Abstract
Chokeberries, which belong to the rose family (Rosaceae), have received increasing research attention due to their high content of secondary metabolites, especially oligomeric proanthocyanidins (OPCs). OPC-rich extracts are attributed to various positive health effects, including antioxidant or anti-inflammatory properties, which is why they are sold as food supplements. However, knowledge about the antioxidant properties of single OPCs is quite limited. Several separation steps with different separation techniques were performed to isolate OPCs from a pre-produced extract. More than 90 analytes were detected in the enriched fractions, which include eight OPCs, four cinchonains and one hexoside, including their respective isomers. For the characterization of the OPCs, high-resolution mass spectrometry coupled with liquid chromatography (LC-HRMS) was used. Based on the fragment spectra of the MS2 experiments, conclusions about the fragmentation pathways and the structure of six new OPCs could be drawn. After isolating trimers, tetramers and pentamers, it was possible to test the antioxidant effect in relation to the individual degrees of polymerization (DP) or structures. The Trolox-equivalent antioxidant capacity (TEAC) test showed that all OPCs investigated exhibit antioxidant effects and a first correlation between the antioxidant effect and the DP could be postulated, which suggests new possibilities for the design of food supplements.
1. Introduction
In recent years, the utilization of fruits, especially berries, with a high amount of phytochemicals, such as polyphenols, anthocyanins and proanthocyanidins, has increased significantly [1,2]. The black chokeberry Aronia melanocarpa as well as Aronia × prunifolia, a natural hybrid of Aronia arbutifolia × Aronia melanocarpa, belong to this group of plants, the so-called superfoods [3]. Chokeberries have a high content of polyphenols; therefore, they are claimed to have health-promoting properties such as antioxidant, antimicrobial and antiproliferative effects [4,5,6]. This is why chokeberry extracts are also being used as a dietary supplement [7,8]. The global market for dietary supplements has grown strongly in recent years, particularly in North America, Asia and Europe, which is why this sector has become the focus of increasing economic and scientific attention [9]. The polyphenol content of chokeberries is composed of flavonols, flavanols, phenolic acids, anthocyanins and, in particular, proanthocyanidins [10]. Proanthocyanidins are oligomers and polymers of polyhydroxylated flavan-3-ols linked by interflavan carbon–carbon bonds located at C4 → C8 or at C4 → C6 (B-type linkage) with a further possible ether bond between C2 and C7 (A-type linkage) (Figure 1B).
Figure 1.
(A) Structures of catechin and epicatechin and (B) linkage types of proanthocyanidins and possible subunits. Adapted with permission from Müller et al. [11]. Copyright 2021 American Chemical Society.
The major group of OPCs are the procyanidins, which are formed of (epi)catechin monomeric units (Figure 1A). Less abundant are the prodelphinidins, which consist of (epi)gallocatechin units and the propelargonidins, which are composed of (epi)afzelechin monomers [12]. Due to the different monomers from which the OPCs can be composed and the two possible types of linkage between the subunits, OPCs have a very large structural diversity. Another factor for the huge diversity of this substance class is the different DP.
Among the dark berries, chokeberries contain by far the highest amount of proanthocyanidins with up to 664 mg/100 g fresh weight, where mainly OPCs with a DP of 4–10 and >10 are represented. In comparison, the total proanthocyanidin content of blueberries and blackberries is only 27–148 mg/100 g fresh weight [13,14]. Based on the high content of OPCs, chokeberries are attributed strong antioxidant potential. Since oxidative damage, caused by reactive oxygen species (ROS), plays a role in aging and various associated degenerative diseases such as heart disease, cognitive disorders and cancer, antioxidant mechanisms are important to combat these diseases [15]. Eliminating these damaging ROS is possible with two approaches. Firstly, through endogenous antioxidants, which the human body produces itself, and secondly, through exogenous antioxidants, which must be obtained from the diet [16]. Endogenous antioxidants are enzymes such as glutathione peroxidase, superoxide dismutase and catalase which transform the ROS into more stable and usually less reactive species [17]. Exogenous antioxidants often include low-molecular-weight compounds such as vitamin C or E, carotenoids, glutathione or flavonoids. The antioxidant effect of proanthocyanidins is suggested due to the presence of vicinal hydroxy groups on the B-ring of the respective monomers, which are able to perform an H-atom transfer to the radicals and thus modify them [18]. According to this, it can be assumed that OPCs have a stronger antioxidant effect than monomers, as a larger number of hydroxy groups per mol are present.
The aim of this study was to determine whether the highly mentioned antioxidant effects of OPC-rich extracts are related to the DP of OPCs present in Aronia × prunifolia ‘Nero’ using cell-free and cell-based test systems. OPCs were previously isolated and characterized via high-resolution mass spectrometry.
2. Materials and Methods
2.1. Chemicals and Cell Culture
All chemicals and reagents used are given with their abbreviation, purity, distributor and city/country of origin. Millipore water was generated by reverse osmosis using a miniRo station (Veolia Water Technologies Deutschland GmbH, Celle, Germany). The solvents used to obtain a crude extract from chokeberry pomace, which was purchased from a local health food store and originates from the variety Aronia × prunifolia ‘Nero’, and to extract the OPCs from it were of analytical grade or LC-MS quality.
Acetone (Carl Roth GmbH & Co. KG, Karlsruhe, Germany) and pure water besides ethyl acetate (Carl Roth) were used to obtain the crude extract. Subsequently, it was dissolved in ethanol (EtOH, VWR, Darmstadt, Germany) and fractionated with SephadexTM LH-20 (GE Healthcare, Uppsala, Sweden) additionally using methanol (MeOH, Fisher Scientific, Schwerte, Germany) as an eluent. Chromatographic separation was performed using acetonitrile (ACN, Fisher Scientific) with formic acid (FA, Merck KGaA, Darmstadt, Germany) and pure water with FA and MeOH.
The established human colon adenocarcinoma cell line HT29 was obtained from the DSMZ (German Collection of Microorganisms and Cell Cultures GmbH, Braunschweig, Germany) [19]. For general cell cultivation, DMEM with 10% fetal calf serum (FCS, Fisher Scientific) and 1% penicillin/streptomycin solution (1/1 (v/v) 10,000 U/mL/10,000 µg/mL, Fisher Scientific) was utilized. Other used chemicals for the cell culture experiments were trypsin solution (0.05% (w/v), Fisher Scientific) and phosphate buffer saline (PBS) containing 180 g of sodium chloride (Carl Roth), 8.18 g of disodium phosphate (Carl Roth) and 4.2 g of potassium hydrogen phosphate (Carl Roth) in 1 L of purified H2O at pH 7.4, diluted 1 + 19 (v/v) with purified water. All test substances were dissolved in dimethyl sulfoxide (DMSO, ≥99.5%, BioScience Grade for molecular biology, Carl Roth).
For the determination of the antioxidant capacities in the cell-free TEAC assay, 2,2′-azino-bis-(3-ethylbenzothiazoline-6-sulfonic acid) (ABTS, ≥99%, Fluka Chemie GmbH, Buchs, Switzerland), Trolox ((±)-6-hydroxy-2,5,7,8-tetramethylchromane-2-carboxylic acid) (Sigma-Aldrich Chemie GmbH, Taufkirchen, Germany) and potassium peroxodisulfate (Merck) were used. For the cell-based modified DCFH2-DA 2′,7′-dichlorofluorescein diacetate (DCFH2-DA, ≥97%, Sigma-Aldrich), Dulbecco’s modified Eagle medium (DMEM, Fisher Scientific) without phenol red for cell cultivation and tert-butyl hydroperoxide solution (TBH, 70% (w/v), Sigma-Aldrich) for reactive oxygen species induction was utilized.
2.2. Extraction of Plant Material
The commercially available organic certified chokeberry pomace was ground with a grinder (Grindomix GM 200, Retsch GmbH, Haan, Germany) to a fine powder. With a mixture of acetone/H2O (70/30, v/v) (950 mL) 65 g of the pomace powder was extracted two times. Via rotary evaporation, the acetone was removed afterwards, and the watery phase was three times extracted with ethyl acetate. The ethyl acetate fractions were combined, evaporated to dryness and lyophilized (Gamma 1-20, Martin Christ Gefriertrocknungsanlagen GmbH, Osterode am Harz, Germany). The extraction was performed a total of four times and resulted in yield of the crude extract of 9.29 g (3.67%). To generate a higher yield for following experiments, the entire extraction was repeated a total of four times.
