Abstract
This article describes the design of a centrifuge for the separation of fat from meat–bone slurry to produce fat-extracted animal feed. The characteristics of the main components of the equipment and the principle of its operation were presented. The productivity of the centrifuge depending on duration and speed of rotation was determined. Data were provided for different drum speeds (1000, 1500, 2000, 2500 rpm) and centrifugation durations (5, 7, 10 and 15 min), with the yield (output) of defatted slurry measured as a percentage. Among the various conditions tested, the maximum yield of slurry was observed when the drum was rotated at 2000 rpm for 5 min, with a yield of 68.97%, while the lowest yield was observed when the drum was rotated at 1000 rpm for 15 min, with a yield of 55%. On the basis of modeling, a physical model including centrifugal separation with simultaneous centrifugal filtration was presented in the form of a system of differential, algebraic, and criterion equations.
1. Introduction
One of the priority directions of development of medium and small meat-processing enterprises in the Republic of Kazakhstan includes the development of technologies for waste-free processing of raw materials. After the slaughter of farm animals and poultry there remains blood, trimmings and separate organs, esophagus, rennet, furs (skin stripping), kanyga (contents of pre-stomachs), meat–bone cracklings (after fat extraction), bones, etc. All these can be used for animal feed after proper preparation [1,2].
After slaughtering animals, there are several options for what can be accomplished with the bones. One common practice is to utilize the bones for various purposes rather than disposing of them as waste. Some possible uses for animal bones include production of glue and gelatin, fodder flour, meat–bone paste, and meat–bone flour. It is important to note that the specific utilization of animal bones may vary depending on the scale of the operation and the available resources. The goal is to maximize the use of bone raw materials and minimize waste [3,4].
In the improvement of the waste-free technology of animal slaughter processing, the production of dry feed is of great relevance. In the production of dry animal feeds, a centrifugation process is used to separate fat from the meat and bone meal [5]. The use of the centrifugation process in the separation of fat from meat and bone meal produces a significantly higher quality of the fat than that obtained by pressing and extraction processes [6,7].
The technology for producing technical fats and feed meal includes the following main operations and processes: preparation of raw materials, sterilization (heat treatment), dehydration, separation and purification of fat (for fat-containing raw materials), and crushing and sieving of feed product [8,9]. Thermal treatment of raw materials by dry method consists of the following phases. The first phase—heating of raw materials up to 130 °C. The second phase—sterilization. The beginning of the second phase should be considered the achievement of 3 atm. steam pressure inside the boiler and a temperature of 130 °C. Sterilization continues for 30 min. The third phase—drying of slurry. The drying lasts for 1–3 h in a vacuum inside the boiler of 500–600 mm Hg, 70–80 °C temperature, and 3–3.5 atm pressure in the steam jacket of the boiler. The duration of the drying process depends on the type and quality of raw materials loaded into the boiler. After the end of heat treatment mass (slurry) is unloaded into the strainer, where it is kept for up to 4 h at a temperature of 75–80 °C. The fat is collected in a collection tank, and after decanting the rind is degreased by pressing or centrifugation [10].
Among the advanced technological processes, the centrifugation operation is of special importance in relation to homogeneous and heterogeneous systems. It is widely used not only in the food industry, but also in chemical, medical, and other fields [11,12,13]. One of the features of the centrifugation operation is the equipment used in the process of separation of liquid heterogeneous systems consisting of several complex components of suspension and emulsion [14,15].
Currently, filter-screw centrifuges, pulsating centrifuges, inertial centrifuges, vibrating centrifuges with sludge discharge, and settling-screw centrifuges are used in various industries. These are the most efficient equipment used in the separation of liquid heterogeneous systems [16,17]. A pusher centrifuge, known for its continuous operation, employs a unique mechanism with a stationary drum and a pusher advancing through it. High-speed rotation forms a solid cake pushed by centrifugal force while liquids exit. Multiple stages enhance separation quality. Centrifuging operations offer efficient continuous separation of solids from liquids and are widely used in industries like chemicals and food [18].
