Ultra-Low-Frequency Acoustic Black Hole Radial Elastic Metamaterials
Abstract
:1. Introduction
2. Models and Methods
2.1. Models of Acoustic Black Hole Radial Elastic Metamaterials
2.2. Principles of Acoustic Black Hole
3. Analysis of Results and Mechanisms
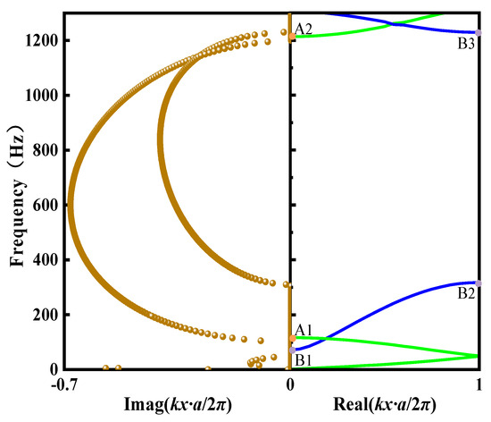
3.1. Very Low-Frequency Wideband Characteristic Dispersion Relation Curve
3.2. Analysis of Very Low-Frequency Wideband Mechanisms
4. Parameter Analysis
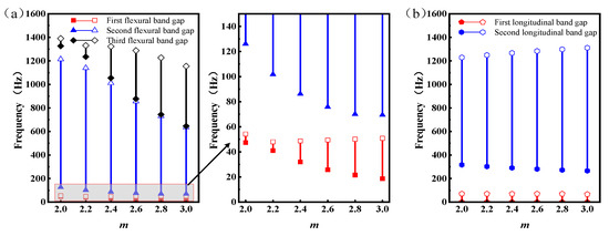
4.1. Effect of Truncation Thickness on AREM Bandgap Characteristics
4.2. Effect of Power Exponent on Bandgap Characteristics
5. Transmission Spectrum and Radial Displacement Field Study Analysis
5.1. Analysis of Transmission Spectrum Results
5.2. Radial Vibration Displacement Field Analysis of the Flexural Wave
6. Conclusions
Author Contributions
Funding
Institutional Review Board Statement
Informed Consent Statement
Data Availability Statement
Conflicts of Interest
References
- Mironov, M.A. Propagation of a flexural wave in a plate whose thickness decreases smoothly to zero in a finite interval. Sov. Phys. Acoust. 1988, 34, 318–319. [Google Scholar]
- Krylov, V.V. Conditions for validity of the geometrical-acoustics approximation in application to waves in an acute-angle solid wedge. Sov. Phys. Acoust. 1989, 35, 176–180. [Google Scholar] [CrossRef]
- Pelat, A.; Gautier, F.; Conlon, S.C.; Semperlotti, F. The acoustic black hole: A review of theory and applications. J. Sound. Vib. 2020, 476, 115316. [Google Scholar] [CrossRef]
- Krylov, V.V. New type of vibration dampers utilising the effect of acoustic ‘black holes’. Acta Acust. United Acust. 2004, 90, 830–837. [Google Scholar]
- Krylov, V.V.; Tilman, F. Acoustic ‘black holes’ for flexural waves as effective vibration dampers. J. Sound. Vib. 2004, 274, 605–619. [Google Scholar] [CrossRef]
- Tang, L.; Cheng, L. Broadband locally resonant band gaps in periodic beam structures with embedded acoustic black holes. J. Appl. Phys. 2017, 121, 605. [Google Scholar] [CrossRef]
- Tang, L.; Cheng, L. Ultrawide band gaps in beams with double-leaf acoustic black hole indentations. J. Acoust. Soc. Am. 2017, 142, 2802–2807. [Google Scholar] [CrossRef]
- Tang, L.; Cheng, L. Periodic plates with tunneled Acoustic-Black-Holes for directional band gap generation. Mech. Syst. Signal Process. 2019, 133, 106257. [Google Scholar] [CrossRef]
- Gao, N.; Wang, B.; Lu, K.; Hou, H. Complex band structure and evanescent Bloch wave propagation of periodic nested acoustic black hole phononic structure. Appl. Acoust. 2021, 177, 107906. [Google Scholar] [CrossRef]
- Gao, N.; Wei, Z.; Hou, H.; Krushynska, A.O. Design and experimental investigation of V-folded beams with acoustic black hole indentations. J. Acoust. Soc. Am. 2019, 145, EL79–EL83. [Google Scholar] [CrossRef]
