Next Article in Journal
Assessment of the Fermentative Performance of Traditional Fresh Moroccan Sourdoughs and Their Freeze-Dried Forms Using Online Monitoring Device: Panigraph
Previous Article in Journal
SEM/EDS Analysis of Tubules and Mineral Deposition in the Dentin of Children with Osteogenesis Imperfecta
 
 
Font Type:
Arial Georgia Verdana
Font Size:
Aa Aa Aa
Line Spacing:
Column Width:
Background:
Article

Research on the Effectiveness of Virtual Reality Technology for Locomotive Crew Driving and Emergency Skills Training

1
Key Laboratory of Vehicle Tools and Equipment, Ministry of Education, East China Jiaotong University, Nanchang 330013, China
2
The State Key Laboratory of Heavy-Duty and Express High-Power Electric Locomotive, No. 1 Tianxin Road, Shifeng District, Zhuzhou 412001, China
3
School of Locomotives and Rolling Stock, Zhengzhou Railway Vocational and Technical College, Zhengzhou 451460, China
*
Author to whom correspondence should be addressed.
Appl. Sci. 2023, 13(22), 12452; https://doi.org/10.3390/app132212452
Submission received: 7 October 2023 / Revised: 12 November 2023 / Accepted: 13 November 2023 / Published: 17 November 2023

Abstract

:
With the continuous expansion of road networks and the rise in railway transportation capacity, the scale of locomotive crew needs has increased sharply. However, the current training of locomotive crews is inefficient and costly and cannot meet the needs of the industry. This project adopted virtual reality technology to develop the driving and emergency skills of harmonious electric locomotive crews. The trainees can learn the composition and structure of the locomotive, master the working principles of the locomotive and receive training in relevant emergency skills in the virtual environment. After completion of the system development, we carried out a series of research studies and experiments; the results show that the use of this system to train personnel can lead to them quickly mastering the practical training content. This new training mode can effectively solve the outstanding problems with the current training system for locomotive crews.

1. Introduction

Nowadays, railways are one of the major transportation systems for economic development and social resource allocation, with the purpose of completing transportation tasks, providing people with convenience and improving the quality of life. Along with the construction, investment and use of high-speed railways on a substantial nationwide scale, the railway sector is facing unprecedented development opportunities and great challenges. Safety requirements and the large number of new technologies and equipment have a great impact on locomotive crews, who are responsible for driving the locomotives and ensuring the trains’ safety and punctuality. Their abilities are gradually becoming unable to adapt to the rapid development of the railways. Therefore, how to improve the training skills of locomotive crews is a particularly important issue.
Virtual reality (VR) technology has been widely used. Li Qunyan et al. analyzed the advantages of VR technology in training. Compared with traditional training, it improved the efficiency of training and ensured the safety of personnel during practical training [1]. Learners acquire knowledge and skills through interaction with virtual environments, changing the traditional teaching model and “teacher-oriented” learning forms. With the richness of its learning content, this learning process can change according to the student’s own experience. This autonomous learning environment will greatly improve the interest and learning efficiency of learners. The advantages of VR applications can be summarized by three aspects: (1) interactive systems to optimize teaching and learning; (2) removal of time and space constraints in real-world scenarios; (3) optional configurations and hazard avoidance.
The problems of the current training system for locomotive crews can be summed up as follows:
  • Waste of operating resources. Traditional locomotive crew members occupy the locomotive for training for a long time, which affects relevant routine production activities, resulting in a huge waste of resources.
  • The internal structure and principles of the locomotive cannot be visualized in teaching. In the training of locomotive crews, theoretical knowledge is limited in the form of text, pictures and videos, and the shape of locomotive external equipment is understood by on-site observation, combined with experienced field workers’ oral introductions to the internal structure. This learning pattern is a great challenge to the learners’ spatial imagination, which limits their accuracy of understanding, powers of analysis, learning efficiency and interest levels.
  • Difficult to show common faults. Common locomotive faults cannot be concentrated on in a single locomotive, and students can only listen to the teacher’s lectures or watch picture displays, without real experience of the situation.
  • Prolonged training time. Due to factors such as the number of locomotives, site arrangements and staff time, limited hours are spent on the site, and learners can mostly only observe, rather than have hands-on practice, leading to a relatively long period of actual training.
  • Potential damage in the training in real scenes. In the process of locomotive training, there are many potential hazards. The working conditions of field training and practice are complex. For new employees, accidents are often caused by maloperation, which may damage vehicle parts or even harm trainees’ lives.
In this study, we applied VR technologies in the field of rail transit to alleviate the problems of high time consumption, low efficiency, poor visibility, a large risk coefficient, multiple restrictions and high costs in the training process of locomotive crew members. VR technology is based on computer technology and combines with related interactive technologies to generate a digital environment that accurately simulates real scenarios. Wang et al. designed a virtual driving scenario based on a real tunnel used by Törnros to perform on-road tests. The correspondence between the driving simulation and on-road tests was assessed to demonstrate the ability of the platform as a research tool [2]. Sasaki et al. developed a bicycle simulator that can safely simulate dangerous traffic environments by combining VR technology, motion capture technology and various sensors to investigate the driving behavior of bicyclists who are involved in accidents [3]. Users can interact with objects in the digital environment with virtual equipment in an immersive learning experience.