When studying the process of separation of liquid heterogeneous systems, there are not enough research papers that describe the centrifugation process while paying attention to the technological features of production along with the geometric features of the equipment. In research works, geometric dimensions are generalized and taken on the basis of average value patterns. This cannot provide a completely precise description of the flowing process. These conditions indicate that the process of separation of liquid heterogeneous systems in centrifugal equipment still requires a lot of research [19,20].
Physical and mathematical models (descriptions) of the process of separation of fat from solid residue are currently insufficient. Development of these models in the form of analytical solutions to the corresponding centrifugation problems can be the basis for the optimization and intensification of the method of separation of fat in raw materials. Taking into account the needs of development and improvement to production, it is of great importance to improve the process of separation of fat from solid residue on centrifugal equipment, thereby reducing equipment power and increasing the volume of production.
The aim of this work was to develop the design of a centrifuge for obtaining technical fat from meat–bone slurry, study the effect of drum speed and centrifugation time on the output of fat and defatted meat–bone slurry, and to mathematically model the centrifugation process.
2. Materials and Methods
2.1. Study Objects
The objects used in this study were cow bones (vertebral, rib, leg bones) obtained after deboning and trimming at meat processing plants. The bones were transported in special refrigerators KYODA (Guangzhou, China) to the laboratory, where they were chilled to (−2)–(−5) °C. After chilling, the bones were crushed on a K7-FI2-S power-crushing machine (Moscow, Russia) to a size of 8–10 mm.
2.2. Description of the Design of the Pilot Installation—Centrifuge
A filtering centrifuge with a vertically arranged filtering drum consisted of a casing and a lid (Figure 1A). A screw discharge device was installed on the lid. Crushed bones were transported from the receiving hopper by the screw of the feeder through the pipeline and fed into the filtering drum rotating inside the casing. The feeder screw was connected through a coupling with a gearmotor. The drive of the filter drum consisted of an electric motor and a gear transmission.
Figure 1.
General view (A) and schematic diagram (B) of the centrifuge for separation of fat from crushed bones: (1) casing; (2) filtering drum; (3) mesh; (4) feeder; (5) unloading pipe of liquid fraction; (6) V-belt gear; (7) hopper; (8) screw of unloading device; (9) pipeline; (10) lever; (11) unloading pipe; (12) moving scraper; (13) pinion gear; (14) motor of centrifuge; (15) motor of unloading device; (16) centrifuge cover; (17) feeder screw; (18) gear motor of feeder drive; and (19) protective fence of V-belt transmission.
The product, continuously flowing through pipeline, under the action of centrifugal force from the center of the filtering drum was thrown to the walls of the drum. At this moment the process of liquid fraction separation took place, forming a ring under the action of pressure and inertia force. The separated liquid fraction discharged through the holes of drum screen and was passed through the pipe for further processing. Solid fraction, not passed through the holes of the drum screen, was removed by the movable scraper mounted with the lever.
The solid phase was redirected inside the discharge unit by a movable scraper. With the help of a screw the discharge unit was fed into socket, after which it was sent for further processing. The drive of the discharging unit consisted of a V-belt transmission enclosed by a protective shield and an electric motor (Figure 1B).
The centrifuge was designed to separate animal fat from crushed bones through the creation of centrifugal force during the rotation of the drum. Data is provided for different drum speeds (1000, 1500, 2000, 2500 rpm) and centrifugation durations (5, 7, 10, and 15 min), with the yield of meat–bone cracklings measured as a percentage.
2.3. Determining the Power Required for Pressing
During centrifugation, the power (N) can be determined by the Formula (1) [21]:
where
- U—voltage indicated by the voltmeter, V;
- I—current intensity indicated by the ammeter, A;
- cosφ—power factor.