2.3. Isolation and Characterization of OPCs
For the prefractionation, the crude extract was dissolved in 96% ethanol and separated by classical column chromatography with a SephadexTM LH-20 (50 g) column (43 × 2.5 cm). Separation via column chromatography and all following steps were performed six times. About 5 mL of crude extract was loaded on the column end and first eluted with EtOH/H2O (96/4, v/v) under isocratic conditions. Collection of the fractions was performed by using a fraction collector (Superrack 2211, LKB Bromma, Stockholm, Sweden). Time of collection was adjusted for all fractions to have a volume of approximately 6 mL. First solvent switch to MeOH/H2O (90/10, v/v) was implemented after eluting fraction 30, and second switch to acetone/H2O (70/30, v/v) was after eluting fraction 150. In total, 240 fractions were collected and afterwards analyzed via high-performance liquid chromatography (HPLC) coupled with HRMS using an LTQ Orbitrap XL mass spectrometer with heated electrospray ionization (HESI) (Thermo Fisher Scientific, Dreieich, Germany) in negative ionization mode coupled with a Nexera XR LC-20AD pump, Nexera XR SIL-20AC autosampler and CTO-10AS vp column oven (all Shimadzu Deutschland GmbH, Duisburg, Germany). The HRMS parameters are shown in Supporting Information Table S1. For the chromatographic separation, a Nucleodur phenyl-hexyl column (100 × 2 mm, 3 µm) with precolumn (4 × 2 mm) (both Macherey-Nagel GmbH & Co. KG, Düren, Germany) was utilized. The separation was carried out with a constant flow rate of 0.3 mL/min using solvents (A) ACN + 0.1% formic acid (FA), (B) H2O + 0.1% FA with the following gradients: 0 min, 5% A; 30 min, 100% A; 32.1 min 5% A (total length of the method was 35 min). The column oven was set to 35 °C throughout the method. Data analysis was performed using the Xcalibur 3.1 software (Thermo Fisher Scientific) and the Skyline 24.1 software (MacCoss Lab Software, Seattle, WA, USA) where all raw data files of the analyzed fractions were uploaded. All raw data were searched for exact masses specific for known OPCs based on a mass list by Li et al. [20] and Müller et al. [11] via Skyline. Based on these results, four enriched fractions with similar OPC pattern were combined out of the 240 Sephadex fractions. Figure 2 gives an overview of the performed fractionations and their output.
Figure 2.
Overview of the performed extraction and fractionations. The first fractionation was implemented on a SephadexTM LH-20 column and resulted in four enriched fractions (DiF, TriF, TetF, PenF). Three of these were then purified in the second fractionation on a diol column, resulting in the so-termed subfractions (TriS, TetS, PenS). These were then used to form the subfractions with the four selected main substances (SmSTri, SmSCin, SmSTet, SmSPen).
The fractions (presumably DiF: 188 mg yield; TriF: 139 mg yield; TetF: 39.0 mg yield; PenF: 108 mg yield) were evaporated to dryness, lyophilized and dissolved in ACN/MeOH (4/1, v/v) for further fractionation and purification. The subsequent fractionation was performed with a Jasco HPLC system with florescence detection (FLD) (Jasco Deutschland GmbH, Pfungstadt, Germany) under hydrophilic interaction liquid chromatography (HILIC) conditions for all enriched fractions except DiF. As a stationary phase for the chromatographic separation, a LiChrospher 100 Diol column (250 × 4 mm, 5 µm) with precolumn (4 × 4 mm) (both Merck) was utilized. With a constant flow rate of 3.5 mL/min, the following gradient with solvents (A) ACN and (B) MeOH/H2O (95/5, v/v) was applied: 0 min, 100% A; 1 min, 100% A; 25 min, 70% A; 25.1 min 60% A; 35 min, 60% A; 35.1 min, 100% A (total length of 38 min) [11,21]. For detection, the following parameters were applied: λem = 316 nm; λex = 276 nm. A volume of 100 µL of the enriched fractions was injected per run, and subfractions were collected by FLD signals. For the TriF, in total, 21 subfractions (TriS), for TetF 28 subfractions (TetS) and for the PenF 10 subfractions (PenS) were collected. An exemplary chromatogram of TriF separation is available in Supporting Information Figure S1. The collected subfractions from each run were combined by retention time (tR) and subsequently analyzed via LC-HRMS using a Nexera XR and LTQ Orbitrap XL system with the previously described parameters. Based on these results, subfractions with the same substance compositions were pooled, and the structures of selected m/z were characterized. All combined subfractions were lyophilized, and some selected characterized samples were used for follow-up experiments to test the antioxidant capacity. The selected subfractions contain a highly enriched main substance, for example, the trimer m/z 865, and should represent OPCs with different DP. In addition to the four selected, enriched subfractions (which are referred to hereinafter as test-substances), the crude extract, which contains all of these substances, was also examined. However, these are present in the crude extract in much lower concentrations and alongside many further substances.
2.4. Evaluation of Antioxidant Capacity Using the Trolox Equivalent Antioxidant Capaciy (TEAC) Assay
To analyze the antioxidant activity of a B-type trimer, B-type tetramer, B-type pentamer and B-type cinchonain trimer, the antioxidant capacity values were determined in Trolox equivalents [22]. An aqueous solution of 2.45 mM potassium peroxodisulfate and 7 mM ABTS was stored for minimum 12 h under exclusion of light at room temperature to obtain the ABTS radical cation solution. The dark blue solution was diluted with ethanol (1 + 50, v/v) to an absorbance value E of E = 0.70 ± 0.20 at 30 °C and λ = 734 nm [23]. The four test-substances as well as the crude extract, quercetin and Trolox were dissolved and diluted in ethanol. In each well of the 96-well plates (Sarstedt AG & Co. KG, Nümbrecht, Germany), 2 µL of the diluted sample, Trolox and blank (solvent ethanol) were submitted, and 198 µL of the diluted ABTS radical cation solution was added. Final concentration of Trolox was between 0 and 30 µM and of the tested compounds between 0 and 12 µM, respectively, between 0 and 100 µg/mL for the crude extract. Each compound was measured in triplicates, and each experiment was conducted three times. The 96-well plate was sealed off and directly analyzed in a Tecan infinite 200 PRO microplate reader (Tecan Trading AG, Männedorf, Switzerland). After a six-minute incubation period at 30 °C in the plate reader, for each well the absorbance was measured at λ = 734 nm. The relative inhibition of absorbance to the blank is plotted against the concentrations of the test compounds and Trolox. To determine the TEAC value, the slope of the linear regression of the test compound is divided by the slope of the linear regression of Trolox.
2.5. Cell Culture
HT29 cells were cultivated in DMEM supplemented with 10% FCS and 1% penicillin/streptomycin at 37 °C and 5% CO2. Cells with passage numbers from five to twenty-five were used for cell culture experiments, to make sure that cells have adapted to culture conditions and receive a higher guarantee of comparability in the experiments. OPCs were dissolved in DMSO, which also served as a negative control (DMSO 1%) for the experiments. Each experiment was performed in three different cell passages, so that the results summarized three biological replicates.
2.6. Assessment of the Antioxidant Potential Using a Modified Dichlorofluoresceine Diacetate (DCFH2-DA) Assay
The modified version of the DCFH2-DA assay was performed according to the protocol of Alfke et al. [24]. In a black 96-well cell culture microplate (Greiner Bio-One GmbH, Frickenhausen, Germany), 12,000 HT29 cells/well were seeded in 200 µL medium and cultivated for 72 h. Outer columns and rows were only filled with medium to ensure comparable conditions across the entire plate. Cells were washed with 200 µL/well PBS and pre-incubated with the test-substances in six different concentrations for 1 h under cell culture conditions. The medium was removed after 1 h and cells were washed with 200 µL/well PBS. From this point onwards, work was carried out in the absence of light. For the following incubation, 200 µL of 50 mM DCFH2-DA solution in PBS was added per well, and the cells were cultured under cell culture conditions for 30 min. The solution was removed, and the cells were washed with PBS as previously described. In the last incubation step, 200 µL/well serum- and supplement-free DMEM without phenol red were added to the cells of the negative control. All other cells were treated with 200 µL/well 250 µM TBH solution in serum- and supplement-free DMEM without phenol red. Cells that had not been pre-incubated, yet had received TBH treatment, served as a positive control. The cell culture microplate was placed directly in a microplate reader (Infinite 200 pro, Tecan Austria GmbH, Grödig, Austria) which was pre-heated at 37 °C. The plate was shaken before every measurement, and the fluorescence intensity at λex = 485 nm and λem = 535 nm was measured every 10 min for the total of 2 h. To determine the redox status of the cells of each well, the difference in the fluorescence between t0 (starting fluorescence) and after 10 min, 30 min, 60 min, 90 min and 120 min was divided by the t0. Thereafter, the calculated relative fluorescence intensity increase is related to the untreated negative control. In order to evaluate the antioxidant effects of the test-substances, a comparison was made with the positive control, which was exclusively incubated with TBH. Each experiment was implemented in biological triplicates with four technical repetitions. In order to obtain intrinsic fluorescence of the four tested analytes, a preliminary test was carried out. These were measured in the same concentrations and for the same lengths of time in medium without phenol red and afterwards corrected by means of a blank value (medium without phenol red). None of the four analytes exhibited intrinsic fluorescence.
2.7. Software and Statistics
For the analysis of HPLC-HRMS data, Xcalibur 3.1.66.10 (Thermo Fisher Scientific) was used. Microsoft Office Professional Plus 2019 was used to calculate and plot analysis data and for NALIMOV’s test. Statistical analysis and plotting of calculated data were carried out with GraphPad Prism 5.02 (GraphPad Software, Boston, MA, USA) by using Student’s two-way t-test.
3. Results
3.1. Analysis of the Subfractions of Chokeberry Crude Extract Using LC-HRMS
The crude extract of chokeberry pomace of the variety ‘Nero’ was fractionized by various analytical methods to provide a separation of the OPCs by their DP. In total, 59 subfractions were obtained, including trimers, tetramers, pentamers and hexamers. OPCs of these subfractions were characterized by using LC-HRMS. The characterization was based on the exact mass of the OPCs and by taking the product ions into account. Particularly, the fragment ions of the MS2 experiments gave hints of the alleged structures. Thirteen structurally different OPCs as well as potential isomers of these were observed. A total of 58 analytes were detected (Table 1), including five trimers, four tetramers, two pentamers and one hexamer. Additionally, one dimer of interest was detected. A distinction between cis/trans isomers was not possible based on the MS data as well as the determination of the type of interflavan bond. The options are a bond between C4 → C6 or between C4 → C8 of the C-ring from one monomer and the D-ring of the second monomer.
