Featured Application
The presented study proposes technology for increasing stealth and preventing the unmasking of objects, including orbital ones, by forming a complex two-period surface microstructure using femtosecond laser processing.
Abstract
Currently, the technology of imparting the necessary reflective properties to a surface is becoming increasingly important. Darkening the surface and matting it helps to diffuse the reflected beam and prevent glare. The surface’s reflective properties are determined by its microstructure. Modern pico- and femtosecond lasers make it possible to obtain surfaces with high precision and create various LIPSS (laser-induced periodic surface structure) types. In this article, we describe the process of formation of a complex two-periodic microstructure on the surface of AISI 321 stainless steel under the influence of radiation from femtosecond lasers and describe the process of scattering of a light beam by the resulting surface. Modeling shows that the presence of an additional transparent coating on a flat surface does not improve its scattering properties and does not eliminate glare. In the event that a complex two-periodic structure is formed on the reflective surface and the coating surface, the nature of the reflection has a clearly defined scattered character, regardless of the angle of incidence of the light beam. This study shows the feasibility and effectiveness of forming a two-periodic structure in order to give it stealth characteristics and reduce visibility.
1. Introduction
Complex ordered surface microreliefs in modern production are formed by laser processing. Recently, the use of short-pulse laser effects in the femtosecond time range has been of great interest to researchers. The energy parameters of such lasers make it possible to create not only craters on the treated surface but also to form complex microstructures inside the resulting crater. This effect allows us to talk about the production of complex periodic surface microstructures.
With increasing requirements for inconspicuousness and stealth in objects, there is a need to create technology to impart a complex microstructure to a surface, which would allow for the effective scattering of an incident narrow beam. The presented work describes the mechanism of formation of a complex two-periodic microstructure, and then computer models are built and used to carry out a comparative analysis of the nature of scattering of a narrow light beam on flat structured surfaces after laser modification and with an additional transparent coating. We aim to develop a surface microrelief with maximum scattering properties, which we believe can be practically obtained using laser processing.
2. Literature Review
Although the first laser-induced periodic surface structures (LIPSSs) were discovered in 1965, the mechanisms for obtaining various types of LIPS nanostructures remain not fully studied [1,2]. The common mechanism of LIPSS formation is based on the theory of interference between a linearly polarized incident laser pulse and a scattered one. Among numerous applications, LIPSSs have proved huge potential in sensors [3], photovoltaics [4], mechanical [5], magnetics [6] and medical [7] areas. Laser processing makes it possible to change the reflective properties of the material’s surface [8,9]. In this case, both profiles of the resulting microstructure elements [10] and the features of their production are studied. A laser-induced solid–liquid transition strategy for fabricating unique structures is known. By modulating the solid-to-liquid transition state of a metal using an initial pulse excitation, the subsequent recoil pressure caused by the ultrafast pulse can suppress plasma emission and metal removal in the liquid phase, leading to the controlled fabrication of ring structures [11]. At the same time, additional parameters of laser processing are also being studied, such as changing the angle of incidence of the beam [12], altering polarization to control the direction of the LIPSSs [13] and the use of inert gases during the process run [14,15]. Columnar morphology imparts anti-reflective properties to clear glass [16]. The fabrication of laser-patterned structures using ultrashort polarized laser pulses is described [17,18]. The single-pulse formation of structures [19] and the two-pulse subpicosecond laser ablation of metals allow you to control the depth of the ablation crater due to a delay between pulses [20]. Surface modification of single-crystalline silicon using radially polarized ultrashort donut-shaped laser pulses with zero orbital angular momentum generated by an S-wave plate has been reported. The evolution of laser-generated structures has been studied depending on the laser pulse energy and the number of applied pulses. By varying these parameters, tubular and needle-shaped structures were formed [21]. This is a known mechanism for the formation of porous metal with small voids [22]. Several research groups have reported the use of a femtosecond laser in the fabrication of concentric ring structures [23] with periods ranging from a few micrometers to tens of micrometers on various materials such as metallic glasses [24], fused silica [25], with purposes such as microhole array fabrication [26] and even for obtaining superhydrophobic surfaces [27]. Micro- or nanostructures are flexibly controlled in terms of their geometric morphology during their fabrication process [28]. At the same time, the mechanisms of formation of ring and periodic structures inside the crater remain unexplored.
3. Materials and Methods
3.1. The Used Material and Its Microrelief
In the presented study, at the first stage, we perform computer modeling of the process of surface relief formation. According to the experimental conditions, the complex reliefs with mono-periodic and two-periodic microstructure should be formed on the surface with the existing LIPS microstructure. In this work, mono-periodic and two-periodic ordered microstructure is understood as a surface structure formed by craters located with a clearly defined periodicity. In this case, the microrelief of the surface of the bottom and walls of craters can also have a pronounced microstructure. The presence of a complex microstructure creates a complex set of reflective planes on the surface and can thereby create conditions for achieving better scattering of the reflected narrowly directed light beam. Our studies, the results of which are not presented in this article, indicate that the pronounced periodicity of the surface microstructure can affect the degree of blackening and the reflective properties of the surface, but is not a determining factor. This allows for the presence of a periodic component in a complex microstructure.
At the second stage of the experiment, we physically create a periodic structure on the treated surface using femtosecond. We use a flat plate made of AISI 321 stainless steel as the processed object (Figure 1). After the formation of the surface’s periodic structure, we monitor the surface using scanning electron microscopy and atomic force microscopy. We also conduct a comparative assessment of the nature of the beam scattering on the studied surface before and after its laser treatment.

Figure 1.
