A New Traffic System on Driver Sensitivity and Safe Distance Headway
Abstract
:1. Introduction
- The Payne Whitham system is improved. Unlike the constant A in the PW system, the changes in traffic transitions are based on the driver sensitivity, safe headway, and transition headway. This is significant, as the traffic evolution at transitions is influenced by these physical parameters. This evolution is rapid for larger driver sensitivity. Conversely, the evolution is slow for a larger distance headway and smaller sensitivity. Thus, the spatio-temporal traffic evolution with the proposed system comprehends driver sensitivity, transition distance, and safe distance headway. These parameters are based on the traffic physics.
- The driver sensitivity is obtained from the data acquired over a 200 m road section. A regressive relation for velocity and traversed time is obtained, which helps in the driver sensitivity characterization. This is incorporated in the proposed system for accurate traffic evolution.
- It has been proved that the proposed traffic system is hyperbolic. Unlike the PW system, the changes during congestion and smooth flow, respectively, down and up, are comprehended by the changes in transition distance about the safe headway and driver sensitivity.
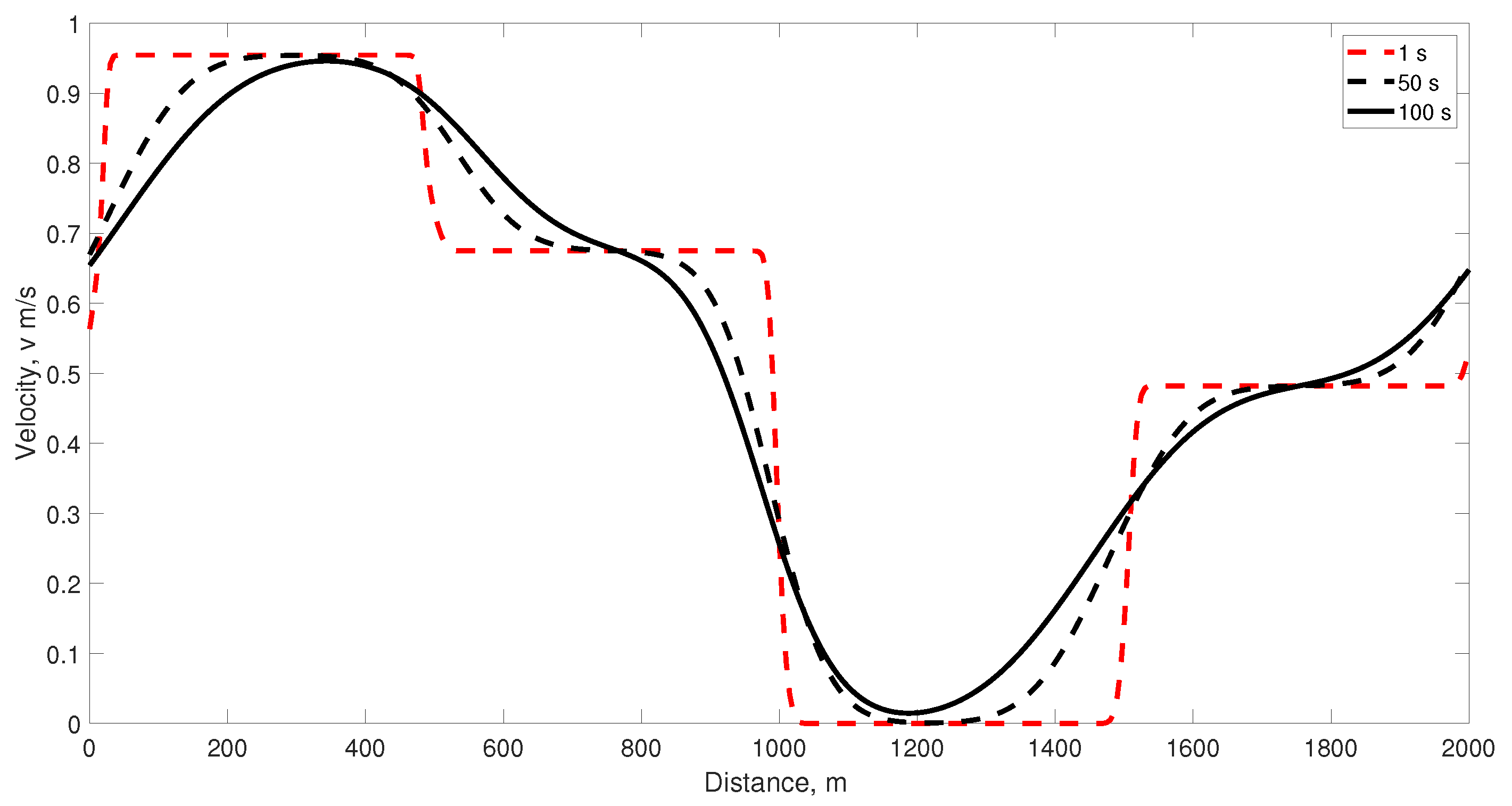
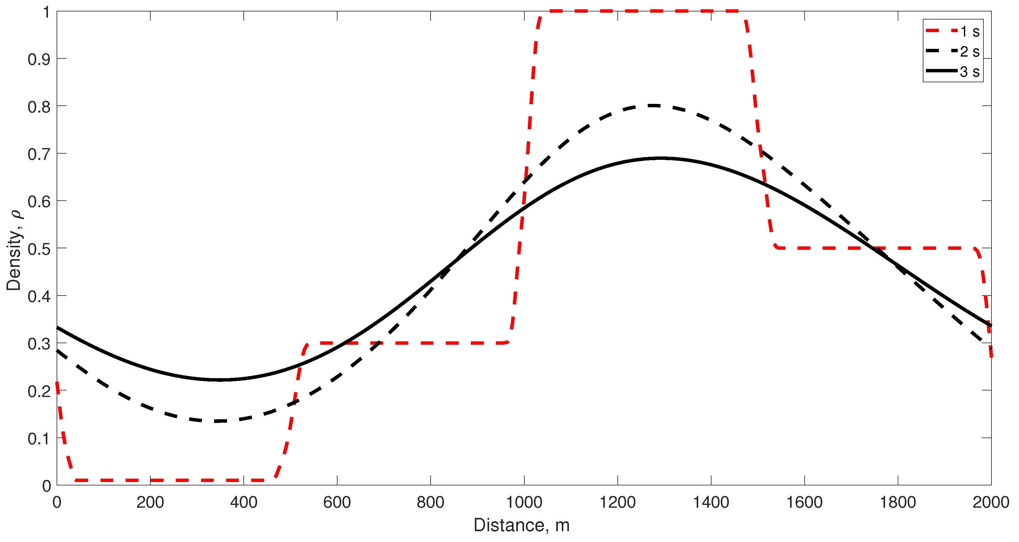
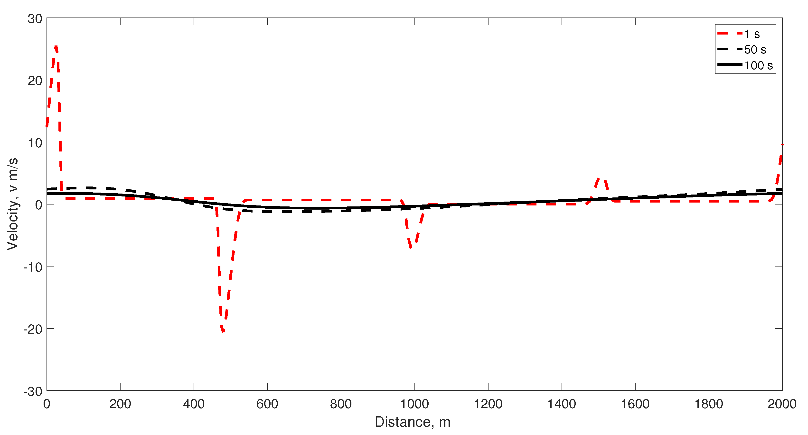
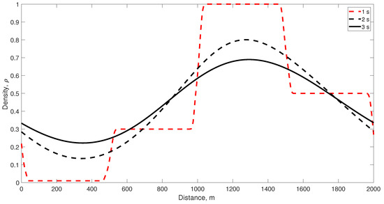
- The proposed system is assessed with the PW traffic system over a 2000 m circular road. The transition in density is considered at multiple locations with large changes in density over a circular road. At a location, density is 1, that is, 100%; 1 denotes that a road is at full capacity. This is the worst traffic scenario, and a system with a minor deviation from traffic physics can provide the density above the maximum and velocity below 0. This evolution is inappropriate traffic characterization, and the system cannot characterize the realistic practical traffic conditions during congestion. The performance results in this paper demonstrate that proposed traffic system can appropriately characterize traffic evolution as it considers the traffic physics and practical parameters. The traffic velocity with the proposed system does not go below 0 or above the maximum. The traffic density stays within the employed range.
