Primed Seeds of NERICA 4 Stored for Long Periods under High Temperature and Humidity Conditions Maintain Germination Rates
Abstract
Featured Application
Abstract
1. Introduction
2. Materials and Methods
2.1. Electrical Conductivity
2.2. Estimation of Hydrogen Peroxide and Malondialdehyde
2.3. Data Analysis
3. Results
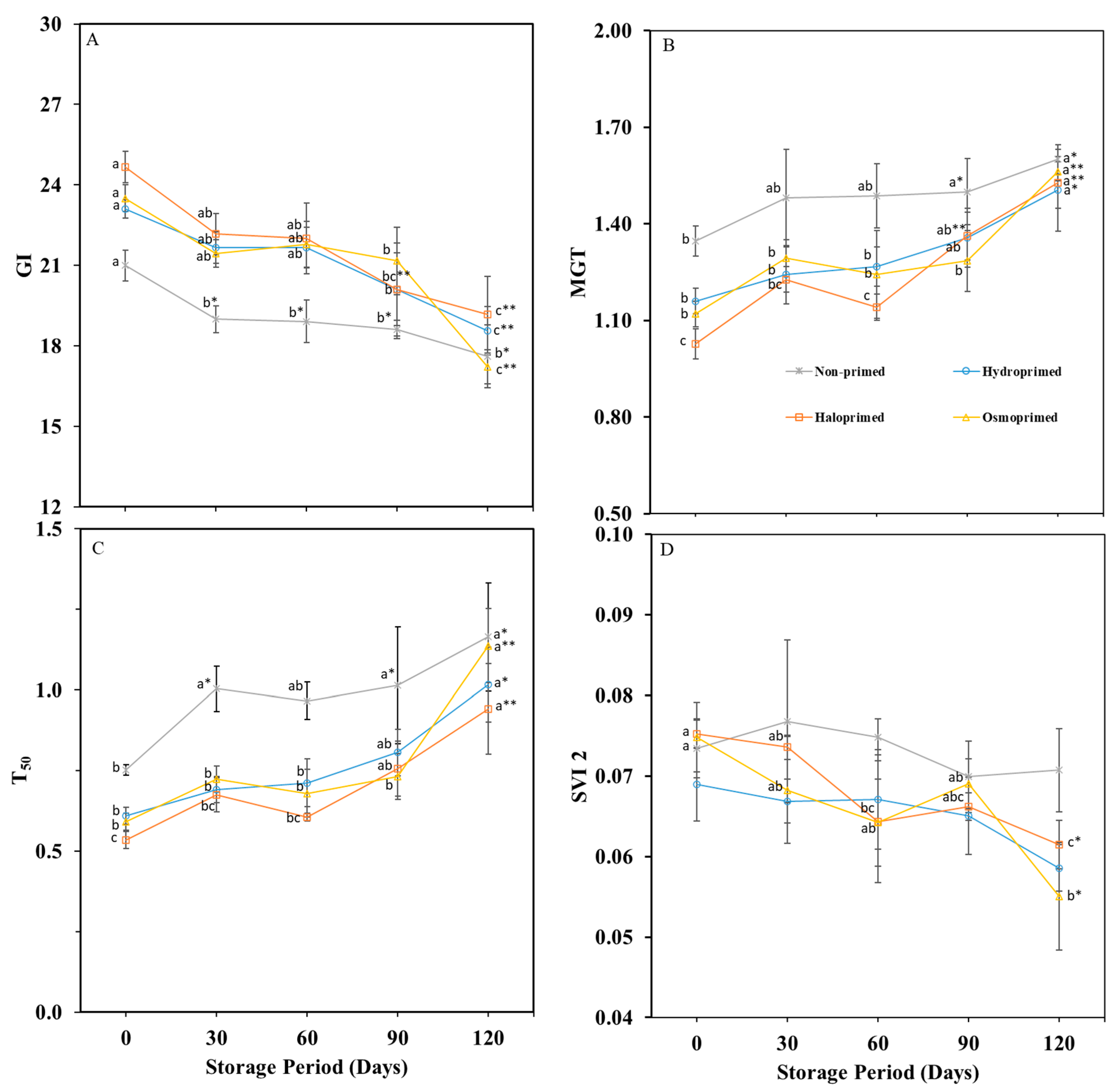
3.1. Change in Germination
3.2. Seed EC and the Relationship with Germination Parameters
3.3. Biochemical Processes and Their Interaction with Germination Parameters
4. Discussion
4.1. Effect of Storage Period on Germination Behavior
4.2. Membrane Stability
4.3. ROS Production and Lipid Peroxidation
5. Conclusions
Author Contributions
Funding
Institutional Review Board Statement
Data Availability Statement
Acknowledgments
Conflicts of Interest
References
- Carrillo-Reche, J.; Vallejo-Marín, M.; Quilliam, R.S. Quantifying the Potential of ‘on-Farm’ Seed Priming to Increase Crop Performance in Developing Countries. A Meta-Analysis. Agron. Sustain. Dev. 2018, 38, 64. [Google Scholar] [CrossRef]
- Evans, A.A.; Florence, N.O.; Eucabeth, B.O.M. Production and Marketing of Rice in Kenya: Challenges and Opportunities. J. Dev. Agric. Econ. Acad. J. 2018, 10, 64–70. [Google Scholar] [CrossRef]
- Abnavi, M.S.; Ghobadi, M. The Effects of Source of Priming and Post-Priming Storage Duration on Seed Germination and Seedling Growth Characteristics in Wheat (Triticum aestivem L.). J. Agric. Sci. 2012, 4, 256. [Google Scholar] [CrossRef]
- Kaloi, F.K.; Isaboke, H.N.; Onyari, C.N.; Njeru, L.K. Determinants Influencing the Adoption of Rice Intensification System among Smallholders in Mwea Irrigation Scheme, Kenya. Adv. Agric. 2021, 2021, 1624334. [Google Scholar] [CrossRef]
- Ye, N.; Zhu, G.; Liu, Y.; Zhang, A.; Li, Y.; Liu, R.; Shi, L.; Jia, L.; Zhang, J. Ascorbic Acid and Reactive Oxygen Species Are Involved in the Inhibition of Seed Germination by Abscisic Acid in Rice Seeds. J. Exp. Bot. 2012, 63, 1809–1822. [Google Scholar] [CrossRef]
- Nakao, Y.; Asea, G.; Yoshino, M.; Kojima, N.; Hanada, H.; Miyamoto, K.; Yabuta, S.; Kamioka, R.; Sakagami, J.-I. Development of Hydropriming Techniques for Sowing Seeds of Upland Rice in Uganda. Am. J. Plant Sci. 2018, 9, 2170–2182. [Google Scholar] [CrossRef]
- Mohamed-Yasseen, Y.; Barringer, S.A.; Splittstoesser, W.E.; Costanza, S. The Role of Seed Coats in Seed Viability. Bot. Rev. 1994, 60, 426–439. [Google Scholar] [CrossRef]
