Assessment of the Impact of Heat-Compression Therapy Time on Muscle Biomechanical Properties and Forearm Tissue Perfusion in MMA Fighters—A Pilot Study
Abstract
Featured Application
Abstract
1. Introduction
2. Materials and Methods
2.1. Participants
2.2. Study Design
2.3. Measurements—Tissue Perfusion (PU) and Tissue Temperature (°C)
2.4. Measurements—Myotonometry
2.5. Measurements—Pressure Pain Threshold (PPT)
2.6. Measurements—Maximum Strength of the Forearm Muscles (Fmax)
2.7. Statistical Methods
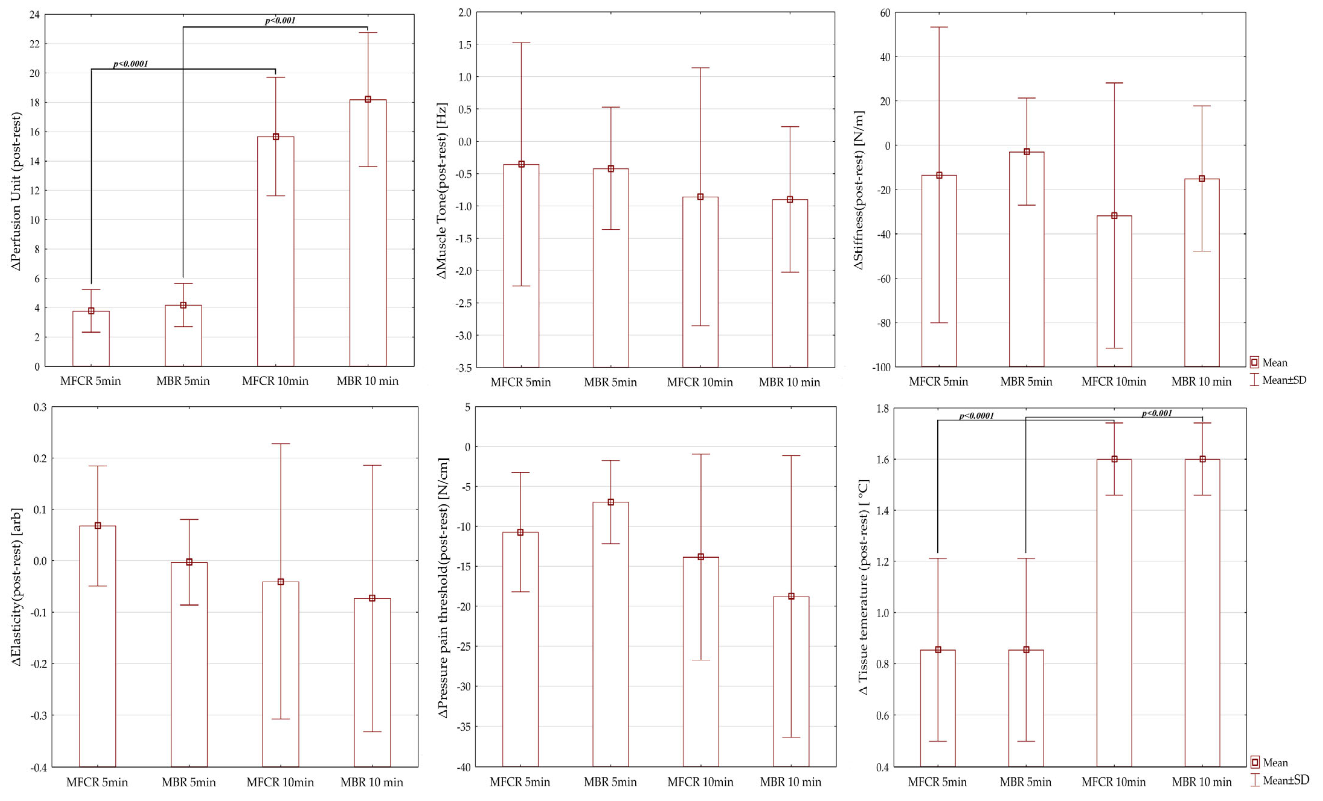
3. Results
4. Discussion
5. Limitations of the Study
6. Conclusions
7. Practical Application
8. Future Research Directions
Author Contributions
Funding
Institutional Review Board Statement
Informed Consent Statement
Data Availability Statement
Conflicts of Interest
References
- Lenetsky, S.; Harris, N. The mixed martial arts athlete: A physiological profile. Strength Cond. J. 2012, 34, 32–47. [Google Scholar] [CrossRef]
- Zebrowska, A.; Trybulski, R.; Roczniok, R.; Marcol, W. Effect of Physical Methods of Lymphatic Drainage on Postexercise Recovery of Mixed Martial Arts Athletes. Clin. J. Sport Med. 2019, 29, 49–56. [Google Scholar] [CrossRef]
- Alm, P.; Yu, J.-G. Physiological Characters in Mixed Martial Arts. Am. J. Sports Sci. 2013, 1, 12–17. [Google Scholar] [CrossRef]
- Bahr, R.; Holme, I. Risk factors for sports injuries—A methodological approach. Br. J. Sports Med. 2003, 37, 384–392. [Google Scholar] [CrossRef] [PubMed]
- Kostikiadis, I.N.; Methenitis, S.; Tsoukos, A.; Veligekas, P.; Terzis, G.; Bogdanis, G.C. The effect of short-term sport-specific strength and conditioning training on physical fitness of well-trained mixed martial arts athletes. J. Sport. Sci. Med. 2018, 17, 348–358. [Google Scholar]
- Bleakley, C.M.; Costello, J.T. Do thermal agents affect range of movement and mechanical properties in soft tissues? A systematic review. Arch. Phys. Med. Rehabil. 2013, 94, 149–163. [Google Scholar] [CrossRef]
- Papaioannou, T.G.; Karamanou, M.; Protogerou, A.D.; Tousoulis, D. Heat therapy: An ancient concept re-examined in the era of advanced biomedical technologies. J. Physiol. 2016, 594, 7141. [Google Scholar] [CrossRef]
- Shibaguchi, T.; Hoshi, M.; Yoshihara, T.; Naito, H.; Goto, K.; Yoshioka, T.; Sugiura, T. Impact of different temperature stimuli on the expression of myosin heavy chain isoforms during recovery from bupivacaine-induced muscle injury in rats. J. Appl. Physiol. 2019, 127, 178–189. [Google Scholar] [CrossRef]
- Alexander, J.; Jeffery, J.; Rhodes, D. Recovery profiles of eccentric hamstring strength in response to cooling and compression. J. Bodyw. Mov. Ther. 2021, 27, 9–15. [Google Scholar] [CrossRef]
- Holwerda, S.W.; Trowbridge, C.A.; Womochel, K.S.; Keller, D.M. Effects of cold modality application with static and intermittent pneumatic compression on tissue temperature and systemic cardiovascular responses. Sports Health 2013, 5, 27–33. [Google Scholar] [CrossRef]
- Allan, R.; Malone, J.; Alexander, J.; Vorajee, S.; Ihsan, M.; Gregson, W.; Kwiecien, S.; Mawhinney, C. Cold for centuries: A brief history of cryotherapies to improve health, injury and post-exercise recovery. Eur. J. Appl. Physiol. 2022, 122, 1153. [Google Scholar] [CrossRef] [PubMed]