2. The Equilibrium Velocity Based on Traversed Time
3. Traffic Flow Modeling
4. Model Hyperbolicity
Numerical Stability
5. Performance Evaluation
5.1. Example 1
5.2. Example 2
6. Discussion of Results
7. Conclusions
Author Contributions
Funding
Acknowledgments
Conflicts of Interest
References
- Jiang, R.; Wu, Q.; Zhu, Z. A new continuum model for traffic flow and numerical tests. Transp. Res. Part Methodol. 2002, 36, 405–419. [Google Scholar] [CrossRef]
- Kraft, B. Car Accidents Caused by Aggressive Driving. Kraft & Associates, 27-February-2023. Available online: https://www.kraftlaw.com/car-accidents/causes-car-accidents/car-accidents-caused-aggressive-driving/ (accessed on 25 April 2023).
- Ai, W.H.; Wang, M.M.; Liu, D.W. Analysis of macroscopic traffic flow model considering throttle dynamics. Eur. Phys. J. 2023, 96. [Google Scholar] [CrossRef]
- Khazini, L.; Kalajahi, M.J.; Blond, N. An analysis of emission reduction strategy for light and heavy-duty vehicles pollutions in high spatial–temporal resolution and emission. Environ. Sci. Pollut. Res. Int. 2022, 29, 23419–23435. [Google Scholar] [CrossRef] [PubMed]
- Xu, C.; Liu, P.; Wang, W.; Li, Z. Identification of freeway crash-prone traffic conditions for traffic flow at different levels of service. Transp. Res. Part Policy Pract. 2014, 69, 58–70. [Google Scholar] [CrossRef]
- Zhang, H.; Mine, T.; Ono, S.; Kawasaki, H. Analysis of the conditions for the occurrence of sudden braking using drive recorder videos: Using the distance between vehicles estimated by deep learning. Seisan Kenkyu 2022, 74, 129–134. [Google Scholar]
- Shahariar, G.M.H.; Bodisco, T.A.; Zare, A.; Sajjad, M.; Jahirul, M.I.; Van, T.C.; Bartlett, H.; Ristovski, Z.; Brown, R.J. Impact of driving style and traffic condition on emissions and fuel consumption during real-world transient operation. Fuel 2022, 319, 123874. [Google Scholar] [CrossRef]
- Knipling, R.R.; Mironer, M.; Hendricks, D.L.; Tijeripa, L.; Everson, J.; Allen, J.C.; Wilson, C.; Volpe, J.A. Assessment of IVHS Countermeasures for Collision Avoidance: Rear-End Crashes; DOT HS 807 995 Final Report; US Department of Transportation, National Highway Traffic Safety Administration: Washington, DC, USA, 1993. [Google Scholar]
- Taieb-Maimon, M.; Shinar, D. Minimum and comfortable driving headways: Reality versus perception. Hum. Factors J. Hum. Factors Ergon. Soc. 2001, 43, 159–172. [Google Scholar] [CrossRef]
- Borowsky, A.; Oron-Gilad, T.; Meir, A.; Parmet, Y. Drivers’ perception of vulnerable road users: A hazard perception approach. Accid. Anal. Prev. 2012, 44, 160–166. [Google Scholar] [CrossRef]
- Asadamraji, M.; Saffarzadeh, M.; Ross, V.; Borujerdian, A.; Ferdosi, T.; Sheikholeslami, S. A novel driver hazard perception sensitivity model based on drivers’ characteristics: A simulator study. Traffic Inj. Prev. 2019, 20, 492–497. [Google Scholar] [CrossRef]
- Meir, A.; Borowsky, A.; Oron-Gilad, T. Formation and evaluation of act and anticipate hazard perception training (AAHPT) intervention for young novice drivers. Traffic Inj. Prev. 2014, 15, 172–180. [Google Scholar] [CrossRef] [PubMed]
