Stability Analysis of the Vehicular Platoon with Sensing Delay and Communication Delay: CTCR Paradigm via Dixon Resultant
Abstract
:1. Introduction
2. Problem Statement
2.1. Preliminaries
2.2. Vehicle Dynamics and Platoon Control Objective
2.3. Closed–Loop Dynamics of the Vehicular Platoon with Sensing Delay and Communication Delay
3. Internal Stability Analysis
4. String Stability Analysis
5. Numerical Simulations
5.1. Internal Stability Verification
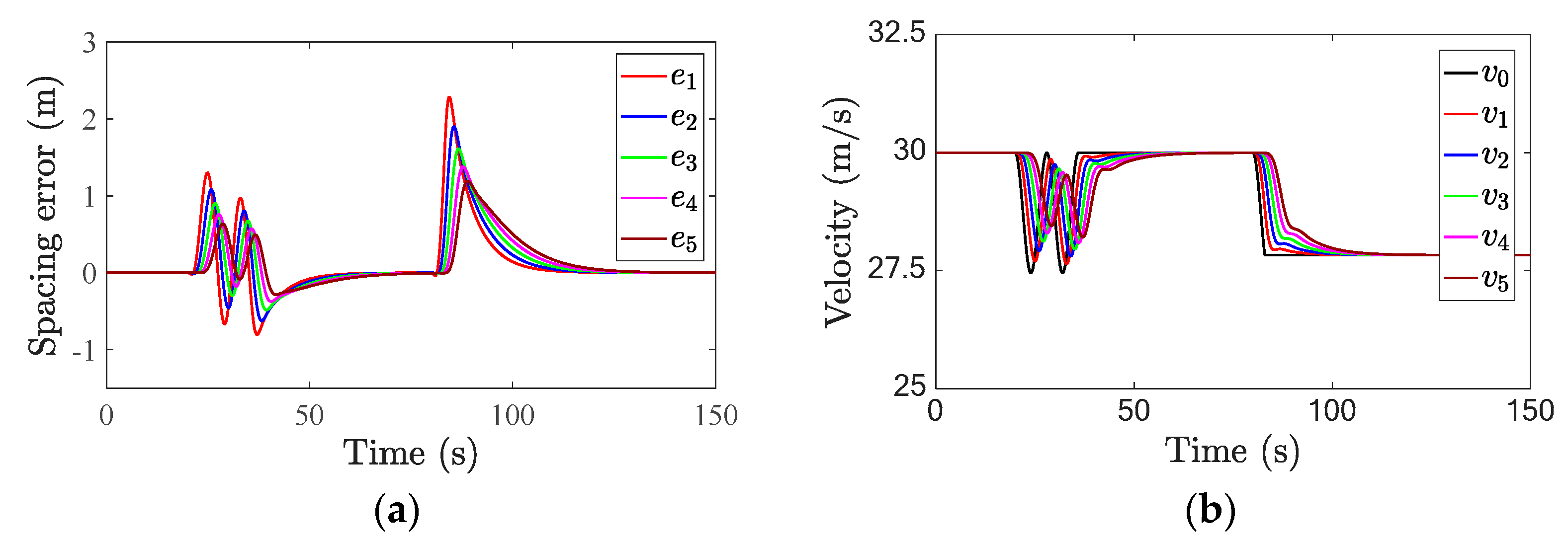
5.2. String Stability Verification
6. Conclusions
Author Contributions
Funding
Institutional Review Board Statement
Informed Consent Statement
Data Availability Statement
Conflicts of Interest
References
- Ma, K.; Wang, H.; Ruan, T. Analysis of road capacity and pollutant emissions: Impacts of connected and automated vehicle platoons on traffic flow. Phys. A 2021, 583, 126301–126311. [Google Scholar]
- Ploeg, J.; Semsar-Kazerooni, E.; Medina, A.I.M.; de Jongh, J.F.C.M.; van de Sluis, J.; Voronov, A.; Englund, C.; Bril, R.J.; Salunkhe, H.; Arrue, A.; et al. Cooperative automated maneuvering at the 2016 grand cooperative driving challenge. IEEE Trans. Intell. Transp. Syst. 2017, 19, 1213–1226. [Google Scholar] [CrossRef]
- Li, Y.; Zhong, Z.; Song, Y.; Sun, Q.; Sun, H.; Hu, S.; Wang, Y. Longitudinal platoon control of connected vehicles: Analysis and verification. IEEE Trans. Intell. Transp. Syst. 2022, 23, 4225–4235. [Google Scholar]
- Chehardoli, H.; Ghasemi, A. Robust adaptive consensus of decentralized large-scale bi-directional vehicular platoons with only relative position measurement. IEEE Trans. Veh. Technol. 2021, 71, 1363–1371. [Google Scholar] [CrossRef]
- Feng, S.; Zhang, Y.; Li, S.E.; Cao, Z.; Liu, H.X.; Li, L. String stability for vehicular platoon control: Definitions and analysis methods. Annu. Rev. Control 2019, 47, 81–97. [Google Scholar]
- Guo, G.; Li, P.; Hao, L. A new quadratic spacing policy and adaptive fault-tolerant platooning with actuator saturation. IEEE Trans. Intell. Transp. Syst. 2020, 23, 1200–1212. [Google Scholar] [CrossRef]
- Zhang, J.; Ma, X.; Jiang, Q. A geometric approach to analysing the effects of time delays on stability of vehicular platoons with ring interconnections. Peer Peer Netw. Appl. 2022, 15, 2542–2556. [Google Scholar] [CrossRef]
- Jia, D.; Ngoduy, D. Platoon based cooperative driving model with consideration of realistic inter-vehicle communication. Transp. Res. Part C-Emerg. Technol. 2016, 68, 245–264. [Google Scholar]
- Huang, D.; Li, S.; Zhang, Z.; Liu, Y.; Mi, B. Design and analysis of longitudinal controller for the platoon with time-varying delay. IEEE Trans. Intell. Transp. Syst. 2022, 23, 23628–23639. [Google Scholar] [CrossRef]