Table 1.
Isolated OPCs from Aronia × prunifolia ‘Nero’. Allocation was based on the retention times (tR), exact mass and molecular formulas. Molecular formulas were obtained under consideration of a mass tolerance of 5 ppm. Additionally, the postulated linkage as well as specific MS2 ions of the OPCs are shown. Main isomers are marked bold. * Double-charged quasi-molecular ion [M-2H]2−.
Overall, five isomers of the OPC with m/z 739 (dimer) were detected. The 17 analytes belonging to the group of trimers are three isomers with m/z 863, seven isomers with m/z 865, one single substance with m/z 879, three isomers with m/z 1025 and three isomers with m/z 1027. Five isomers with m/z 1151, seven isomers with m/z 1153, three isomers with m/z 1315 and three isomers of m/z 1167 were found and can be assigned to the tetramers. For the pentamers 11 analytes, six doubly charged isomers with m/z 720 and five with m/z 801 could be detected. In addition, six doubly charged isomers with m/z 864 which belong to hexamers were identified. The OPCs displayed in Figure 3 with m/z 1441, 1603 and 1729 were identified by the above-mentioned double-charged quasi-molecular ions [M-2H]2− with m/z 720, 801 and 864. Müller et al. [11] showed that the OPCs with m/z 863, 865, 879, 1027, 1151, 1153 and 1441 are present in Aronia melanocarpa and characterized the structures of these OPCs. Besides these, six new OPCs were detected in Aronia × prunifolia ‘Nero’ and could be characterized. The LC-HRMS data of the different identified OPCs are compiled in Table 1. Fragmentation spectra of the six new potential OPCs are shown for one of the isomers in Supporting Information Figures S2–S7.
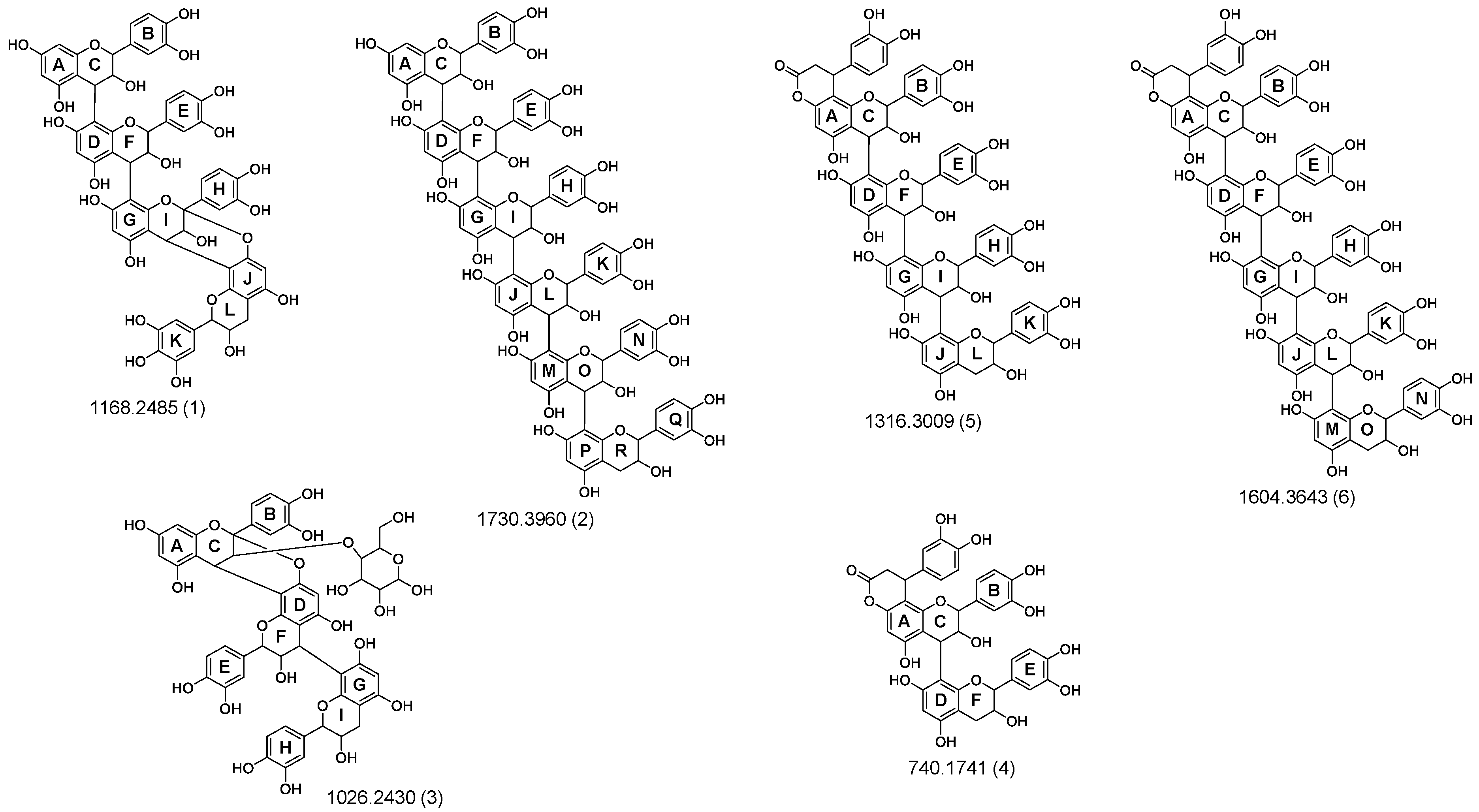
Figure 3.
Predictive structures of the new characterized OPCs in Aronia × prunifolia ‘Nero’.
3.2. Identification and Characterization of OPCs in Purified Subfractions via Fragment Spectra
Depending on the MS2 data and the exact mass of the OPCs, it was possible to forecast the structures of six new OPCs in Aronia × prunifolia ‘Nero’, which are shown in Figure 3. The structures were determined by fragmentation mechanisms, which are described for OPCs in the literature. These mechanisms are the retro-Diels–Alder reaction (RDA), quinone methide (QM) cleavage and heterocyclic ring fission (HRF).
The m/z 1167 ion (suggested molecular formula of C60H47O25 [M-H]−) is allocated to an A-type procyanidin tetramer with one (epi)gallocatechin subunit (Figure 3 (1)). The main fragment ion m/z 591, which is formed by QM fission between the F-ring and G-ring, presents a (epi)catechin and a (epi)gallocatechin subunit which likely has an A-type linkage. This could be confirmed with the fragment ion m/z 465 ([M-126-H]−), which is generated by HRF at the I-ring of the fragment ion m/z 591. Another indication of the proposed structure is the fragment ion m/z 1015 ([M-152-H]−), which is the result of the RDA cleavage at the F-ring of the second (epi)catechin subunit and/or the C-ring of the first (epi)catechin subunit. The fragment ion of m/z 997 ([M-152-18-H]−) results from the RDA cleavage in combination with a loss of H2O. Another loss of H2O from the main ion m/z 1167 results in m/z 1149 ([M-18-H]−). The product ion of m/z 879 ([M-288-H]−) arises from a QM cleavage at the C-ring of the (epi)catechin subunit and leads to the loss of this complete subunit. Further fragmentation of this fragment ion by HRF of the F-ring leads to m/z of 753 ([M-288-126-H]−), and the loss of H2O is indicated due to the presence of m/z 861 ([M-288-18-H]−). This consolidates the assumption of the tetrameric structure of m/z 1167. Further fragmentations can be described by an HFR at the C-ring which leads to m/z 1041 ([M-126-H)−] as well as two consecutive QM fissions of the parent ion resulting in m/z 863 and m/z 573. Based on these data, it is postulated that the m/z 1167 ion is a tetramer which consists of (epi)catechin subunits with a terminal A-type linkage of a terminal (epi)gallocatechin subunit.
The six isomers of the OPC hexamer (1730 Da; Figure 3 (2)) are detected as double-charged quasi-molecular ions with m/z 864 ([M-2H]2−), which could be confirmed by a mass difference of 0.5 Da between the signals of the isotopic pattern (Supporting Information Figure S15). The m/z 864 ion is probably a B-type procyanidin hexamer consisting of (epi)catechin units. The QM cleavage of the terminal (epi)catechin subunit results in the fragment ion m/z 1439 ([M-290-H]−), which is followed by an HRF fragmentation which leads to m/z 989 or m/z 449. Another QM fission between the L-ring and the M-ring of two (epi)catechin units results in the main fragment ions m/z 1151 ([M-290-H]−) or between the F-ring and the G-ring the fragment with m/z 1153 ([M-288-H]−). In combination with a further QM cleavage of these two fragmentations, the fragments with m/z 575 or m/z 577 are formed. The m/z 407 ion arises by RDA in combination with loss of H2O ([M-170-H]−) from the parent ion. The fragment ion of m/z 287 is also formed by a QM cleavage of the parent ion and represents the cleavage of a (epi)catechin subunit. Another fragmentation way from the parent ion m/z 1729 results in the fragment ion of m/z 1315, which is created by HRF of the F-ring. If the HRF takes place in the L-ring, it results in m/z 739.