- Kim, K.; Monroe, J.C.; Gavin, T.P.; Roseguini, B.T. Skeletal muscle adaptations to heat therapy. J. Appl. Physiol. 2020, 128, 1635–1642. [Google Scholar] [CrossRef] [PubMed]
- Brunt, V.E.; Minson, C.T. Heat therapy: Mechanistic underpinnings and applications to cardiovascular health. J. Appl. Physiol. 2021, 130, 1684–1704. [Google Scholar] [CrossRef] [PubMed]
- AlSabagh, A.T.; Rao, M.S.; Renno, W.M. The impact of heat therapy on neuromuscular function and muscle atrophy in diabetic rats. Front. Physiol. 2022, 13, 1039588. [Google Scholar] [CrossRef]
- Kim, K.; Reid, B.A.; Casey, C.A.; Bender, B.E.; Ro, B.; Song, Q.; Trewin, A.J.; Petersen, A.C.; Kuang, S.; Gavin, T.P.; et al. Effects of repeated local heat therapy on skeletal muscle structure and function in humans. J. Appl. Physiol. 2020, 128, 483–492. [Google Scholar] [CrossRef]
- Kim, K.; Monroe, J.C.; Gavin, T.P.; Roseguini, B.T. Local Heat Therapy to Accelerate Recovery after Exercise-Induced Muscle Damage. Exerc. Sport Sci. Rev. 2020, 48, 163–169. [Google Scholar] [CrossRef]
- Semsarian, C.; Wu, M.J.; Ju, Y.K.; Marciniec, T.; Yeoh, T.; Allen, D.G.; Harvey, R.P.; Graham, R.M. Skeletal muscle hypertrophy is mediated by a Ca2+-dependent calcineurin signalling pathway. Nature 1999, 400, 576–581. [Google Scholar] [CrossRef]
- Goto, K.; Okuyama, R.; Sugiyama, H.; Honda, M.; Kobayashi, T.; Uehara, K.; Akema, T.; Sugiura, T.; Yamada, S.; Ohira, Y.; et al. Effects of heat stress and mechanical stretch on protein expression in cultured skeletal muscle cells. Pflugers Arch. 2003, 447, 247–253. [Google Scholar] [CrossRef]
- Kobayashi, T.; Goto, K.; Kojima, A.; Akema, T.; Uehara, K.; Aoki, H.; Sugiura, T.; Ohira, Y.; Yoshioka, T. Possible role of calcineurin in heating-related increase of rat muscle mass. Biochem. Biophys. Res. Commun. 2005, 331, 1301–1309. [Google Scholar] [CrossRef]
- Kakigi, R.; Naito, H.; Ogura, Y.; Kobayashi, H.; Saga, N.; Ichinoseki-Sekine, N.; Yoshihara, T.; Katamoto, S. heat stress enhances mTOR signaling after resistance exercise in human skeletal muscle. J. Physiol. Sci. 2011, 61, 131–140. [Google Scholar] [CrossRef]
- Stadnyk, A.M.J.; Rehrer, N.J.; Handcock, P.J.; Meredith-Jones, K.A.; Cotter, J.D. No clear benefit of muscle heating on hypertrophy and strength with resistance training. Temperature 2017, 5, 175–183. [Google Scholar] [CrossRef] [PubMed]
- Tamura, Y.; Matsunaga, Y.; Masuda, H.; Takahashi, Y.; Takahashi, Y.; Terada, S.; Hoshino, D.; Hatta, H. Postexercise whole body heat stress additively enhances endurance training-induced mitochondrial adaptations in mouse skeletal muscle. Am. J. Physiol. Regul. Integr. Comp. Physiol. 2014, 307, R931–R943. [Google Scholar] [CrossRef] [PubMed]
- Selsby, J.T.; Dodd, S.L. Heat treatment reduces oxidative stress and protects muscle mass during immobilization. Am. J. Physiol. Regul. Integr. Comp. Physiol. 2005, 289, R134–R139. [Google Scholar] [CrossRef] [PubMed]
- Yoshihara, T.; Sugiura, T.; Yamamoto, Y.; Shibaguchi, T.; Kakigi, R.; Naito, H. The response of apoptotic and proteolytic systems to repeated heat stress in atrophied rat skeletal muscle. Physiol. Rep. 2015, 3, e12597. [Google Scholar] [CrossRef]