- Salvi, A.; Santini, S.; Valente, A.S. Design, analysis and performance evaluation of a third order distributed protocol for platooning in the presence of time-varying delays and switching topologies. Transp. Res. Part C-Emerg. Technol. 2017, 80, 360–383. [Google Scholar] [CrossRef]
- Petrillo, A.; Pescape, A.; Santini, S. A secure adaptive control for cooperative driving of autonomous connected vehicles in the presence of heterogeneous communication delays and cyberattacks. IEEE Trans. Cybern. 2020, 51, 1134–1149. [Google Scholar] [CrossRef] [PubMed]
- Shi, M.; Yu, Y.; Xu, Q. Delay-dependent consensus condition for a class of fractional-order linear multi-agent systems with input time-delay. Int. J. Syst. Sci. 2019, 50, 669–678. [Google Scholar] [CrossRef]
- Chen, J.; Liang, H.; Li, J.; Lv, Z. Connected automated vehicle platoon control with input saturation and variable time headway strategy. IEEE Trans. Intell. Transp. Syst. 2020, 22, 4929–4940. [Google Scholar] [CrossRef]
- Chehardoli, H.; Homaeinezhad, M.R.; Ghasemi, A. Control design and stability analysis of homogeneous traffic flow under time delay: A new spacing policy. Proc. Inst. Mech. Eng. Part D J. Automob. Eng. 2019, 233, 622–635. [Google Scholar] [CrossRef]
- Fazelinia, H.; Sipahi, R.; Olgac, N. Stability robustness analysis of multiple time-delayed systems using “building block” concept. IEEE Trans. Autom. Control 2007, 52, 799–810. [Google Scholar]
- Chehardoli, H.; Ghasemi, A.; Najafi, A. Centralized and decentralized distributed control of longitudinal vehicular platoons with non-uniform communication topology. Asian J. Control 2019, 21, 2691–2699. [Google Scholar] [CrossRef]
- Chehardoli, H.; Homaeinezhad, M.R. Third-order leader-following consensus protocol of traffic flow formed by cooperative vehicular platoons by considering time delay: Constant spacing strategy. Proc. Inst. Mech. Eng. Part I J. Syst Control Eng. 2018, 232, 285–298. [Google Scholar] [CrossRef]
- Chehardoli, H.; Ghasemi, A. Formation control of longitudinal vehicular platoons under generic network topology with heterogeneous time delays. J. Vib. Control 2019, 25, 655–665. [Google Scholar] [CrossRef]
- Akkaya, S.; Akbati, O.; Ergenc, A.F. Stability analysis of connected vehicles with V2V communication and time delays: CTCR method via Bézout’s resultant. Trans. Inst. Meas. Control 2021, 43, 1802–1829. [Google Scholar] [CrossRef]
- Ghasemi, A.; Rouhi, S. Stability analysis of a predecessor-following platoon of vehicles with two time delays. Promet 2015, 27, 35–46. [Google Scholar] [CrossRef]
- Cepeda-Gomez, R.; Olgac, N. Stability of formation control using a consensus protocol under directed communications with two time delays and delay scheduling. Int. J. Syst. Sci. 2016, 47, 433–449. [Google Scholar] [CrossRef]
- Cepeda-Gomez, R. Finding the exact delay bound for consensus of linear multi-agent systems. Int. J. Syst. Sci. 2016, 47, 2598–2606. [Google Scholar] [CrossRef]
