and peak (crest and trough) characteristics of SAG mill power changes. It addresses the issue of key features being easily submerged in previous models during predictions.
- (2)
 - Model comparative analysis
 
The prediction accuracy of the proposed CACN-LSTM model is evaluated using four metrics, i.e., MAE, RMSE, MAPE, and R2. Table 4 shows the sample measurement accuracy results of the CACN-LSTM model and the baseline model for the SAG mill power consumption dataset of the grinding process. Figure 12 shows the box plots of different metrics for each model. Figure 13 shows the comparison of the final accuracy metrics of different models.
      
    
    Figure 12.
      Box plots of prediction metrics. (a) MAE box plots of different models; (b) RMSE box plots of different models; (c) MAPE box plots of different models; (d) R2 box plots of different models.
  
      
    
    Figure 13.
      Prediction metrics of different models. (a) MAE for different models. (b) RMSE for different models. (c) MAPE for different models. (d) R2 for different models.
  
From Table 7, it is evident that the proposed CACN-LSTM model consistently outperforms the benchmark model in terms of MAE, RMSE, MAPE, and R2. By comparing the prediction performance of the three models, LSTM, CNN-LSTM, and CACN-LSTM, it can be concluded that the CACN-LSTM model exhibits the best prediction performance. Furthermore, the results from the three sets of experiments illustrate the effectiveness of incorporating the channel attention mechanism.
       
    
    Table 7.
    Evaluation metrics of different models.
  
As can be seen from the box plot in Figure 12, the proposed CACN-LSTM model achieves the best results in terms of MAE, RMSE, MAPE, and R2. As can be seen from Figure 12, the fluctuation range of each indicator of CACN-LSTM is also the smallest, indicating that CACN-LSTM not only has high prediction accuracy but also surpasses the benchmark model in terms of stability.
Figure 13 shows the different evaluation metrics for each model. The validation through various metrics demonstrates that the proposed model outperforms the others. The MAE value for CACN-LSTM is 57.156, the RMSE value is 65.625, the MAPE value is 2.032, and the R2 value is 0.935, all of which are superior to those of the other models. These results indicate that the CACN-LSTM model scores the highest across different evaluation metrics, followed by CNN-LSTM and CNN-GRU.
In summary, the proposed CACN-LSTM model consistently outperforms the baseline model in terms of prediction accuracy. In addition, the results of ablation experiments show that CACN is effective in feature extraction of the SAG grinding process power consumption dataset.
- (3)
 - Prediction values distribution
 
In addition to analyzing the predictive performance and results of the model based on the result plots and evaluation metrics, this paper additionally assesses the model according to the distribution of its predicted values.
The horizontal coordinates in Figure 14 represent the actual power consumption, while the vertical coordinates denote the predicted power consumption. The blue dots represent the distribution of predicted values, and the red line represents the true value. The distance from the blue dots to the red line signifies the distance between the model’s predicted value and the actual value. The closer the blue dots are to the red line, the more accurate the prediction result.
      
    
    Figure 14.
      The distribution of prediction values and true values. (a) The prediction distribution of SVM; (b) The prediction distribution of ARIMA; (c) The prediction distribution of GRU; (d) The prediction distribution of LSTM; (e) The prediction distribution of TCN; (f) The prediction distribution of CNN-GRU; (g) The prediction distribution of CNN-LSTM; (h) The prediction distribution of CACN-LSTM.
  