- Fields, P.G. The control of stored-product insects and mites with extreme temperatures. J. Stored Prod. Res. 1992, 28, 89–118. [Google Scholar] [CrossRef]
- De Sousa, A.H.; Faroni, L.A.R.; Freitas, R.S. Relative Toxicity of Mustard Essential Oil to Insect-Pests of Stored Products 1. Rev. Caatinga 2014, 27, 222–226. Available online: http://periodicos.ufersa.edu.br/index.php/sistema (accessed on 21 April 2022).
- Katta, M.Y.; Kamara, M.M.; Abd El–Aty, S.M.; Elgamal, H.W.; Soleiman, M.R.; Mousa, M.K.; Ueno, T. Effect of Storage Temperature on Storage Efficacy, Germination and Physical Characters of Some Paddy Rice Cultivars during Different Storage Periods. J. Fac. Agric. Kyushu Univ. 2019, 64, 61–69. [Google Scholar] [CrossRef]
- Justice, O.L.; Bass, L.N. Principles and Practices of Seed Storage; US Department of Agriculture: Washington, DC, USA, 1978.
- Delouche, J.C.; Matthes, R.K.; Dougherty, G.M.; Boyd, A.H. Storage of Seed in Sub-Tropical and Tropical Regions. Seed Sci. Technol. 1973, 1, 671–700. [Google Scholar]
- Hay, F.R.; Valdez, R.; Lee, J.-S.; Cruz, P.C.S. Seed Longevity Phenotyping: Recommendations on Research Methodology. J. Exp. Bot. 2018, 70, 425–434. [Google Scholar] [CrossRef] [PubMed]
- FAO. Module 6: Seed Storage; FAO: Rome, Italy, 2018; p. 112. Available online: https://www.fao.org/publications/card/en/c/CA1495EN/ (accessed on 17 January 2022).
- Vardhini, B.V.; Anuradha, S.; Rao, S.S.R. Brassinosteroids-New Class of Plant Hormone with Potential to Improve Crop Productivity. Indian J. Plant Physiol. 2003, 11, 1–12. [Google Scholar]
- Farooq, M.; Basra, S.M.A.; Wahid, A.; Khaliq, A.; Kobayashi, N. Organic Farming, Pest Control and Remediation of Soil Pollutants; Lichtfouse, E., Ed.; Springer: Dordrecht, The Netherlands, 2010. [Google Scholar] [CrossRef]
- Matsushima, K.-I.; Sakagami, J.-I. Effects of Seed Hydropriming on Germination and Seedling Vigor during Emergence of Rice under Different Soil Moisture Conditions. Am. J. Plant Sci. 2013, 4, 1584–1593. [Google Scholar] [CrossRef]
- Soltani, E.; Soltani, A. Meta-Analysis of Seed Priming Effects on Seed Germination, Seedling Emergence and Crop Yield: Iranian Studies Modeling Leaf Production and Senescence in Wheat View Project Modeling Potential Production and Yield Gap in Potato under Current and Future Climatic Conditions of Iran View Project. Artic. Int. J. Plant Prod. 2015, 9, 413–432. Available online: https://www.researchgate.net/publication/279528589 (accessed on 12 December 2022).