2. State of the Art

In this section, we present a brief review of the related works on the various VR-technology-based training systems (Section 2.1), VR applications for railways (Section 2.2) and discussion on VR technologies for training (Section 2.3), respectively.

2.1. VR Applications for General Training

VR techniques can represent realistic workplace situations and provide text-free interfaces to better engage users in the training [4]. Specifically, VR provides an alternate modality that allows workers to receive accurate training in hazard recognition and avoidance, such as learning to follow mine evacuation routes and safe procedures without exposing themselves to danger [5].
VR technologies have been broadly utilized in various fields for training. Wang et al. developed a training system for fire emergency evacuation; the system was tested for its robustness and functionality against the development requirements, and the results showed promising potential to support more effective emergency management [6]. Li et al. presented a tower crane dismantlement training VR system, and the results indicate that the trainees of the proposed system generally learned better than those using the traditional method [7]. As a potential reference for users, Kasireddy et al. provided a comparative study on virtual construction by using the CAVE system, head-mounted Oculus VR and Cardboard VR. This study can potentially contribute to formalizing selection and integration of appropriate VR environments in support of construction project management [8]. Lin et al. also integrated a traditional VR visualization system with 3D object manipulation and adjustment functions for a collaborative and interactive VR system for architectural design education. It will promote the education of architectural design [9]. In the language learning field, Alfadil et al. improved vocabulary acquisition by introducing VR technology in English as a Foreign Language (EFL) for middle school students [10].
Specifically in the architecture, engineering and construction (AEC) domains, VR technology has been rapidly accepted for education and training in recent years due to the superiority of the engaging, immersive environment feature [11]. The tread analysis by Noghabaei et al. showed a significant increase in AR/VR utilization in the AEC industry, including residential, commercial, institutional and transportation sectors [12]. Heydarian et al. adopted the VR technology for AEC procedures, in which 112 participants showed statistically enhanced performance comparable to that in a physical environment [13]. VR technology enables spatial cognition for the immersive review of 3D design [14], which further enables civil engineering (CE) students to gain practical experience without being present at a construction site [15].

2.2. VR Applications on Railways

At present, the application of virtual reality technology in the fields of aerospace and education has achieved some results. Tubis et al. confirmed the benefits of using virtual reality in training conductors and determined the most effective training strategy [16]. Based on the previous research and practical developments, VR technology can also be used to re-design a railway locomotive [17]. In general, a regular railway operation training system is an expensive and complex procedure that comprises a data layer, a functional layer, a data interface layer and an application layer. For this reason, He et al. proposed a railway operation training system based on VR to reduce the costs of actual facility occupation, loss and waste due to mis-operation of training objects [18]. According to Wu et al.’s studies, a synthetic virtual environment can also integrate with supervision, examination, and tracking units to improve the performance of training and examining of the locomotive crew [19]. So far, no researcher has applied VR technology to locomotive crew driving and emergency skills training. Based on VR technology, in this study, we designed and developed a locomotive crew driving and emergency skills training system that mainly solves the problems of invisible structure, difficulties in the understanding of working principles, and high training costs in the process of locomotive crew training, so that students can receive training in virtual scenes and meet qualification requirements.

2.3. Studies of VR Technology for Training

Laura et al. studied the challenges of a collaborative VR application in an engineering project, with the perspectives of technique adaptiveness, user acceptance and daily basic practice [20]. Similarly, Maxwell and Whyte developed a mobile visualization environment that enabled interactive design reviews by groups [21]. Cankaya summarized the major focus of VR headset-based education for (1) plastic surgery [22], (2) language learning [23], (3) surveys of surgery [24], and (4) alleviating the challenges of medical education [25].
Eiris et al. conducted a comparative study between the VR technology and the desktop based 360-degree scene for training in construction, in which students preferred 360-degree panorama conditions while professionals perceived no difference [26]. This is reasonable because during the learning process, students need to rely on real-life scenarios to enhance their understanding and memory of professional knowledge. Although the process of generating realistic 3D VR environments is complex and time-consuming, 360-degree multimedia tools based on VR technology are more practical, especially for scenarios such as those in the mining industry [27].
Buttussi and Luca found that the advanced head-mounted displays (HMDs) with 6-DOF trackers significantly improved the learning experience compared to 3-DOF tracker-based HMDs and desktop VR [28]. However, it is also noteworthy to mention that a systematic review by Radianti et al. found that VR technology has been focused on the experimental and developmental aspects of broad disciplines, rather than on deriving theories [29].