- Naito, H.; Powers, S.K.; Demirel, H.A.; Sugiura, T.; Dodd, S.L.; Aoki, J. Heat stress attenuates skeletal muscle atrophy in hindlimb-unweighted rats. J. Appl. Physiol. 2000, 88, 359–363. [Google Scholar] [CrossRef]
- Akasaki, Y.; Miyata, M.; Eto, H.; Shirasawa, T.; Hamada, N.; Ikeda, Y.; Biro, S.; Otsuji, Y.; Tei, C. Repeated thermal therapy up-regulates endothelial nitric oxide synthase and augments angiogenesis in a mouse model of hindlimb ischemia. Circ. J. 2006, 70, 463–470. [Google Scholar] [CrossRef]
- Ikeda, Y.; Biro, S.; Kamogawa, Y.; Yoshifuku, S.; Eto, H.; Orihara, K.; Kihara, T.; Tei, C. Repeated thermal therapy upregulates arterial endothelial nitric oxide synthase expression in Syrian golden hamsters. Jpn. Circ. J. 2001, 65, 434–438. [Google Scholar] [CrossRef]
- Li, M.; Fuchs, S.; Böse, T.; Schmidt, H.; Hofmann, A.; Tonak, M.; Unger, R.; Kirkpatrick, C.J. Mild heat stress enhances angiogenesis in a co-culture system consisting of primary human osteoblasts and outgrowth endothelial cells. Tissue Eng. Part C Methods 2014, 20, 328–339. [Google Scholar] [CrossRef]
- Hesketh, K.; Shepherd, S.O.; Strauss, J.A.; Low, D.A.; Cooper, R.J.; Wagenmakers, A.J.M.; Cocks, M. Passive heat therapy in sedentary humans increases skeletal muscle capillarization and eNOS content but not mitochondrial density or GLUT4 content. Am. J. Physiol. Heart Circ. Physiol. 2019, 317, H114–H123. [Google Scholar] [CrossRef]
- Baum, O.; Da Silva-Azevedo, L.; Willerding, G.; Wöckel, A.; Planitzer, G.; Gossrau, R.; Pries, A.R.; Zakrzewicz, A. Endothelial NOS is main mediator for shear stress-dependent angiogenesis in skeletal muscle after prazosin administration. Am. J. Physiol. Heart Circ. Physiol. 2004, 287, H2300–H2308. [Google Scholar] [CrossRef]
- Goto, E.; Monden, Y.; Takano, Y.; Mori, A.; Shimmura, S.; Shimazaki, J.; Tsubota, K. Treatment of non-inflamed obstructive meibomian gland dysfunction by an infrared warm compression device. Br. J. Ophthalmol. 2002, 86, 1403–1407. [Google Scholar] [CrossRef] [PubMed]
- Goswami, S.; Jelly, P.; Sharma, S.K.; Negi, R.; Sharma, R. The effect of heat therapy on pain intensity, duration of labor during first stage among primiparous women and Apgar scores: A systematic review and meta-analysis. Eur. J. Midwifery 2022, 6, 66. [Google Scholar] [CrossRef] [PubMed]
- Kim, J.H.; Jung, H.K.; Yim, J.E. Effects of Contrast Therapy Using Infrared and Cryotherapy as Compared with Contrast Bath Therapy on Blood Flow, Muscle Tone, and Pain Threshold in Young Healthy Adults. Med. Sci. Monit. 2020, 26, e922544-1. [Google Scholar] [CrossRef] [PubMed]
- Szabo, D.A.; Neagu, N.; Teodorescu, S.; Predescu, C.; Sopa, I.S.; Panait, L. TECAR Therapy Associated with High-Intensity Laser Therapy (Hilt) and Manual Therapy in the Treatment of Muscle Disorders: A Literature Review on the Theorised Effects Supporting Their Use. J. Clin. Med. 2022, 11, 6149. [Google Scholar] [CrossRef] [PubMed]