- Nawaz, J.; Hussain, M.; Jabbar, A.; Nadeem, G.A.; Sajid, M.; Subtain, M.U.; Shabbir, I. Seed Priming a Technique. Int. J. Agric. Crop Sci. 2013, 6, 1373. [Google Scholar]
- Singh, H.; Rupinder Jassal, R.K.; Kang, J.S.; Sandhu, S.S.; Kang, H.; Grewal, K. Seed Priming Techniques in Field Crops—A Review. Agric. Rev. 2015, 36, 251–264. [Google Scholar] [CrossRef]
- Khalid, M.F.; Hussain, S.; Anjum, M.A.; Ejaz, S.; Ahmad, M.; Jan, M.; Zafar, S.; Zakir, I.; Ali, M.A.; Ahmad, N.; et al. Hydropriming for Plant Growth and Stress Tolerance. In Priming and Pretreatment of Seeds and Seedlings; Springer: Singapore, 2019; pp. 373–384. [Google Scholar] [CrossRef]
- Lutts, S.; Benincasa, P.; Wojtyla, L.; Kubala, S.S.; Pace, R.; Lechowska, K.; Quinet, M.; Garnczarska, M. Seed Priming: New Comprehensive Approaches for an Old Empirical Technique. In New Challenges in Seed Biology—Basic and Translational Research Driving Seed Technology; InTechOpen: London, UK, 2016. [Google Scholar] [CrossRef]
- Batista, T.B.; Cardoso, E.D.; Binotti, F.F.D.S.; Costa, E.; de Sá, M.E. Condicionamento Fisiológico e Stress Sob Alta Umidade e Temperatura Na Qualidade Fisiológica de Sementes de Brachiaria Brizantha Cv. MG-5. Acta Sci. Agron. 2016, 38, 123–127. [Google Scholar] [CrossRef]
- Hernández, J.A.; Díaz-Vivancos, P.; Acosta-Motos, J.R.; Barba-Espín, G. Potassium Nitrate Treatment Is Associated with Modulation of Seed Water Uptake, Antioxidative Metabolism and Phytohormone Levels of Pea Seedlings. Seeds 2021, 1, 5–15. [Google Scholar] [CrossRef]
- Paparella, S.; Araujo, S.S.; Rossi, G.; Wijayasinghe, M.; Carbonera, D.; Balestrazzi, A. Seed Priming: State of the Art and New Perspectives. Plant Cell Rep. 2015, 34, 1281–1293. [Google Scholar] [CrossRef]
- Zhang, F.; Yu, J.; Johnston, C.R.; Wang, Y.; Zhu, K.; Lu, F.; Zhang, Z.; Zou, J. Seed Priming with Polyethylene Glycol Induces Physiological Changes in Sorghum (Sorghum bicolor L. Moench) Seedlings under Suboptimal Soil Moisture Environments. PLoS ONE 2015, 10, e0140620. [Google Scholar] [CrossRef] [PubMed]
- Salah, S.M.; Yajing, G.; Dongdong, C.; Jie, L.; Aamir, N.; Qijuan, H.; Weimin, H.; Mingyu, N.; Jin, H. Seed Priming with Polyethylene Glycol Regulating the Physiological and Molecular Mechanism in Rice (Oryza sativa L.) under Nano-ZnO Stress. Sci. Rep. 2015, 5, 14278. [Google Scholar] [CrossRef] [PubMed]
- Sarkar, R.K.; Mukherjee, A.K.; Chakraborty, K. Priming and Pretreatment of Seeds and Seedlings; Springer: Singapore, 2019. [Google Scholar] [CrossRef]
- Yan, M. Prolonged Storage Reduced the Positive Effect of Hydropriming in Chinese Cabbage Seeds Stored at Different Temperatures. S. Afr. J. Bot. 2017, 111, 313–315. [Google Scholar] [CrossRef]
- Wang, W.; He, A.; Peng, S.; Huang, J.; Cui, K.; Nie, L. The Effect of Storage Condition and Duration on the Deterioration of Primed Rice Seeds. Front. Plant Sci. 2018, 9, 172. [Google Scholar] [CrossRef]
- Hussain, S.; Zheng, M.; Khan, F.; Khaliq, A.; Fahad, S.; Peng, S.; Huang, J.; Cui, K.; Nie, L. Benefits of Rice Seed Priming Are Offset Permanently by Prolonged Storage and the Storage Conditions. Sci. Rep. 2015, 5, 8101. [Google Scholar] [CrossRef]
- Zheng, M.; Tao, Y.; Hussain, S.; Jiang, Q.; Peng, S.; Huang, J.; Cui, K.; Nie, L. Seed Priming in Dry Direct-Seeded Rice: Consequences for Emergence, Seedling Growth and Associated Metabolic Events under Drought Stress. Plant Growth Regul. 2016, 78, 167–178. [Google Scholar] [CrossRef]
- Chiu, K.Y.; Chen, C.L.; Sung, J.M. Effect of Priming Temperature on Storability of Primed Sh-2 Sweet Corn Seed. Crop. Sci. 2002, 42, 1996–2003. [Google Scholar] [CrossRef]
- Kaewnaree, P.; Vichitphan, S.; Klanrit, P.; Siri, B. Effect of Accelerated Aging Process on Seed Quality and Biochemical Changes in Sweet Pepper (Capsicum annuum Linn.) Seeds. Biotechnology 2011, 10, 175–182. [Google Scholar] [CrossRef]
- Zhang, K.; Zhang, Y.; Sun, J.; Meng, J.; Tao, J. Deterioration of Orthodox Seeds during Ageing: Influencing Factors, Physiological Alterations and the Role of Reactive Oxygen Species. Plant Physiol. Biochem. 2021, 158, 475–485. [Google Scholar] [CrossRef]
- Miura, K.; Lin, S.; Yano, M.; Nagamine, T. Mapping Quantitative Trait Loci Controlling Seed Longevity in Rice (Oryza sativa L.). Theor. Appl. Genet. 2002, 104, 981–986. [Google Scholar] [CrossRef]
- Raquid, R.; Kohli, A.; Reinke, R.; Dionisio-Sese, M.; Kwak, J.; Chebotarov, D.; Mo, Y.; Lee, J.S. Genetic Factors Enhancing Seed Longevity in Tropical Japonica Rice. Curr. Plant Biol. 2021, 26, 100196. [Google Scholar] [CrossRef]