Formation of a two-period structure: Formation of a single crater in the case of energy distribution along the radius of the beam in accordance with the Gaussian normal distribution law (a–c). Formation of a series of craters at equal distances, in one pass, along the coordinate of the processing direction (a–f). Formation of a series of craters at equal distance l1 during the second pass of the laser beam along the line of processing, with a craters shift of distance l2 relative to the initial coordinate of the first pass’s first crater (g–k). The resulting two-periodic structure (m).
At the third stage of the study, computer modeling of the process of reflection of a narrowly directed light beam from the studied surface is performed. In this study, scattering refers only to the transformation of the angular distribution of light flux. The ability of a surface to effectively and uniformly scatter a reflected narrow beam over a wide range of scattering angles is, in this case, the criterion that determines the stealth and anti-reflective properties of the surface.
3.2. Equipment for the Experiment
For the experiments, AISI 321 stainless steel plates were cut. The overall dimensions of the plates were 35 × 55 mm. The surface in the delivered condition had a smooth, mirror-like surface characteristic of steel. The chemical composition of the steel was as follows (in weight %): Fe 67.0; Cr 17.0–19.0; Ni 9.0–11.0; Mn < 2.0; Si < 0.8; Ti 0.6– 0.8.
The state of the surface before and after treatment was examined using atomic force microscopy (AFM). Measurements were carried out using an ICON Scanning Probe Microscope (Bruker, Billerica, MA, USA). Samples were scanned in air, at room temperature, using tapping modes with antimony n-type doped Si tips (TESPA, Bruker, Camarillo, CA, USA). The images were acquired at a scanning rate of 0.2 [Hz] and 512 × 512 pixels resolution. AFM data analyses were performed using the complementary NanoScope Analysis program 1.8 version.
Electron microscopy data were obtained using a Jeol 7001TTLS SEM scanning electron microscope. The surface treatment was carried out in air at room temperature by scanning a laser beam over the surface of the sample.
Femtosecond laser modification of the stainless steel plates was carried out by using the Yb:KGW laser system Pharos SP-20 from Light Conversion. The linearly p-polarized laser beam was conducted through a properly adjusted optics path to the ExceliScan galvanoscanner (ScanLab, Munich, Germany). Furthermore, the laser beam was focused on the sample with the F-theta lens with a focus distance f = 80 mm. We used the laser parameters presented in Table 1. The scanning of the laser beam with a step between scans of 20 μm was performed in mesh mode 10 times in each side for both SET 1 and SET 2 laser parameters.
Table 1.
Laser parameters.
4. Results and Discussions
4.1. The Scattering Microstructure and the Simulation of Its Making
Computer modeling of the process of surface microstructure formation was performed in the COMSOL Multiphysics© version 6.2 environment. Surface shaping, in this study, was carried out due to the temperature effect of the laser beam on the material being processed; therefore, we used the Heat Transfer thermal model. The model assumes that the energy of a laser beam in a single pulse is distributed along the radius of the beam in accordance with the Gaussian normal distribution law. As a result of this energy impact, a crater is formed on the treated surface, which is a Gaussian-shaped depression in cross-section (Figure 1c).
The calculation is made using a mathematical model of thermal effects (1) [29,30].
where is the density, is the specific heat capacity, T is the absolute temperature, u is the velocity vector, q is the heat flux by conduction and Q is the heat sources.
The thermal flux of laser energy as an additional external source is modeled by Equation (3):
where is the time-dependent function that models the dynamics of the laser pulse, Pl is the laser power, rs is the beam spot radius and x is the coordinate of the surface where the beam is focused at a given time.
During the process of local heating of the material, it is ablated from the treated surface. In this case, it is necessary to take into account the deformation of the computational domain. This process is modeled by deforming the computational domain normal to the boundary surface in proportion to the acting heat flux (4).
where vy is the deformation mesh velocity and ka is the ablation-specific heat capacity coefficient.
Beam models use the Ray Optics module and are constructed using the following equations describing the emission of a light beam (5):
and further propagation of the beam in space (6–11):
where k and j are the wave vectors, ω is the angular frequency, α is an arbitrary phase shift, θ is the beam propagation angle and n is the refractive index of the medium.
To form a series of craters of the same depth and with the same shape on the surface of a homogeneous material, the following conditions must be met: periodic repetition of pulses of the same power and exposure time as well as uniform periodic mutual displacement of the laser emitter and the object being processed at a distance l1 (Figure 1f) along the coordinate of the processing direction.
The process of a complex microstructure laser formation can be well controlled by changing the time of laser exposure to the material and changing the pulse repetition rate. Also, the formation of microstructures can be partially controlled or chaotic. A mono-periodic structure (Figure 2b) is formed by fixing the distance between neighboring craters, which are formed by successive laser pulses. We have practically obtained a surface with this microrelief. The formation of such a structure is quite well managed. The same distance can be achieved (Figure 1f pos. l1; Figure 2 pos. l1) by uniform mutual displacement of the laser emitter and the object being processed along the coordinate of the processing direction.
Figure 2.
Surfaces with a complex mono-periodic structure, formed by a femtosecond laser while saving the LIPSS of the base surface (a) by using laser parameters of SET 1; (b) by using laser parameters of SET 2, which are shown in Table 1.
The following figures (Figure 2 pos. S and Figure 3 pos. S) show the envelope S of the projection of the section of the plane (A-A) directed perpendicular to the surface of the sample and along the line of formed craters after the first processing. The designation 1 in the figure Figure 2 pos. l1 represent the same distance as in the (Figure 1f pos. l1).
Figure 3.
Optimally modelled surface with a complex two-periodic structure which can be formed by two passes of a femtosecond laser and used for simulation.