3. Overview

Our system adopts VR technology to improve the traditional teaching and training system, and improves the quality and efficiency of training through interactive learning. The system mainly presents the electric locomotive linkage control principle, bogie maintenance, locomotive crew emergency drills and other content through text descriptions, verbal explanations, video analysis, animations, special effects displays and other methods. The system architecture is shown in Figure 1.
The system has a built-in vehicle model that supports 720 degree rotation, scaling, decomposition, assembly, sectioning and other interactive operations. In addition, the system has functions for the import of teaching and assessment content, configuration of fault simulations and emergency operations, automatic records of actual operations, automatic analysis of operational processes, automatic transmission analysis and summaries of evaluation results. The relevant functions constitute an intelligent comprehensive teaching and training evaluation system that can fully improve the quality and efficiency of training, reduce the time cost of training, and ensure the personal safety of students, and that has good prospects as a cutting-edge, yet practical application.

4. VR Technology-Based Simulation

4.1. Reconstruction of Locomotive Conductor Training Scene

In this training system, there are a large number of equipment models with complex surface structures. To ensure both the accuracy of the rendering of important equipment and the fidelity of scenes, the locomotive model and the training scene presented in the system are jointly constructed by Creo 5.0, Maya 2022, Substance Painter 2022 and Unity3D 2022. The mechanical modeling software Creo has been used to carry out parametric modeling for important parts such as the locomotive to ensure the accuracy and proportions of the model. The basic model is imported into Maya for subtraction and optimization, and the model UV is expanded in Maya for later mapping in Substance Painter. The optimized model from Maya is imported into the Unity3D engine together with the map for resource synthesis and render baking. The process of model creation is shown in Figure 2.
In order to reduce the overhead of high-precision modeling in rendering, the details of the locomotive model are rendered by mapping. UV (texture map coordinates) expansion of the device model is performed to obtain a plane corresponding to the model surface in the plane to draw complex textures, such that a 3D device complex surface can be represented by a texture map. Meanwhile, a bump map is used to show the bump details on the surface of the equipment; thus, there is no need to add model faces to show the details. Accordingly, the effect of low mold and high precision can be achieved, which reduces the utilization of computer resources and improves the smoothness of system operation.

4.2. Trigger Detection Technology

In the 3D environment, trigger detection is used to determine whether the device in the virtual scene has been touched and to trigger the corresponding events. Accurate trigger detection has an important influence on the human–computer interaction effect of the system, which is mainly reflected in two aspects: the authenticity of virtual environment interaction and the immersion of interaction. In the vehicle training system for locomotive attendants, a large number of device models are involved, which makes the choice of trigger detection mode particularly important.
There are mainly three ways to trigger virtual devices in the modeling engines. One is that when the two virtual devices directly touch or penetrate each other, the corresponding events are then triggered. Another is to add a collider to the virtual device to realize triggering detection in a specific area around the virtual device. The third is to trigger detection through the ray and the 3D model or UI in the scene, shown in Figure 3. Two virtual models need to be in direct contact to trigger corresponding events when using tools to perform fault repair operations on the locomotive. In the process of entering the driver’s cab or machine room, the door opening and closing operation can be realized by adding a collider to the door. When the student is within the detection range of the collider, the door will open automatically. In the virtual scene, a variety of spatial UI interfaces are set up to prompt students to perform corresponding operations. In this case, it is necessary to implement trigger detection with UI through rays. Therefore, in this system, three triggering methods are used to trigger different models.

5. VR Technology-Based Training System Functions

5.1. Practical Operation Drill for Electric Locomotive Bogie Inspection

The module can reproduce the actual operation drill for the locomotive crew’s inspection of the bogie before the electric locomotive’s departure, and the inspection sequence is completely consistent with the inspection site and on-site requirements. The system records the check sequence, check time, and check results of students in real time. After comparing these operation records with the background database in real time, the operation prompts will be given in the teaching mode, and the scoring results will be directly obtained in the assessment mode as the objective evaluation basis for the assessment of students. The inspection route and inspection position are shown in Figure 4.
The training system can restore the representative faults in bogie inspection to the locomotive model in a concentrated and realistic way. The trainees will learn and recognize the faults with immersive interaction. In the teaching mode, all of the typical faults are presented. Multimedia such as audio, video and text are used to guide students in a full range of auxiliary teaching. In the assessment model, the teacher can either specify or randomize the fault types; the system then renders the typical realistic fault on the virtual model without any instructional materials. Students are instructed to independently complete the inspection operations. In the meantime, the running system will record their operation process in real time. In the modeling engine, no functional components are provided to directly generate model faults. This system mainly reproduces locomotive component faults by replacing models, adding models, changing maps, particle effects and shade, etc. For the whole fracture of locomotive parts, a replacement model is adopted, such as the spring fracture. Among the important parts of a locomotive bogie, many fastening bolts need to be checked to see whether they are loose, which is mainly determined by whether the fastening marking line is out of position or not. This system mainly changes the bolt model’s map. Two maps correspond to each bolt: no dislocation and dislocation. The system automatically changes the map according to the teacher’s choice. The wheel tread appears mainly in the form of corrosion, scratches, peels, cracks, pits and other fault types. Since there are many fault types in the same part, shade technology is mainly used to render the wheel model and randomly present corresponding faults. In the locomotive bogie, cracks are one of the typical and fatal vehicle faults. Since the location of the local cracks may appear differently in size and shape every time, the system is mainly simulated by adding the crack model to the component model to realize the crack fault, using a database to store a variety of different crack models. The spring fracture model is marked by the red circle in Figure 5. Based on the selection of the fault type, the system will attach the corresponding crack to the mesh model of the corresponding locomotive model to represent the local fault components, as shown in Figure 5.