The substance with m/z 1027 is a phenylpropanoid-conjugated OPC trimer, a so-called cinchonain. Another detected substance with an m/z of 1025 might suggest a cinchonain with an A-Type linkage; however, due to the difference between the exact mass of an A-Type cinchonain with C54H41O21− (calculated m/z 1025.2146) and the accurate mass of the observed ion m/z 1025.2311 (equates to 16.5 ppm deviation), this idea must be forfeit. The other possibility is that the substance is a hexoside trimer (Figure 3 (3)) with an A-type linkage with a molecular formula of C54H45O23 ([M-H]−) and an exact mass of m/z 1025.2357. Therefore, the mass errors of the accurate masses of the three detected hexoside isomers are -4.6 ppm for m/z 1025.2311, -2.1 ppm for m/z 1025.2336 and -1.4 ppm for m/z 1025.2343. Due to the proposed molecular formula and the accurate mass of the three isotopes, it is assumed that they are three hexoside trimer isotopes with an A-type linkage. This assumption is supported by the MS2 experiments, which are described in detail hereinafter. The suggested fragments and the possible fragmentation pathway as well as the postulated structure of the hexoside trimer in negative ionization mode are presented in Figure 4.
Figure 4.
Presumed fragmentation pathway of the hexoside trimer found in Aronia × prunifolia ‘Nero’ with HRMS in negative ionization mode. The fragmentation mechanisms mainly involved retro-Diels–Alder reaction (RDA), quinone methide cleavage (QM) and heterocyclic ring fission (HRF).
Based on the fragmentation, it is expected that the hexose residue is attached to the C-ring of the upper (epi)catechin subunit of the A-type OPC trimer. The main fragment ion m/z 735 ([M-290-H]−) resulted in a QM cleavage of one (epi)catechin subunit. This subunit loss indicates that the C-ring and the D-ring are connected through an A-type linkage. A further hint for this position of the linkage is the fragment ion with m/z 573, which is formed via HRF. It is assumed that the fragment m/z 447 is generated from further QM fission at the fragment m/z 735. Via the RDA reaction of the H-ring and parts of the I-ring, the fragment m/z 873 ([M-152-H]−) is generated. The additional loss of H2O at this fragment leads to m/z 855. A further RDA reaction of the fragment ion m/z 873 resulted in the fragment with m/z 721 ([M-152-H]−), and by a combined RDA with a loss of H2O, m/z 703 ([M-152-18-H]−) is formed. Based on the characteristic fragments, it is assumed that the m/z 1025 ion is a hexoside procyanidin, which consists of three (epi)catechin subunits with an A-type linkage between the first and second subunit.
In addition to the above-mentioned cinchonain with m/z 1027, three additional cinchonains were detected. The m/z 739 ion with the suggested molecular formula of C39H31O15 ([M-H]−) is assigned to a cinchonain dimer formed out of (epi)catechin units (Figure 3 (4)). Due to the fragmentation, it is expected that the phenylpropanoid moiety is conjugated on the A-ring of the molecule. The loss of H2O of the parent molecule formed the ion with m/z 721. By QM fission at the C-ring, either m/z 451 ([M-288-H]−) or m/z 449 and m/z 289 are generated. Cleavage of the entire B-ring of the fragment ion m/z 449 or of the pyrocatechol of the phenylpropanoid moiety leads to m/z 339 ([M-110-H]−). The main fragment ion m/z 587 ([M-152-H]−) is formed by the RDA reaction of the E-ring and parts of the F-ring or the B-ring and parts of the C-ring of the molecule. In addition to a H2O loss, the ion with m/z 569 ([M-152-18-H]−) is generated. An additional RDA at the fragment ion m/z 587 resulted in m/z 435. The cleavage of the entire E-ring results in m/z 629 ([M-110-H]−). Based upon these fragments, it is proposed that the m/z 739 ion is a cinchonain dimer, which is structured of two (epi)catechin subunits with a B-type linkage and a conjugated phenylpropanoid moiety at the A-ring of the upper (epi)catechin unit.
The m/z 1315 ion is proposed as a cinchonain tetramer (Figure 3 (5)). Therefore, the fragmentation pattern of m/z 1315 is delved into in more detail to confirm the proposed structure (Figure 5). Based on the predicted molecular formula C69H55O27 ([M-H]−), it is expected that the cinchonain included only B-type linked (epi)catechin subunits along with a phenylpropanoid moiety.
Figure 5.
Presumed fragmentation pathway of the cinchonain tetramer found in Aronia × prunifolia ‘Nero’ with HRMS in negative ionization mode. The fragmentation mechanisms involved mainly retro-Diels–Alder reaction (RDA) and quinone methide cleavage (QM).
The main fragment ion with m/z 737 is formed by a QM fission between the F-ring and the G-ring with the loss of two (epi)catechin subunits. Another possible fragment of this QM fission is m/z 575. Via a subsequent RDA which leads to the loss of the K-ring and parts of the L-ring, the m/z 423 fragment ([M-152-H]−) is formed. The m/z 405 ion is generated by an additional loss of water compared to the m/z 423 fragment. A loss of water at the parent ion resulted in m/z 1297 ([M-18-H]−). The structure of this fragment is not displayed in Figure 5 because the position where the water cleavage takes place is not clear. A QM fission which results in the loss of one (epi)catechin subunit leads to the fragment with m/z 1025 ([M-290-H). The presence of the m/z of 449 ([M-288-H]−), which results from a further QM cleavage, which is located between the C-ring and the D-ring and leads to the loss of three (epi)catechin subunits, indicates that the molecule is a tetramer consisting of B-type linkages of (epi)catechin units with the conjugated phenylpropanoid moiety at the A-ring. The separation via QM cleavage of three (epi)catechin subunits at the C-ring could also lead to the ion with m/z 865. The m/z 695 fragment ([M-170-H]−) is generated by an additional RDA reaction in combination with a loss of water of the m/z 865 fragment. The m/z 1163 ion ([M-152-H]−) is presumably formed by RDA reaction, e.g., of the B-ring and parts of the C-ring. A loss of H2O of this fragment ion resulted in m/z 1145. The specific fragments and the exact mass suggest that the molecule is a procyanidin, which is made up of four (epi)catechin subunits with B-type linkages and with a conjugated phenylpropanoid moiety at the A-ring of the tetramer.
The isomers with m/z 1603 (Figure 3 (6)) with a proposed molecular formula of C84H67O33 ([M-H]−) were detected as quasi-molecular ions with m/z 801 ([M-2H]2−), which could be confirmed by the mass difference of 0.5 Da between the isotopic pattern signals (Supporting Information Figure S16). The mass difference of 288 Da compared to m/z 1315 suggests that the molecule is a cinchonain pentamer, with the 288 Da corresponding to another (epi)catechin unit. A QM cleavage at the L-ring resulted in the loss of a (epi)catechin subunit and m/z 1313 ([M-290-H]−). If the QM fission occurs at the I-ring of the molecule, either the fragments with m/z 1027 and m/z 575 or m/z 1025 and m/z 577 are generated. The C9 moiety is positioned on the fragments m/z 1027 or m/z 1025 at the A-ring of the molecule. Another possible position for a QM cleavage is the F-ring, which then resulted in m/z 865 and m/z 737. In this case, m/z 865 represents three (epi)catechin subunits and m/z 737 two (epi)catechin subunits with the conjugated phenylpropanoid moiety. An additional QM fission at the C-ring of the fragment ion m/z 737 resulted in m/z 449 ([M-288-H]−). Depending on the mentioned fragmentation pattern, it is proposed that the structure of the cinchonain pentamer consists of five (epi)catechin units which possess a B-type linkage and a conjugated C9 moiety at the A-ring of the molecule.
The seven OPCs with m/z 863, 865, 879, 1027, 1153 and 1441, which were already described in the literature, could be structurally confirmed by their specific fragments and exact masses. The structures are shown in Figure 6, and the fragmentation spectra of the seven OPCs are shown for one of the isomers in Supporting Information Figures S8–S14.
Figure 6.
Confirmed structures of the characterized OPCs in Aronia × prunifolia ‘Nero’, with the exception of (4).
The m/z 863 ion with the molecular formula of C45H35O18 ([M-H]−) is a procyanidin with an A-type linkage, which is made up of three (epi)catechin subunits (Figure 6 (1)). The counterpart with a B-type linkage is m/z 865 (proposed molecular formula C45H37O18 ([M-H]−)), shown in Figure 6 (2). A further molecule with m/z 879 (Figure 6 (3)) is most likely a prodelphinidin trimer which consists of two (epi)catechin subunits and one (epi)gallocatechin subunit which is connected via an A-type linkage. As tetramers, the two ions m/z 1151 and m/z 1153 (Figure 6 (4) and (5)) could be characterized (molecular formulas C60H47O24 ([M-H]−) and C60H49O24 ([M-H]−)), whereby m/z 1151 is elucidated with one A-type linkage and m/z 1153 as the counterpart with only B-type linkages. The m/z 1027 ion with the suggested molecular formula C54H43O21 ([M-H]−) could be identified as cinchonain, a procyanidin which is made up of three (epi)catechin subunits with a conjugated phenylpropanoid moiety at the A-ring of the B-type trimer (Figure 6 (6)). The pentamer consisting of (epi)catechin subunits (Figure 6 (7)) with m/z 1441 was detected as a quasi-molecular ion with m/z 720 ([M-2H]2−), which was confirmed by the mass difference of 0.5 Da between the signal of the isotopic pattern (Supporting Information Figure S17).