- Constantinou, E.; Panayiotou, G.; Konstantinou, N.; Loutsiou-Ladd, A.; Kapardis, A. Risky and aggressive driving in young adults: Personality matters. Accid. Anal. Prev. 2011, 43, 1323–1331. [Google Scholar]
- Zhu, Y.; He, Z.; Sun, W. Network-wide link travel time inference using trip-based data from automatic vehicle identification detectors. IEEE Trans. Intell. Transp. Syst. 2020, 21, 2485–2495. [Google Scholar] [CrossRef]
- Tang, K.; Chen, S.; Liu, Z. Citywide spatial-temporal travel time estimation using big and sparse trajectories. IE Trans. Intell. Transp. Syst. 2018, 19, 4023–4034. [Google Scholar] [CrossRef]
- Treiber, M.; Hennecke, A.; Helbing, D. Congested traffic states in empirical observations and microscopic simulations. Phys. Rev. E 2000, 62, 1805–1824. [Google Scholar] [CrossRef]
- Khan, D.; Khan, Z.H.; Imran, W.; Khattak, K.S.; Gulliver, T.A. Macroscopic flow characterization at T-junctions. Transp. Res. Interdiscip. Perspect. 2022, 14, 100591. [Google Scholar] [CrossRef]
- Zhai, C.; Wu, W. A continuum model considering the uncertain velocity of preceding vehicles on Gradient Highways. Phys. A Stat. Mech. Its Appl. 2022, 588, 126561. [Google Scholar] [CrossRef]
- Heidemann, D. Some critical remarks on a class of traffic flow models. Transp. Res. Part Methodol. 1999, 33, 153–155. [Google Scholar] [CrossRef]
- Newell, G.F. Nonlinear effects in the dynamics of car following. Oper. Res. 1961, 9, 209–229. [Google Scholar] [CrossRef]
- Bando, M.; Hasebe, K.; Nakayama, A.; Shibata, A.; Sugiyama, Y. Dynamical model of traffic congestion and numerical simulation. Phys. Rev. E. 2000, 51, 1035–1042. [Google Scholar] [CrossRef]
- Ali, F.; Khan, Z.H.; Khattak, K.S.; Gulliver, T.A. A microscopic traffic flow model characterization for weather conditions. Appl. Sci. 2022, 12, 12981. [Google Scholar] [CrossRef]
- Helbing, D.; Tilch, B. Generalized force model of traffic dynamics. Phys. Rev. E 1998, 58, 133–138. [Google Scholar] [CrossRef]
- Gipps, P.G. A behavioural car-following model for computer simulation. Transp. Res. Part B 1981, 15, 105–111. [Google Scholar] [CrossRef]
- Rahman, M.; Islam, M.R.; Chowdhury, M.; Khan, T. Development of a connected and automated vehicle longitudinal control model. arXiv 2020, arXiv:2001.00135. [Google Scholar]
- Treiber, M.; Kesting, A. Traffic Flow Dynamics: Data, Models and Simulation; Springer: Berlin, Germany, 2013. [Google Scholar]
- Cao, Z.; Lu, L.; Chen, C.; Chen, X.U. Modeling and simulating urban traffic flow mixed with regular and connected vehicles. IEEE Access 2021, 9, 10392–10399. [Google Scholar] [CrossRef]
- Kesting, A.; Treiber, M.; Helbing, D. Enhanced intelligent driver model to access the impact of driving strategies on traffic capacity. Philos. Trans. R. Soc. A Math. Phys. Eng. Sci. 2010, 368, 4585–4605. [Google Scholar] [CrossRef] [PubMed]
- Treiber, M.; Kesting, A.; Helbing, D. Delays, inaccuracies and anticipation in microscopic traffic models. Phys. A Stat. Mech. Appl. 2006, 360, 71–88. [Google Scholar] [CrossRef]