- Tseng, S.Y.; Lai, C.L.; Ko, C.P.; Chang, Y.K.; Fan, H.C.; Wang, C.H. The Effectiveness of Whole-Body Vibration and Heat Therapy on the Muscle Strength, Flexibility, and Balance Abilities of Elderly Groups. Int. J. Environ. Res. Public Health 2023, 20, 1650. [Google Scholar] [CrossRef]
- Li, Y.P.; Feng, Y.N.; Liu, C.L.; Zhang, Z.J. Paraffin therapy induces a decrease in the passive stiffness of gastrocnemius muscle belly and Achilles tendon: A randomized controlled trial. Medicine 2020, 99, e19519. [Google Scholar] [CrossRef]
- Ezzati, K.; Laakso, E.-L.; Salari, A.; Hasannejad, A.; Fekrazad, R.; Aris, A. The Beneficial Effects of High-Intensity Laser Therapy and Co-Interventions on Musculoskeletal Pain Management: A Systematic Review. J. Lasers Med. Sci. 2020, 11, 81–90. [Google Scholar] [CrossRef]
- Puntillo, F.; Giglio, M.; Paladini, A.; Perchiazzi, G.; Viswanath, O.; Urits, I.; Sabbà, C.; Varrassi, G.; Brienza, N. Pathophysiology of musculoskeletal pain: A narrative review. Ther. Adv. Musculoskelet. Dis. 2021, 13, 1759720X21995067. [Google Scholar] [CrossRef]
- Dehghan, M.; Farahbod, F. The Efficacy of Thermotherapy and Cryotherapy on Pain Relief in Patients with Acute Low Back Pain, a Clinical Trial Study. J. Clin. Diagn. Res. 2014, 8, LC01. [Google Scholar] [CrossRef]
- French, D.N.; Thompson, K.G.; Garland, S.W.; Barnes, C.A.; Portas, M.D.; Hood, P.E.; Wilkes, G. the effects of contrast bathing and compression therapy on muscular performance. Med. Sci. Sports Exerc. 2008, 40, 1297–1306. [Google Scholar] [CrossRef]
- Lubrano, E.; Mazas, P.F.; Freiwald, J.; Krüger, K.; Grattagliano, I.; Mur, E.; Silva, R.Q.; Maruri, G.R.; de Medeiros, L.S. An International Multidisciplinary Delphi-Based Consensus on Heat Therapy in Musculoskeletal Pain. Pain Ther. 2023, 12, 93–110. [Google Scholar] [CrossRef]
- Wang, Y.; Lu, H.; Li, S.; Zhang, Y.; Yan, F.; Huang, Y.; Chen, X.; Yang, A.; Han, L.; Ma, Y. Effect of cold and heat therapies on pain relief in patients with delayed onset muscle soreness: A network meta-analysis. J. Rehabil. Med. 2022, 54, jrm00258. [Google Scholar] [CrossRef]
- Vargas e Silva, N.C.O.; Rubio, A.L.; Alfieri, F.M. Pain tolerance: The influence of cold or heat therapy. J. Chiropr. Med. 2019, 18, 261. [Google Scholar] [CrossRef]
- Graven-Nielsen, T.; Arendt-Nielsen, L.; Mense, S. Thermosensitivity of muscle: High-intensity thermal stimulation of muscle tissue induces muscle pain in humans. J. Physiol. 2002, 540, 647. [Google Scholar] [CrossRef] [PubMed]
- Trybulski, R.; Kużdżał, A.; Bichowska-Pawęska, M.; Vovkanych, A.; Kawczyński, A.; Biolik, G.; Muracki, J. Immediate Effect of Cryo-Compression Therapy on Biomechanical Properties and Perfusion of Forearm Muscles in Mixed Martial Arts Fighters. J. Clin. Med. 2024, 13, 1177. [Google Scholar] [CrossRef] [PubMed]
- Liana, R.; Chudański, M.; Katedra, I.P. Standarisation of laser Doppler flowmetry—Own standards. Clin. Diabetol. 2009, 10, 58–64. [Google Scholar]
- Szyguła, R.; Wierzbicka, M.; Sondel, G. Influence of 8-Week Aerobic Training on the Skin Microcirculation in Patients with Ischaemic Heart Disease. J. Aging Res. 2020, 2020, 4602067. [Google Scholar] [CrossRef] [PubMed]