A two-periodic structure can be obtained by mutual displacement of the laser emitter and the object being processed along the coordinate of the processing direction after completion of the pass at a given offset distance (Figure 3 pos. l2).
In this case, the subsequent pass forms an additional similar mono-periodic structure (Figure 1g). This structure, superimposed on the relief obtained after the first pass along the coordinate of the processing direction, forms a complex two-periodic surface microstructure (Figure 1, position (m)). A two-periodic structure can also be created by alternately () changing the value of the mutual displacement after each subsequent pulse.
The following figures (Figure 3 pos. S) show the section (A-A) along the processing path after two passes with mutual starting displacement (Figure 1i pos l2; Figure 3 pos l2). At present, this microrelief has practically not been obtained, and is being studied theoretically for its reflective and scattering properties, using computer models.
Also, the process of obtaining a complex periodic structure can be partially controlled. In this case, the complex scattering structure consists of equidistant craters with a complexly structured surface of the walls and bottom, different from the smooth Gaussian shape (Figure 4 pos. R). Structures obtained by the two-wave mixing method can be considered as an example of a partially controlled process to form a complex periodic structure [31]. The advantages of this method are undoubtedly in terms of the technology and speed of the surface structuring. One disadvantage is the greater complexity and lower repeatability of the resulting microstructures.
Figure 4.
Additional periodic structure (roughness in the form of LIPSS) formed between craters (R), atomic force microscopy: (a) the surface height, (b) the amplitude error data for more clear mapping of thin structure elements.
The structural elements formed as a result of processing with a laser influence can be considered as macroelements. In the case described, such structures are Gaussian-shaped craters. The effect of forming LIPSSs and roughness structures with a femtosecond laser on both normal and inclined surfaces is known [12]. Subsequent femtosecond post-processing is presumably capable of forming additional roughness or LIPS microstructures on the surfaces of the mentioned macroelements.
Such a complex microstructure inside the crater can be formed due to the distribution of pulse power on the surface, different from the power distribution according to the normal Gaussian distribution, as well as due to complex thermal processes occurring during the formation of the crater, which lead to the formation of chaotic (Figure 5), LIPSSs or so-called coffee rings structures [11]. Also, the formation of such structures can be performed using a femtosecond laser.
Figure 5.
Formation of chaotic microstructures at the bottom of craters when laser energy is distributed along the radius of the beam in accordance with the Gaussian normal distribution law. Formed irregularities on the crater floor (a). The process of formation of irregularities at the bottom of the crater due to increased heating of the wall of the formed crater (b).
Moreover, the formation of microstructures can be additionally carried out by targeted post-processing of the surface of previously formed macrostructures. However, this post-processing can lead to damage to the existing macrostructure through its fusion, when forming a microstructure on the surface of macrostructural elements, in the case of low-melting-point materials processing.
Therefore, the most important condition for the effective implementation of the processing technology is the defining processing technologies and modes because the wrong treatment regime may lead to high heat flux into the part and cause its melting and deformation [32,33]. Therefore, the formation of such structures can be effectively performed using a femtosecond laser, since femtosecond-scale pulses provide processing at a low overall heat flux.
The precision accuracy and absolute repeatability of individual relief elements are not required to achieve better scattering. This allows us to recognize the effect of uncontrolled or partially controlled formation of microstructures as useful in terms of cost and speed of formation of a complex two-period structure on a reflective surface. In the context of the widespread struggle to improve quality and reduce the cost of production processes [34], this is especially important.
A fully controlled process of obtaining a two-periodic structure by mutual displacement of the laser emitter and the surface being processed makes it possible to obtain a microstructure with specified characteristics, whereas the error is determined by the equipment characteristics. This process is characterized by the possibility of obtaining the most homogeneous microstructure and high repeatability. Thus, a partially controlled process for obtaining a microstructure is simpler but does not guarantee that the surface will give a scattering pattern in accordance with the calculated one. However, a fully controlled process is more complex and places greater demands on the equipment used, but the practical result will be as close as possible to the theoretically obtained one.
4.2. Scattering Microstructure and Modeling of Its Reflective Properties
The scattering of a beam reflected in the visible range from a surface is a complex process that depends on the properties of the reflecting material and the topography of the reflecting surface. In this case, reflection can occur both from a clean surface and from a surface that has a layer of reflective, partially reflective or transparent coating. In the practical experiment, we used plates, processed using femtosecond lasers. This allowed us to ensure the formation of a relief microstructure with various reflective properties.
The comparative irradiation of the studied surfaces with a narrowly directed light beam of a red helium–neon laser with a wave length 632.8 [nm] and diameter of about 3 mm indicates that the presence of a complex surface microstructure makes it possible to improve the scattering properties of the surface (Figure 6).
Figure 6.
The nature of scattering of a reflected narrowly directed beam of a helium–neon laser (in the visible part of the spectrum, with a wave length 632.8 [nm]): (a) from the flat surface, (b) from the surface with a periodic microstructure, formed with femto laser processing, (c) from the surface with a complex microstructure. 1—the projection screen, 2—the reflective surface, 3—the diffraction pattern observed against the background of a diffused spot, d—the diffraction maxima.
As shown in Figure 6, pos. b, a surface with a pronounced periodic structure forms a diffraction pattern with clearly defined diffraction maxima (d), negatively affecting the unmasking surface’s property. When scattering by a surface with a complex structure (Figure 6c, area 3), one can also notice a diffraction pattern, which is weakly mapped against the background of the scattered spot, formed by the periodic component of the surface structure.