- Li, Z.; Li, W.; Xu, S.; Qian, Y. Stability analysis of an extended intelligent driver model and its simulations under open boundary condition. Phys. A Stat. Mech. Appl. 2015, 419, 526–536. [Google Scholar] [CrossRef]
- Liebner, M.; Baumann, M.; Klanner, F.; Stiller, C. Driver intent inference at urban intersections using the intelligent driver mode. In Proceedings of the IEEE Intelligent Vehicle Symposium, Madrid, Spain, 3–7 June 2012. [Google Scholar]
- Nagel, K.; Wagner, P.; Woesler, R. Still flowing: Approaches to traffic flow and traffic jam modeling. Oper. Res. 2003, 51, 681–710. [Google Scholar] [CrossRef]
- Lighthill, M.; Whitham, G. On kinematic waves II. A theory of traffic flow on long crowded roads. Proc. R. Soc. Lond. Ser. Math. Phys. Sci. 1955, 229, 317–345. [Google Scholar]
- Richards, P. Shock waves on the highway. Oper. Res. 1956, 4, 42–51. [Google Scholar] [CrossRef]
- Wierbos, M.J.; Knoop, V.L.; Hänseler, F.S.; Hoogendoorn, S.P. A macroscopic flow model for mixed bicycle-car traffic. Transportmetrica 2021, 17, 340–355. [Google Scholar] [CrossRef]
- Daganzo, C.F. Requiem for second-order fluid approximations of traffic flow. Transp. Res. Part Methodol. 1955, 29, 277–286. [Google Scholar] [CrossRef]
- Maerivoet, S.; Moor, B.D. Transportation Planning and Traffic Flow Models; Katholieke Universiteit Leuven: Leuven, Belgium, 2008. [Google Scholar]
- Payne, H.J. Models of Freeway Traffic and Control. Math. Model. Public Syst. (Simul. Counc. Proc.) 1971, 1, 51–61. [Google Scholar]
- Whitham, G.B. Linear and Nonlinear Waves; Wiley: New York, NY, USA, 1971. [Google Scholar]
- Zhang, H. A theory of non-equilibrium traffic flow. Transp. Res. Part Methodol. 1998, 32, 485–498. [Google Scholar] [CrossRef]
- Grace, M.; Potts, R. A theory of the diffusion of traffic platoons. Oper. Res. 1964, 12, 255–275. [Google Scholar] [CrossRef]
- Graham, E.F.; Chenu, D.C. A study of unrestricted platoon movement of traffic. Traffic Eng. 1962, 32, 11–13. [Google Scholar]
- Castillo, J.D.; Pintado, P.; Benitez, F. The reaction time of drivers and the stability of traffic flow. Transp. Res. Part Methodol. 1994, 28, 35–60. [Google Scholar] [CrossRef]
- Aw, A.; Rascle, M. Resurrection of “second order” models of traffic flow. Siam J. Appl. Math. 2000, 60, 916–938. [Google Scholar] [CrossRef]
- Richardson, D.A. Refined Macroscopic Traffic Modelling via Systems of Conservation Laws. Masters’ Thesis, Department of Mathematics and Statistics, University of Victoria, Victoria, BC, Canada, 2012. [Google Scholar]
- Phillips, W. A kinetic model for traffic flow with continuum implications. Transp. Plan. Technol. 1979, 5, 131–138. [Google Scholar] [CrossRef]
- Papageorgiou, M. Some remarks on macroscopic traffic flow modelling. Transp. Res. A 1998, 32, 323–329. [Google Scholar] [CrossRef]
- Gore, N.; Chauhan, R.; Easa, S.; Arkatkar, S. Traffic conflict assessment using macroscopic traffic flow variables: A novel framework for real-time applications. Accid. Anal. Prev. 2023, 185, 107020. [Google Scholar] [CrossRef]