- Bartsch, K.; Brandl, A.; Weber, P.; Wilke, J.; Bensamoun, S.F.; Bauermeister, W.; Klingler, W.; Schleip, R. Assessing reliability and validity of different stiffness measurement tools on a multi-layered phantom tissue model. Sci. Rep. 2023, 13, 815. [Google Scholar] [CrossRef]
- Chen, G.; Wu, J.; Chen, G.; Lu, Y.; Ren, W.; Xu, W.; Xu, X.; Wu, Z.; Guan, Y.; Zheng, Y.; et al. Reliability of a portable device for quantifying tone and stiffness of quadriceps femoris and patellar tendon at different knee flexion angles. PLoS ONE 2019, 14, e0220521. [Google Scholar] [CrossRef]
- Kisilewicz, A.; Madeleine, P.; Ignasiak, Z.; Ciszek, B.; Kawczynski, A.; Larsen, R.G. Eccentric Exercise Reduces Upper Trapezius Muscle Stiffness Assessed by Shear Wave Elastography and Myotonometry. Front. Bioeng. Biotechnol. 2020, 8, 928. [Google Scholar] [CrossRef]
- Melo, A.S.C.; Cruz, E.B.; Vilas-Boas, J.P.; Sousa, A.S.P. Scapular Dynamic Muscular Stiffness Assessed through Myotonometry: A Narrative Review. Sensors 2022, 22, 2565. [Google Scholar] [CrossRef]
- Feng, Y.N.; Li, Y.P.; Liu, C.L.; Zhang, Z.J. Assessing the elastic properties of skeletal muscle and tendon using shearwave ultrasound elastography and MyotonPRO. Sci. Rep. 2018, 8, 17064. [Google Scholar] [CrossRef] [PubMed]
- Mustalampi, S.; Ylinen, J.; Kautiainen, H.; Weir, A.; Häkkinen, A. Acute effects of cold pack on mechanical properties of the quadriceps muscle in healthy subjects. Phys. Ther. Sport 2012, 13, 265–269. [Google Scholar] [CrossRef] [PubMed]
- Park, Y.-J.; Lee, H.-K.; Cho, J.-H. Analysis of muscular elasticity according to infrared and ultrasound therapyby sonoelastography. J. Phys. Ther. Sci. 2018, 30, 1024. [Google Scholar] [CrossRef] [PubMed]
- Faul, F.; Erdfelder, E.; Lang, A.G.; Buchner, A. G*Power 3: A Flexible statistical power analysis program for the social, behavioral, and biomedical sciences. Behav. Res. Methods 2007, 39, 175–191. [Google Scholar] [CrossRef] [PubMed]
- Eriksson, E.; Germann, G.; Mathur, A. Microcirculation in muscle. Ann. Plast. Surg. 1986, 17, 13–16. [Google Scholar] [CrossRef]
- Humphrey, J.D. Vascular adaptation and mechanical homeostasis at tissue, cellular, and sub-cellular levels. Cell Biochem. Biophys. 2008, 50, 53–78. [Google Scholar] [CrossRef]
- Kvandal, P.; Landsverk, S.A.; Bernjak, A.; Stefanovska, A.; Kvernmo, H.D.; Kirkebøen, K.A. Low-frequency oscillations of the laser Doppler perfusion signal in human skin. Microvasc. Res. 2006, 72, 120–127. [Google Scholar] [CrossRef]
- Brunt, V.E.; Howard, M.J.; Francisco, M.A.; Ely, B.R.; Minson, C.T. Passive heat therapy improves endothelial function, arterial stiffness and blood pressure in sedentary humans. J. Physiol. 2016, 594, 5329–5342. [Google Scholar] [CrossRef]
- Chiesa, S.T.; Bhowruth, D.J.; Trangmar, S.J. Short-term heat therapy: Sufficient stimulus for structural vascular adaptations? J. Physiol. 2017, 595, 3667–3668. [Google Scholar] [CrossRef]
- Ogoh, S.; Sato, K.; Okazaki, K.; Miyamoto, T.; Hirasawa, A.; Morimoto, K.; Shibasaki, M. Blood flow distribution during heat stress: Cerebral and systemic blood flow. J. Cereb. Blood Flow Metab. 2013, 33, 1915–1920. [Google Scholar] [CrossRef] [PubMed]
