A Novel Aerodynamic Modeling Method Based on Data for Tiltrotor evtol
Abstract
1. Introduction
2. Analysis of Aerodynamic Characteristics of Tiltrotor evtol
3. Data-Driven Modeling Methods
3.1. Data-Driven Network Model Design
3.2. Sample Data Requirements and Generation
4. Results and Discussion
4.1. Network Training Method and Results
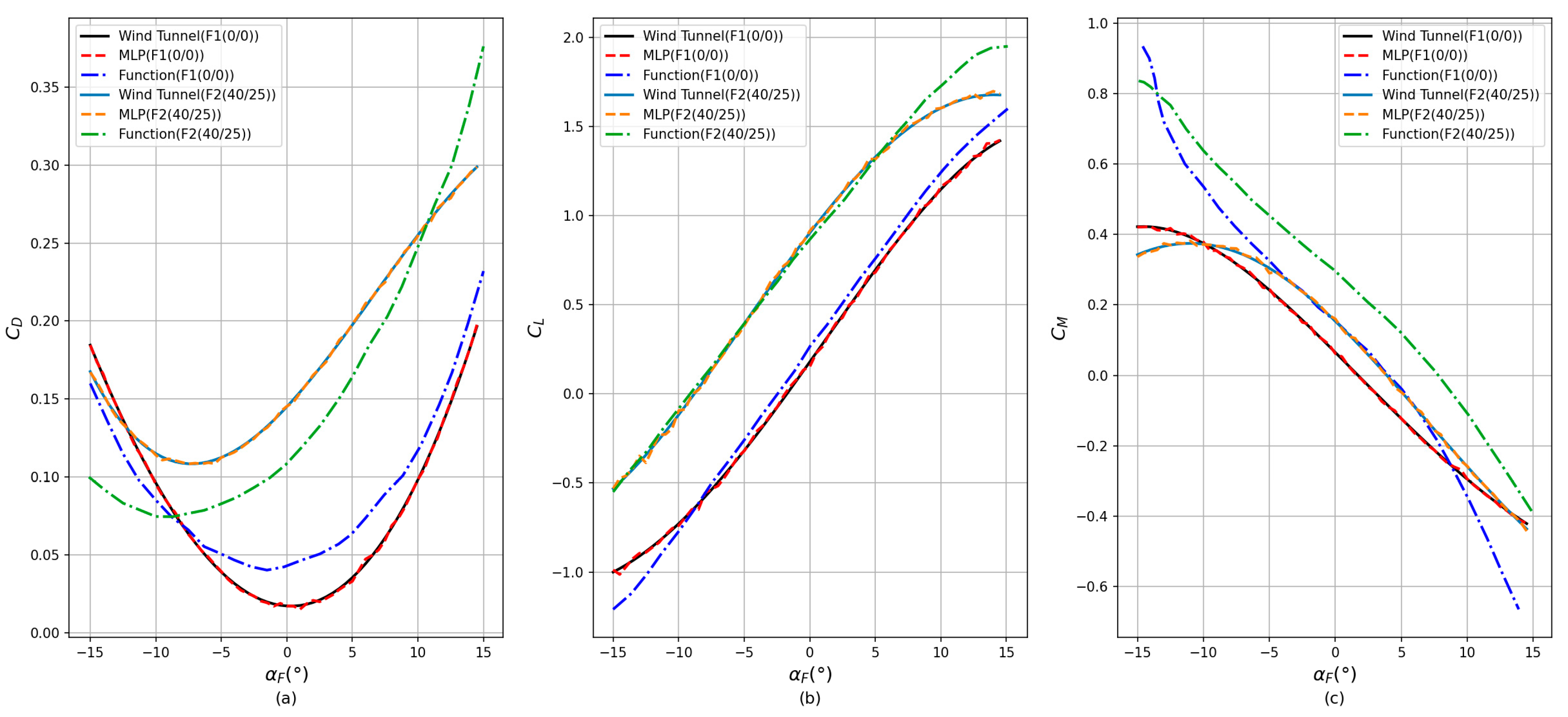
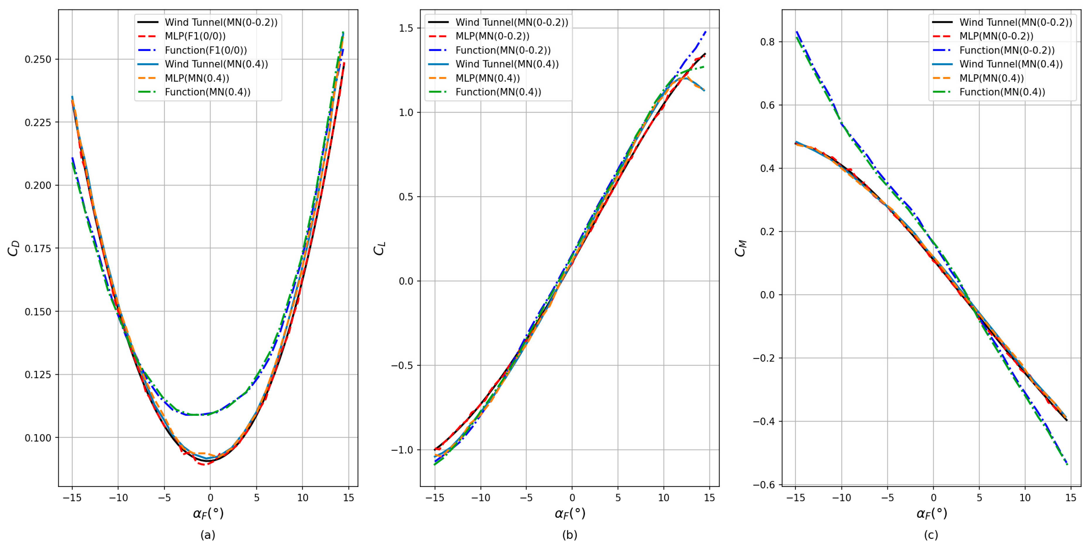
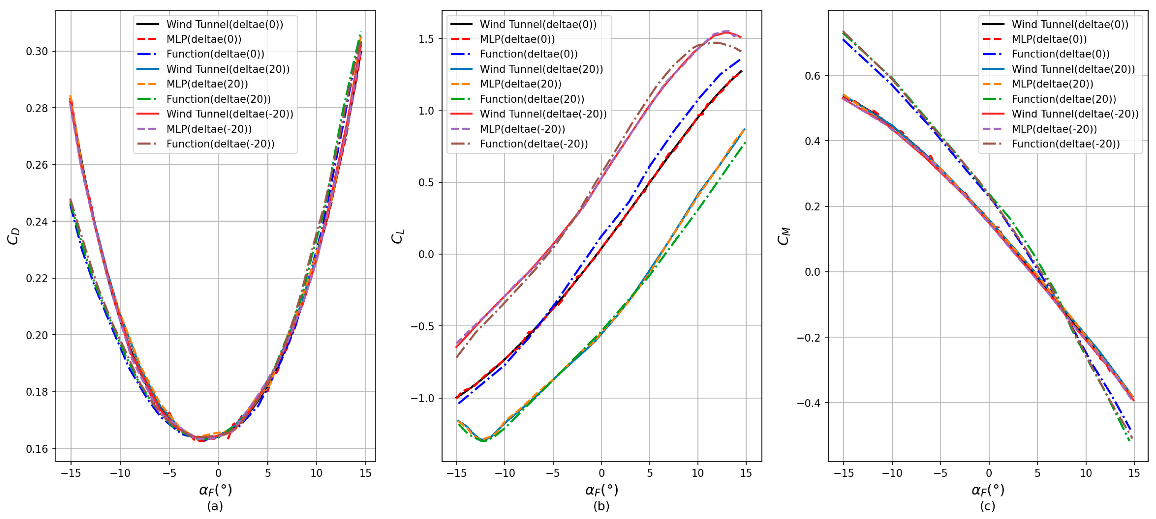
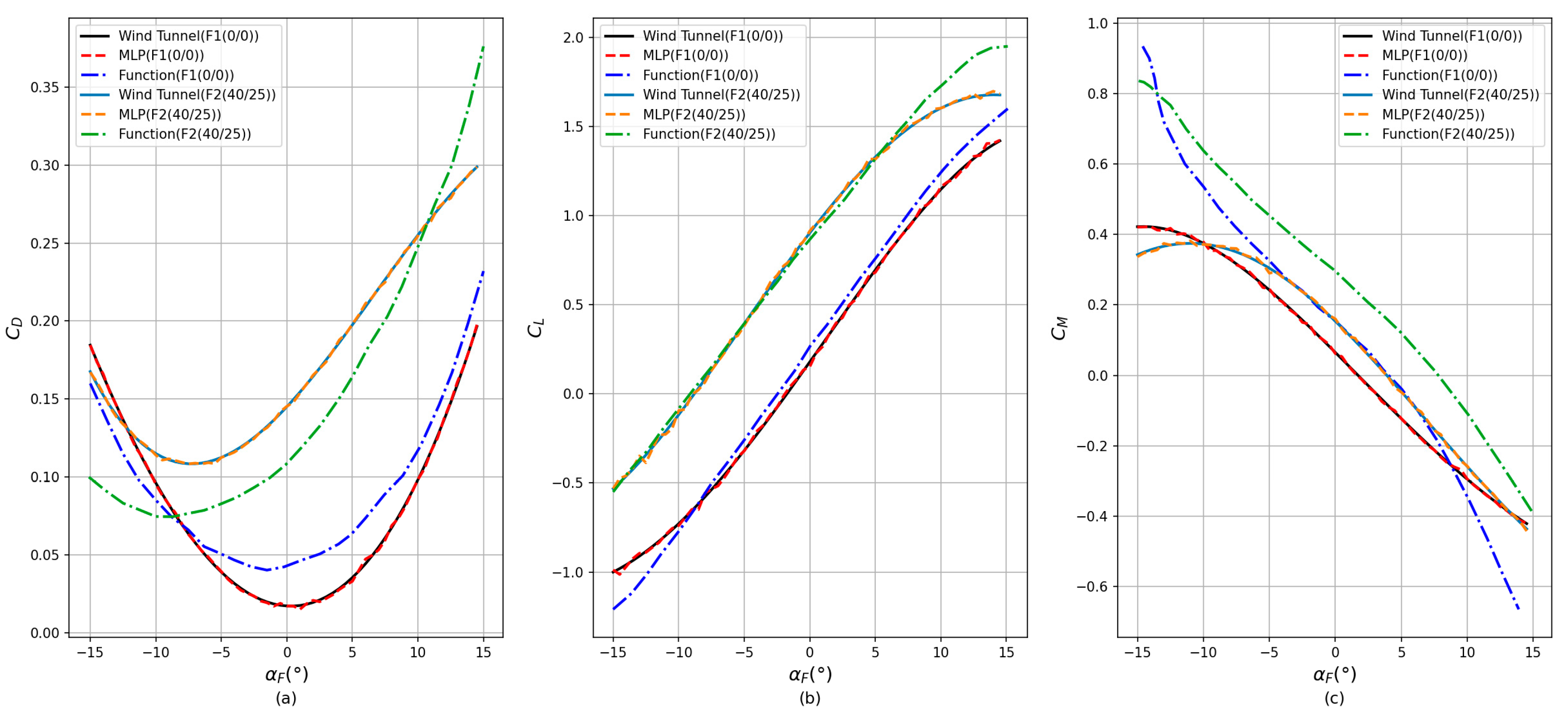
4.2. Network Effect Verification
5. Conclusions