- Gao, N.; Wei, Z.; Zhang, R.; Hou, H. Low-frequency elastic wave attenuation in a composite acoustic black hole beam. Appl. Acoust. 2019, 154, 68–76. [Google Scholar] [CrossRef]
- Gao, N.S.; Guo, X.Y.; Cheng, B.Z.; Zhang, Y.N.; Wei, Z.Y.; Hou, H. Elastic wave modulation in hollow metamaterial beam with acoustic black hole. IEEE Access 2019, 7, 124141–124146. [Google Scholar] [CrossRef]
- Zhu, H.; Semperlotti, F. Phononic Thin Plates with Embedded Acoustic Black Holes. Phys. Review. B Condens. Matter 2015, 91, 104304.1–104304.9. [Google Scholar] [CrossRef]
- Conlon, S.C.; Fahnline, J.B.; Semperlotti, F. Numerical analysis of the vibroacoustic properties of plates with embedded grids of acoustic black holes. J. Acoust. Soc. Am. 2015, 137, 447. [Google Scholar] [CrossRef] [PubMed]
- Torrent, D.; Sánchez-Dehesa, J. Radial wave crystals: Radially periodic structures from anisotropic metamaterials for engineering acoustic or electromagnetic waves. Phys. Rev. Lett. 2009, 103, 064301. [Google Scholar] [CrossRef] [PubMed]
- Torrent, D.; Sánchez-Dehesa, J. Acoustic resonances in two-dimensional radial sonic crystal shells. New J. Phys. 2010, 12, 073034. [Google Scholar] [CrossRef]
- Spiousas, I.; Torrent, D.; Sánchez-Dehesa, J. Experimental realization of broadband tunable resonators based on anisotropic metafluids. Appl. Phys. Lett. 2011, 98, 452. [Google Scholar] [CrossRef]
- An, S.; Shu, H.; Liang, S.; Shi, X.; Zhao, L. Band gap characteristics of radial wave in a two-dimensional cylindrical shell with radial and circumferential periodicities. Aip Adv. 2018, 8, 035110. [Google Scholar] [CrossRef]
- Ma, T.; Chen, T.; Wang, X.; Li, Y.; Wang, P. Band structures of bilayer radial phononic crystal plate with crystal gliding. J. Appl. Phys. 2014, 116, 104505. [Google Scholar] [CrossRef]
- Liu, H.; He, W.; Li, L.; Jia, Q. Theoretical and experimental investigations on the ultra-low-frequency broadband of quasi-static metamaterials. Appl. Sci. 2022, 12, 8981. [Google Scholar] [CrossRef]
- Still, T.; Oudich, M.; Auerhammer, G.K.; Vlassopoulos, D.; Djafari-Rouhani, B.; Fytas, G.; Sheng, P. Soft silicone rubber in phononic structures: Correct elastic moduli. Phys. Rev. B 2013, 88, 094102. [Google Scholar] [CrossRef]
- Ho, K.M.; Cheng, C.K.; Yang, Z.; Zhang, X.X.; Sheng, P. Broadband locally resonant sonic shields. Appl. Phys. Lett. 2003, 83, 5566–5568. [Google Scholar] [CrossRef]
- Feng, L.; Liu, X.-P.; Lu, M.-H.; Chen, Y.-F.; Mao, Y.-W.; Zi, J.; Zhu, Y.-Y.; Zhu, S.-N.; Ming, N.-B. Acoustic Backward-Wave Negative Refractions in the Second Band of a Sonic Crystal. Phys. Rev. Lett. 2006, 96, 014301. [Google Scholar] [CrossRef] [PubMed]
- Foucaud, S.; Michon, G.; Gourinat, Y.; Pelat, A.; Gautier, F. Artificial cochlea and acoustic black hole travelling waves observation: Model and experimental results. J. Sound. Vib. 2014, 333, 3428–3439. [Google Scholar] [CrossRef]