3.3. Trolox Equivalent Antioxidant Capacity of Crude Extract and Selected Enriched OPC Subfractions
After the successful characterization of six new OPCs and confirmation of the presence of seven known OPCs from Aronia melanocarpa in Aronia × prunifolia ‘Nero’, four OPCs have been selected to characterize their antioxidant capacity. Furthermore, the antioxidant capacity of the crude extract and quercetin, as a known antioxidant in the literature [25], was analyzed. In the selection process, the highest possible yield of the substances after isolation and a diversity of structures were considered. Subfractions which contain the abundant substances with structures like trimer, tetramer, pentamer and cinchonain trimer (Figure 6 (2) and (5)–(7)), all with a B-type linkage between the (epi)catechin units, were combined for testing antioxidant potential. It has to be mentioned that substances reflect highly enriched fractions from the very complex OPC-rich extract; however, small amounts of other constituents could still be included. But to our best knowledge, data about the antioxidant potential of OPCs in relation to their DP have not been published so far. The subfraction in which m/z 865 is abundantly present is referred to as “Subfraction with the main substance trimer m/z 865” (SmSTri). SmSTet serves as an abbreviation for the subfraction with the tetramer m/z 1153 as the main substance. The combined subfraction which contains the pentamer m/z 1441 as the main substance is labeled SmSPen, and the subfraction with principal substance cinchonain trimer with m/z 1027 is labeled SmSCin.
To characterize the antioxidant capacity, the Trolox equivalent antioxidant capacity assay was used. In order to check the function of the assay, it was carried out with quercetin in addition to the test-substances and the crude extract. For the four OPC subfractions and quercetin, a concentration range of 0.45–11.5 µM was tested, and for the crude extract a range of 5–100 µg/mL was tested, and evaluation was restricted to their linear range. The relative inhibition of absorbance at 30 °C after 6 min of incubation at 734 nm is shown for the enriched subfractions in Figure 7, with the matching inhibition by Trolox in the same plate. The TEAC values were calculated based on their linear regression slope of the relative inhibition of absorbance by the enriched subfractions divided by the corresponding Trolox values as a reference. For all linear regressions, coefficients of determination R2 > 0.98 were calculated.
Figure 7.
Linear regression plots of the TEAC assay. Relative absorbance inhibition through Trolox (white square), SmSTri (circle), SmSTet (triangle), SmSPen (diamond) and SmSCin (black square) with each linear regression.
Results for the crude extract and quercetin were calculated in the same manner, with linear regressions and coefficients of determination R2 > 0.95. These results are presented in Figure 8. All calculated TEAC values are shown in Table 2.
Figure 8.
Linear regression plot of the TEAC assay displaying the relative absorbance inhibition through Trolox (white square), quercetin (triangle) and crude extract (circle) with each linear regression.
Table 2.
Calculated Trolox equivalent antioxidant capacity (TEAC) values of SmSTri, SmSTet, SmSPen, SmSCin, crude extract and quercetin as determined in the TEAC assay.
If a tested compound shows a TEAC value above 1, an antioxidant potential can be postulated. The linear regression slope in the presented plot (Figure 7) as well as the calculated TEAC values (Table 2) show that all the four enriched subfractions exhibit antioxidant capacity. The TEAC value of 0.05 of the crude extract indicates no antioxidant potential. With a TEAC value of 3.82, SmSPen is considered to have the strongest antioxidant potential, followed by the SmSTet, SmSCin and SmSTri.
The TEAC value of 1.12 for quercetin is above 1, which also indicates the antioxidant capacity and is a marker the function of the assay.
3.4. Antioxidant Capacity of Selected Enriched OPC Subfractions and Crude Extract In Vitro
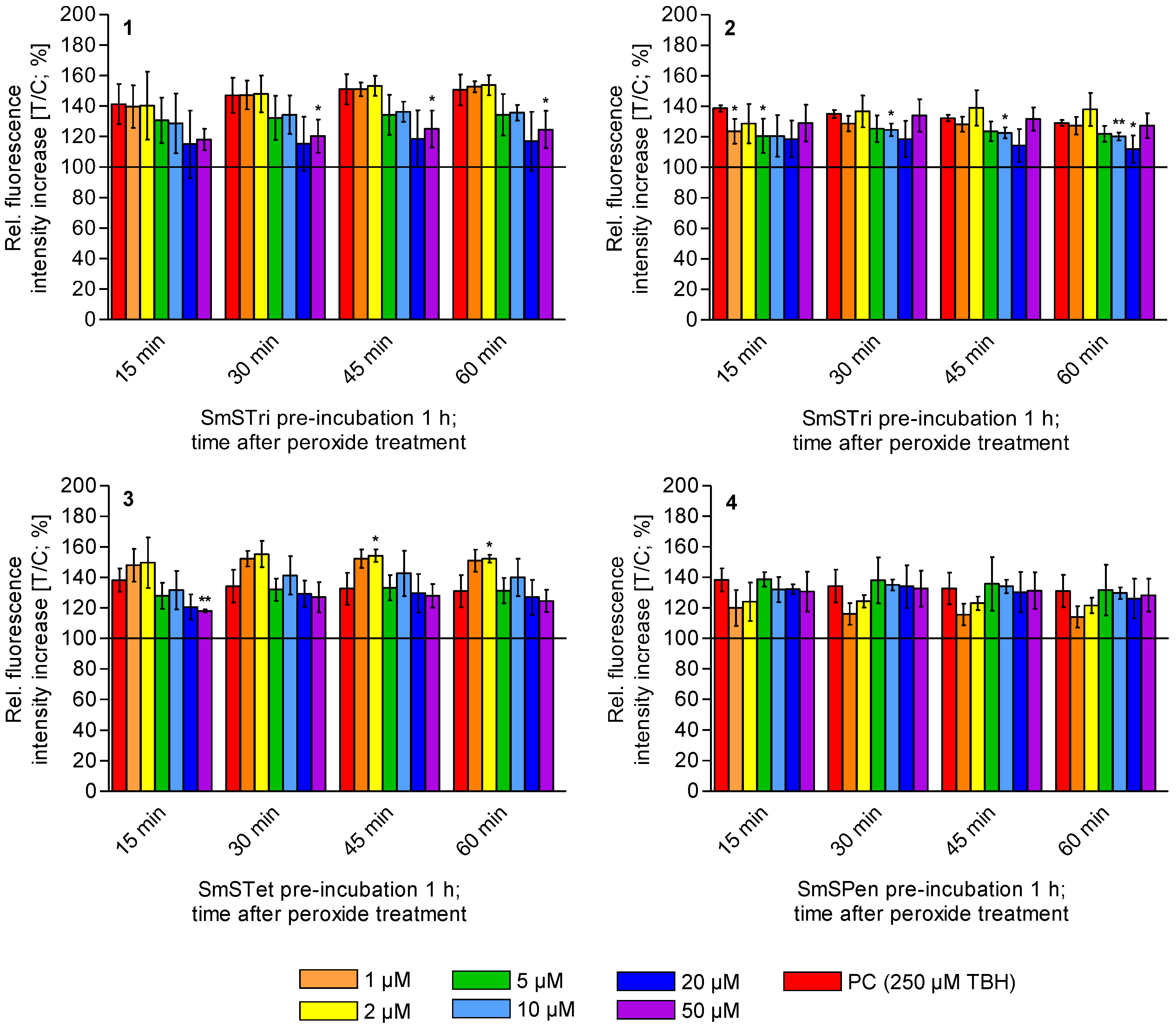
In addition to the cell-free TEAC assay, the antioxidant capacity of the test-substances and the crude extract was tested in vitro using a modified dichlorofluoresceine diacetate (DCFH2-DA) assay. This assay provides indications of the antioxidant effect at the cellular level, whereas cell-free test systems such as the TEAC or FRAP (ferric-reducing antioxidant power) only provide information on the chemical reductive properties of the tested substances. Therefor DCFH2-DA is used as a fluorophore, which is only activated and hence reactive after cellular uptake. For the modification, the cells were pre-incubated with the test-substances for 1 h and subsequently treated with DCFH2-DA. The cells were ultimately treated with TBH to induce intracellular ROS [24]. A reduction in the TBH-induced relative fluorescence over time is an indication of antioxidant capacities due to intracellular ROS scavenging by the test compound. Results are described in comparison to the corresponding positive control (TBH incubation without pre-incubation), and the relative fluorescence intensity increases are shown for 15, 30, 45 and 60 min after the TBH was added (Figure 9). For SmSTri, SmSCin, SmSTet and SmSPen, the pre-incubation was performed for 1 h in a concentration range of 1-50 µM.
Figure 9.
Results of (1) SmSTri, (2) SmSCin, (3) SmSTet and (4) SmSPen for the antioxidant potential via modified DCFH2-DA in vitro assay. Relative fluorescence intensity increases in HT29 cells after application of DCFH2-DA and 250 µM tert-butyl hydroperoxide (TBH)—except for the negative control (1% DMSO). Pre-incubation for 1 h (except NC and positive control (PC)) with (1) SmSTri 1–50 µM; (2) SmSCin 1–50 µM; (3) SmSTet 1–50 µM; (4) SmSPen 1–50 µM. n = 3 × 3; statistical evaluation after NALIMOV’s test (p = 95%) via Student’s two-way t-test against the positive control with p as significance value (* p = 95%, ** p = 99%).