- Neural-network-based data-driven methods can accurately predict the aerodynamic characteristics of tiltrotor evtol aircraft during the transition phase, with an error rate of less than 2% compared with wind tunnel test data.
- Traditional physical modeling methods exhibit larger errors in representing the complex aerodynamic characteristics of tiltrotor aircraft due to the limitations of mathematical formulae, typically up to nearly 10%.
- The MLP neural network structure constructed based on the aerodynamic characteristic mechanism of the tiltrotor evtol is effective.
Author Contributions
Funding
Data Availability Statement
Conflicts of Interest
References
- Al Haddad, C.; Chaniotakis, E.; Straubinger, A.; Plötner, K.; Antoniou, C. Factors affecting the adoption and use of urban air mobility. Transp. Res. Part A Policy Pract. 2020, 132, 696–712. [Google Scholar] [CrossRef]
- Doo, J.T.; Pavel, M.D.; Didey, A.; Hange, C.; Diller, N.P.; Tsairides, M.A.; Smith, M.; Bennet, E.; Bromfield, M.; Mooberry, J. NASA Electric Vertical Takeoff and Landing (evtol) Aircraft Technology for Public Services—A White Paper. 2021. Available online: https://ntrs.nasa.gov/citations/20205000636 (accessed on 25 March 2024).