- Minson, C.T.; Berry, L.T.; Joyner, M.J. Nitric oxide and neurally mediated regulation of skin blood flow during local heating. J. Appl. Physiol. 2001, 91, 1619–1626. [Google Scholar] [CrossRef] [PubMed]
- Roberts, K.A.; van Gent, T.; Hopkins, N.D.; Jones, H.; Dawson, E.A.; Draijer, R.; Carter, H.H.; Atkinson, C.L.; Green, D.J.; Thijssen, D.H.J.; et al. Reproducibility of four frequently used local heating protocols to assess cutaneous microvascular function. Microvasc. Res. 2017, 112, 65–71. [Google Scholar] [CrossRef] [PubMed]
- Choi, P.J.; Brunt, V.E.; Fujii, N.; Minson, C.T. New approach to measure cutaneous microvascular function: An improved test of no-mediated vasodilation by thermal hyperemia. J. Appl. Physiol. 2014, 117, 277–283. [Google Scholar] [CrossRef]
- Joyner, M.J.; Casey, D.P. Regulation of increased blood flow (hyperemia) to muscles during exercise: A hierarchy of competing physiological needs. Physiol. Rev. 2015, 95, 549–601. [Google Scholar] [CrossRef]
- Poole, D.C.; Edward, F. Adolph Distinguished Lecture. Contemporary model of muscle microcirculation: Gateway to function and dysfunction. J. Appl. Physiol. 2019, 127, 1012–1033. [Google Scholar] [CrossRef]
- Messina, C. Pathophysiology of muscle tone. Funct. Neurol. 1990, 5, 217–223. [Google Scholar] [CrossRef][Green Version]
- Huxel, K.C.; Swanik, C.B.; Swanik, K.A.; Bartolozzi, A.R.; Hillstrom, H.J.; Sitler, M.R.; Moffit, D.M. Stiffness regulation and muscle-recruitment strategies of the shoulder in response to external rotation perturbations. J. Bone Jt. Surg. Am. 2008, 90, 154–162. [Google Scholar] [CrossRef]
- Cheung, K.; Hume, P.; Maxwell, L. Delayed onset muscle soreness: Treatment Strategies and Performance Factors. Sport. Med. 2003, 33, 145–164. [Google Scholar] [CrossRef]
- Nahon, R.L.; Silva Lopes, J.S.; Monteiro de Magalhães Neto, A. Physical therapy interventions for the treatment of delayed onset muscle soreness (DOMS): Systematic review and meta-analysis. Phys. Ther. Sport 2021, 52, 1–12. [Google Scholar] [CrossRef]
- Bordoni, B.; Sugumar, K.; Varacallo, M. Muscle Cramps. In StatPearls; StatPearls Publishing: Treasure Island, FL, USA, 2022. [Google Scholar]
- Treede, R.D.; Rolke, R.; Andrews, K.; Magerl, W. Pain elicited by blunt pressure: Neurobiological basis and clinical relevance. Pain 2002, 98, 235–240. [Google Scholar] [CrossRef] [PubMed]
- Schmidt, R.; Schmelz, M.; Torebjörk, H.E.; Handwerker, H.O. Mechano-insensitive nociceptors encode pain evoked by tonic pressure to human skin. Neuroscience 2000, 98, 793–800. [Google Scholar] [CrossRef] [PubMed]
- Heinonen, I.; Koga, S.; Kalliokoski, K.K.; Musch, T.I.; Poole, D.C. Heterogeneity of Muscle Blood Flow and Metabolism: Influence of Exercise, Aging and Disease States. Exerc. Sport Sci. Rev. 2015, 43, 117. [Google Scholar] [CrossRef] [PubMed]
- Sharma, S.; Chaudhary, P.; Sandhir, R.; Bharadwaj, A.; Gupta, R.K.; Khatri, R.; Bajaj, A.C.; Baburaj, T.P.; Kumar, S.; Pal, M.S.; et al. Heat-induced endoplasmic reticulum stress in soleus and gastrocnemius muscles and differential response to UPR pathway in rats. Cell Stress Chaperones 2021, 26, 323–339. [Google Scholar] [CrossRef] [PubMed]
- Liu, Y. Changes in skeletal muscle heat shock proteins: Pathological significance. Front. Biosci. 2001, 6, d12. [Google Scholar] [CrossRef]