5.2. Emergency Drill for Locomotive Attendants

In real emergency drills, students may commit operational mistakes and cause partial functional damage to the locomotives. This module will record the student’s emergency response process based on the student’s different operations and the locomotive real-time state. The contents of emergency drills mainly include scenarios involving pantographs that cannot be raised, failure of the main circuit breaker, failure of the DC 110 V power supply unit (PSU) and tcMS1/2 system faults. According to different situations in the emergency drills, students can freely choose the scene mode and learn emergency measures in different environments, as shown in Figure 6.
This module mainly includes three modes: teaching mode, practice mode and assessment mode. Students can experience the virtual emergency scene in the head-mounted VR device, interacting with the virtual model device through the controller, and roaming in the virtual scene. They can observe the virtual model of the scene up close and through 720 degrees, and take a series of virtual actions to deal with the emergency situation through the handle.
  • Teaching mode: The module contains all of the common faults of the locomotive and and their emergency solutions. Teachers can provide instruction in virtual fault handling according to the standard process, while students can also practice independently. The system contains five learning methods, such as text explanation, voice explanations, video displays, animations, and special effects displays. In this module, students must deal with faults according to the specified troubleshooting process, as shown in Figure 7.
  • Practice mode: In this module, the locomotive will randomly fail, and the students will deal with the failure independently. If students perform a wrong operation, the system will provide the corresponding error feedback. Students can press a help button, which will explain the system in detail with descriptive text, voice and video analysis, such as animation displays with help information.
  • Assessment mode: This mode is mainly for assessing the maintenance operations, which can be divided into two forms: theory and practice. Theoretical learning is to review and evaluate the knowledge learned, deepen the impression in the meantime, which can help to check for missed knowledge. After completion of the practice assessment, scores and evaluations will be printed out and stored in the corresponding folder, as shown in Figure 8.

6. The Training System Operation Effect

6.1. Hardware Access

We adopted the HTC VIVE virtual reality suite for the hardware device supports. HTC VIVE is a set of immersive virtual reality devices developed in cooperation with HTC and VALVE Company. It consists of a head-mounted display, handheld controller and positioning system. The Vive helmet is directly connected with the student’s machine to relay communication and information between the student’s machine and teacher’s machine in real time. Meanwhile, the student’s machine sends the local examination results to the teacher’s machine in real time, as shown in Figure 9. HTC VIVE mainly realizes interactive functions through the position of the helmet and the operation of the handle.

6.2. Training Process

After students enter the electric locomotive bogie inspection module, the instructor can guide them in checking various equipment components under the locomotive according to the maintenance rules. The detection circuit and the parts to be detected are clearly marked, and voice and text instructions are provided. Students can perform interactive operations through handles. If the operation is wrong, the system will immediately give correct instructions to help the student correct the error. By using interactive functions, students can examine different fault types of the same part and identify common fault types and ways to deal with them.
After the student has gained a certain understanding of the on-board equipment, electrical circuit principles and under-board equipment, the emergency drill module for the locomotive crew will be invoked. Students need to study four emergency situations carefully in the system. They can freely choose weather conditions (sunny, rain and snow) and emergency locations (outdoor, warehouse) in the virtual environment. They can operate the equipment on or under the locomotive through the interactive handle according to the process for the emergency failure.
In the assessment mode, the examination questions are provided by the teacher’s equipment, and the fault types of the locomotive equipment are specified by the teacher. The student sends the assessment request to the teacher, and after the teacher sends the fault type, assessment questions and test time to the student’s device, the student can enter the assessment scene, as shown in Figure 10. Students should deal with the emergency situation interactively; in this process, the system will not show any prompts. After students submit the assessment content, the system will automatically score and grade them. Wrong operations will be visually displayed in the scene, and the students can immerse themselves in the cause of the error. At the same time, the student’s computer will send the assessment results to the teacher’s computer, and the teacher’s computer will automatically sort the results and generate the score report.