An antioxidant potential could not be proven for all tested compounds, as it was the case in the cell-free TEAC assay. Only SmSTri, SmSCin and SMSTet show antioxidant effects. SmSTri and SmSTet display concentration-dependent antioxidant effects over the time period of 60 min. For SmSTri (Figure 9 (1)), a significant effect occurs at the highest concentration of 50 µM at the time points of 30, 45 and 60 min. The clearest concentration dependency for this compound is after a short incubation period of 15 min with TBH. With time, the relative fluorescence of the PC and the test analytes become more and more similar, for the lower concentrations. SmSTet (see Figure 9 (3)) shows similar effects as SmSTri, whereby a significant antioxidant effect was observed at 50 µM and 15 min after TBH incubation. An overall reduction in the relative fluorescence intensity increase could be observed over the displayed time period for this compound. In addition, further significant effects occur at a concentration of 20 µM and 60 min as well as 1 µM and 5 µM after 10 min incubation with TBH (Figure 9 (2)). Concentration-dependent effects are not as pronounced with SmSCin as with SmSTri and SmSTet. At the highest concentration of 50 µM, there is hardly any reduction in the relative fluorescence intensity increase. No significant antioxidative effects were observed for SmSPen (Figure 9 (4)) over the entire duration. For the two lowest concentrations, however, visible antioxidant effects occur over the entire period.
The antioxidant potential of the crude extract was tested analog to SmSTri, SmSCin, SmSTet and SmSPen. Quercetin was included as a control substance, similar to the TEAC assay. Results for the crude extract are shown in Figure 10.
Figure 10.
Results of crude extract and quercetin as control substance for the antioxidant potential via modified DCFH2-DA in vitro assay. Relative fluorescence intensity increases in HT29 cells after application of DCFH2-DA and 250 µM tert-butyl hydroperoxide (TBH)—except for the negative control (1% DMSO). Pre-incubation for 1 h (except NC and positive control (PC)), n = 2 × 3; statistical evaluation after NALIMOV’s (p = 95%) test via Student’s two-way t-test against the positive control with p as significance value (* p = 95%).
The highest antioxidant properties of the crude extract was develop 15 min after ROS induction. At the concentrations 100 µg/mL, 250 µg/mL, 500 µg/mL, 1 mg/mL and 2.5 mg/mL, the statistical significance of the effect after 15 min is confirmed by using Student’s two-way t-test. Antioxidant effects could still be observed for the mid-range concentration used, 30 min and 45 min after peroxide incubation, although not significantly detectable. For the control substance quercetin, a decrease in the relative fluorescence intensity was observed over the entire time course. A statistically significant reduction was confirmed after 10 min using Student’s two-way t-test. This confirms the functionality of the modified DCFH2-DA assay.
4. Discussion
Complex food extracts rich in secondary plant metabolites are widely used as food supplements offering antioxidant properties; however, the knowledge about the contribution of larger oligomeric structures to the suggested bioactivity is quite limited so far. Based on the different linkage types and the various monomer units, OPCs display a wide variety of structures. Structural diversity of this substance group strongly increases with an enhanced degree of polymerization. Overall, in this study, 58 analytes were identified in the crude extract which was generated from chokeberry pomace of the variety Aronia × prunifolia ‘Nero’ via high-resolution mass spectrometry. Including five trimers, four tetramers, two pentamers, one hexamer and one dimer of interest as well as several isomers of those. Besides the trimer with an A-type linkage and a gallocatechin unit (m/z 879) which was already described by Müller et al., a tetramer (m/z 1167) with the described structural features could also be characterized by its fragmentation spectrum. In addition to the A-type and B-type OPCs, the so-called cinchonains were identified as dimer, trimer, tetramer and pentamer, whereby only the trimer was described in detail in the literature [11]. Consequently, three further cinchonains could be characterized in chokeberries. The characterized cinchonains all contain a B-type linkage of the (epi)catechin subunits. Cinchonains are presumably biosynthesized by esterification of the 7′-hydroxy group of an (epi)catechin subunit with caffeic acid and a following nucleophilic attack of (epi)catechin-C8 on C3 of the caffeoyl residue. This is followed by rearomatization to form the cinchonain [26]. Compared with other berries like cranberries or lingonberries, chokeberries contain a very high amount of caffeic acid [27], which explains the occurrence of cinchonains in different polymerization degrees (dimer-pentamer). Another substance group identified, which has not been described for chokeberries so far, are the hexosides. However, it is known that these are formed in other plants such as hawthorn [28]. The detected hexoside appears with an A-type linkage between the (epi)catechin subunits. This leads to the conclusion that the type of linkage could be decisive for the formation of cinchonains or hexosides. All OPCs already characterized for the variety Aronia melanocarpa could also be confirmed for the variety Aronia × prunifolia ‘Nero’, with the exception of one tetramer: m/z 1151. The fragmentation experiments showed that the ether bond is located between the F-ring of the second subunit and the G-ring of the third subunit. Müller et al., however, postulated that this bond is localized between the I-ring of the third and the J-ring of the fourth subunit [11]. This could indicate that different isomers of OPCs may be present in different varieties of chokeberries. It could thus be shown that the wide variety of OPCs can also be attributed to Aronia × prunifolia ‘Nero’, which leads to the presumption that these can cause a wide variety of effects.
Various studies have shown that phenol-rich chokeberry extracts exhibit a number of different health-promoting benefits, such as antioxidant [4], antimicrobial [5] and antiproliferative [6] effects. It is already known that extracts enriched with oligo- or polymeric proanthocyanidins from chokeberries have provable antioxidant effects both in vitro and in vivo [29,30], but the effects of single OPCs in dependency of their respective DP and linkage-type is insufficiently understood. The cell-free analysis of the antioxidant capacity of four selected enriched subfractions and the crude extract was performed in comparison to Trolox using the protocol for the TEAC assay. To verify the functionality of the assay, quercetin as a substance with known antioxidant effect [25] was used. SmSPen shows the highest antioxidant capacity of the tested compounds, followed by SmSTet and SmSTri in consideration of the B-type linked OPCs as a main compound in the tested enriched subfractions. With a B-type pentamer as the main substance, SmSPen features the most hydroxy groups, especially the two hydroxy groups at the B-ring of the individual monomers, which explains the high antioxidant capacity due to the better electron-donating properties [15]. The presence of a further monomer including a vicinal hydroxy group on the B-ring therefore increases the antioxidant effect. This establishes a direct correlation between the DP and the antioxidant effect of the substance. A comparison of SmSTri with SmSCin shows that SmSCin has a higher antioxidant potential than SmSTri. SmSTri contains a B-type trimer as the main substance and SmSCin a B-type cinchonain which has two additional vicinal hydroxy groups and thus also forms another radical target, which could explain the slightly higher antioxidant potential of SmSCin. SmSTet and SmSCin exhibit a quite similar TEAC value and contain the same number of ortho-permanent phenolic hydroxy groups per mole, which could explain their similar antioxidant potential. The crude extract on the other hand displays no antioxidant effects. An explanation for this is the fact that although it contains all OPCs, they are present in a significantly lower concentration. The other tested components are highly concentrated for the experiments and therefore show antioxidant capacity. Another explanation could be that interfering substances that are still present in the crude extract hinder the assay.
The antioxidant effects of the four tested components and the crude extract previously determined in the cell-free TEAC assay, were subsequently investigated in vitro. The analysis at a cellular level also takes into account all cell culture conditions that could have an influence on the antioxidant properties of the compounds. The modified DCFH2-DA assay was chosen because it allows a precise analysis of the antioxidant capacity in vitro and is well adapted to the culture conditions and protocols and has been published in the literature for similar experiments [24,31]. The results (Figure 9) show intracellular concentration-dependent antioxidant capacity for SmSTri most clearly after a short period of peroxide incubation. However, the concentration-dependent effect is also noticeable over the entire time of the measurement. SmSTet displays these effects comparable to SmSTri. SmSPen shows notable effects only at the lowest concentrations used. At all other concentrations and time points, no intracellular antioxidant effects were observed; SmSPen therefore shows no concentration-dependent antioxidant effect compared to the other components investigated. With SmSCin, however, observable effects only occur at the higher concentration of 10 µM and 20 µM and at the later points in time of measurement. For the other concentrations and points in time, however, no intercellular antioxidant capacity can be observed, except for the first time point of 15 min after peroxide incubation. Although SmSTri and SmSCin each have trimeric OPCs as main substances, the phenylpropanoid moiety of the cinchonain appears to have a marked effect on intracellular antioxidant capacity and/or on the cellular uptake of this substance. The previous generated TEAC assay results show the antioxidant capacity in the following order: SmSPen > SmSTet > SmSCin > SmSTri. This discrepancy in comparison to the previously determined results from the TEAC assay can be an indication that the substances are not or are only in low concentrations taken up intracellularly due to their size or that they are not stable throughout the duration under cell culture conditions. Assuming that the OPCs with a higher DP degrade under the cell culture conditions, individual effects can be explained by the fact that the smaller degradation products can pass the cell membrane and thus act intracellularly as ROS scavengers. The ROS elimination system includes endogenous antioxidant enzymes on the one hand and low-molecular ROS scavengers on the other [32]. Low-molecular ROS scavengers can terminate an oxidative chain reaction or they can activate antioxidant enzymes [33]. One example of this is the activation of the Nrf2 (nuclear factor erythroid 2-related factor 2) signaling pathway [34]. OPCs and the smaller degradation products belong to this group of low-molecular ROS scavengers. The scavenging of induced ROS without cellular uptake can be achieved by endogenous antioxidant enzymes such as glutathione [35]. In order to check the functionality of the modified DCFH2-DA assay, quercetin was included analogous to the TEAC assay. Since the antioxidant effect of the crude extract also occurs only for a short time period after the addition of TBH and the measured values approximate to the positive control during the progress of the measurement, it can be assumed that the substances that exhibit an antioxidant effect in the crude extract are also not stable. It is assumed that the ROS scavenging detected in the crude extract is not exclusively due to the previously tested components, as these are contained in a very low concentration. Dufour et al. showed that polymeric proanthocyanidins and also phenolic acids as well as anthocyanins display intracellular antioxidative effects [30]. Other antioxidant substances such as quercetin and epicatechin are also present in the order of 1mg/1g fresh weight in chokeberries [36] and are therefore included in the pomace with a high probability. In addition to the tested OPCs, all these substances are of course also contained in the crude extract and can exhibit detectable effects. It should also be noted that the two highest concentrations selected are so high that they could also cause other side effects, which would need to be investigated in more detail.