- Nakao, Y.; Sone, C.; Sakagami, J.I. Genetic Diversity of Hydro Priming Effects on Rice Seed Emergence and Subsequent Growth under Different Moisture Conditions. Genes 2020, 11, 994. [Google Scholar] [CrossRef] [PubMed]
- Nakao, Y.; Tamaru, S.; Yabuta, S.; Sakagami, J. Vitality of Primed Rice Seeds Sown under Prolonged Dry Soil Conditions in an Upland Field. Crop. Sci. 2022, 62, 1277–1287. [Google Scholar] [CrossRef]
- Sakagami, J.-I. Prospect of Rice Development in Africa. J. Int. Coop. Agric. Dev. 2022, 20, 13–25. [Google Scholar]
- Thakur, M.; Sharma, P.; Anand, A. Seed Priming-Induced Early Vigor in Crops: An Alternate Strategy for Abiotic Stress Tolerance. In Priming and Pretreatment of Seeds and Seedlings; Springer: Singapore, 2019; pp. 163–180. [Google Scholar] [CrossRef]
- Ben Youssef, R.; Jelali, N.; Boukari, N.; Albacete, A.; Martinez, C.; Alfocea, F.P.; Abdelly, C. The Efficiency of Different Priming Agents for Improving Germination and Early Seedling Growth of Local Tunisian Barley under Salinity Stress. Plants 2021, 10, 2264. [Google Scholar] [CrossRef] [PubMed]
- Ruttanaruangboworn, A.; Chanprasert, W.; Tobunluepop, P.; Onwimol, D. Effect of Seed Priming with Different Concentrations of Potassium Nitrate on the Pattern of Seed Imbibition and Germination of Rice (Oryza sativa L.). J. Integr. Agric. 2017, 16, 605–613. [Google Scholar] [CrossRef]
- Farooq, M.; Basra, S.M.A.; Ahmad, N.; Hafeez, K. Thermal Hardening: A New Seed Vigor Enhancement Tool in Rice. J. Integr. Plant Biol. 2005, 47, 187–193. [Google Scholar] [CrossRef]
- Xu, L.-X.; Xin, X.; Yin, G.-K.; Zhou, J.; Zhou, Y.-C.; Lu, X.-X. Timing for Antioxidant-Priming against Rice Seed Ageing: Optimal Only in Non-Resistant Stage. Sci. Rep. 2020, 10, 13294. [Google Scholar] [CrossRef]
- Mohammadi, H.; Soltani, A.; Sadeghipour, H.; Zeinali, E. Effects of Seed Aging on Subsequent Seed Reserve Utilization and Seedling Growth in Soybean. Int. J. Plant Prod. 2011, 5, 65–70. Available online: https://www.sid.ir/en/journal/ViewPaper.aspx?id=182783 (accessed on 12 May 2022).
- Jana, S.; Choudhuri, M.A. Glycolate Metabolism of Three Submersed Aquatic Angio-Sperms: Effect of Heavy Metals. Aquat. Bot. 1981, 11, 67–77. [Google Scholar] [CrossRef]
- Lin, C.C.; Kao, C.H. Cell Wall Peroxidase Activity, Hydrogen Peroxide Level and NaCl-Inhibited Root Growth of Rice Seedlings. Plant Soil 2001, 230, 135–143. [Google Scholar] [CrossRef]
- Peixoto, P. Aluminum Effects on Lipid Peroxidation and on the Activities of Enzymes of Oxidative Metabolism in Sorghum. Rev. Bras. Fisiol. Veg. 1999, 11, 137–143. [Google Scholar]
- Hodges, D.M.; DeLong, J.M.; Forney, C.F.; Prange, R.K. Improving the thiobarbituric acid-reactive-substances assay for estimating lipid peroxidation in plant tissues containing anthocyanin and other interfering compounds. Planta 1999, 207, 604–611. [Google Scholar] [CrossRef]
- Ma, B.; Wan, J.; Shen, Z. H2O2 Production and Antioxidant Responses in Seeds and Early Seedlings of Two Different Rice Varieties Exposed to Aluminum. Plant Growth Regul. 2007, 52, 91–100. [Google Scholar] [CrossRef]
- Heath, R.L.; Packer, L. Photoperoxidation in Isolated Chloroplasts I. Kinetics and Stoichiometry of Fatty Acid Peroxidation. Arch. Biochem. Biophys. 2022, 726, 109248. [Google Scholar] [CrossRef] [PubMed]
- Tayebi-Meigooni, A.; Awang, Y.; Biggs, A.R.; Mohamad, R.; Madani, B.; Ghasemzadeh, A. Mitigation of Salt-Induced Oxidative Damage in Chinese Kale (Brassica alboglabra L.) Using Ascorbic Acid. Acta Agric. Scand. Sect. B Soil Plant Sci. 2014, 64, 13–23. [Google Scholar] [CrossRef]
- Woodstock, L.W.; Tao, K.-L.J. Prevention of Imbibitional Injury in Low Vigor Soybean Embryonic Axes by Osmotic Control of Water Uptake. Physiol. Plant. 1981, 51, 133–139. [Google Scholar] [CrossRef]
- Lamichaney, A.; Kumar, V.; Katiyar, P. Effect of Seed Priming Induced Metabolic Changes on Germination and Field Emergence of Chickpea. J. Environ. Biol. 2018, 39, 522–528. [Google Scholar] [CrossRef]
- Dearman, J.; Brocklehurst, P.A.; Drew, R.L.K. Effects of Osmotic Priming and Ageing on Onion Seed Germination. Ann. Appl. Biol. 1986, 108, 639–648. [Google Scholar] [CrossRef]
- Pandey, P.; Bhanuprakash, K.; Umesha. Effect of Seed Priming on Biochemical Changes in Fresh and Aged Seeds of Cucumber. J. Agric. Stud. 2017, 5, 62. [Google Scholar] [CrossRef]
- Abdulrahmani, B.; Ghassemi-Golezani, K.; Valizadeh, M.; Asl, V.F. Seed Priming and Seedling Establishment of Barley (Hordeum vulgare L.). J. Food Agric. Environ. 2005, 5, 179. Available online: https://www.researchgate.net/publication/255531826 (accessed on 21 February 2022).