4.3. Computer Simulation of the Scattering Process of an Incident Beam
As a result of calculations performed using the constructed computer model, data were obtained on the spatial propagation of the reflected beam from a flat surface and from a surface with a complex two-periodic structure. Simulation of the scattering process of the reflected beam was performed in the COMSOL Multiphysics software environment. The model was based on a mechanism for calculating optical processes using the Beam Optics calculation module [35], which we described in our previous works [36,37]. Considering the comparability of the ratio of the scale of the processed microstructure and the wavelength, the effect of the mapping of the diffraction pattern during scattering on a complex structure can be calculated, as was achieved in our previous studies using the ray optics module. We necessarily use wave optics when studying the refraction of a beam in complex inhomogeneous media. Since the formation of diffraction maxima (d), which is shown in Figure 6, pos. b, area 1, and Figure 6, pos. c, is considered in the study to be a negative factor in terms of the surface unmasking characteristic, we use the calculation of the model using the ray optics module without precise determination of the locations of the diffraction maxima.
In the process of the presented modeling, the task is to calculate and visualize the reflection trajectory of a narrowly directed light beam incident on [I] a surface with a mono-periodic structure without a coating (Figure 7a), [II] a flat surface with a smooth transparent coating and [III] surface with a complex two-periodic microstructure and a transparent coating. In theoretical modeling, the thickness of the additional transparent coating is set at 70 microns. A transparent coating on the surface of the base material (AISI 321) with a two-periodic microstructure has a similar two-periodic microstructure formed on the external side of the transparent material (Glass fiber) (Figure 7b). The purpose of introducing another rough coating surface with other optical properties into theoretical models is to improve the scattering properties of the surface by complicating the trajectory of the reflected beam. This article presents the results only of theoretical studies of the scattering characteristics of surfaces with a complex surface structure having an additional coating and requires further experimental research. An additional structured layer can be obtained both additively and by spraying with subsequent sintering and repeated laser scanning.
Figure 7.
Reflective surface: (a) with a complex mono-periodic structure; (b) with a complex two-periodic structure and a transparent outer coating. The arrow indicates mirror surface.
The formation of a microstructure on the coating surface can be performed using femtosecond laser processing, which occurs with less thermal impact on the material and does not cause intense melting and uncontrolled surface deformations.
The nature of beam scattering from a surface with a complex microstructure is assessed by the pattern of trajectories of the scattered reflected beam in the plane of its incidence, as well as in comparison with the scattering patterns of the beam reflected from a similar flat surface with a flat transparent surface coating and a surface with a two-periodic microstructure and structured coating.
From the diagrams of the distribution of reflected light from reflective surfaces, one can judge the nature of the reflection.
In the case of reflection of a beam from a surface with a complex mono-periodic structure, the nature of the reflection becomes scattered (Figure 8a). In this case, it can be noted that, when the beam is incident normal to the surface, intense reflection occurs in a narrow sector oriented in the opposite direction to the direction of incidence. In this case, an intense unmasking reflection is observed.
Figure 8.
The incident beam scattering pattern: the reflection from a mono-periodic surface without the transparent outer coating. (a) The beam is incident at a right angle; (b) the beam is incident at an obtuse angle; (c) the beam is incident at an acute angle. The arrow shows the direction of beam incidence.
When a beam is incident at an obtuse or acute angle on a surface with a mono-periodic structure, the nature of the reflection is also scattered, but scattering occurs in sectors lying in the region of the angles of incidence and reflection of the beam (Figure 8b,c).
This study shows that applying a transparent coating can improve the scattering of the reflected beam due to the effect of multiple reflections of the beam from the inner boundary of the transparent coating.
However, when the beam is reflected from a flat surface, this significant positive effect is not observed. If a beam of light falls on a flat surface with a coating normal to the surface, its reflection occurs in the opposite direction, without a significant tendency to scatter, despite the presence of an additional coating on the reflecting surface (Figure 9a). When a beam is incident at an obtuse or acute angle on a flat surface with a coating, the nature of the reflection is also without a significant tendency to scatter (Figure 9b,c).
Figure 9.
The incident beam scattering pattern: the reflection from a flat surface with the transparent outer coating. (a) The beam is incident at a right angle; (b) the beam is incident at an obtuse angle; (c) the beam is incident at an acute angle. The arrow shows the direction of beam incidence.
The reflected beam is not sufficiently diffused and tends to travel in one direction. This means that, despite the presence of an additional coating, the studied surface glares in a beam of directed light.