- Xie, Y.; Song, L.; Weng, Z.; Liu, S.; Liu, Z. Hsp90, Hsp60 and sHsp families of heat shock protein genes in channel catfish and their expression after bacterial infections. Fish Shellfish Immunol. 2015, 44, 642–651. [Google Scholar] [CrossRef]
- McGorm, H.; Roberts, L.A.; Coombes, J.S.; Peake, J.M. Turning Up the Heat: An Evaluation of the Evidence for Heating to Promote Exercise Recovery, Muscle Rehabilitation and Adaptation. Sports Med. 2018, 48, 1311–1328. [Google Scholar] [CrossRef]
- Simons, D.G.; Mense, S. Understanding and measurement of muscle tone as related to clinical muscle pain. Pain 1998, 75, 1–17. [Google Scholar] [CrossRef]




| Conditions | Muscles | |||
|---|---|---|---|---|
| MFCR | MBR | |||
| Rest | Post | Rest | Post | |
| Perfusion Unit | ||||
| GR-HCT5min |
7.04 ± 2.33 (5.94 to 8.13) |
10.81 ± 1.92 (9.91 to 11.72) |
7.04 ± 2.23 (5.99 to 8.08) |
11.22 ± 2.49 (10.05 to 12.38) |
| GR-HCT10min |
7.88 ± 1.34 (7.24 to 8.50) |
23.55 ± 3.21 (22.04 to 25.05) |
6.75 ± 2.00 (5.81 to 7.67) |
24.94 ± 4.28 (22.93 to 26.93) |
| Muscle Tone [Hz] | ||||
| GR-HCT5min |
17.89 ± 2.33 (16.91 to 18.86) |
17.53 ± 1.23 (16.96 to 18.10) |
15.79 ± 1.28 (15.18 to 16.38) |
15.37 ± 1.10 (14.85 to 15.88) |
| GR-HCT10min |
17.81 ± 2.35 (16.71 to 18.90) |
16.95 ± 1.46 (16.26 to 17.62) |
15.72 ± 1.31 (15.10 to 16.33) |
14.82 ± 1.31 (14.20 to 15.43) |
| Stiffness [N/m] | ||||
| GR-HCT5min |
304.0 ± 60.75 (275.6 to 332.4) |
290.6 ± 47.17 (268.5 to 312.7) |
247.5 ± 42.93 (227.4 to 267.6) |
244.6 ± 39.89 (225.9 to 263.3) |
| GR-HCT10min |
299.05 ± 63.34 (269.4 to 328.7) |
267.35 ± 48.83 (244.5 to 290.2) |
245.35 ± 38.22 (227.5 to 263.2) |
230.35 ± 34.19 (214.35 to 246.4) |
| Elasticity [arb] | ||||
| GR-HCT5min |
0.94 ± 0.13 (0.88 to 0.99) |
1.01 ± 0.13 (0.95 to 1.07) |
0.88 ± 0.09 (0.84 to 0.92) |
0.88 ± 0.12 (0.82 to 0.94) |
| GR-HCT10min |
1.00 ± 0.25 (0.88 to 1.12) |
0.96 ± 0.14 (0.89 to 1.02) |
0.94 ± 0.25 (0.82 to 1.05) |
0.86 ± 0.08 (0.83 to 0.90) |
| Pressure pain threshold [N/cm] | ||||
| GR-HCT5min |
83.15 ± 11.89 (77.58 to 88.72) |
72.43 ± 12.55 (66.56 to 78.30) |
85.17 ± 9.46 (80.74 to 89.60) |
78.21 ± 11.65 (72.75to 83.66) |
| GR-HCT10min |
82.11 ± 12.89 (76.07 to 88.14) |
68.26 ± 14.17 (61.62 to 74.89) |
85.82 ± 16.08 (78.29 to 93.35) |
67.07 ± 14.39 (60.33 to 73.81) |
| Tissue temperature (°C) | ||||
| GR-HCT5min |
36.51 ± 0.085 (36.47 to 36.55) |
37.37 ± 0.35 (37.20 to 37.53) |
36.51 ± 0.085 (36.47 to 36.55) |
37.37 ± 0.35 (37.20 to 37.53) |
| GR-HCT10min |
36.49 ± 0.081 (36.45 to 36.52) |
38.09 ± 0.12 (38.03 to 38.14) |
36.49 ± 0.081 (36.45 to 36.52) |
38.09 ± 0.12 (38.02 to 38.14) |
| Maximum forearm muscle strength [kgf] | ||||
| Rest | Post | |||
| GR-HCT5min |
50.43 ± 8.63 (46.39 to 54.46) |
58.05 ± 9.56 (53.57 to 62.52) | ||
| GR-HCT10min |
47.45 ± 5.39 (44.92 to 49.97) |
54.17 ± 5.22 (51.72 to 56.61) | ||
| Conditions | MFCR | MBR |
|---|---|---|
| ΔPerfusion Unit (post-rest) | ||
| GR-HCT5min | 3.78 ± 1.45 (3.10 to 4.46) | 4.18 ± 1.47 (3.49 to 4.87) |
| GR-HCT10min | 15.67 ± 4.04 13.78 to 17.56) | 18.19 ± 4.57 (16.05 to 20.32) |
| ΔMuscle Tone(post-rest) [Hz] | ||