As can be seen from Figure 14, the blue points in Figure 14a–d are more dispersed and far from the red line, indicating that the model prediction effect is poor. In Figure 14e–g, the distribution of blue points is more concentrated than that in Figure 14a–d, and the distance between the blue points and the red line is closer, indicating that the models in Figure 14e–g have higher accuracy. In Figure 14h, the blue points are very concentrated and almost all are located near the red line, indicating that the prediction effect of CACN-LSTM in Figure 14h is the best. Therefore, the CACN-LSTM model proposed in this paper has a higher accuracy in the task of predicting the power consumption of the SAG mill grinding process.
5. Conclusions
This paper proposes a hybrid prediction model, CACN-LSTM, which combines CACN with LSTM to improve the accuracy of power consumption prediction for SAG mills. The model is tested using actual power consumption data from the deep copper series SAG milling process of a Yunnan ore dressing plant. Experimental results show that CACN-LSTM significantly outperforms several commonly used models, including CNN-LSTM, SVM, ARIMA, LSTM, GRU, TCN, and CNN-GRU. In terms of evaluation indicators, the CACN-LSTM model has a MAE of 57.156, an RMSE of 65.625, a MAPE of 2.032, and an R2 of 0.935, demonstrating its excellent prediction performance.
The proposed method not only improves the accuracy of power consumption prediction for SAG mills but also provides a new solution for predicting the power consumption of complex equipment in ore dressing plants. The CACN-LSTM model has made significant progress in the field of energy consumption prediction for industrial processes by effectively extracting key features and adaptively adjusting the weights of multiple features.
The current prediction model mainly extracts features from multiple factors that affect the power consumption of SAG mills and dynamically adjusts the weights. However, the power consumption data of SAG mills has obvious time series characteristics, and the current model does not fully consider the time dimension when processing such data. In the subsequent improvement of the model, a time attention mechanism can be introduced to enhance the model’s attention to key time points.
Author Contributions
Conceptualization, D.Z., Y.Z. and J.M.; methodology, D.Z., X.X., C.S. and J.M.; software, D.Z., C.S., Y.Z. and J.M.; validation, D.Z., X.X., C.S. and Y.Z.; formal analysis, D.Z and Y.Z.; investigation, D.Z., C.S. and Y.Z.; resources, D.Z., X.X., C.S. and J.M.; data curation, C.S., X.X. and J.M.; writing—original draft preparation, D.Z. and Y.Z.; writing—review and editing, D.Z. and X.X.; visualization, D.Z. and X.X.; supervision, C.S. and Y.Z.; project administration, C.S. and J.M.; funding acquisition, C.S. and J.M. All authors have read and agreed to the published version of the manuscript.
Funding
This research and the APC were funded by the Yunnan Provincial Major Science and Technology Special Project and the Yunnan Provincial Basic Research Program Project. number: 202202AD080005, 202401AW070014, 202401BN070001-007.
Institutional Review Board Statement
Not applicable.
Informed Consent Statement
Not applicable.
Data Availability Statement
Since the data are a part of ongoing research, the data set provided in this paper is not easy to obtain. The data presented in this study are available on request from the corresponding author.
Acknowledgments
Thanks to Wenhao Ding, Junjia Zhang, and Lijing Su for their valuable suggestions, making it possible for us to complete this research.
Conflicts of Interest
The authors declare no conflict of interest.
Nomenclature
| SAG mill | Semi-autonomous mill | VMD | variational mode decomposition | 
| CACN | channel attention convolutional network | MCNN | multi-head convolutional neural network | 
| LSTM | long short-term memory | SLSTM | stacked long short-term memory network | 
| RNN | recurrent neural network | AT | attention mechanism | 
| MRA | multi-state approach | CNN | convolutional neural network | 
| DNN | deep neural network | PCC | Pearson correlation coefficient | 