- Demirkaya, M. Relationships between Antioxidant Enzymes and Physiological Variations Occur during Ageing of Pepper Seeds. Hortic. Environ. Biotechnol. 2013, 54, 97–102. [Google Scholar] [CrossRef]
- Woodstock, L.W.; Taylorson, R.B. Ethanol and Acetaldehyde in Imbibing Soybean Seeds in Relation to Deterioration. Plant Physiol. 1981, 67, 424–428. [Google Scholar] [CrossRef] [PubMed]
- Barbosa, R.M.; DE Jesus, M.A.; Pereira, R.A.; Junior, G.A.G. Electrical Conductivity and Ethanol Release to Assess Red Rice Seed Vigor. Rev. Caatinga 2021, 34, 791–798. [Google Scholar] [CrossRef]
- Devaiah, S.P.; Pan, X.; Hong, Y.; Roth, M.; Welti, R.; Wang, X. Enhancing Seed Quality and Viability by Suppressing Phospholipase D in Arabidopsis. Plant J. 2007, 50, 950–957. [Google Scholar] [CrossRef]
- Doria, E.; Pagano, A.; Ferreri, C.; Larocca, A.V.; Macovei, A.; de Sousa Araújo, S.; Balestrazzi, A. How Does the Seed Pre-Germinative Metabolism Fight Against Imbibition Damage? Emerging Roles of Fatty Acid Cohort and Antioxidant Defense. Front. Plant Sci. 2019, 10, 1505. [Google Scholar] [CrossRef]
- Kovach, D.A.; Bradford, K.J. Imbibitional Damage and Desiccation Tolerance of Wild Rice (Zizania palustris) Seeds. J. Exp. Bot. 1992, 43, 747–757. [Google Scholar] [CrossRef]
- Powell, A. Seed improvement by selection and invigoration. Sci. Agric. 1998, 55, 126–133. [Google Scholar] [CrossRef]
- Berrie, A.M.M.; Drennan, D.S.H. The Effect of Hydration-Dehydration on Seed Germination. New Phytol. 1971, 70, 135–142. Available online: http://www.jstor.org/stable/2431061 (accessed on 9 May 2022). [CrossRef]
- Wojtyla, Ł.; Lechowska, K.; Kubala, S.; Garnczarska, M. Different Modes of Hydrogen Peroxide Action during Seed Germination. Front. Plant Sci. 2016, 7, 66. [Google Scholar] [CrossRef]
- Shah, K.; Chaturvedi, V.; Gupta, S. Chapter 25—Climate Change and Abiotic Stress-Induced Oxidative Burst in Rice. In Advances in Rice Research for Abiotic Stress Tolerance; Hasanuzzaman, M., Fujita, M., Nahar, K., Biswas, J.K., Eds.; Woodhead Publishing: Sawston, UK, 2019; pp. 505–535. [Google Scholar] [CrossRef]
- Patterson, B.D.; Iviacrae, E.A.; Fergusont, A.B. Estimation of Hydrogen Peroxide in Plant Extracts Using Titanium(W). Anal. Biochem. 1984, 139, 487–492. [Google Scholar] [CrossRef]
- Yu, Y.; Zhen, S.; Wang, S.; Wang, Y.; Cao, H.; Zhang, Y.; Li, J.; Yan, Y. Comparative Transcriptome Analysis of Wheat Embryo and Endosperm Responses to ABA and H2O2 Stresses during Seed Germination. BMC Genom. 2016, 17, 97. [Google Scholar] [CrossRef]
- Warm, E.; Laties, G.G. Quantification of Hydrogen Peroxide in Plant Extracts by the Chemiluminescence Reaction with Luminol. Phytochemistry 1982, 21, 827–831. [Google Scholar] [CrossRef]
- Goswami, A.; Banerjee, R.; Raha, S. Drought Resistance in Rice Seedlings Conferred by Seed Priming: Role of the Anti-Oxidant Defense Mechanisms. Protoplasma 2013, 250, 1115–1129. [Google Scholar] [CrossRef]
- Puntarulo, S.; Sánchez, R.A.; Boveris, A. Hydrogen Peroxide Metabolism in Soybean Embryonic Axes at the Onset of Germination. Plant Physiol. 1988, 86, 626–630. [Google Scholar] [CrossRef]
- Bailly, C.; Benamar, A.; Corbineau, F.; Come, D.; Bailly, C.; Benamar, A. Changes in Malondialdehyde Content and in Superoxide Dismutase, Catalase and Glutathione Reductase Activities in Sunflower Seeds as Related to Deterioration during Accelerated Aging. Physiol. Plant. 1996, 97, 104–110. [Google Scholar] [CrossRef]
- Khan, F.; Bhat, S.A.; Narayan, S. Seed Deterioration and Priming—An Overview Biotechnology View Project Effect of Different Seed Soaking and Priming Methods on Physiological Potential of Seed Germination in Okra (Abelmoschus esculantas L.) View Project. 2017. Available online: https://www.researchgate.net/publication/318848506 (accessed on 9 May 2022).
- Whitehouse, K.; Hay, F.; Ellis, R. Improvement in Rice Seed Storage Longevity from High-Temperature Drying Is a Consistent Positive Function of Harvest Moisture Content above a Critical Value. Seed Sci. Res. 2018, 28, 332–339. [Google Scholar] [CrossRef]
- Suma, A.; Sreenivasan, K.; Singh, A.K.; Radhamani, J. Role of Relative Humidity in Processing and Storage of Seeds and Assessment of Variability in Storage Behaviour in Brassica spp. and Eruca sativa. Sci. World J. 2013, 2013, 504141. [Google Scholar] [CrossRef] [PubMed]
- Cromarty, A.S.; Ellis, R.H.; Roberts, E.H. The Design of Seed Storage Facilities for Genetic Conservation. International Board for Plant Genetic Resources. 1982. Available online: https://books.google.co.jp/books?hl=en&lr=&id=44xNGnxCd2kC&oi=fnd&pg=PR5&ots=yjFDcDUpsv&sig=phZkTeLNYLhCjcXUTxkjEWtOPH4&redir_esc=y#v=onepage&q&f=false (accessed on 9 May 2022).