- Liu, Y.; Gao, H.; Zhai, C.; Xie, W. Internal stability and string stability of connected vehicle systems with time delays. IEEE Trans. Intell. Transp. Syst. 2020, 22, 6162–6174. [Google Scholar] [CrossRef]
- Gong, J.; Cao, J.; Zhao, Y.; Wei, Y.; Guo, J.; Huang, W. Sampling-based cooperative adaptive cruise control subject to communication delays and actuator lags. Math. Comput. Simul. 2020, 171, 13–25. [Google Scholar] [CrossRef]
- Hu, S.G.; Wen, H.Y.; Xu, L.; Fu, H. Stability of platoon of adaptive cruise control vehicles with time delay. Transp. Lett. 2019, 11, 506–515. [Google Scholar] [CrossRef]
- Xing, H.; Ploeg, J.; Nijmeijer, H. Padé approximation of delays in cooperative ACC based on string stability requirements. IEEE Trans. Intell. Veh. 2016, 1, 277–286. [Google Scholar] [CrossRef]
- Xiao, L.; Gao, F. Practical string stability of platoon of adaptive cruise control vehicles. IEEE Trans. Intell. Transp. Syst. 2011, 12, 1184–1194. [Google Scholar] [CrossRef]
- Bian, Y.; Zheng, Y.; Ren, W.; Li, S.E.; Wang, J.; Li, K. Reducing time headway for platooning of connected vehicles via V2V communication. Transp. Res. Part C-Emerg. Technol. 2019, 102, 87–105. [Google Scholar] [CrossRef]
- Abolfazli, E.; Besselink, B.; Charalambous, T. On time headway selection in platoons under the MPF topology in the presence of communication delays. IEEE Trans. Intell. Transp. Syst. 2021, 23, 8881–8894. [Google Scholar] [CrossRef]
- Öncü, S.; Ploeg, J.; Van De Wouw, N.; Nijmeijer, H. Cooperative adaptive cruise control: Network-aware analysis of string stability. IEEE Trans. Intell. Transp. Syst. 2014, 15, 1527–1537. [Google Scholar] [CrossRef]
- Paláncz, B.; Zaletnyik, P.; Awange, J.L.; Grafarend, E.W. Dixon resultant’s solution of systems of geodetic polynomial equations. J. Geod. 2008, 82, 505–511. [Google Scholar] [CrossRef]
- Ergenc, A.F.; Olgac, N.; Fazelinia, H. Extended Kronecker summation for cluster treatment of LTI systems with multiple delays. SIAM J. Control Optim. 2007, 46, 143–155. [Google Scholar] [CrossRef]
- Sipahi, R.; Olgac, N. Kernel and offspring concepts for the stability robustness of multiple time delayed systems (MTDS). J. Dyn. Syst. Meas. Control-Trans. ASME 2007, 129, 245–251. [Google Scholar] [CrossRef]
- Sönmez, Ş.; Ayasun, S.; Nwankpa, C.O. An exact method for computing delay margin for stability of load frequency control systems with constant communication delays. IEEE Trans. Power Syst. 2015, 31, 370–377. [Google Scholar] [CrossRef]
- Yu, G.; Wong, P.K.; Huang, W.; Zhao, J.; Wang, X.; Yang, Z. Distributed adaptive consensus protocol for connected vehicle platoon with heterogeneous time-varying delays and switching topologies. IEEE Trans. Intell. Transp. Syst. 2022, 23, 17620–17631. [Google Scholar] [CrossRef]
- Alsuhaim, A.; Rayamajhi, A.; Westall, J.; Martin, J. Adapting time headway in cooperative adaptive cruise control to network reliability. IEEE Trans. Veh. Technol. 2021, 70, 12691–12702. [Google Scholar] [CrossRef]