- Chauhan, S.S.; Martins, J.R.R.A. Tilt-wing evtol takeoff trajectory optimization. J. Aircr. 2020, 57, 93–112. [Google Scholar] [CrossRef]
- Simmons, B.M. System Identification Approach for evtol Aircraft Demonstrated Using Simulated Flight Data. J. Aircr. 2023, 60, 1078–1093. [Google Scholar] [CrossRef]
- Barkai, S.M.; Rand, O.; Peyran, R.J.; Carlson, R.M. Modeling and analysis of tilt-rotor aeromechanical phenomena. Math. Comput. Model. 1998, 27, 17–43. [Google Scholar] [CrossRef]
- Sheng, H.; Zhang, C.; Xiang, Y. Mathematical modeling and stability analysis of tiltrotor aircraft. Drones 2022, 6, 92. [Google Scholar] [CrossRef]
- Murphy, P.C.; Buning, P.G.; Simmons, B.M. Rapid Aero Modeling for Urban Air Mobility Aircraft in Computational Experiments. In Proceedings of the AIAA SciTech 2021 Forum, Virtual Event, 11–15 & 19–21 January 2021; p. 1002. [Google Scholar]
- Simmons, B.M.; Buning, P.G.; Murphy, P.C. Full-envelope aero-propulsive model identification for lift+ cruise aircraft using computational experiments. In Proceedings of the AIAA Aviation 2021 Forum, Virtual Event, 2–6 August 2021; p. 3170. [Google Scholar]
- Simmons, B.M.; Morelli, E.A.; Busan, R.C.; Hatke, D.B.; O’Neal, A.W. Aero-Propulsive Modeling for eVTOL Aircraft Using Wind Tunnel Testing with Multisine Inputs. In Proceedings of the AIAA Aviation 2022 Forum, Virtual Event, 27 June–1 July 2022; p. 3603. [Google Scholar]
- Simmons, B.M. Efficient Variable-Pitch Propeller Aerodynamic Model Development for Vectored-Thrust eVTOL Aircraft. In Proceedings of the AIAA Aviation 2022 Forum, Virtual Event, 27 June–1 July 2022; p. 3817. [Google Scholar]
- Simmons, B.M.; Murphy, P.C. Wind tunnel-based aerodynamic model identification for a tilt-wing, distributed electric propulsion aircraft. In Proceedings of the AIAA SciTech 2021 Forum, Virtual Event, 11–15 & 19–21 January 2021; p. 1298. [Google Scholar]
- Busan, R.C.; Murphy, P.C.; Hatke, D.B.; Simmons, B.M. Wind tunnel testing techniques for a tandem tilt-wing, distributed electric propulsion vtol aircraft. In Proceedings of the AIAA SciTech 2021 Forum, Virtual Event, 11–15 & 19–21 January 2021; p. 1189. [Google Scholar]
- Cheng, W.; Mi, B. High-Efficiency Simulation of Dynamic Stability Derivatives Based on a Particle Swarm Optimization and Long Short-Term Memory Network (PSO-LSTM) Coupling Aerodynamic Model. Appl. Sci. 2023, 13, 11511. [Google Scholar] [CrossRef]
- Xu, X.; Huang, X.; Bi, D.; Zhou, M. A Combined Artificial-Intelligence Aerodynamic Design Method for a Transonic Compressor Rotor Based on Reinforcement Learning and Genetic Algorithm. Appl. Sci. 2023, 13, 1026. [Google Scholar] [CrossRef]
- Rizzo, F.; Caracoglia, L. Examination of artificial neural networks to predict wind-induced displacements of cable net roofs. Eng. Struct. 2021, 245, 112956. [Google Scholar] [CrossRef]
- Hu, L.; Zhang, J.; Xiang, Y.; Wang, W. Neural networks-based aerodynamic data modeling: A comprehensive review. IEEE Access 2020, 8, 90805–90823. [Google Scholar] [CrossRef]
- Suresh, S.; Omkar, S.N.; Mani, V.; Prakash, T.G. Lift coefficient prediction at high angle of attack using recurrent neural network. Aerosp. Sci. Technol. 2003, 7, 595–602. [Google Scholar] [CrossRef]
- Hamel, P.G.; Kaletka, J. Advances in rotorcraft system identification. Prog. Aerosp. Sci. 1997, 33, 259–284. [Google Scholar] [CrossRef]
- Johnson, W. Helicopter Theory; Courier Corporation: Chelmsford, MA, USA, 2012. [Google Scholar]
- Harendra, P.B.; Joglekar, M.J.; Gaffey, T.M.; Marr, R.L. V/STOL Tilt Rotor Study. Volume 5: A Mathematical Model for Real Time Flight Simulation of the Bell Model 301 Tilt Rotor Research Aircraft. 1973. Available online: https://ntrs.nasa.gov/citations/19730022217 (accessed on 25 March 2024).