- Fenollosa, E.; Jené, L.; Munné-Bosch, S. A Rapid and Sensitive Method to Assess Seed Longevity through Accelerated Aging in an Invasive Plant Species. Plant Methods 2020, 16, 64. [Google Scholar] [CrossRef]
- Sano, N.; Rajjou, L.; North, H.M.; Debeaujon, I.; Marion-Poll, A.; Seo, M. Staying Alive: Molecular Aspects of Seed Longevity. Plant Cell Physiol. 2016, 57, 660–674. [Google Scholar] [CrossRef]
- Rajjou, L.; Debeaujon, I. Seed Longevity: Survival and Maintenance of High Germination Ability of Dry Seeds. Comptes Rendus Biol. 2008, 331, 796–805. [Google Scholar] [CrossRef] [PubMed]




| Treatment | Storage Period (Days) | p Value | ||||
|---|---|---|---|---|---|---|
| 0 | 30 | 60 | 90 | 120 | ||
| Non-primed | 69 ± 5 c A | 52 ± 4 b B | 53 ± 5 b B | 51 ± 2 B | 41 ± 10 B | <0.001 |
| Hydropriming | 85 ± 2 b A | 75 ± 6 a AB | 73 ± 6 a AB | 64 ± 11 BC | 48 ± 8 C | <0.001 |
| Halopriming | 97 ± 5 a A | 77 ± 6 a B | 81 ± 5 a AB | 67 ± 8 BC | 53 ± 9 C | <0.001 |
| Osmopriming | 88 ± 4 ab A | 72 ± 4 a AB | 76 ± 7 a AB | 71 ± 8 B | 40 ± 7 C | <0.001 |
| p value | <0.001 | 0.001 | 0.001 | 0.007 | 0.277 | |
| Non-Primed | ||||||||||||
|---|---|---|---|---|---|---|---|---|---|---|---|---|
| EC 24 | Germination | MGT | GI | T50 | SVI 1 | SVI 2 | H2O2 | MDA | 100 Seed Weight | Seedling Length | DM (g) | |
| EC 24 | 1.00 | |||||||||||
| Germination | 0.05 | 1.00 | ||||||||||
| MGT | 0.98 ** | −0.11 | 1.00 | |||||||||
| GI | −0.95 * | 0.20 | −0.99 ** | 1.00 | ||||||||
| T50 | 0.97 ** | −0.06 | 0.99 ** | −0.99 ** | 1.00 | |||||||
| SVI 1 | −0.74 | −0.53 | −0.68 | 0.65 | −0.75 | 1.00 | ||||||
| SVI 2 | −0.41 | 0.24 | −0.37 | 0.36 | −0.33 | 0.09 | 1.00 | |||||
| H2O2 | 0.81 | 0.36 | 0.69 | −0.62 | 0.67 | −0.63 | −0.66 | 1.00 | ||||
| MDA | 0.58 | 0.69 | 0.42 | −0.33 | 0.42 | −0.67 | −0.47 | 0.91 ** | 1.00 | |||
| 100 Seed Weight | −0.30 | −0.92 * | −0.12 | 0.03 | −0.15 | 0.64 | 0.14 | −0.66 | −0.91 * | 1.00 | ||
| Seedling Length | −0.62 | −0.71 | −0.53 | 0.49 | −0.60 | 0.97 ** | 0.01 | −0.62 | −0.74 | 0.78 | 1.00 | |
| DM (g) | −0.44 | 0.05 | −0.36 | 0.33 | −0.33 | 0.20 | 0.98 ** | −0.76 | −0.63 | 0.33 | 0.15 | 1.00 |
| Hydropriming | ||||||||||||
| EC 24 | Germination | MGT | GI | T50 | SVI 1 | SVI 2 | H2O2 | MDA | 100 Seed Weight | Seedling Length | DM (g) | |
| EC 24 | 1.00 | |||||||||||
| Germination | −0.71 | 1.00 | ||||||||||
| MGT | 0.87 | −0.83 | 1.00 | |||||||||
| GI | −0.89 * | 0.88 * | −0.99 ** | 1.00 | ||||||||
| T50 | 0.82 | −0.80 | 1.00 ** | −0.98 ** | 1.00 | |||||||
| SVI 1 | −0.65 | 0.78 | −0.94 | 0.92 * | −0.97 ** | 1.00 | ||||||
| SVI 2 | −0.75 | 0.77 | −0.97 ** | 0.95 * | −0.99 ** | 0.98 | 1.00 | |||||
| H2O2 | 0.34 | −0.55 | 0.76 | −0.70 | 0.82 | −0.93 | −0.87 | 1.00 | ||||
| MDA | −0.06 | −0.35 | 0.43 | −0.38 | 0.52 | −0.70 | −0.62 | 0.89 * | 1.00 | |||
| 100 Seed Weight | −0.53 | 0.92* | −0.77 | 0.80 | −0.77 | 0.83 | 0.75 | −0.69 | −0.51 | 1.00 | ||
| Seedling Length | −0.63 | 0.75 | −0.93 * | 0.90 * | −0.96 ** | 1.00 ** | 0.97 ** | −0.94 * | −0.70 | 0.81 | 1.00 | |
| DM (g) | −0.77 | 0.69 | −0.96 ** | 0.93 | −0.98 ** | 0.95 | 0.99 ** | −0.84 | −0.56 | 0.65 | 0.95 * | 1.00 |
| Halopriming | ||||||||||||
| EC 24 | Germination | MGT | GI | T50 | SVI 1 | SVI 2 | H2O2 | MDA | 100 Seed Weight | Seedling Length | DM (g) | |
| EC 24 | 1.00 | |||||||||||
| Germination | −0.68 | 1.00 | ||||||||||