| ANN | artificial neural network | OFR | ore feed rate | 
| GANN | genetic algorithm neural network | SRR | sand return rate | 
| GEP | gene expression programming | FEP | feed end pressure | 
| NLMR | nonlinear multiple regression | DEP | discharge end pressure | 
| RF | random forest | GS | grinding sound | 
| FL | federated learning | WFR | water feed rate | 
| MAML | model-independent meta-learning | ISBT | inlet side bearing temperature | 
| CD | client drift | OSBT | outlet side bearing temperature | 
| SCA | stochastic controlled average | MT | motor temperature | 
| GTCN | gated temporal convolutional network | PC | power consumption | 
| GRU | gated recurrent units | SE Layer | Squeeze-and-Excitation Layer | 
| METL | multi-level tandem learning | 
References
- Igogo, T.; Awuah-Offei, K.; Newman, A.; Lowder, T.; Engel-Cox, J. Integrating renewable energy into mining operations: Opportunities, challenges, and enabling approaches. Appl. Energy 2021, 300, 117375. [Google Scholar] [CrossRef]
 - Cleary, P.W. Charge behaviour and power consumption in ball mills: Sensitivity to mill operating conditions, liner geometry and charge composition. Int. J. Miner. Process. 2001, 63, 79–114. [Google Scholar] [CrossRef]
 - Assawamartbunlue, K.; Surawattanawan, P.; Luknongbu, W. Specific energy consumption of cement in Thailand. Energy Procedia 2019, 156, 212–216. [Google Scholar] [CrossRef]
 - Liu, G.; Wang, K.; Hao, X.; Zhang, Z.; Zhao, Y.; Xu, Q. SA-LSTMs: A new advance prediction method of energy consumption in cement raw materials grinding system. Energy 2022, 241, 122768. [Google Scholar] [CrossRef]
 - Liu, J.; Zhang, S.; Wagner, F. Exploring the driving forces of energy consumption and environmental pollution in China’s cement industry at the provincial level. J. Clean. Prod. 2018, 184, 274–285. [Google Scholar] [CrossRef]
 - Ghalandari, V.; Iranmanesh, A. Energy and exergy analyses for a cement ball mill of a new generation cement plant and optimizing grinding process: A case study. Adv. Powder Technol. 2020, 31, 1796–1810. [Google Scholar] [CrossRef]
 - Nhuchhen, D.R.; Sit, S.P.; Layzell, D.B. Alternative fuels co-fired with natural gas in the pre-calciner of a cement plant: Energy and material flows. Fuel 2021, 295, 120544. [Google Scholar] [CrossRef]
 - Loudari, C.; Cherkaoui, M.; Bennani, R.; Harraki, I.E.; Younsi, Z.E.; Adnani, M.E.; Abdelwahed, E.H.; Benzakour, I.; Bourzeix, F.; Baina, K. In Predicting energy consumption of grinding mills in mining industry: A review. In AIP Conference Proceedings, 2023; AIP Publishing: College Park, MD, USA, 2023. [Google Scholar]
 - Khan, W.A.; Chung, S.H.; Awan, M.U.; Wen, X. Machine learning facilitated business intelligence (Part I) Neural networks learning algorithms and applications. Ind. Manag. Data Syst. 2020, 120, 164–195. [Google Scholar] [CrossRef]
 - Avalos, S.; Kracht, W.; Ortiz, J.M. Machine learning and deep learning methods in mining operations: A data-driven SAG mill energy consumption prediction application. Min. Metall. Explor. 2020, 37, 1197–1212. [Google Scholar] [CrossRef]
 - Inapakurthi, R.K.; Miriyala, S.S.; Mitra, K. Recurrent neural networks based modelling of industrial grinding operation. Chem. Eng. Sci. 2020, 219, 115585. [Google Scholar] [CrossRef]
 - Kahraman, A.; Kantardzic, M.; Kahraman, M.M.; Kotan, M. A data-driven multi-regime approach for predicting energy consumption. Energies 2021, 14, 6763. [Google Scholar] [CrossRef]
 - Sadat, H.F.; Aliakbar, A.; Bahram, R. Semi-autogenous mill power prediction by a hybrid neural genetic algorithm. J. Cent. South Univ. 2018, 25, 151–158. [Google Scholar]
 - Hoseinian, F.S.; Faradonbeh, R.S.; Abdollahzadeh, A.; Rezai, B.; Soltani-Mohammadi, S. Semi-autogenous mill power model development using gene expression programming. Powder Technol. 2017, 308, 61–69. [Google Scholar] [CrossRef]
 - Tohry, A.; Chelgani, S.C.; Matin, S.; Noormohammadi, M. Power-draw prediction by random forest based on operating parameters for an industrial ball mill. Adv. Powder Technol. 2020, 31, 967–972. [Google Scholar] [CrossRef]