- Zhang, H. Driver memory, traffic viscosity and a viscous vehicular traffic flow model. Transp. Res. Part Methodol. 2003, 37, 27–41. [Google Scholar] [CrossRef]
- Zheng, L.; Jin, P.J.; Huang, H. An anisotropic continuum model considering bi-directional information impact Transp. Res. Part Methodol. 2015, 75, 36–57. [Google Scholar] [CrossRef]
- Ge, H.X.; Cheng, R.J. The “backward looking” effect in the lattice hydrodynamic model. Phys. A 2008, 387, 6952–6958. [Google Scholar] [CrossRef]
- Wang, Z.; Ge, H.; Cheng, R. Nonlinear analysis for a modified continuum model considering driver’s memory and backward looking effect. Phys. Stat. Mech. Appl. 2018, 508, 18–27. [Google Scholar] [CrossRef]
- Jafaripournimchahi, A.; Cai, Y.; Wang, H.; Sun, L.; Tang, Y.; Babadi, A.A. A viscous continuum traffic flow model based on the cooperative car-following behaviour of connected and autonomous vehicles. IET Intell. Transp. Syst. 2023, 17, 973–991. [Google Scholar] [CrossRef]
- Li, Y.; Chen, W.; Peeta, S.; He, X.; Zheng, T.; Feng, H. An extended microscopic traffic flow model based on the spring-mass system theory. Mod. Phys. Lett. B 2017, 31, 1750090. [Google Scholar] [CrossRef]
- Morgan, J.V. Numerical Methods for Macroscopic Traffic Models. Ph.D. Thesis, Department of Mathematics, University of Reading, Berkshire, UK, 2002. [Google Scholar]
- Toro, E.F.; Hidalgo, A.; Dumbser, M. Force schemes on unstructured meshes I: Conservative hyperbolic systems. J. Comput. Phys. 2009, 228, 3368–3389. [Google Scholar] [CrossRef]
- Kachroo, P.P.E.; Wadoo, S.A.; Al-nasur, S.J.; Shende, A. Numerical Methods. In Pedestrian Dynamics Feedback Control of Crowd Evacuation; Kachroo, P.P.E., Wadoo, S.A., Al-nasur, S.J., Shende, A., Eds.; Springer: New York, NY, USA, 2008; pp. 61–93. [Google Scholar]
- Khan, Z.; Gulliver, T.A. A macroscopic traffic model based on transition velocities. J. Comput. Sci. 2020, 43, 101131. [Google Scholar] [CrossRef]
- Moura, C.A.D.; Kubrusly, C.S. The Courant–Friedrichs–Lewy (CFL) Condition: 80 Years after Its Discovery; Springer: Berlin, Germany, 2013. [Google Scholar]
- Ni, D. Traffic Flow Theory; Elsevier: Amsterdam, The Netherlands, 2016; pp. 55–58. [Google Scholar]
- Weik, N. Macroscopic traffic flow in railway systems—A discussion of the applicability of fundamental diagrams. J. Rail Transp. Plan. Manag. 2002, 23, 100330. [Google Scholar] [CrossRef]
- Mararo, L.E. A macroscopic fundamental diagram for spatial analysis of traffic flow: A case study of Nyeri town, Kenya. Am. J. Civ. Eng. 2015, 3, 150–156. [Google Scholar] [CrossRef]
- Daganzo, C.F.; Geroliminis, N. An analytical approximation for the macroscopic fundamental diagram of urban traffic. Transp. Res. Part B Methodol. 2008, 42, 771–781. [Google Scholar] [CrossRef]
- Daganzo, C.F.; Li, Y.; Gonzales, E.J.; Geroliminis, N. City-Scale Transport Modeling: An Approach for Nairobi, Kenya; Institute of Transportation Studies, University of California Berkeley: Berkeley, CA, USA, 2007. [Google Scholar]