5. Conclusions
This study provided further insight into the diversity of OPCs present in chokeberries. A number of new substances have been characterized with the groups of cinchonains and hexosides. It was further shown that all cinchonains display B-type linkages between the monomers, and the characterized hexoside displays an A-type linkage. In order to investigate the health-promoting properties with regard to the antioxidant effect of OPCs contained in chokeberries, four subfractions enriched with lead compounds of different DP were selected and investigated with regard to their antioxidant effects. The cell-free TEAC assay showed a correlation between the degree of polymerization of OPCs and their antioxidant capacity. The higher the DP of the OPCs and thus also the number of ortho-positioned phenolic hydroxy groups, the greater the antioxidant effect. In the cell-based test system, however, antioxidant effects were only observed for the subfractions enriched with a trimer and tetramer main compound. In addition, these also showed a concentration dependence over the entire period especially after a short period of peroxide incubation. In the case of SmSCin and SmSPen, which showed no or only minimal effects, it is assumed that they are unstable under the conditions used and/or that no cellular uptake has taken place. Further investigations should therefore be carried out into the stability of the tested main substances and their cellular uptake. These results offer new opportunities to utilize the antioxidant effects of specific OPCs. For example, extracts enriched with trimeric or tetrameric OPCs could possibly be developed for new food supplements in order to utilize the antioxidant effects of this group of substances even more effectively.
Supplementary Materials
The following supporting information can be downloaded at: https://www.mdpi.com/article/10.3390/app14177839/s1, Table S1: LTQ Orbitrap XL mass spectrometer with heated electrospray ionization (HESI) parameters for identification of oligomeric proanthocyanidins (OPCs) and fragmentation experiments for the characterization of OPCs from Aronia × prunifolia ’Nero’ based on the application of LC-HRMS; Figure S1: Exemplarily HPCL-FLD chromatogram of the subfractions from TriF from Sephadex separation by using HILIC conditions. Fluorescence was measured at λem: 316 nm and λex: 276 nm. The twenty-one collected fractions are numbered and marked by the dotted lines; Figure S2: Fragmentation spectrum of a prodelphinidin tetramer by application of LC-HRMS. MS2 spectrum of the [M-H]− ion m/z 1167.2373 is displayed; Figure S3: Fragmentation spectrum of a procyanidin hexamer by the application of LC-HRMS. MS2 spectrum of the double-charged quasi-molecular ion [M-2H]2− ion m/z 864.1903 is shown; Figure S4: Fragmentation spectrum of a hexoside-procyanidin trimer by the application of LC-HRMS. MS2 spectrum of the [M-H]− ion m/z 1025.2343 is shown; Figure S5: Fragmentation spectrum of a cinchonain dimer by application of LC-HRMS. MS2 spectrum of the [M-H]− ion m/z 739.1654 is displayed; Figure S6: Fragmentation spectrum of a cinchonain tetramer by application of LC-HRMS. MS2 spectrum of the [M-H]− ion m/z 1315.28911 is displayed; Figure S7: Fragmentation spectrum of a cinchonain pentamer by application of LC-HRMS. MS2 spectrum of the double-charged quasi-molecular ion [M-2H]2− ion m/z 801.1757 is shown; Figure S8: Fragmentation spectrum of a procyanidin trimer by application of LC-HRMS. MS2 spectrum of the [M-H]− ion m/z 863.1803 is displayed; Figure S9: Fragmentation spectrum of a procyanidin trimer by application of LC-HRMS. MS2 spectrum of the [M-H]− ion m/z 865.1963 is shown; Figure S10: Fragmentation spectrum of a prodelphinidin trimer by application of LC-HRMS. MS2 spectrum of the [M-H]− ion m/z 879.1706 is displayed; Figure S11: Fragmentation spectrum of a cinchonain trimer by application of LC-HRMS. MS2 spectrum of the [M-H]− ion m/z 1027.2271 is displayed; Figure S12: Fragmentation spectrum of a procyanidin tetramer by application of LC-HRMS. MS2 spectrum of the [M-H]− ion m/z 1151.2426 is shown; Figure S13: Fragmentation spectrum of a procyanidin tetramer by application of LC-HRMS. MS2 spectrum of the [M-H]− ion m/z 1153.2573 is shown; Figure S14: Fragmentation spectrum of a procyanidin pentamer by application of LC-HRMS. MS2 spectrum of the double-charged quasi-molecular [M-2H]2− ion m/z 720.1585 is shown; Figure S15: Isotope pattern of the double-charged quasi-molecular ion [M-2H]2− with m/z 864.1891 formed by a procyanidin hexamer with m/z 1729.3887 via application of LC-HRMS; Figure S16: Isotope pattern of the double-charged quasi-molecular ion [M-2H]2− with m/z 801.1757 formed by a cinchonain pentamer with m/z 1603.3571 via application of LC-HRMS; Figure S17: Isotope pattern of the double-charged quasi-molecular ion [M-2H]2− with m/z 720.1592 formed by a procyanidin pentamer with m/z 1441.3241 via application of LC-HRMS.
Author Contributions
Conceptualization, methodology and validation, A.M.; formal analysis and software, A.M. and F.H.; investigation, data curation, writing—original draft preparation and visualization, A.M; writing—review and editing, F.H. and M.E.; resources, supervision, project administration and funding acquisition, M.E. All authors have read and agreed to the published version of the manuscript.
Funding
This research received no external funding.
Institutional Review Board Statement
Not applicable.
Informed Consent Statement
Not applicable.
Data Availability Statement
The original contributions presented in the study are included in the article, further inquiries can be directed to the corresponding author.
Acknowledgments
The authors would thank Julian Alfke for the support with cell culture experiments and Lena Graute for providing support during the isolation process of the plant extract. We wish to express our most heartfelt thanks to the reviewers for their favorable suggestions on this article.
Conflicts of Interest
The authors declare no conflicts of interest.