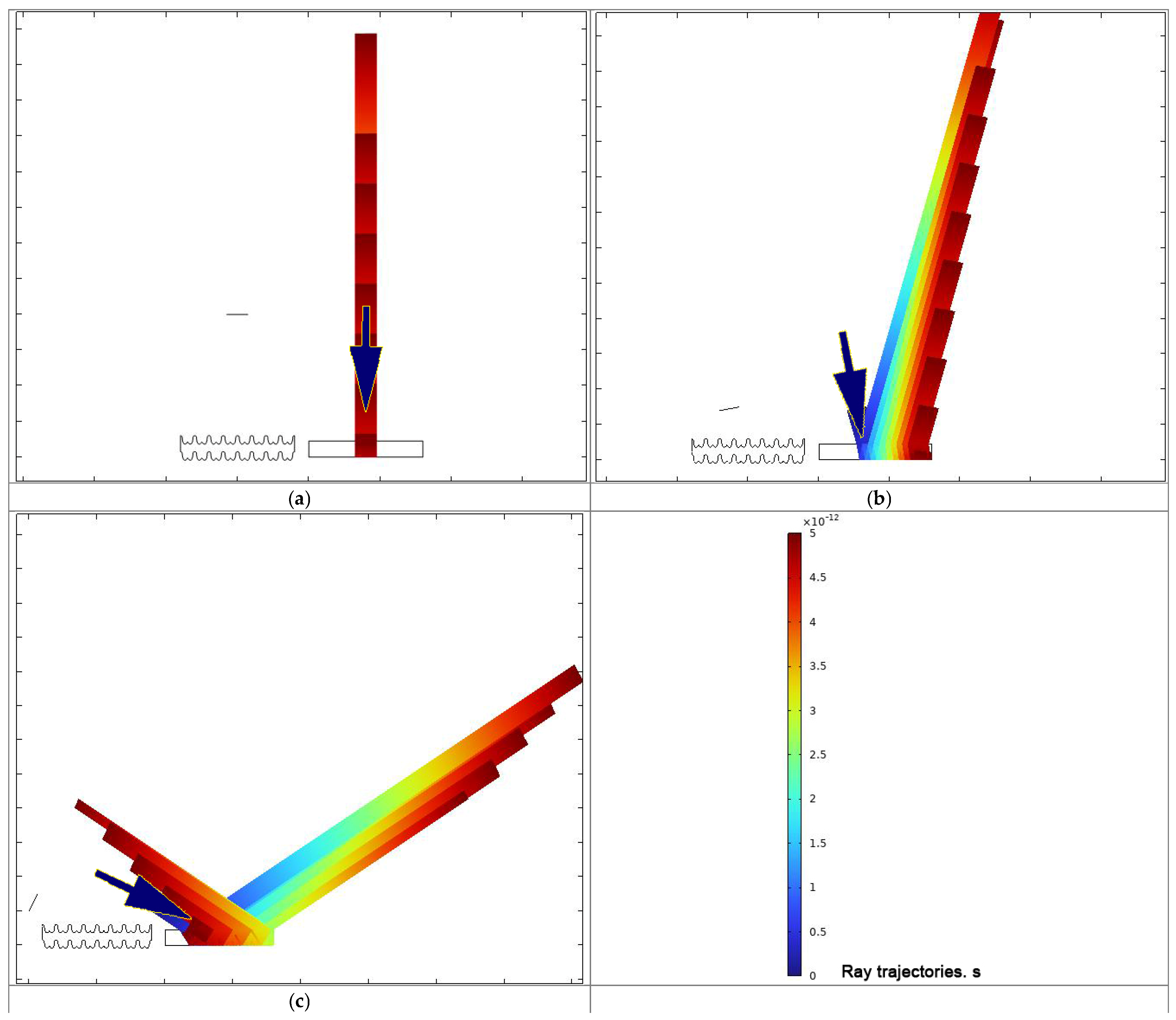
In the case of reflection of a beam from a surface with a complex two-periodic structure, the nature of the reflection has a clearly defined scattered character (Figure 10). This is very different from the case of reflection from a flat coated surface or from a flat surface with a transparent coating.
Figure 10.
The incident beam scattering pattern: the reflection from a structured two-periodic surface with the transparent outer coating. (a) The beam is incident at a right angle; (b) the beam is incident at an obtuse angle; (c) the beam is incident at an acute angle. The arrow shows the direction of beam incidence.
With normal angle incidence of the beam on a surface with a complex two-periodic structure, the nature of the reflection has a clearly defined scattered character (Figure 10a). When a beam is incident at an obtuse or acute angle on a surface with a complex two-periodic structure, the nature of the reflection also has a clearly defined scattered character (Figure 10b,c), as in all cases of reflection from the presented surface.
Thus, from a series of calculations performed, we can conclude that the presence of an additional coating on a flat surface does not improve its scattering properties and does not eliminate glare. The reflected beam is weakly scattered and the angle of reflection remains identical to the angle of incidence, which reduces the secrecy of the reflecting surface in the visible wavelength range. In the event that a complex two-periodic structure is formed on the reflective surface and the coating surface, the nature of the reflection has a clearly defined scattered character, regardless of the angle of incidence of the light beam. This study shows the feasibility and effectiveness of forming a two-periodic structure on the surface in order to give it stealth characteristics and reduce visibility.
It should be noted that models of the reflection process describe the surface as a relief formed by a set of craters having a regular axisymmetric shape in accordance with the Gaussian normal distribution and a smooth surface of the bottom and walls (Figure 1c). In this case, the additional influence on the nature of scattering of small (chaotic, LIPSS and other) elements of the microstructure (Figure 4 pos. R), formed during the manufacture of a two-period structure (Figure 5a), is not taken into account. At the same time, since additional microstructures help reduce the reflectance coefficient and improve scattering [2], the use of laser processing in the process of forming a two-periodic microstructure is an effective and justified method of imparting anti-reflective properties to the surface and increasing its secrecy.
5. Conclusions
The theory of the mechanism of scattering of a narrow beam on complex mono- and bi-periodic microstructures with and without a transparent coating, presented in this work, indicates the potential of imparting a given microrelief to surfaces and is confirmed by modeling and research of the reflection of a helium–neon laser beam from a surface with a complex microstructure. The results of this study allow us to state that the high degree of scattering of the directed beam, achieved on complex two-periodic microstructures, makes it possible to increase the secrecy of objects, including orbital ones, as well as to eliminate glare and unmasking of hidden objects. Also, the development of this technology will help improve the adhesive properties of surfaces, which is especially important in the camouflage coating process [38].
Femtosecond laser processing can be used to form LIPSSs on the surfaces of elements of an ordered periodic structure. The use of a femtosecond laser makes it possible to create a complex microstructure that combines micro- and nanoscale elements. It is expected that such a complexly structured surface will have the ability to effectively scatter radiation over a wide range of wavelengths.