- Miranda, E.J.P.; Santos, J. Evanescent Bloch waves and complex band structure in magnetoelectroelastic phononic crystals. Mech. Syst. Signal Process. 2018, 112, 280–304. [Google Scholar] [CrossRef]
- Veres, I.A.; Berer, T.; Matsuda, O. Complex band structures of two dimensional phononic crystals: Analysis by the finite element method. J. Appl. Phys. 2013, 114, 083519. [Google Scholar] [CrossRef]
- Achaoui, Y.; Khelif, A.; Benchabane, S.; Robert, L.; Laude, V. Experimental observation of locally-resonant and Bragg band gaps for surface guided waves in a phononic crystal of pillars. Phys. Rev. B Condens. Matter 2011, 83, 5121–5124. [Google Scholar] [CrossRef]
- Ghaffarivardavagh, R.; Nikolajczyk, J.; Anderson, S.; Zhang, X. Ultra-open acoustic metamaterial silencer based on Fano-like interference. Phys. Rev. B 2019, 99, 024302.1–024302.10. [Google Scholar] [CrossRef]
- Feurtado, P.A.; Conlon, S.C.; Semperlotti, F. A normalized wave number variation parameter for acoustic black hole design. J. Acoust. Soc. Am. 2014, 136, EL148–EL152. [Google Scholar] [CrossRef]














| Reference | Lattice Constant (mm) | Materials | Bandgap Range (Hz) | Percentage of Bandgap Below 5000 HZ | Minimum Transmission (dB) |
|---|---|---|---|---|---|
| [11] | 120 | steel | 366–922 | 69.1% | −40 |
| 1497–4135 | |||||
| 4291–4551 | |||||
| 6326–7012 | |||||
| 9239–10,000 | |||||
| [10] | 230 | 249–967 | 64.2% | −50 | |
| 1751–3220 | |||||
| 3304–3761 | |||||
| 3992–4558 | |||||
| [9] | 220 | 176–218 | 73.7% | −70 | |
| 304–937 | |||||
| 1171–2658 | |||||
| 2770–3866 | |||||
| 3886–4314 | |||||
| This work | 230 | 452–543 | 79.5% | −140 | |
| 1116–12,576 |
Disclaimer/Publisher’s Note: The statements, opinions and data contained in all publications are solely those of the individual author(s) and contributor(s) and not of MDPI and/or the editor(s). MDPI and/or the editor(s) disclaim responsibility for any injury to people or property resulting from any ideas, methods, instructions or products referred to in the content. |
© 2023 by the authors. Licensee MDPI, Basel, Switzerland. This article is an open access article distributed under the terms and conditions of the Creative Commons Attribution (CC BY) license (https://creativecommons.org/licenses/by/4.0/).
Share and Cite
Li, L.; Hu, H.; Wu, X. Ultra-Low-Frequency Acoustic Black Hole Radial Elastic Metamaterials. Appl. Sci. 2023, 13, 11542. https://doi.org/10.3390/app132011542
Li L, Hu H, Wu X. Ultra-Low-Frequency Acoustic Black Hole Radial Elastic Metamaterials. Applied Sciences. 2023; 13(20):11542. https://doi.org/10.3390/app132011542
Chicago/Turabian StyleLi, Lixia, Haiteng Hu, and Xiaolan Wu. 2023. "Ultra-Low-Frequency Acoustic Black Hole Radial Elastic Metamaterials" Applied Sciences 13, no. 20: 11542. https://doi.org/10.3390/app132011542
APA StyleLi, L., Hu, H., & Wu, X. (2023). Ultra-Low-Frequency Acoustic Black Hole Radial Elastic Metamaterials. Applied Sciences, 13(20), 11542. https://doi.org/10.3390/app132011542