- Li, S.E.; Li, K.; Rajamani, R.; Wang, J. Model predictive multi-objective vehicular adaptive cruise control. IEEE Trans. Control Syst. Technol. 2010, 19, 556–566. [Google Scholar] [CrossRef]









| Parameter | Description | Value | Unit |
|---|---|---|---|
| Time constant of the drivetrain | 0.4 | s | |
| Standstill spacing | 10 | m | |
| Time headway | 2 | s | |
| Maximum velocity | 55.6 | m/s | |
| Minimum velocity | 0 | m/s | |
| , , | Controller gains | 0.2, 0.9, 0.05 | - |
| Method | Simulation Time (min) |
|---|---|
| The proposed method | 0.05 |
| Sylvester resultant matrix–based method in [21] | 2.1 |
| ACE combined with Kronecker summation in [22] | 27.3 |
| Vehicle Index | Tracking Performance | Ride Comfort | ||||
|---|---|---|---|---|---|---|
| Case 1 | Case 2 | Case 3 | Case 1 | Case 2 | Case 3 | |
| 1 | 46.4875 | 14.9060 | 23.2915 | 0.5238 | 0.1196 | 0.5120 |
| 2 | 35.3689 | 13.6805 | 22.3953 | 0.2825 | 0.0748 | 0.3605 |
| 3 | 27.9918 | 12.6983 | 22.0915 | 0.1614 | 0.0557 | 0.2972 |
| 4 | 22.9289 | 11.8603 | 22.0800 | 0.0949 | 0.0442 | 0.2593 |
| 5 | 19.3520 | 11.1278 | 22.0581 | 0.0568 | 0.0363 | 0.2345 |
Disclaimer/Publisher’s Note: The statements, opinions and data contained in all publications are solely those of the individual author(s) and contributor(s) and not of MDPI and/or the editor(s). MDPI and/or the editor(s) disclaim responsibility for any injury to people or property resulting from any ideas, methods, instructions or products referred to in the content. |
© 2023 by the authors. Licensee MDPI, Basel, Switzerland. This article is an open access article distributed under the terms and conditions of the Creative Commons Attribution (CC BY) license (https://creativecommons.org/licenses/by/4.0/).
Share and Cite
Zhu, X.; Shen, Y.; Zhang, Z.; Yan, M. Stability Analysis of the Vehicular Platoon with Sensing Delay and Communication Delay: CTCR Paradigm via Dixon Resultant. Appl. Sci. 2023, 13, 11807. https://doi.org/10.3390/app132111807
Zhu X, Shen Y, Zhang Z, Yan M. Stability Analysis of the Vehicular Platoon with Sensing Delay and Communication Delay: CTCR Paradigm via Dixon Resultant. Applied Sciences. 2023; 13(21):11807. https://doi.org/10.3390/app132111807
Chicago/Turabian StyleZhu, Xu, Yongming Shen, Zehua Zhang, and Maode Yan. 2023. "Stability Analysis of the Vehicular Platoon with Sensing Delay and Communication Delay: CTCR Paradigm via Dixon Resultant" Applied Sciences 13, no. 21: 11807. https://doi.org/10.3390/app132111807
APA StyleZhu, X., Shen, Y., Zhang, Z., & Yan, M. (2023). Stability Analysis of the Vehicular Platoon with Sensing Delay and Communication Delay: CTCR Paradigm via Dixon Resultant. Applied Sciences, 13(21), 11807. https://doi.org/10.3390/app132111807