In the future, it is planned to improve and supplement the research by performing modeling and conducting practical experiments using a wide range of control methods, including laser interferometry [39], as well as obtaining complex microstructures in various modes of nanosecond and femtosecond laser processing.
The study of two-periodic structures production using laser beams with variable dynamic polarization seems promising. Since this parameter has a significant effect on the spatial orientation of the elements of periodic microstructures, such technology gives a striking result [40]. The applicability of this technology to stainless steel material processing should be studied.
Author Contributions
Conceptualization, S.D. and I.M.G.; methodology, B.A.A. and M.K.; software, B.A.A.; validation, S.D., Y.B. and J.M.; formal analysis, I.M.G. and Y.B.; investigation, S.D., I.M.G. and M.K.; resources, B.A.A. and Y.B.; data curation, J.M.; writing—original draft preparation, S.D., Y.B., I.M.G. and M.K.; writing—review and editing, Y.B. and J.M.; visualization, B.A.A. and Y.B.; supervision, Y.B. and J.M.; project administration, S.D., M.K. and J.M.; funding acquisition, J.M. All authors have read and agreed to the published version of the manuscript.
Funding
The authors are grateful to FCT—Fundação para a Ciência e Tecnologia (Portugal) who partially financially supported this work through the RD Units Project Scope: UIDP/04077/2020 and UIDB/04077/2020.
Institutional Review Board Statement
Not applicable.
Informed Consent Statement
Not applicable.
Data Availability Statement
Data are contained within the article.
Acknowledgments
The general approach has been partially developed within the research project “Formation and transformation of periodic nanocarbon-containing structures on metal surfaces with short-pulse laser, microwave, and plasma methods” (State reg. no. 0124U000481).
Conflicts of Interest
Author Iaroslav M. Gnilitskyi was employed by the company “NoviNano Lab” LLC. The remaining authors declare that the research was conducted in the absence of any commercial or financial relationships that could be construed as a potential conflict of interest.
References
- Bonse, J.; Gräf, S. Ten Open Questions about Laser-Induced Periodic Surface Structures. Nanomaterials 2021, 11, 3326. [Google Scholar] [CrossRef] [PubMed]
- Huang, M.; Zhao, F.; Cheng, Y.; Xu, N.; Xu, Z. Origin of laser-induced near-subwavelength ripples: Interference between surface plasmons and incident laser. ACS Nano 2009, 3, 4062–4070. [Google Scholar] [CrossRef] [PubMed]
- Gnilitskyi, I.; Mamykin, S.V.; Lanara, C.; Hevko, I.; Dusheyko, M.; Bellucci, S.; Stratakis, E. Laser Nanostructuring for Diffraction Grating Based Surface Plasmon-Resonance Sensors. Nanomater. 2021, 11, 591. [Google Scholar] [CrossRef] [PubMed]
- Cappelli, E.; Orlando, S.; Sciti, D.; Bellucci, A.; Lettino, A.; Trucchi, D.M. Improving solar radiation absorbance of high refractory sintered ceramics by fs Ti:sapphire laser surface treatment. Appl. Surf. Sci. 2024, 302, 177–183. [Google Scholar] [CrossRef]
- Bonse, J.; Koter, R.; Hartelt, M.; Spaltmann, D.; Pentzien, S.; Höhm, S.; Rosenfeld, A.; Krüger, J. Femtosecond laser-induced periodic surface structures on steel andtitanium alloy for tribological applications. Appl. Phys. A 2014, 117, 103–110. [Google Scholar] [CrossRef]
- Nykyruy, Y.; Mudry, S.; Shtablavyi, I.; Borisyuk, A.; Tsekhmister, Y.; Gnilitskyi, I. Formation of laser-induced periodic surface structures on amorphous Fe-and Co-based alloys and its impact on magnetic properties. Mater. Chem. Phys. 2022, 287, 126317. [Google Scholar] [CrossRef]
- Khuzhakulov, Z.; Kylychbekov, S.; Allamyradov, Y.; Majidov, I.; Yosef, J.B.; Er, A.Y.; Kitchens, C.; Banga, S.; Badarudeen, S.; Er, A.O. Formation of picosecond laser-induced periodic surface structures on steel for knee arthroplasty prosthetics. Front. Met. Alloy 2023, 1, 1090104. [Google Scholar] [CrossRef]
- Xie, X.; Li, Y.; Wang, G.; Bai, Z.; Yu, Y.; Wang, Y.; Ding, Y.; Lu, Z. Femtosecond Laser Processing Technology for Anti-Reflection Surfaces of Hard Materials. Micromachines 2022, 13, 1084. [Google Scholar] [CrossRef]
- Du, M.; Sun, Q.; Jiao, W.; Shen, L.; Chen, X.; Xiao, J.; Xu, J. Fabrication of Antireflection Micro/Nanostructures on the Surface of Aluminum Alloy by Femtosecond Laser. Micromachines 2021, 12, 1406. [Google Scholar] [CrossRef]
- Sarbada, S.; Huang, Z.; Shin, Y.C.; Ruan, X. Low-reflectance laser-induced surface nanostructures created with a picosecond laser. Appl. Phys. A 2016, 122, 453. [Google Scholar] [CrossRef]