| MGT | 0.91 * | −0.39 | 1.00 | |||||||||
| GI | −0.98 ** | 0.60 | −0.96 * | 1.00 | ||||||||
| T50 | 0.88 * | −0.35 | 0.99 ** | −0.93 * | 1.00 | |||||||
| SVI 1 | −0.78 | 0.14 | −0.80 | 0.76 | −0.80 | 1.00 | ||||||
| SVI 2 | −0.89 * | 0.90 * | −0.72 | 0.84 | −0.71 | 0.45 | 1.00 | |||||
| H2O2 | 0.21 | 0.06 | 0.51 | −0.30 | 0.58 | −0.12 | −0.27 | 1.00 | ||||
| MDA | 0.53 | −0.06 | 0.69 | −0.52 | 0.77 | −0.63 | −0.46 | 0.77 | 1.00 | |||
| 100 Seed weight | −0.65 | 0.42 | −0.82 | 0.75 | −0.82 | 0.31 | 0.69 | −0.78 | −0.60 | 1.00 | ||
| Seedling Length | −0.59 | −0.14 | −0.68 | 0.58 | −0.68 | 0.96 ** | 0.20 | −0.11 | −0.59 | 0.17 | 1.00 | |
| DM (g) | −0.91 * | 0.85 | −0.78 | 0.87 | −0.77 | 0.53 | 0.99 ** | −0.33 | −0.54 | 0.71 | 0.28 | 1.00 |
| Osmopriming | ||||||||||||
| EC 24 | Germination | MGT | GI | T50 | SVI 1 | SVI 2 | H2O2 | MDA | 100 Seed Weight | Seedling Length | DM (g) | |
| EC 24 | 1.00 | |||||||||||
| Germination | −0.94 * | 1.00 | ||||||||||
| MGT | 0.85 | −0.91 * | 1.00 | |||||||||
| GI | −0.89 * | 0.94 * | −1.00 ** | 1.00 | ||||||||
| T50 | 0.86 | −0.95 * | 0.98 ** | −0.99 ** | 1.00 | |||||||
| SVI 1 | −0.63 | 0.80 | −0.93 * | 0.91 * | −0.94 * | 1.00 | ||||||
| SVI 2 | −0.85 | 0.92 * | −0.93 * | 0.94 * | −0.91 * | 0.82 | 1.00 | |||||
| H2O2 | 0.56 | −0.69 | 0.52 | −0.56 | 0.66 | −0.57 | −0.38 | 1.00 | ||||
| MDA | 0.53 | −0.76 | 0.80 | −0.79 | 0.87 | −0.93 * | −0.66 | 0.79 | 1.00 | |||
| 100 Seed Weight | −0.72 | 0.84 | −0.67 | 0.71 | −0.79 | 0.67 | 0.57 | −0.97 ** | −0.82 | 1.00 | ||
| Seedling Length | −0.41 | 0.61 | −0.82 | 0.78 | −0.81 | 0.96 ** | 0.68 | −0.41 | −0.88 * | 0.48 | 1.00 | |
| DM (g) | −0.46 | 0.41 | −0.44 | 0.44 | −0.35 | 0.26 | 0.70 | 0.34 | 0.03 | −0.12 | 0.17 | 1.00 |
| Storage Period (Days) | |||||
|---|---|---|---|---|---|
| Treatment | 0 | 30 | 60 | 90 | 120 |
| Non-primed | 5.90 ± 0.5 a | 5.41 ± 0.8 | 4.2 ± 0.4 a | 5.25 ± 0.9 | 7.68 ± 1.6 |
| Hydropriming | 5.26 ± 0.7 a | 4.58 ± 0.4 | 3.06 ± 0.03 b | 3.65 ± 0.7 | 6.62 ± 0.7 |
| Halopriming | 3.95 ± 0.4 b | 4.20 ± 0.8 | 3.68 ± 0.3 ab | 3.44 ± 0.8 | 6.41 ± 1.4 |
| Osmopriming | 4.83 ± 0.8 ab | 5.02 ± 0.8 | 4.04 ± 0.1 a | 4.34 ± 0.7 | 6.58 ± 1 |
| p value | 0.028 | 0.1783 | <0.01 | 0.0889 | 0.599 |
| Storage Period (Days) | Gp (%) | SVI 1 | Seedling Length (cm) | H2O2 (µmol·g−1 FW) | MDA (nmol·g−1 FW) |
|---|---|---|---|---|---|
| Non-Primed | |||||
| 0 | 100 ± 0 | 17.2 ± 0.7 | 17.19 ± 0.7 | 1.473 ± 0.49 | 5.903 ± 0.5 ab |
| 30 | 100 ± 0 | 16.5 ± 1.8 | 16.49 ± 1.8 | 1.419 ± 0.67 | 5.411 ± 0.8 ab |
| 60 | 99 ± 0.02 | 17.3 ± 0.4 | 17.47 ± 0.1 | 1.366 ± 0.66 | 4.204 ± 0.4 b |
| 90 | 99 ± 0.02 | 16.9 ± 0.3 | 17.12 ± 0.2 | 1.566 ± 0.27 | 5.252 ± 0.9 ab |
| 120 | 100 ± 0 | 16.4 ± 0.4 | 16.41 ± 0.4 | 2.036 ± 0.98 | 7.662 ± 1.6 a |
| p value | 0.58 | 0.713 | 0.534 | 0.621 | 0.014 |
| Hydropriming | |||||
| 0 | 100 ± 0.02 a | 16.4 ± 0.3 a | 16.39 ± 0.3 a | 0.823 ± 0.19 b | 5.281 ± 0.7 ab |
| 30 | 98.67 ± 0 a | 16.3 ± 1.3 a | 16.49 ± 1 a | 0.554 ± 0.21 b | 4.580 ± 0.4 bc |
| 60 | 100 ± 0 a | 16.5 ± 0.3 a | 16.48 ± 0.3 a | 0.475 ± 0.09 b | 3.063 ± 0.03 c |
| 90 | 97 ± 0.02 a | 15.0 ± 0.6 a | 15.41 ± 0.3 ab | 0.646 ± 0.34 b | 3.652 ± 0.7 c |
| 120 | 93 ± 0.02 b | 12.3 ± 1.6 b | 13.16 ± 1.6 b | 1.608 ± 0.98 a | 6.615 ± 0.7 a |
| p value | 0.005 | 0.002 | 0.003 | <0.001 | <0.001 |
| Halopriming | |||||