2.4. Statistical Analysis
The results of measurements were analyzed using Excel-2007 and Statistica 12 PL software (StatSoft, Inc., Tulsa, OK, USA). The differences between the samples were evaluated using two-way ANOVA of whether drum speed and centrifugation time had a significant effect. p-value < 0.05 was considered statistically significant.
The arithmetic mean was calculated using the formula:
where —mean average, n—number of repetitions, and xi—variable values.
3. Results and Discussion
3.1. Determination of Centrifuge Capacity Depending on Centrifugation Duration and Rotation Speed
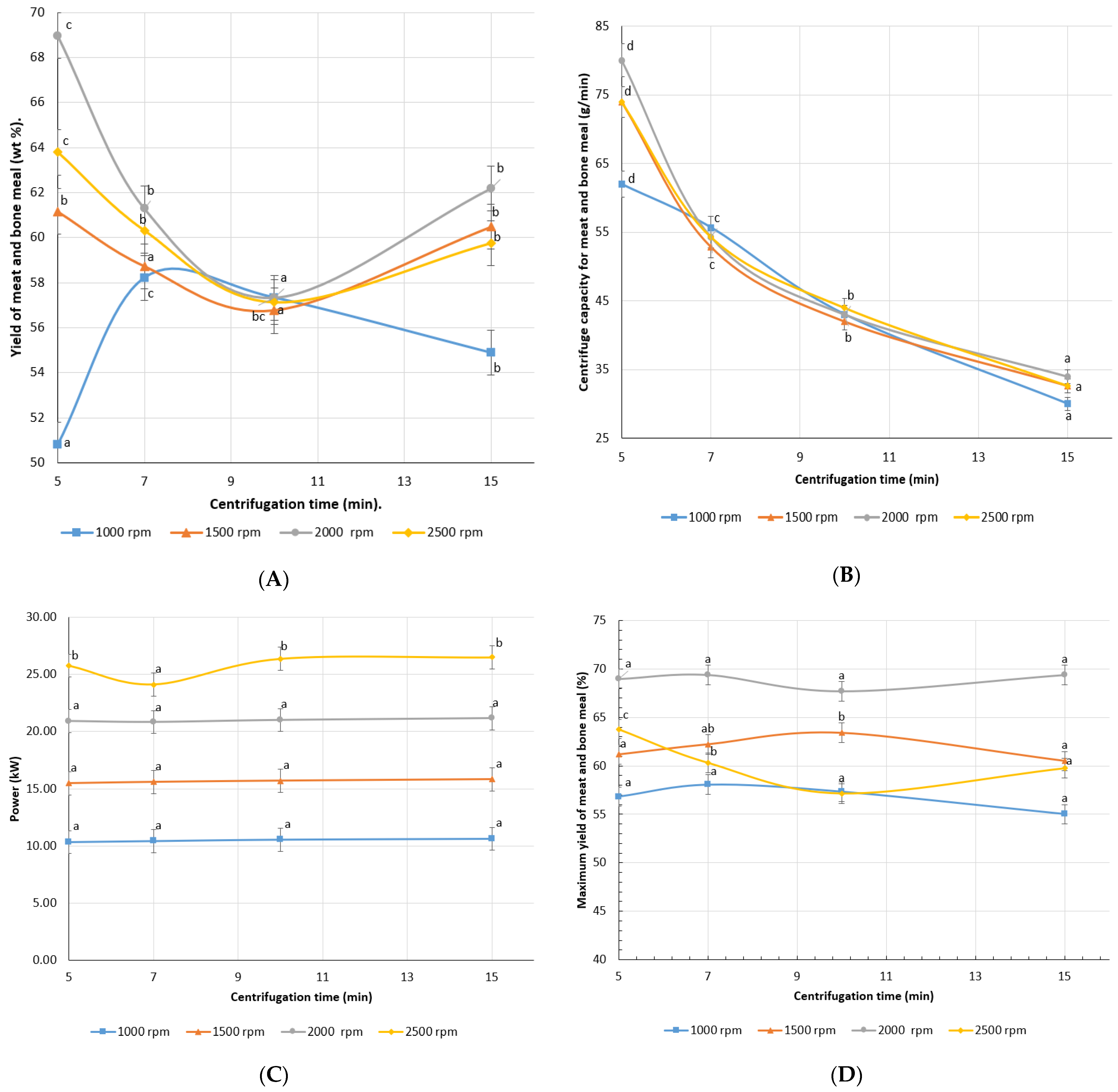
According to the results of the experiments we plotted the dependences of the most important parameters. The graphs below show the dependence of meat–bone crackling yield on the processing time at different speeds: n = 1000 rpm, n = 1500 rpm, n = 2000 rpm, n = 2500 rpm (Figure 2).