6.3. Evaluation and Results

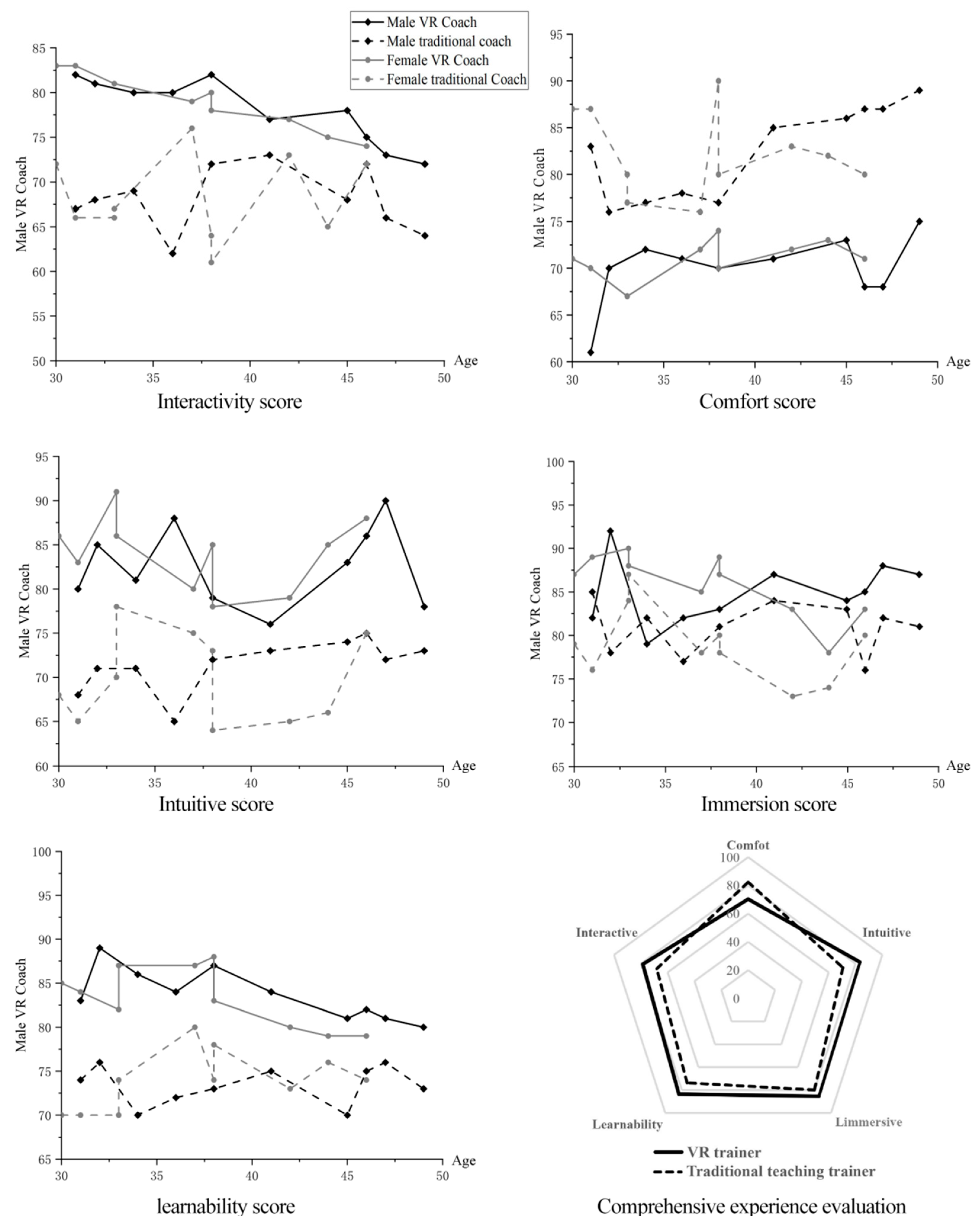
After completion of the system’s development, we conducted a set of studies and experiments to evaluate the effectiveness of the system in meeting the requirements of locomotive crew driving and emergency skills training. The systematic evaluation was conducted at the Kunming Railway Bureau locomotive depot vocational education department. In order to evaluate the immersion, intuition, interactivity, learnability and comfort of the system, we invited 20 teachers from Kunming locomotive depot with working experience of more than 10 years for the evaluation. The age distribution of the teachers is shown in Figure 11. The numbers 1, 2, 3, and 4 in the figure represent the number of people by age group. Numbers such as 30–35 in the figure represent age ranges.
A five-day systematic experience was conducted for 20 teachers to assess the immersion, intuition, interactivity, learnability, and comfort indicators, each with a score range from 0 to 100 points. The scoring results, shown in Figure 12, reveal the high performance and effectiveness of our system in nearly all aspects mentioned above. However, the comfortableness of the hardware equipment needs to be further improved. This is due to the need for learners to wear VR helmets, the weight and fixation of which cause head discomfort. The scores also show that gender has no significant influence on the immersion, intuition, interactivity, learning ability and comfort of the system. With increasing age, employees showed weaker comprehension ability and lower scores for system interaction and learning ability. This is consistent with the findings of Chang et al. [30].
To further verify the effectiveness of the system, we selected 100 new employees to experience our system. Table 1 shows the analysis of all participants.
Among the new employees, 60% were trained with the system and further divided into three groups according to their professional background and VR experience; 40% were trained in traditional ways and were divided into two groups according to their professional background. Each group took part in our experiment with the help of two vocational teachers with rich experience in emergency skills training. To ensure the fairness of the results, after 10 days of training, the five groups were assessed according to a traditional assessment method with an examination and questionnaires, and the pass rate of each group was obtained, respectively. The results are shown in Figure 13. Numbers such as I, II in the figure represent the numbers assigned to the respective groups.
  • The number of employees who passed the examination in group II was merely one less than in group I, indicating that even without VR experience, new employees can quickly adapt to the system.
  • The difference between group III and group V shows that the system can train new employees efficiently.
  • Data for groups I, II and IV again prove that the VR system is more effective than traditional training methods.
  • The coach and new staff of Kunming Railway Administration who participated in the experiment agreed that the system was effective, by alleviating the disadvantages of the traditional locomotive crew training and emergency skills training.
  • The new system is capable of training new employees without an actual rolling stock, which improves the on-line service rate of rolling stock.
  • The system presents boring but extremely important emergency drills in the virtual space in rich forms of expression, which makes the learning content easier to understand and more impressive.
  • In this system, typical locomotive faults can be unified and concentrated in the virtual locomotive. Moreover, the principle and fault types can be visualized, which enriches the students’ experiences in handling emergency situations.
  • The training system can guarantee the safety of students’ lives, which improves the training efficiency and pass rate and reduces the waste of training resources.