| GR-HCT5min | −0.36 ± 1.88 (−1.24 to 0.53) | −0.42 ± 0.95 (−0.86 to 0.02) |
| GR-HCT10min | −0.86±2.00 (−1.79 to 0.07) | −0.90 ± 1.13 (−1.43 to −0.37) |
| ΔStiffness(post-rest) [N/m] | ||
| GR-HCT5min | −13.40 ± 66.71 (−44.62 to 17.82) | −2.90 ± 24.17 (−14.21 to 8.41) |
| GR-HCT10min | −31.70 ± 59.84 (−59.71 to −3.69) | −15.00 ± 32.81 (−30.35 to 0.35) |
| ΔElasticity(post-rest) [arb] | ||
| GR-HCT5min | 0.07 ± 0.12 (0.01 to 0.12) | −0.003 ± 0.08 (−0.04 to 0.04) |
| GR-HCT10min | −0.04 ± 0.27 (−0.17 to 0.09) | −0.07 ± 0.26 (−0.19 to 0.05) |
| ΔPressure pain threshold(post-rest) [N/cm] | ||
| GR-HCT5min | −10.72 ± 7.47 (−14.21 to −7.23) | −6.97 ± 5.24 (−9.42 to −4.51) |
| GR-HCT10min | −13.85 ± 12.91 (−19.89 to −7.81) | −18.75 ± 17.61 (−26.99 to −10.51) |
| Δ Tissue temerature (post-rest) [°C] | ||
| GR-HCT5min | 0.85 ± 0.36 (0.69 to 1.02) | 0.85 ± 0.36 (0.69 to 1.02) |
| GR-HCT10min | 1.60 ± 0.14 (1.53 to 1.67) | 1.61 ± 0.15 (1.54 to 1.67) |
| ΔMaximum forearm muscle strength (post-rest) [kgf] | ||
| GR-HCT5min | 7.62 ± 4.37 (5.58 to 9.66) | |
| GR-HCT10min | 6.72 ± 2.15 (5.71 to 7.72) | |
Disclaimer/Publisher’s Note: The statements, opinions and data contained in all publications are solely those of the individual author(s) and contributor(s) and not of MDPI and/or the editor(s). MDPI and/or the editor(s) disclaim responsibility for any injury to people or property resulting from any ideas, methods, instructions or products referred to in the content. |
© 2024 by the authors. Licensee MDPI, Basel, Switzerland. This article is an open access article distributed under the terms and conditions of the Creative Commons Attribution (CC BY) license (https://creativecommons.org/licenses/by/4.0/).
Share and Cite
Kużdżał, A.; Muracki, J.; Makar, P.; Roczniok, R.; Studnicki, R.; Pożarowszczyk-Kuczko, B.; Kawczyński, A.; Trybulski, R. Assessment of the Impact of Heat-Compression Therapy Time on Muscle Biomechanical Properties and Forearm Tissue Perfusion in MMA Fighters—A Pilot Study. Appl. Sci. 2024, 14, 8659. https://doi.org/10.3390/app14198659
Kużdżał A, Muracki J, Makar P, Roczniok R, Studnicki R, Pożarowszczyk-Kuczko B, Kawczyński A, Trybulski R. Assessment of the Impact of Heat-Compression Therapy Time on Muscle Biomechanical Properties and Forearm Tissue Perfusion in MMA Fighters—A Pilot Study. Applied Sciences. 2024; 14(19):8659. https://doi.org/10.3390/app14198659
Chicago/Turabian StyleKużdżał, Adrian, Jarosław Muracki, Piotr Makar, Robert Roczniok, Rafał Studnicki, Beata Pożarowszczyk-Kuczko, Adam Kawczyński, and Robert Trybulski. 2024. "Assessment of the Impact of Heat-Compression Therapy Time on Muscle Biomechanical Properties and Forearm Tissue Perfusion in MMA Fighters—A Pilot Study" Applied Sciences 14, no. 19: 8659. https://doi.org/10.3390/app14198659
APA StyleKużdżał, A., Muracki, J., Makar, P., Roczniok, R., Studnicki, R., Pożarowszczyk-Kuczko, B., Kawczyński, A., & Trybulski, R. (2024). Assessment of the Impact of Heat-Compression Therapy Time on Muscle Biomechanical Properties and Forearm Tissue Perfusion in MMA Fighters—A Pilot Study. Applied Sciences, 14(19), 8659. https://doi.org/10.3390/app14198659