- Müller, S.; Milano, M.; Koumoutsakos, P. Application of machine learning algorithms to flow modeling and optimization. Annu. Res. Briefs 1999, 169–178. [Google Scholar]
- Tenney, A.S.; Glauser, M.N.; Lewalle, J. A Deep Learning Approach to Jet Noise Prediction. In Proceedings of the 2018 AIAA Aerospace Sciences Meeting, Kissimmee, FL, USA, 8–12 January 2018; p. 1736. [Google Scholar]
- Lombaerts, T.; Shish, K.; Kaneshige, J. Trim Envelope Calculations for a Tiltrotor in Forward Flight, Hover and Transitions. IFAC-Pap. 2022, 55, 611–616. [Google Scholar] [CrossRef]
- Kou, J.; Zhang, W. Multi-kernel neural networks for nonlinear unsteady aerodynamic reduced-order modeling. Aerosp. Sci. Technol. 2017, 67, 309–326. [Google Scholar] [CrossRef]








| Input Variables | Minimum | Maximum |
|---|---|---|
| 0 m/s | 120 m/s | |
| −20° | 20° | |
| (0°/0°) | (40°/25°) | |
| 0° | 90° | |
| −15° | 15° |
| Hyperparameters | MLP | ||||||||
|---|---|---|---|---|---|---|---|---|---|
| Number of Epochs | 100 | 100 | 100 | 50 | 150 | 100 | 100 | 100 | 100 |
| Batch Size | 10 | 20 | 30 | 20 | 20 | 20 | 20 | 20 | 20 |
| Number of Neurons/hidden Layers | 64/2 | 64/2 | 64/2 | 64/2 | 64/2 | 32/2 | 96/2 | 64/1 | 64/3 |
| Relative error | 1.625% | 1.361% | 1.455% | 1.413% | 1.327% | 1.314% | 1.391% | 1.861% | 1.937% |
| Coefficient of Determination | 0.9921 | 0.9967 | 0.9925 | 0.9981 | 0.9986 | 0.9972 | 0.9975 | 0.9907 | 0.9943 |
| Parameters | MLP |
|---|---|
| Number of inputs/outputs | 5/3 |
| Number of Epochs | 100 |
| Batch Size | 20 |
| Number of Layers/Neurons | 32/2 |
| Sequence Length | - |
| Activation Functions | Leakyrelu |
| Loss Function | L1Loss |
| Relative error | 1.314% |
| Coefficient of Determination | 0.9972 |
| Total training time | 395.43 s |
| Test Set | Coefficient of Determination | Relative Error | Coefficient of Determination | Relative Error |
|---|---|---|---|---|
| 1 | 0.9971/0.9962/0.9987 | 1.474%/1.032%/0.861% | 0.9258/0.9463/0.9731 | 8.326%/7.034%/15.338% |
| 2 | 0.9916/0.9965/0.9984 | 1.177%/0.946%/1.052% | 0.9341/0.9480/0.9712 | 4.584%/4.872%/9.635% |
| 3 | 0.9959/0.9963/0.9989 | 0.986%/0.912%/0.883% | 0.9246/0.9384/0.9658 | 4.669%/8.453%/11.763% |
Disclaimer/Publisher’s Note: The statements, opinions and data contained in all publications are solely those of the individual author(s) and contributor(s) and not of MDPI and/or the editor(s). MDPI and/or the editor(s) disclaim responsibility for any injury to people or property resulting from any ideas, methods, instructions or products referred to in the content. |
© 2024 by the authors. Licensee MDPI, Basel, Switzerland. This article is an open access article distributed under the terms and conditions of the Creative Commons Attribution (CC BY) license (https://creativecommons.org/licenses/by/4.0/).
Share and Cite
Wang, H.; Li, P.; Wu, D. A Novel Aerodynamic Modeling Method Based on Data for Tiltrotor evtol. Appl. Sci. 2024, 14, 4055. https://doi.org/10.3390/app14104055
Wang H, Li P, Wu D. A Novel Aerodynamic Modeling Method Based on Data for Tiltrotor evtol. Applied Sciences. 2024; 14(10):4055. https://doi.org/10.3390/app14104055
Chicago/Turabian StyleWang, Haiyang, Peng Li, and Dongsu Wu. 2024. "A Novel Aerodynamic Modeling Method Based on Data for Tiltrotor evtol" Applied Sciences 14, no. 10: 4055. https://doi.org/10.3390/app14104055
APA StyleWang, H., Li, P., & Wu, D. (2024). A Novel Aerodynamic Modeling Method Based on Data for Tiltrotor evtol. Applied Sciences, 14(10), 4055. https://doi.org/10.3390/app14104055