Figure 2.
Graph of the dependence of yield of defatted meat–bone slurry (A), centrifuge capacity (B), power requirement for centrifugation (C), and maximum yield of defatted meat–bone slurry (D) on rotor speed and centrifugation time (different letters above the lines indicate significant differences between measurements, p < 0.05).
Among the various conditions tested, the maximum yield of defatted meat–bone slurry was observed when the drum was rotated at 2000 rpm for 5 min, with a yield of 68.97%, while the lowest yield was observed when the drum was rotated at 1000 rpm for 15 min, with a yield of 55% (Figure 2A). Generally, as the drum speed increases from 1000 to 2000 rpm, the cracklings yield also increases. However, at 2500 rpm, the yield decreased compared to 2000 rpm, suggesting an upper limit beyond which the yield starts to decrease. The centrifugal force created by the rotation of the drum played a significant role in separating fat from cracklings. Higher drum speeds likely lead to better separation, but there seems to be an upper limit beyond which the yield starts to decrease, as seen at 2500 rpm. This information is valuable for optimizing the operation of the centrifuge in a meat and bone processing facility, allowing for the selection of appropriate conditions to maximize the yield of cracklings, which can have economic and efficiency implications.
The centrifuge capacity, representing the output of defatted meat–bone slurry, was the highest at 2000 rpm for 5 min (79.98 g/min) and the lowest at 15 min and 1000 rpm (30 g/min). This aligns with the trend observed in yield. The higher speed likely enhanced the separation efficiency, resulting in higher capacity. Longer durations generally decreased the capacity, reflecting the impact of prolonged centrifugation on process efficiency [22,23]. The power consumption for the centrifugation process increased with both the drum speed and duration. At 2500 rpm for 15 min, the highest power input was recorded at 26.49 kW, while the lowest was at 1000 rpm for 5 min with 10.33 kW. The correlation between power consumption and drum speed is expected, as higher speeds require more energy. The increase in power consumption with longer durations may be attributed to sustained operation and maintenance of the centrifuge over time [24].
The optimal conditions for both yield and capacity were observed at 2000 rpm for 5 min, indicating an efficient balance between speed and duration. Longer durations (15 min) generally resulted in lower yields and capacities, suggesting that extended centrifugation may not be cost-effective.
3.2. Physical Modeling of the Process of Centrifugation of Meat–Bone Cracklings
Criteria equations, as a type of physical modeling, were obtained on the basis of the theory of similarity. The complete similarity includes geometric, kinematic, and dynamic types of similarity of natural object and physical model. We applied the method of dimensionality analysis, π-theorem, as well as the method of simplification on differential equations of centrifugal filtration [25,26].
3.2.1. Derivation of the 1st Criterion Equation
The main task of optimization was to obtain the maximum productivity in terms of meat–bone cracklings yield (G) at the optimal speed (n) of the centrifuge rotor. The method of dimensionality analysis was applied [27]. Consider the desired productivity G as a function of a number of arguments—physical parameters.
where
G = f (μ, ρ, n, D)
- G—specific mass productivity of the centrifuge for meat–bone cracklings, kg/s m2.