- Xie, J.; Qiao, M.; Zhu, D.; Yan, J.; Deng, S.; He, G.; Luo, M.; Zhao, Y. Laser Induced Coffee-Ring Structure through Solid-Liquid Transition for Color Printing. Small 2023, 19, 2205696. [Google Scholar] [CrossRef] [PubMed]
- Michalek, A.; Batal, A.; Qi, S.; Penchev, P.; Bruneel, D.; See, T.L.; Dimov, S. Modelling ultrafast laser structuring/texturing of freeform surfaces. Appl. Surf. Sci. Adv. 2020, 2, 100036. [Google Scholar] [CrossRef]
- Kotsiuba, Y.; Hevko, I.; Bellucci, S.; Gnilitskyi, I. Bitmap and vectorial hologram recording by using femtosecond laser pulses. Sci. Rep. 2021, 11, 16406. [Google Scholar] [CrossRef] [PubMed]
- Yang, L.; Deng, Z.; He, B.; Özel, T. An Experimental Investigation on Laser Surface Texturing of AISI D2 Tool Steel using Nanosecond Fiber Laser. Lasers Manuf. Mater. Process. 2021, 8, 140–156. [Google Scholar] [CrossRef]
- Gnilitskyi, I.; Alnusirat, W.; Sorgato, M.; Orazi, L.; Lucchetta, G. Effects of anisotropic and isotropic LIPSS on polymer filling flow and wettability of micro injection molded parts. Opt. Laser Technol. 2023, 158, 108795. [Google Scholar] [CrossRef]
- Papadopoulos, A.; Skoulas, E.; Mimidis, A.; Perrakis, G.; Kenanakis, G.; Tsibidis, G.D.; Stratakis, E. Biomimetic Omnidirectional Antireflective Glass via Direct Ultrafast Laser Nanostructuring. Adv. Mater. 2019, 31, 1901123. [Google Scholar] [CrossRef]
- Shugaev, M.V.; Gnilitskyi, I.; Bulgakova, N.M.; Zhigilei, L.V. Mechanism of single-pulse ablative generation of laser-induced periodic surface structures. Phys. Rev. B 2017, 96, 205429. [Google Scholar] [CrossRef]
- Gnilitskyi, I.; Derrien, T.J.Y.; Levy, Y.; Bulgakova, N.M.; Mocek, T.; Orazi, L. High-speed manufacturing of highly regular femtosecond laser-induced periodic surface structures: Physical origin of regularity. Sci Rep. 2017, 7, 8485. [Google Scholar] [CrossRef]
- Terekhin, P.N.; Oltmanns, J.; Blumenstein, A.; Ivanov, D.S.; Kleinwort, F.; Garcia, M.E.; Rethfeld, B.; Ihlemann, J.; Simon, P. Key role of surface plasmon polaritons in generation of periodic surface structures following single-pulse laser irradiation of a gold step edg. Nanophotonics 2022, 11, 359–367. [Google Scholar] [CrossRef]
- Povarnitsyn, M.E.; Fokin, V.B.; Levashov, P.R.; Itina, T.E. Molecular dynamics simulation of subpicosecond double-pulse laser ablation of metals. American Physical Society. Phys. Rev. B 2015, 92, 174104. [Google Scholar] [CrossRef]
- Zukerstein, M.; Hrabovsky, J.; Sladek, J.; Mirza, I.; Levy, Y.; Bulgakova, N.M. Formation of tubular structures and microneedles on silicon surface by doughnut-shaped ultrashort laser pulses. Appl. Surf. Sci. 2022, 592, 153228. [Google Scholar] [CrossRef]
- Ashitkov, S.I.; Inogamov, N.A.; Zhakhovskii, V.V.; Emirov, Y.N.; Agranat, M.B.; Oleinik, I.I.; Anisimov, S.I.; Fortov, V.E. Formation of nanocavities in the surface layer of an aluminum target irradiated by a femtosecond laser pulse. JETP Lett. 2012, 95, 176–181. [Google Scholar] [CrossRef]
- Li, R.; Zou, T.; Li, X.; Yu, Z.; Yang, J. Development of periodically concentric rings within microcavity upon femtosecond laser irradiation. Opt. Express 2023, 31, 17836–17847. [Google Scholar] [CrossRef] [PubMed]
- Ma, F.; Yang, J.; Zhu, X.; Liang, C.; Wang, H. Femtosecond laser-induced concentric ring microstructures on Zr-based metallic glass. Appl. Surf. Sci. 2010, 256, 3653–3660. [Google Scholar] [CrossRef]
- Lorenz, P.; Klöppel, M.; Frost, F.; Ehrhardt, M.; Zimmer, K.; Li, P. Laser-induced circular nanostructures in fused silica assisted by a self-assembling chromium layer. Appl. Surf. Sci. 2013, 280, 933–939. [Google Scholar] [CrossRef]
- Lan, B.; Hong, M.H.; Chen, S.X.; Ye, K.D.; Wang, Z.B.; Chen, G.X.; Chong, T.C. Laser-Ablation-Induced Concentric Ring Structures. Jpn. J. Appl. Phys. 2003, 42, 5123–5126. [Google Scholar] [CrossRef]
- Shimada, H.; Kato, S.; Watanabe, T.; Yamaguchi, M. Direct Laser Processing of Two-Scale Periodic Structures for Superhydrophobic Surfaces Using a Nanosecond Pulsed Laser. Lasers Manuf. Mater. Process. 2020, 7, 496–512. [Google Scholar] [CrossRef]
- Florian, C.; Kirner, S.V.; Krüger, J.; Bonse, J. Surface functionalization by laser-induced periodic surface structures. J. Laser Appl. 2020, 32, 022063. [Google Scholar] [CrossRef]
- Ivanov, D.S.; Zhigilei, L.V. Combined atomistic-continuum modeling of short-pulse laser melting and disintegration of metal films. Phys. Rev. B 2003, 68, 064114. [Google Scholar] [CrossRef]