References
- Halvorsen, B.L.; Holte, K.; Myhrstad, M.C.W.; Barikmo, I.; Hvattum, E.; Remberg, S.F.; Wold, A.-B.; Haffner, K.; Baugerød, H.; Andersen, L.F.; et al. A systematic screening of total antioxidants in dietary plants. J. Nutr. 2002, 132, 461–471. [Google Scholar] [CrossRef] [PubMed]
- Jurendić, T.; Ščetar, M. Aronia melanocarpa Products and By-Products for Health and Nutrition: A Review. Antioxidants 2021, 10, 1052. [Google Scholar] [CrossRef] [PubMed]
- Hanke, M.-V.; Flachowsky, H. Obstzüchtung und Wissenschaftliche Grundlagen; Springer: Berlin/Heidelberg, Germany, 2017; ISBN 978-3-662-54084-8. [Google Scholar]
- Oszmiański, J.; Wojdylo, A. Aronia melanocarpa phenolics and their antioxidant activity. Eur. Food Res. Technol. 2005, 221, 809–813. [Google Scholar] [CrossRef]
- Denev, P.; Číž, M.; Kratchanova, M.; Blazheva, D. Black chokeberry (Aronia melanocarpa) polyphenols reveal different antioxidant, antimicrobial and neutrophil-modulating activities. Food Chem. 2019, 284, 108–117. [Google Scholar] [CrossRef]
- Stanisavljević, N.; Samardžić, J.; Janković, T.; Šavikin, K.; Mojsin, M.; Topalović, V.; Stevanović, M. Antioxidant and antiproliferative activity of chokeberry juice phenolics during in vitro simulated digestion in the presence of food matrix. Food Chem. 2015, 175, 516–522. [Google Scholar] [CrossRef] [PubMed]
- Hawkins, J.; Hires, C.; Baker, C.; Keenan, L.; Bush, M. Daily supplementation with aronia melanocarpa (chokeberry) reduces blood pressure and cholesterol: A meta analysis of controlled clinical trials. J. Diet. Suppl. 2021, 18, 517–530. [Google Scholar] [CrossRef]
- King, E.S.; Bolling, B.W. Composition, polyphenol bioavailability, and health benefits of aronia berry: A review. J. Food Bioact. 2020, 11, 13–30. [Google Scholar] [CrossRef]
- Djaoudene, O.; Romano, A.; Bradai, Y.D.; Zebiri, F.; Ouchene, A.; Yousfi, Y.; Amrane-Abider, M.; Sahraoui-Remini, Y.; Madani, K. A Global Overview of Dietary Supplements: Regulation, Market Trends, Usage during the COVID-19 Pandemic, and Health Effects. Nutrients 2023, 15, 3320. [Google Scholar] [CrossRef]
- Sidor, A.; Drożdżyńska, A.; Gramza-Michałowska, A. Black chokeberry (Aronia melanocarpa) and its products as potential health-promoting factors—An overview. Trends Food Sci. Technol. 2019, 89, 45–60. [Google Scholar] [CrossRef]
- Müller, L.; Weever, F.; Hübner, F.; Humpf, H.-U.; Esselen, M. Characterization of Oligomeric Proanthocyanidin-Enriched Fractions from Aronia melanocarpa (Michx.) Elliott via High-Resolution Mass Spectrometry and Investigations on Their Inhibitory Potential on Human Topoisomerases. J. Agric. Food Chem. 2021, 69, 11053–11064. [Google Scholar] [CrossRef]
- Santos-Buelga, C.; Scalbert, A. Proanthocyanidins and tannin-like compounds—Nature, occurrence, dietary intake and effects on nutrition and health. J. Sci. Food Agric. 2000, 80, 1094–1117. [Google Scholar] [CrossRef]
- Wu, X.; Gu, L.; Prior, R.L.; McKay, S. Characterization of anthocyanins and proanthocyanidins in some cultivars of Ribes, Aronia, and Sambucus and their antioxidant capacity. J. Agric. Food Chem. 2004, 52, 7846–7856. [Google Scholar] [CrossRef]
- Gu, L.; Kelm, M.A.; Hammerstone, J.F.; Beecher, G.; Holden, J.; Haytowitz, D.; Gebhardt, S.; Prior, R.L. Concentrations of proanthocyanidins in common foods and estimations of normal consumption. J. Nutr. 2004, 134, 613–617. [Google Scholar] [CrossRef]
- Pietta, P.G. Flavonoids as antioxidants. J. Nat. Prod. 2000, 63, 1035–1042. [Google Scholar] [CrossRef] [PubMed]
- Jomova, K.; Raptova, R.; Alomar, S.Y.; Alwasel, S.H.; Nepovimova, E.; Kuca, K.; Valko, M. Reactive oxygen species, toxicity, oxidative stress, and antioxidants: Chronic diseases and aging. Arch. Toxicol. 2023, 97, 2499–2574. [Google Scholar] [CrossRef]
- Krishnamurthy, P.; Wadhwani, A. Antioxidant Enzymes and Human Health. In Antioxidant Enzyme; El-Missiry, M.A., Ed.; InTech: London, UK, 2012; ISBN 978-953-51-0789-7. [Google Scholar]
- Rice-Evans, C.A.; Miller, N.J.; Paganga, G. Structure-antioxidant activity relationships of flavonoids and phenolic acids. Free Radic. Biol. Med. 1996, 20, 933–956. [Google Scholar] [CrossRef]
- Fogh, J.; Trempe, G. New Human Tumor Cell Lines. In Human Tumor Cells In Vitro; Fogh, J., Ed.; Springer: Boston, MA, USA, 1975; pp. 115–159. ISBN 978-1-4757-1649-8. [Google Scholar]
- Li, H.-J.; Deinzer, M.L. The mass spectral analysis of isolated hops A-type proanthocyanidins by electrospray ionization tandem mass spectrometry. J. Mass. Spectrom. 2008, 43, 1353–1363. [Google Scholar] [CrossRef]
- Rzeppa, S.; von Bargen, C.; Bittner, K.; Humpf, H.-U. Analysis of Flavan-3-ols and procyanidins in food samples by reversed phase high-performance liquid chromatography coupled to electrospray ionization tandem mass spectrometry (RP-HPLC-ESI-MS/MS). J. Agric. Food Chem. 2011, 59, 10594–10603. [Google Scholar] [CrossRef]
- Re, R.; Pellegrini, N.; Proteggente, A.; Pannala, A.; Yang, M.; Rice-Evans, C. Antioxidant activity applying an improved ABTS radical cation decolorization assay. Free Radic. Biol. Med. 1999, 26, 1231–1237. [Google Scholar] [CrossRef] [PubMed]
- Alfke, J.; Kampermann, U.; Kalinina, S.; Esselen, M. Isolation and structural elucidation of dimeric epigallocatechin-3-gallate autoxidation products and their antioxidant capacity. Eur. Food Res. Technol. 2021, 247, 2961–2975. [Google Scholar] [CrossRef]
- Alfke, J.; Esselen, M. Cellular Uptake of Epigallocatechin Gallate in Comparison to Its Major Oxidation Products and Their Antioxidant Capacity In Vitro. Antioxidants 2022, 11, 1746. [Google Scholar] [CrossRef]
- Dueñas, M.; Surco-Laos, F.; González-Manzano, S.; González-Paramás, A.M.; Santos-Buelga, C. Antioxidant properties of major metabolites of quercetin. Eur. Food Res. Technol. 2011, 232, 103–111. [Google Scholar] [CrossRef]
- Kolter, T. Cinchonaine; Thieme Gruppe: Stuttgart, Germany, 2017. [Google Scholar]
- Zheng, W.; Wang, S.Y. Oxygen radical absorbing capacity of phenolics in blueberries, cranberries, chokeberries, and lingonberries. J. Agric. Food Chem. 2003, 51, 502–509. [Google Scholar] [CrossRef] [PubMed]
- Sendker, J.; Petereit, F.; Lautenschläger, M.; Hellenbrand, N.; Hensel, A. Phenylpropanoid-substituted procyanidins and tentatively identified procyanidin glycosides from hawthorn (Crataegus spp.). Planta Med. 2013, 79, 45–51. [Google Scholar] [CrossRef]
- Bräunlich, M.; Slimestad, R.; Wangensteen, H.; Brede, C.; Malterud, K.E.; Barsett, H. Extracts, anthocyanins and procyanidins from Aronia melanocarpa as radical scavengers and enzyme inhibitors. Nutrients 2013, 5, 663–678. [Google Scholar] [CrossRef]
- Dufour, C.; Villa-Rodriguez, J.A.; Furger, C.; Lessard-Lord, J.; Gironde, C.; Rigal, M.; Badr, A.; Desjardins, Y.; Guyonnet, D. Cellular Antioxidant Effect of an Aronia Extract and Its Polyphenolic Fractions Enriched in Proanthocyanidins, Phenolic Acids, and Anthocyanins. Antioxidants 2022, 11, 1561. [Google Scholar] [CrossRef]
- Bellion, P.; Digles, J.; Will, F.; Dietrich, H.; Baum, M.; Eisenbrand, G.; Janzowski, C. Polyphenolic apple extracts: Effects of raw material and production method on antioxidant effectiveness and reduction of DNA damage in Caco-2 cells. J. Agric. Food Chem. 2010, 58, 6636–6642. [Google Scholar] [CrossRef]
- Liu, J.; Han, X.; Zhang, T.; Tian, K.; Li, Z.; Luo, F. Reactive oxygen species (ROS) scavenging biomaterials for anti-inflammatory diseases: From mechanism to therapy. J. Hematol. Oncol. 2023, 16, 116. [Google Scholar] [CrossRef]
- He, L.; He, T.; Farrar, S.; Ji, L.; Liu, T.; Ma, X. Antioxidants Maintain Cellular Redox Homeostasis by Elimination of Reactive Oxygen Species. Cell. Physiol. Biochem. 2017, 44, 532–553. [Google Scholar] [CrossRef]
- Seminotti, B.; Grings, M.; Tucci, P.; Leipnitz, G.; Saso, L. Nuclear Factor Erythroid-2-Related Factor 2 Signaling in the Neuropathophysiology of Inherited Metabolic Disorders. Front. Cell. Neurosci. 2021, 15, 785057. [Google Scholar] [CrossRef]
- Cassier-Chauvat, C.; Marceau, F.; Farci, S.; Ouchane, S.; Chauvat, F. The Glutathione System: A Journey from Cyanobacteria to Higher Eukaryotes. Antioxidants 2023, 12, 1199. [Google Scholar] [CrossRef] [PubMed]
- Denev, P.N.; Kratchanov, C.G.; Ciz, M.; Lojek, A.; Kratchanova, M.G. Bioavailability and Antioxidant Activity of Black Chokeberry (Aronia melanocarpa) Polyphenols: In vitro and in vivo Evidences and Possible Mechanisms of Action: A Review. Comp. Rev. Food Sci. Food Safe 2012, 11, 471–489. [Google Scholar] [CrossRef]
Disclaimer/Publisher’s Note: The statements, opinions and data contained in all publications are solely those of the individual author(s) and contributor(s) and not of MDPI and/or the editor(s). MDPI and/or the editor(s) disclaim responsibility for any injury to people or property resulting from any ideas, methods, instructions or products referred to in the content. |
© 2024 by the authors. Licensee MDPI, Basel, Switzerland. This article is an open access article distributed under the terms and conditions of the Creative Commons Attribution (CC BY) license (https://creativecommons.org/licenses/by/4.0/).