- μ—dynamic viscosity coefficient of liquid fat raw material, Pa·s.
- ρ—density of fat, kg/m3.
- n—centrifuge drum speed, s−1.
- D—inner diameter of the centrifuge drum, m.
According to the second similarity theorem [28], the functional dependence of physical processes always has the form of an exponential equation. Here:
G = B·μx·ρy·nz·Dq
- B—numerical coefficient;
- x, y, z, q—degree indices.
We have five variables. Therefore, according to the π-theorem, the number of criteria will be determined:
Θ = 5 − 3 = 2.
Make a dimensional base of the quantities in Equation (4):
- [G] = kg/s·m2 = kg·s−1·m2
- [μ] = Pa·s = N·s/m2 = kg·m·s/s2·m2 = kg/s−1 m−1
- [ρ] = kg/m3 = kg·m−3
- [n] = s−1
- [D] = m
Substitute the dimensions of the quantities into Equation (4):
kg·s−1·m2 = B·(kg/s−1·m−1)x (kg·m−3)y·(s−1)z·(m)q
Convert (5):
- kg: 1 = x + y
- s: −1 = −x − z
- m: −2 = −x − 3y + q
Express all unknown indices through “x”.
- y = 1 − x
- z = 1 − x
- −2 = −x − 3y + q
- q = x + 3y − 2 = x + 3·(1 − x) − 2 = x + 3 − 3x − 2 = 1 − 2x.
Substitute the indices into Equation (4). We obtain:
We obtain Equation (6):
Check the dimensionality of the individual complexes included in Equation (6).
Consequently, the inverse of the modified Reynolds criterion for centrifugation Recf is obtained:
Recf characterizes the flow regime of the liquid fluid at centrifugation along with the Froude criterion Fr = n2·D/1800.
The left-hand side of Equation (6) is divided by the complex ρ·n·D:
The obtained fractional expression (8) is a dimensionless complex—the criterion of productivity P (in this case by squash). Here, the value ρ·n·D, the inverse of the specific productivity, shows the resistance Rp to the value of productivity, which is proportional to the density of the medium (ρ), the drum speed (n), and the determining geometric dimension—the inner diameter of the drum (D) (Table 1).
Table 1.
Basic data for obtaining the parameters of the criterion Equation (11).
Thus, the criterion equation of mass specific productivity is obtained:
k = −x—degree index, depending on the mode and determined experimentally.
B—numerical coefficient depending on centrifugation intensity is also determined from experiments.
Or in another form:
According to experimental data for the optimum frequency n = 2000 rpm we have a drum diameter D = 180 mm.
Average calculated area of deposition F = 0.0635 m2.
Using the MathCAD program, we obtain: x = −1.155 and B = 1.73.
Here,
Validation:
- At 1000 rpm: G = 1.73 × 2995 × (38,507)−1.155 = 5181.35 × (1/38,507)1.155 = 5181.35 × 5.055 × 10−6 = 0.02619 kg/s·m2
- At 1500 rpm: G = 1.73 × 4432.8 × (56,989)−1.155 = 7668.25 × (1/56,989)1.155 = 5181.35 × 5.055 × 10−6 = 0.02681 kg/s·m2
- At 2000 rpm: G = 1.73 × 5910 × (75,986)−1.155 = 10224.3 × (1/75,986)1.155 = 10224.3 × 1.316 × 10−5 = 0.135 kg/s·m2
3.2.2. Deriving the 2nd Criterion Equation
The centrifugal pressure generated in the centrifuge was used to form the sludge and move the cleared liquid (fugate) through the openings in the drum body [29,30]. Excess elementary pressure of centrifugal force dp:
where
- dP—elementary centrifugal force, N;
- F—area of the inner side surface of the centrifuge drum, m2;
- M—mass of slurry in the drum, kg;
- ω—angular rotation speed, s−1;
- dr—elementary radius of the drum, m;
- D—inner diameter of drum, m;
- H—height of slurry level in the drum, m.