7. Shortcomings and Limitations

The present study still has some shortcomings and limitations. Training in a virtual environment will reduce the perception of the actual danger. At the same time, the head-mounted VR devices may bring discomfort to users, such as dizziness and nausea after long-term wear. However, this discomfort can be greatly reduced after adapting to VR helmets with long experience. Another limitation is that the current system is mainly based on individual training for students without multi-person collaborative operation. In many cases, multi-person collaboration is necessary and is one of the major components of our future research work.

8. Conclusions

The research results demonstrate the applicability and efficiency of VR technology in locomotive crew driving and emergency skills training systems. VR is a new technology for content display and human–computer interaction that can improve the efficiency of traditional practical training, ensure the safety of students, and reduce the waste of resources.
The training system for locomotive crew driving and emergency skills based on VR technology can render the typical faults and emergency conditions of locomotive components. By using VR hardware equipment such as the helmet and handle controller, the trainees are provided with a strong sense of scene immersion and reality. The system adopts a student-end and teacher-end model that meets the requirements for not only students’ independent learning and instructional operations but also for their evaluation and assessment.
An important feature of the system is that it can dynamically change the fault type of the components according to instructions from the teacher’s side and construct assessment scenes and key points within a few seconds for the trainees to deal with. It not only improves students’ learning efficiency, but also enriches their experience in dealing with emergency situations.

Author Contributions

Conceptualization, Q.X.; Methodology, X.G. and L.P.; Software, X.G.; Investigation, P.Z. and M.Z. All authors have read and agreed to the published version of the manuscript.

Funding

This work was supported by the education reform project of Jiangxi Province in 2022 (JXJG-22-5-30) “Reform and Practice of ESP Teaching in College English Based on VR—A Case Study of Vehicle Engineering”, and Open Project of The State Key Laboratory of Heavy Duty AC Drive Electric Locomotive Systems Integration (2017ZJKF11).

Informed Consent Statement

Informed consent was obtained from all subjects involved in the study.

Data Availability Statement

The data presented in this study are available in article.

Conflicts of Interest

The authors declare that they have no known competing financial interests or personal relationships that could have appeared to influence the work reported in this paper.