 - Feng, C.; Shao, L.; Wang, J.; Zhang, Y.; Wen, F. Short-term Load Forecasting of Distribution Transformer Supply Zones Based on Federated Model-Agnostic Meta Learning. IEEE Trans. Power Syst. 2024, 1–13. [Google Scholar] [CrossRef]
 - Tan, M.; Hu, C.; Chen, J.; Wang, L.; Li, Z. Multi-node load forecasting based on multi-task learning with modal feature extraction. Eng. Appl. Artif. Intell. 2022, 112, 104856. [Google Scholar] [CrossRef]
 - Pan, W.; Liu, S.Q.; Kumral, M.; D’Ariano, A.; Masoud, M.; Khan, W.A.; Bakather, A. Iron ore price forecast based on a multi-echelon tandem learning model. Nat. Resour. Res. 2024, 33, 1969–1992. [Google Scholar] [CrossRef]
 - Wang, C.; Yan, Z.; Li, Q.; Zhu, Z.; Zhang, C. Energy Consumption Prediction for Drilling Pumps Based on a Long Short-Term Memory Attention Method. Appl. Sci. 2024, 14, 10750. [Google Scholar] [CrossRef]
 - Niu, D.; Yu, M.; Sun, L.; Gao, T.; Wang, K. Short-term multi-energy load forecasting for integrated energy systems based on CNN-BiGRU optimized by attention mechanism. Appl. Energy 2022, 313, 118801. [Google Scholar] [CrossRef]
 - Alharkan, H.; Habib, S.; Islam, M. Solar power prediction using dual stream CNN-LSTM architecture. Sensors 2023, 23, 945. [Google Scholar] [CrossRef]
 - Yu, J.; Shao, J.; Peng, X.; Liu, T.; Yao, Q. Remaining Useful Life of the Rolling Bearings Prediction Method Based on Transfer Learning Integrated with CNN-GRU-MHA. Appl. Sci. 2024, 14, 9039. [Google Scholar] [CrossRef]
 - Cheng, W.; Wang, Y.; Peng, Z.; Ren, X.; Shuai, Y.; Zang, S.; Liu, H.; Cheng, H.; Wu, J. High-efficiency chaotic time series prediction based on time convolution neural network. Chaos Solitons Fractals 2021, 152, 111304. [Google Scholar] [CrossRef]
 - Hu, J.; Shen, L.; Sun, G. Squeeze-and-excitation networks. In Proceedings of the IEEE Conference on Computer Vision and Pattern Recognition, Salt Lake City, UT, USA, 18–22 June 2018; pp. 7132–7141. [Google Scholar]
 - Lin, L.; Wu, J.; Fu, S.; Zhang, S.; Tong, C.; Zu, L. Channel attention & temporal attention based temporal convolutional network: A dual attention framework for remaining useful life prediction of the aircraft engines. Adv. Eng. Inform. 2024, 60, 102372. [Google Scholar]
 - Hochreiter, S. Long Short-Term Memory; Neural Computation MIT-Press: La Jolla, CA, USA, 1997. [Google Scholar]
 - Sang, S.; Li, L. A Stock Prediction Method Based on Heterogeneous Bidirectional LSTM. Appl. Sci. 2024, 14, 9158. [Google Scholar] [CrossRef]
 - Tan, S.; Ke, X.; Pang, Z.; Mao, J. Dynamic Response Prediction of Railway Bridges Considering Train Load Duration Using the Deep LSTM Network. Appl. Sci. 2024, 14, 9161. [Google Scholar] [CrossRef]
 - Gao, R.; Du, L.; Yuen, K.F. Robust empirical wavelet fuzzy cognitive map for time series forecasting. Eng. Appl. Artif. Intell. 2020, 96, 103978. [Google Scholar] [CrossRef]
 - Li, X.; Kang, Y.; Li, F. Forecasting with time series imaging. Expert Syst. Appl. 2020, 160, 113680. [Google Scholar] [CrossRef]
 - Lin, G.; Lin, A.; Cao, J. Multidimensional KNN algorithm based on EEMD and complexity measures in financial time series forecasting. Expert Syst. Appl. 2021, 168, 114443. [Google Scholar] [CrossRef]
 - Lin, W.-H.; Wang, P.; Chao, K.-M.; Lin, H.-C.; Yang, Z.-Y.; Lai, Y.-H. Wind power forecasting with deep learning networks: Time-series forecasting. Appl. Sci. 2021, 11, 10335. [Google Scholar] [CrossRef]
 - Cui, J.; Kuang, W.; Geng, K.; Bi, A.; Bi, F.; Zheng, X.; Lin, C. Advanced Short-Term Load Forecasting with XGBoost-RF Feature Selection and CNN-GRU. Processes 2024, 12, 2466. [Google Scholar] [CrossRef]
 
Disclaimer/Publisher’s Note: The statements, opinions and data contained in all publications are solely those of the individual author(s) and contributor(s) and not of MDPI and/or the editor(s). MDPI and/or the editor(s) disclaim responsibility for any injury to people or property resulting from any ideas, methods, instructions or products referred to in the content.  | 
© 2024 by the authors. Licensee MDPI, Basel, Switzerland. This article is an open access article distributed under the terms and conditions of the Creative Commons Attribution (CC BY) license (https://creativecommons.org/licenses/by/4.0/).