This excess elemental pressure was applied to the filtering process:
where
- du—elementary speed of filtered suspension, m3;
- R—total resistance of sludge and perforation holes, kg/s·m2; (the numerical value is selected from reference tables or calculated).
By equating Equation (13) to (14), we obtain the centrifugal filtration Equation (15):
The differentiation symbols are crossed out and converted for the steady-state equilibrium process of centrifugal filtration:
We obtained a dimensionless complex, Kcf, which characterizes the balance of the ratio of centrifugal force to filtration resistance force during the flow of suspension through capillaries at the steady-state centrifugation process.
- P = M·ω2·R—centrifugal force, N.
- RΣ—is the total force of resistance to centrifugal filtration, N.
- RΣ = πDH·u·R
- Kcf—criterion for balanced centrifugal filtration.
It is often necessary to calculate the average centrifugal filtration velocity (u), which is determined from Equation (16):
or in a criterion form:
3.2.3. Deriving the 3rd Criterion Equation
Let us use the basic equation of centrifugal filtration (21):
where
- dp—total centrifugal pressure, Pa;
- dp1—centrifugal pressure providing separation of fat from solid residue, Pa;
- dp2—centrifugal pressure ensuring sludge formation and capillary formation in it, Pa;
- dp3—centrifugal pressure ensuring sludge thickening and passage of cleared liquid (fugate) through the sludge layer, Pa.
Let us write Equation (21) in expanded form:
Cross out the differentiation symbols and obtain:
or in general form:
The left part is divided by the right part, resulting in
p1/p—specific fraction of centrifugal separation pressure.
p2/p—specific fraction of centrifugal forming pressure.
p3/p—specific fraction of centrifugal pressure of layer and sludge compaction and passage of cleared liquid through capillaries.
K1, K2, K3—criteria for the relative spending of centrifugal pressure.
The expressions of the criteria are as follows.
Sum of relative pressures criteria (sum of fractions):
Equations (6) and (7) are determined for the physical interpretation of the centrifugal filtration process, as well as for the calculation of comparative energy costs of the constituent processes in centrifugal filtration. Such a calculation may be necessary to evaluate the technical and economic costs of the process and the comparative efficiency.
Thus, the complete physical model including centrifugal separation with simultaneous centrifugal filtration is represented as a system of differential, algebraic, and criterion equations. The systems of Equations (28)–(35).
4. Conclusions
The proposed centrifuge allows for completion of the process of separation of fat from meat and bone residue, achieving quality meat–bone cracklings and animal fat. On the basis of the conducted studies, the optimal formulas for modeling the centrifugation process are proposed, which make it possible to determine the maximum productivity and speed of centrifugal filtration. In addition, the obtained formulae allow for the prediction of centrifugation conditions, optimal centrifugation time, and energy costs, to give recommendations on the intensification of the centrifugation process. The study provides valuable insights for optimizing the centrifugation process, allowing for informed decisions on operating conditions based on the desired outcomes and resource constraints. Future research could focus on fine-tuning the process parameters to achieve a more energy-efficient operation without compromising yield and capacity.
Author Contributions
Conceptualization, A.B. (Anara Bakiyeva) and A.S.; Data curation, Y.M. and M.J.; Formal analysis, N.I. and M.K.; Investigation, M.S. and N.I.; Methodology, G.Z. and M.S.; Resources, G.Z. and A.B. (Assemgul Baikadamova); Software, A.B. (Assemgul Baikadamova); Writing—original draft, M.S. and A.K.; Writing—review and editing, M.S., A.K. and M.R. All authors have read and agreed to the published version of the manuscript.
Funding
This research received no external funding.
Institutional Review Board Statement
Not applicable.
Informed Consent Statement
Not applicable.
Data Availability Statement
All data generated or analyzed during this study are included in this published article.
Conflicts of Interest
The authors declare no conflict of interest.