- Basak, K.; Hetu, S.N.; Azevedo, C.L.; Loganathan, H.; Toledo, T.; Runminxu; Yanxu; Li-ShiuanPeh, H.; Ben-Akiva, M. Modeling reaction time within a traffic simulation model. In Proceedings of the International IEEE Conference on Intelligent Transportation Systems, Hague, The Netherlands, 6–9 October 2013; pp. 302–309. [Google Scholar]
- Ngoduy, D.; Tampere, C. Macroscopic effects of reaction time on traffic flow characteristics. Phys. Scr. 2009, 80, 025802. [Google Scholar] [CrossRef]
- Yi, P.; Lu, J.; Zhang, Y.; Lu, H. Safety-based capacity analysis for Chinese highways. IATSS Res. 2004, 28, 47–55. [Google Scholar] [CrossRef]











| Description | Equation | Coefficient of Determination | Mean Squared Error (MSE) | Mean Absolute Error (MAE) |
|---|---|---|---|---|
| Logarithmic regression, traversed time | + | |||
| Exponential regression, traversed time | ||||
| Linear regression, traversed time |
| Parameter | Value |
|---|---|
| Time of simulation | 100 s |
| Length of the circular road | 2000 m |
| Maximum velocity | m/s |
| Minimum velocity | 0 m/s |
| Velocity constant | m/s |
| Equilibrium velocity | = Greenshields |
| Maximum normalized density | |
| Minimum normalized density | |
| Temporal step | s |
| Spatial road step | 5 m |
| Relaxation time | s |
| Safe distance headway | m |
| Transition distance | m |
| Traversed time | s |
| Driver sensitivity | s |
| Parameter | Value |
|---|---|
| Simulation time | 200 s |
| Length of the circular road | 2000 m |
| Maximum velocity | 25 m/s |
| Minimum velocity | 0 m/s |
| Equilibrium velocity | = Greenshields |
| Maximum normalized density | |
| Minimum normalized density | |
| Temporal step | s |
| Spatial road step | 14 m |
| Relaxation time | s |
| Safe distance headway | m |
| Transition distance | m |
| Traversed time | s |
| Driver sensitivity | s |
| Traversed time | s |
| Driver sensitivity | s |
Disclaimer/Publisher’s Note: The statements, opinions and data contained in all publications are solely those of the individual author(s) and contributor(s) and not of MDPI and/or the editor(s). MDPI and/or the editor(s) disclaim responsibility for any injury to people or property resulting from any ideas, methods, instructions or products referred to in the content. |
© 2023 by the authors. Licensee MDPI, Basel, Switzerland. This article is an open access article distributed under the terms and conditions of the Creative Commons Attribution (CC BY) license (https://creativecommons.org/licenses/by/4.0/).
Share and Cite
Khan, Z.H.; Altamimi, A.B. A New Traffic System on Driver Sensitivity and Safe Distance Headway. Appl. Sci. 2023, 13, 11262. https://doi.org/10.3390/app132011262
Khan ZH, Altamimi AB. A New Traffic System on Driver Sensitivity and Safe Distance Headway. Applied Sciences. 2023; 13(20):11262. https://doi.org/10.3390/app132011262
Chicago/Turabian StyleKhan, Zawar H., and Ahmed B. Altamimi. 2023. "A New Traffic System on Driver Sensitivity and Safe Distance Headway" Applied Sciences 13, no. 20: 11262. https://doi.org/10.3390/app132011262
APA StyleKhan, Z. H., & Altamimi, A. B. (2023). A New Traffic System on Driver Sensitivity and Safe Distance Headway. Applied Sciences, 13(20), 11262. https://doi.org/10.3390/app132011262