- Dobrotvorskiy, S.; Aleksenko, B.A.; Kościński, M.; Basova, Y.; Prykhodko, V. Modeling and Surface Modification of AISI 321 Stainless Steel by Nanosecond Laser Radiation. In Advances in Design, Simulation and Manufacturing VI. DSMIE 2023; Ivanov, V., Trojanowska, J., Pavlenko, I., Rauch, E., Piteľ, J., Eds.; Lecture Notes in Mechanical Engineering; Springer: Cham, Switzerland, 2023; pp. 205–215. [Google Scholar] [CrossRef]
- Torres-Torres, D.; Torres-Torres, C.; Vega-Becerra, O.; Cheang-Wong, J.C.; Rodríguez-Fernández, L.A. Crespo-Sosa and Oliver, A. Structured strengthening by two-wave optical ablation in silica with gold nanoparticles. Opt. Laser Technol. 2015, 75, 115–122. [Google Scholar] [CrossRef]
- Plankovskyy, S.; Shypul, O.; Tsegelnyk, Y.; Brega, D.; Tryfonov, O.; Malashenko, V. Basic Principles for Thermoplastic Parts Finishing with Impulse Thermal Energy Method. In Handbook of Research on Advancements in the Processing, Characterization, and Application of Lightweight Materials; Kumar, K., Babu, B.S., Davim, J.P., Eds.; IGI Global: Hershey, PA, USA, 2022; pp. 49–87. [Google Scholar] [CrossRef]
- Plankovskyy, S.; Shypul, O.; Tsegelnyk, Y.; Pankratov, A.; Romanova, T. Amplification of Heat Transfer by Shock Waves for Thermal Energy Method; In Integrated Computer Technologies in Mechanical Engineering—2020. ICTM, 2020, Nechyporuk, M., Pavlikov, V., Kritskiy, D., Eds.; Lecture Notes in Networks and Systems; Springer: Cham, Switzerland, 2021; Volume 188, pp. 577–587. [Google Scholar] [CrossRef]
- Bembenek, M.; Prysyazhnyuk, P.; Shihab, T.; Machnik, R.; Ivanov, O.; Ropyak, L. Microstructure and Wear Characterization of the Fe-Mo-B-C—Based Hardfacing Alloys Deposited by Flux-Cored Arc Welding. Materials 2022, 15, 5074. [Google Scholar] [CrossRef] [PubMed]
- COMSOL User’s Guide. Ray Optics Module. COMSOL©. Available online: https://doc.comsol.com/6.1/doc/com.comsol.help.roptics/RayOpticsModuleUsersGuide.pdf (accessed on 20 February 2023).
- Dobrotvorskiy, S.; Aleksenko, B.A.; Kościńsk, M.; Basova, Y.; Prykhodko, V.; Dobrovolska, L.; Mižáková, J. The Relief of the Structured by Nanosecond Laser Stainless Steel Surface Inspection by Sliding Reflection of a Laser Beam. In Proceedings of the EAI International Conference on AuTomation and Control in Theory and Practice. EAI ARTEP 2023, Stará Lesná, Slovakia, 8–10 February 2023; Balog, M., Iakovets, A., Hrehova, S., Eds.; EAI/Springer Innovations in Communication and Computing; Springer: Cham, Switzerland, 2023. [Google Scholar] [CrossRef]
- Dobrotvorskiy, S.; Aleksenko, B.A.; Yepifanov, V.; Basova, Y.; Prykhodko, V.; Dobrovolska, L.; Kościński, M. Computer Modelling and Comparative Analysis of Surface Microrelief Inspection by the Method of Scattering of a Laser Beam During Its Small-Angle Sliding Incidence. In Proceedings of the International Conference on Reliable Systems Engineering (ICoRSE)—2023. ICoRSE 2023, Bucharest, Romania, 4 August 2023; Cioboată, D.D., Ed.; Lecture Notes in Networks and Systems; Springer: Cham, Switzerland, 2023; Volume 762. [Google Scholar] [CrossRef]
- Romanchenko, O.; Porkuian, O.; Kharlamov, Y.; Sokolov, V.; Krol, O. Research of Features of Oxide Coatings Deposition by D–gun Spraying. In Innovations in Mechanical Engineering II. Icieng 2022; Machado, J., Soares, F., Trojanowska, J., Ottaviano, E., Valášek, P., Perondi, E.A., Basova, Y., Reddy, D.M., Eds.; Lecture Notes in Mechanical Engineering; Springer: Cham, Switzerland, 2023. [Google Scholar] [CrossRef]
- Kesariiskyi, O.G.; Marchenko, A.; Gritsuk, I.; Mateichyk, V.; Pylyov, V.; Kravchenko, S. Laser Interferometry to Investigate the Strain and Stress State of Details and Units of Heat Engines. SAE Int. J. Engines 2022, 15, 459–469. [Google Scholar] [CrossRef]
- Kawabata, S.; Bai, S.; Obata, K.; Miyaji, G.; Sugioka, K. Two-dimensional laser-induced periodic surface structures formed on crystalline silicon by GHz burst mode femtosecond laser pulses. Int. J. Extrem. Manuf. 2023, 5, 015004. [Google Scholar] [CrossRef]
Disclaimer/Publisher’s Note: The statements, opinions and data contained in all publications are solely those of the individual author(s) and contributor(s) and not of MDPI and/or the editor(s). MDPI and/or the editor(s) disclaim responsibility for any injury to people or property resulting from any ideas, methods, instructions or products referred to in the content. |
© 2024 by the authors. Licensee MDPI, Basel, Switzerland. This article is an open access article distributed under the terms and conditions of the Creative Commons Attribution (CC BY) license (https://creativecommons.org/licenses/by/4.0/).