References
- Jayathilakan, K.; Sultana, K.; Radhakrishna, K.; Bawa, A.S. Utilization of byproducts and waste materials from meat, poultry and fish processing industries: A review. J. Food Sci. Technol. 2012, 49, 278–293. [Google Scholar] [CrossRef] [PubMed]
- Toldrá, F.; Mora, L.; Reig, M. New insights into meat by-product utilization. Meat Sci. 2016, 120, 54–59. [Google Scholar] [CrossRef]
- Yessimbekov, Z.; Kakimov, A.; Caporaso, N.; Suychinov, A.; Kabdylzhar, B.; Shariati, M.A.; Baikadamova, A.; Domínguez, R.; Lorenzo, J.M. Use of Meat-Bone Paste to Develop Calcium-Enriched Liver Pâté. Foods 2021, 10, 2042. [Google Scholar] [CrossRef]
- Wang, C.; Zhao, S.; Wang, X.; Le, W.; Hu, G.; Liu, T.; Zhao, C.; Jin, Y.; Su, L. Preparation and Impact of Fermented Sheep Bone Powder on Sausage Quality. Fermentation 2023, 9, 842. [Google Scholar] [CrossRef]
- Piazza, G.; Garcia, R. Proteolysis of meat and bone meal to increase utilisation. Anim. Prod. Sci. 2014, 54, 200–206. [Google Scholar] [CrossRef]
- Kasenov, A.L.; Kakimov, M.M.; Tokhtarov, J.H.; Muratzhankyzy, N. Study of moisture content in fat separation from meat-bone residue under the influence of centrifugal force. In Modern Innovations in Science and Technology 2014; Universitetskaya Kniga: Kursk, Russia, 2014; pp. 233–235. [Google Scholar]
- Faivishevsky, M.L. Raw fat and its processing. Meat Ind. 2014, 8, 45–48. [Google Scholar]
- Gooding, C.; Meeker, D. Review: Comparison of 3 alternatives for large-scale processing of animal carcasses and meat by-products. Prof. Anim. Sci. 2016, 32, 259–270. [Google Scholar] [CrossRef]
- Ragasri, S.; Sabumon, P.C. A critical review on slaughterhouse waste management and framing sustainable practices in managing slaughterhouse waste in India. J. Environ. Manag. 2023, 327, 116823. [Google Scholar] [CrossRef]
- Neburchilova, N.F.; Volynskaya, I.P.; Petrunina, I.V.; Chernova, A.S. Problems of waste-free production in the meat industry. Meat Ind. 2014, 3, 7–11. [Google Scholar]
- Condé-Green, A.; Baptista, L.; Amorin, N.; Oliveira, E.; Silva, K.; Pedrosa, C.; Borojevic, R.; Pitanguy, I. Effects of centrifugation on cell composition and viability of aspirated adipose tissue processed for transplantation. Aesthetic Surg. J. 2010, 30, 249–255. [Google Scholar] [CrossRef]
- Tsoi, Y.A.; Turgenbaev, M.S.; Kozhevnikov, Y.A. Energy-saving technology of fat extraction from sheep wool. Tech. Support Agric. 2019, 1, 139–144. [Google Scholar]
- Schneider, S. Innovating the pusher centrifuge for bulk chemical separation. Filtr. Sep. 2003, 40, 38–39. [Google Scholar] [CrossRef]
- Ranade, V.V.; Bhandari, V.M. Industrial Wastewater Treatment, Recycling and Reuse; Butterworth-Heinemann: Oxford, UK, 2014. [Google Scholar]
- Zeitsch, K. Centrifugal filtration. In Solid–Liquid Separation; Butterworth-Heinemann: Oxford, UK, 1990; pp. 476–532. [Google Scholar]
- Shinomiya, K.; Muto, M.; Kabasawa, Y.; Fales, H.; Ito, Y. Protein Separation by Improved Cross-Axis Coil Planet Centrifuge with Eccentric Coil Assemblies. J. Liq. Chromatogr. Relat. Technol. 1996, 19, 415–425. [Google Scholar] [CrossRef]