| 0 | 100 ± 0 | 17.3 ± 1.1 a | 17.34 ± 1.1 | 1.282 ± 0.54 ab | 3.946 ± 0.4 b |
| 30 | 100 ± 0 | 13.8 ± 2.6 ab | 13.79 ± 2.6 | 0.312 ± 0.44 c | 4.200 ± 0.8 ab |
| 60 | 95 ± 0.06 | 15.7 ± 0.5 ab | 16.65 ± 0.6 | 0.226 ± 0.19 c | 3.685 ± 0.3 b |
| 90 | 96 ± 0.04 | 15.3 ± 0.2 ab | 15.95 ± 0.8 | 0.802 ± 0.44 bc | 3.443 ± 0.8 b |
| 120 | 95 ± 0.02 | 13.4 ± 1.3 b | 14.19 ± 1.1 | 1.949 ± 0.18 a | 6.413 ± 1.4 a |
| p value | 0.185 | 0.041 | 0.052 | <0.001 | <0.001 |
| Osmopriming | |||||
| 0 | 100 ± 0 a | 16.7 ± 1.4 a | 16.74 ± 1.4 | 1.678 ± 0.51 ab | 4.833 ± 0.8 ab |
| 30 | 100 ± 0 a | 15.2 ± 2.0 ab | 15.16 ± 2 | 0.282 ± 0.02 bc | 4.335 ± 0.8 ab |
| 60 | 99 ± 0.02 a | 16.6 ± 0.3 a | 16.82 ± 0.4 | 0.164 ± 0.04 c | 4.038 ± 0.1 b |
| 90 | 99 ± 0.02 a | 16.5 ± 0.5 ab | 16.73 ± 0.1 | 1.115 ± 0.49 bc | 4.335 ± 0.7 b |
| 120 | 91 ± 0.02 b | 13.2 ± 1.3 b | 14.54 ± 1.7 | 2.555 ± 0.28 a | 6.579 ± 1 a |
| p value | <0.001 | 0.028 | 0.188 | <0.001 | 0.008 |
| Source of Variation | EC | Initial Germination | Final Germination | MGT | GI | T50 | SVI 1 | SVI 2 | MDA | Seed Weight | Length | Seedling DM | MDG | H2O2 | MDA |
|---|---|---|---|---|---|---|---|---|---|---|---|---|---|---|---|
| Treatment | ** | ** | * | ** | ** | ** | ** | ** | ** | ns | ** | ** | ns | ** | ** |
| Storage | ** | ** | ** | ** | ** | ** | ** | ** | ** | ** | ** | ** | ** | ** | ** |
| Treatment × Storage | * | ns | ** | ** | ** | ns | ns | ns | ns | ns | ns | ns | ** | ** | ns |
Disclaimer/Publisher’s Note: The statements, opinions and data contained in all publications are solely those of the individual author(s) and contributor(s) and not of MDPI and/or the editor(s). MDPI and/or the editor(s) disclaim responsibility for any injury to people or property resulting from any ideas, methods, instructions or products referred to in the content. |
© 2023 by the authors. Licensee MDPI, Basel, Switzerland. This article is an open access article distributed under the terms and conditions of the Creative Commons Attribution (CC BY) license (https://creativecommons.org/licenses/by/4.0/).
Share and Cite
Bore, E.K.; Ishikawa, E.; Libron, J.A.M.A.; Goto, K.; Odama, E.; Nakao, Y.; Yabuta, S.; Sakagami, J.-I. Primed Seeds of NERICA 4 Stored for Long Periods under High Temperature and Humidity Conditions Maintain Germination Rates. Appl. Sci. 2023, 13, 2869. https://doi.org/10.3390/app13052869
Bore EK, Ishikawa E, Libron JAMA, Goto K, Odama E, Nakao Y, Yabuta S, Sakagami J-I. Primed Seeds of NERICA 4 Stored for Long Periods under High Temperature and Humidity Conditions Maintain Germination Rates. Applied Sciences. 2023; 13(5):2869. https://doi.org/10.3390/app13052869
Chicago/Turabian StyleBore, Emmanuel Kiprono, Eri Ishikawa, Julie Ann Mher Alcances Libron, Keita Goto, Emmanuel Odama, Yoshihiro Nakao, Shin Yabuta, and Jun-Ichi Sakagami. 2023. "Primed Seeds of NERICA 4 Stored for Long Periods under High Temperature and Humidity Conditions Maintain Germination Rates" Applied Sciences 13, no. 5: 2869. https://doi.org/10.3390/app13052869
APA StyleBore, E. K., Ishikawa, E., Libron, J. A. M. A., Goto, K., Odama, E., Nakao, Y., Yabuta, S., & Sakagami, J.-I. (2023). Primed Seeds of NERICA 4 Stored for Long Periods under High Temperature and Humidity Conditions Maintain Germination Rates. Applied Sciences, 13(5), 2869. https://doi.org/10.3390/app13052869