References

  1. Li, Q.; Zhang, K.; Song, Y.; Lv, Z. Preliminary Analysis of the Application of VR Technology in Production Safety Training. Digit. Technol. Appl. 2023, 41, 30–32. [Google Scholar]
  2. Wang, M.; Jogeshwar, A.K.; Diaz, G.J.; Pelz, J.B.; Farnand, S.P. Demonstration of a Virtual Reality Driving Simulation Platform. Electron. Imaging 2020, 32, 31–39. [Google Scholar] [CrossRef]
  3. Sasaki, Y.; Fujiwara, K.; Mitobe, K. Risks that induce bicycle accidents: Measurement and analysis of bicyclist behavior while going straight and turning right using a bicycle simulator. Accid. Anal. Prev. 2023, 194, 107338. [Google Scholar] [CrossRef] [PubMed]
  4. Gao, Y.; Gonzalez, V.A.; Yiu, T.W. The effectiveness of traditional tools and computer-aided technologies for health and safety training in the construction sector: A systematic review. Comput. Educ. 2019, 138, 101–115. [Google Scholar] [CrossRef]
  5. Filigenzi, M.T.; Orr, T.J.; Ruff, T.M. Virtual reality for mine safety training. Appl. Occup. Environ. Hyg. 2000, 15, 465–469. [Google Scholar] [CrossRef]
  6. Wang, B.; Li, H.; Rezgui, Y.; Bradley, A.; Ong, H.N. Bim based virtual environment for fire emergency evacuation. Sci. World J. 2014, 2014, 589016. [Google Scholar] [CrossRef] [PubMed]
  7. Li, H.; Chan, G.; Skitmore, M. Multiuser virtual safety training system for tower crane dismantlement. J. Comput. Civ. Eng. 2012, 26, 638–647. [Google Scholar] [CrossRef]
  8. Kasireddy, V.; Zou, Z.; Akinci, B.; Rosenberry, J. Evaluation and comparison of different virtual reality environments towards supporting tasks done on a virtual construction site. Constr. Res. Congr. 2016, 2016, 2371–2381. [Google Scholar]
  9. Lin, C.H.; Hsu, P.H. Integrating procedural modelling process and immersive VR environment for architectural design education. In Proceedings of the 2017 2nd International Conference on Mechanical, Manufacturing, Modeling and Mechatronics (IC4M 2017), Kortrijk, Belgium, 24–26 February 2017; Volume 104, p. 3007. [Google Scholar]
  10. Alfadil, M. Effectiveness of virtual reality game in foreign language vocabulary acquisition. Comput. Educ. 2020, 153, 103893. [Google Scholar] [CrossRef]
  11. Wang, P.; Wu, P.; Wang, J.; Chi, H.L.; Wang, X. A critical review of the use of virtual reality in construction engineering education and training. Int. J. Environ. Res. Public Health 2018, 15, 1204. [Google Scholar] [CrossRef]
  12. Noghabaei, M.; Heydarian, A.; Balali, V.; Han, K.K. Trend analysis on adoption of virtual and augmented reality in the architecture, engineering, and construction industry. Int. Conf. Data Technol. Appl. 2020, 5, 26. [Google Scholar] [CrossRef]
  13. Heydarian, A.; Carneiro, J.P.; Gerber, D.; Becerik-Gerber, B.; Hayes, T.; Wood, W. Immersive virtual environments versus physical built environments: A benchmarking study for building design and user-built environment explorations. Autom. Constr. 2015, 54, 116–126. [Google Scholar] [CrossRef]
  14. Wu, T.H.; Wu, F.; Liang, C.J.; Li, Y.F.; Tseng, C.M.; Kang, S.C. A virtual reality tool for training in global engineering collaboration. Univ. Access Inf. Soc. 2019, 18, 243–255. [Google Scholar] [CrossRef]
  15. Walker, J.; Towey, D.; Pike, M.; Kapogiannis, G.; Elamin, A.; Wei, R. Developing a pedagogical photoreal virtual environment to teach civil engineering. Interact. Technol. Smart Educ. 2020, 17, 303–321. [Google Scholar] [CrossRef]
  16. Tubis, A.A.; Restel, F.; Jodejko-Pietruczuk, A. Development of a Virtual Reality Tool for Train Crew Training. Appl. Sci. 2023, 13, 11415. [Google Scholar] [CrossRef]
  17. Gironimo, G.D.; Patalano, S. Re-design of a railway locomotive in virtual environment for ergonomic requirements. Int. J. Interact. Des. Manuf. 2008, 2, 47–57. [Google Scholar] [CrossRef]
  18. Haiyong, H.; Lin, Z.; Guochen, Z.; Jiyi, Z.; Ruowei, C. Railway Train Operation Training System Based on Virtual Reality. CN Patent 104575149A, 31 December 2014. (In Chinese). [Google Scholar]
  19. Huiping, W.; Qingfei, L. Immersive Virtual Reality Locomotive Crew Abnormal Driving Real-Training Examination System. CN Patent 108831237A, 16 November 2018. (In Chinese). [Google Scholar]
  20. Maftei, L.; Nikolic, D.; Whyte, J.K. Challenges Around Integrating Collaborative Immersive Technologies into a Large Infrastructure Engineering Project. In Advances in Informatics and Computing in Civil and Construction Engineering; Springer: Berlin/Heidelberg, Germany, 2018. [Google Scholar]
  21. Parfitt, M.; Whyte, J. Developing a mobile visualization environment for construction applications. In Proceedings of the 31st International Conference of CIB W78, Orlando, FL, USA, 23–25 June 2014; pp. 825–832. [Google Scholar]
  22. Kim, Y.; Kim, H.; Kim, Y.O. Virtual reality and augmented reality in plastic surgery: A review. Arch. Plast. Surg. 2017, 44, 179–187. [Google Scholar] [CrossRef]
  23. Yang, M.T.; Liao, W.C. Computer-assisted culture learning in an online augmented reality environment based on free-hand gesture interaction. IEEE Trans. Learn. Technol. 2014, 7, 107–117. [Google Scholar] [CrossRef]
  24. Dickey, R.M.; Srikishen, N.; Lipshultz, L.I.; Spiess, P.E.; Carrion, R.E.; Hakky, T.S. Augmented reality assisted surgery: A urologic training tool. Asian J. Androl. 2016, 18, 732–734. [Google Scholar] [PubMed]
  25. Guze, P.A. Using technology to meet the challenges of medical education. Trans. Am. Clin. Climatol. Assoc. 2015, 126, 260–270. [Google Scholar]
  26. Eiris, R.; Gheisari, M.; Esmaeili, B. Desktop-based safety training using 360-degree panorama and static virtual reality techniques: A comparative experimental study. Autom. Constr. 2020, 109, 102969. [Google Scholar] [CrossRef]
  27. Kalkofen, D.; Mori, S.; Ladinig, T.; Daling, L.; Abdelrazeq, A.; Ebner, M.; Moser, P. Tools for teaching mining students in virtual reality based on 360° video experiences. In Proceedings of the Conference on Virtual Reality and 3D User Interfaces Abstracts and Workshops (VRW), Atlanta, GA, USA, 22–26 March 2020. [Google Scholar] [CrossRef]
  28. Buttussi, F.; Chittaro, L. Effects of different types of virtual reality display on presence and learning in a safety training scenario. IEEE Trans. Vis. Comput. Graph. 2018, 24, 1063–1076. [Google Scholar] [CrossRef]
  29. Radianti, J.; Majchrzak, T.A.; Fromm, J.; Wohlgenannt, I. A systematic review of immersive virtual reality applications for higher education: Design elements, lessons learned, and research agenda. Comput. Educ. 2020, 147, 103778. [Google Scholar] [CrossRef]
  30. Chang, W.T. The Effects of Age, Gender, and Control Device in a Virtual Reality Driving Simulation. Symmetry 2020, 12, 995. [Google Scholar] [CrossRef]
Figure 1. Overview of virtual reality technology-based driving and emergency skills training system for locomotive crew.
Figure 1. Overview of virtual reality technology-based driving and emergency skills training system for locomotive crew.
Applsci 13 12452 g001
Figure 2. The pipeline of the 3D modeling process with advanced tool kits.
Figure 2. The pipeline of the 3D modeling process with advanced tool kits.
Applsci 13 12452 g002
Figure 3. Flowchart of trigger detection.
Figure 3. Flowchart of trigger detection.
Applsci 13 12452 g003
Figure 4. Flowchart of inspection route and the corresponding inspection site.
Figure 4. Flowchart of inspection route and the corresponding inspection site.
Applsci 13 12452 g004
Figure 5. The representative fault types of locomotive components in both real (left) and virtual (right) environments.
Figure 5. The representative fault types of locomotive components in both real (left) and virtual (right) environments.
Applsci 13 12452 g005
Figure 6. Emergency drills within multiple environment (weather) configurations.
Figure 6. Emergency drills within multiple environment (weather) configurations.
Applsci 13 12452 g006
Figure 7. A snapshot of text instructions in the teaching model.
Figure 7. A snapshot of text instructions in the teaching model.
Applsci 13 12452 g007
Figure 8. Automatic assessment immediately calculated after the training and examinations.
Figure 8. Automatic assessment immediately calculated after the training and examinations.
Applsci 13 12452 g008
Figure 9. Hardware architecture of the proposed VR technology-based driving and emergency skills training system.
Figure 9. Hardware architecture of the proposed VR technology-based driving and emergency skills training system.
Applsci 13 12452 g009
Figure 10. The examination mode of the VR training system. (a) Scene interface; (b) Selection interface.
Figure 10. The examination mode of the VR training system. (a) Scene interface; (b) Selection interface.
Applsci 13 12452 g010
Figure 11. Basic information on the 20 teachers.
Figure 11. Basic information on the 20 teachers.
Applsci 13 12452 g011
Figure 12. The evaluation scores by the 20 experienced teachers, including those for system interaction, comfortableness, intuitiveness, immersion and learnability.
Figure 12. The evaluation scores by the 20 experienced teachers, including those for system interaction, comfortableness, intuitiveness, immersion and learnability.
Applsci 13 12452 g012
Figure 13. The pass rate of each group of trained new employees.
Figure 13. The pass rate of each group of trained new employees.
Applsci 13 12452 g013
Table 1. Basic information on the new employees.
Table 1. Basic information on the new employees.
Training MethodsGroup CategoriesQuantity
VR system training groupGroup I: People with professional background and no VR experience20
Group II: People with professional background and VR experience20
Group III: People without a professional background20
Traditional training groupGroup IV: People with professional background20
Group V: People without a professional background20
Disclaimer/Publisher’s Note: The statements, opinions and data contained in all publications are solely those of the individual author(s) and contributor(s) and not of MDPI and/or the editor(s). MDPI and/or the editor(s) disclaim responsibility for any injury to people or property resulting from any ideas, methods, instructions or products referred to in the content.