- Taulbee, D.N.; Furst, A. Centrifugation|Preparative. In Encyclopedia of Analytical Science, 2nd ed.; Elsevier: Amsterdam, The Netherlands, 2005; pp. 469–481. [Google Scholar]
- Dueik, V.; Sobukola, O.; Bouchon, P. Development of low-fat gluten and starch fried matrices with high fiber content. LWT Food Sci. Technol. 2014, 59, 6–11. [Google Scholar] [CrossRef]
- Najjar, Y.S.; Abu-Shamleh, A. Harvesting of microalgae by centrifugation for biodiesel production: A review. Algal Res. 2020, 51, 102046. [Google Scholar] [CrossRef]
- Kasenov, A.L. To the question of research of processes of grinding and pressing of meat-bone squash. Tech. Technol. Food Prod. 2009, 2, 13–15. [Google Scholar]
- Abdilova, G.; Sergibayeva, Z.; Orynbekov, D.; Shamenov, M.; Zhumadilova, G.; Bakiyeva, A.; Mukashev, N.; Bayadilova, A.; Dukenbayev, D. Influence of Grinding Degree and Screw Rotation Speed on Sunflower Oil Pressing Process. Appl. Sci. 2023, 13, 9958. [Google Scholar] [CrossRef]
- Pang, C.; Tan, W.; Sha, E.; Tao, Y.; Liu, L. Simulating multiphase flow in a two-stage pusher centrifuge using computational fluid dynamics. Front. Chem. Sci. Eng. 2012, 6, 329–338. [Google Scholar] [CrossRef]
- Prokop, W.H. Rendering systems for processing animal by-product materials. J. Am. Oil Chem. Soc. 1985, 62, 805–811. [Google Scholar] [CrossRef]
- Anlauf, H. Recent developments in centrifuge technology. Sep. Purif. Technol. 2007, 58, 242–246. [Google Scholar] [CrossRef]
- Vivdenko, Y.N. Solution of experimental problems with the use of physical modeling. In National Priorities of Russia. Series 1: Science and Military Security; NVB: Omsk, Russia, 2015; pp. 43–47. [Google Scholar]
- Barford, J. A mathematical model for cell separation technique of centrifugal elutriation. Biotechnol. Bioeng. 1986, 28, 570–577. [Google Scholar] [CrossRef] [PubMed]
- Misic, T.; Najdanovic-Lukic, M.; Nešić, L. Dimensional analysis in physics and the Buckingham theorem. Eur. J. Phys. 2010, 31, 893–906. [Google Scholar] [CrossRef]
- Nemtin, V.G.; Aminov, L.A.; Kolbasiuk, K.Y.; Kishchenko, M.A. Similarity theorems, their description and application. In Innovative Technologies in Science and Education 2019; Nauka i Prosveshenie: Penza, Russia, 2019; pp. 27–30. [Google Scholar]
- Schaflinger, U. Centrifugal separation of a mixture. Fluid Dyn. Res. 1990, 6, 213–249. [Google Scholar] [CrossRef]
- Detloff, T.; Lerche, D. Centrifugal separation in tube and disc geometries: Experiments and theoretical models. Acta Mech. 2008, 201, 83–94. [Google Scholar] [CrossRef]
Disclaimer/Publisher’s Note: The statements, opinions and data contained in all publications are solely those of the individual author(s) and contributor(s) and not of MDPI and/or the editor(s). MDPI and/or the editor(s) disclaim responsibility for any injury to people or property resulting from any ideas, methods, instructions or products referred to in the content. |
© 2023 by the authors. Licensee MDPI, Basel, Switzerland. This article is an open access article distributed under the terms and conditions of the Creative Commons Attribution (CC BY) license (https://creativecommons.org/licenses/by/4.0/).