Share and Cite

MDPI and ACS Style

Gao, X.; Zhou, P.; Xiao, Q.; Peng, L.; Zhang, M. Research on the Effectiveness of Virtual Reality Technology for Locomotive Crew Driving and Emergency Skills Training. Appl. Sci. 2023, 13, 12452. https://doi.org/10.3390/app132212452

AMA Style

Gao X, Zhou P, Xiao Q, Peng L, Zhang M. Research on the Effectiveness of Virtual Reality Technology for Locomotive Crew Driving and Emergency Skills Training. Applied Sciences. 2023; 13(22):12452. https://doi.org/10.3390/app132212452

Chicago/Turabian Style

Gao, Xueshan, Peng Zhou, Qian Xiao, Li Peng, and Mingkang Zhang. 2023. "Research on the Effectiveness of Virtual Reality Technology for Locomotive Crew Driving and Emergency Skills Training" Applied Sciences 13, no. 22: 12452. https://doi.org/10.3390/app132212452

APA Style

Gao, X., Zhou, P., Xiao, Q., Peng, L., & Zhang, M. (2023). Research on the Effectiveness of Virtual Reality Technology for Locomotive Crew Driving and Emergency Skills Training. Applied Sciences, 13(22), 12452. https://doi.org/10.3390/app132212452

Note that from the first issue of 2016, this journal uses article numbers instead of page numbers. See further details here.

Article Metrics

Back to TopTop