Heat Transfer Enhancement by Mitigating the Adverse Effects of Crossflow in a Multi-Jet Impingement Cooling System in Hexagonal Configuration by Coaxial Cylindrical Protrusion—Guide Vane Pairs
Abstract
:Featured Application
Abstract
1. Introduction
2. Geometry and CFD-Thermal Modeling
2.1. Governing Equations
2.2. Turbulence Modelling
2.3. Solution Strategy
2.4. Geometry and Boundary Conditions
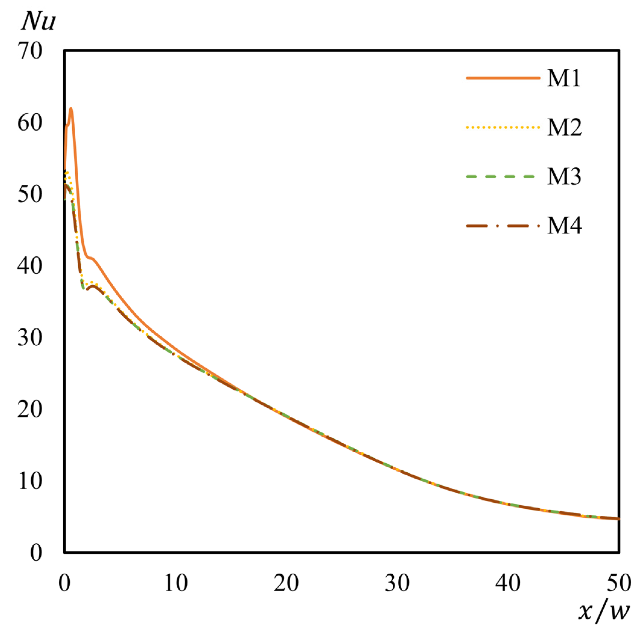
2.5. Convergence under Mesh Refinement Study
3. Results
3.1. The Effect of Protrusion Height
3.1.1. Enhancement of Heat Transfer
3.1.2. Flow Structure and Pressure Drop
3.1.3. PEC
3.2. Effect of Protrusion Diameter
3.2.1. Enhancement of Heat Transfer
3.2.2. Fluid Flow and Pressure Drop
3.2.3. PEC
4. Discussion
5. Conclusions
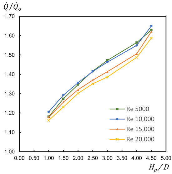
- increases with both and jet number. The maximum heat transfer enhancement with respect to the flat target surface of 65% is obtained for and of 3.5 and 4.5, respectively. The increases with while decreasing with a jet number.
- increases with and jet number. For of , and a jet number of 20,000, increases by 28.3%, 30.9%, 38.1%, 48.8%, and 54.3%, respectively, for of , , , and . The increases with while decreasing with a jet number.
- The number decreases with increasing , while increasing with a jet number. The decreases with increasing and jet number. For high number jets impinging on CPs with above , minor changes in occur.
- The number decreases with increasing .
- For of , at any jet number studied, the increases considerably with , reaching its peak values of 1.47, 1.45, 1.41, and 1.39 for jet numbers of 5000, 10.000, 15,000, and 20,000 at of . Greater values rapidly reduce the due to the significantly increased caused by an impingement distance shorter than .
- decreases with the increasing jet number for any studied , except for a jet number of 5000 with smaller than due to transitional effects.
- The of the novel cooling system increases with , while decreasing with the increasing jet number. For of , the highest value of 1.519 is obtained at of , and a jet number of 10,000.
Author Contributions
Funding
Institutional Review Board Statement
Informed Consent Statement
Data Availability Statement
Conflicts of Interest
Nomenclature
| Area (m2) | |
| Specific heat at constant pressure (J kg−1 K−1) | |
| Orifice diameter (m) | |
| Protrusion diameter (m) | |
| Turbulent kinetic energy production rate per unit volume of the fluid (kg m−1 s−3) | |
| Convective heat transfer coefficient (W m−2 K) | |
| Protrusion height (m) | |
| Turbulence intensity (%) | |
| Turbulent kinetic energy per unit mass of the fluid (m2 s−2) | |
| Mach | |
| Nusselt | |
| Area-averaged Nusselt | |
| Pressure (Pa) | |
| Performance evaluation criterion (-) | |
| Prandtl | |
| Heat transfer rate (W) | |
| Reynolds | |
| Modulus of the Reynolds-averaged strain rate tensor (s−1) | |
| Reynolds-averaged strain rate tensor (s−1) | |
| Reynolds-averaged temperature (K) | |
| Reynolds-averaged temperature at an orifice (K) | |
| Reynolds-averaged wall temperature (K) | |
| Temperature fluctuations (K) | |
| A Cartesian component of the Reynolds-averaged velocity vector (m s−1) | |
| Reynolds-averaged jet velocity at an orifice (m s−1) | |
| A Cartesian component of the velocity fluctuation vector (m s−1) | |
| Volume flow rate of the fluid (m3 s−1) | |
| Fluid pumping power (W) | |
| Slot width | |
| Dimensionless distance from the stagnation point of a slot jet (-) | |
| Dimensionless distance from a wall to the centroid of the adjacent grid cell in wall coordinates. | |
| Greek Symbols: | |
| Kronecker delta (-) | |
| The pressure drops between the jet orifices and the system outlet. | |
| Turbulent kinetic energy dissipation rate per unit mass of the fluid (m2 s−3) | |
| Alternating tensor or permutation symbol (-) | |
| Thermal conductivity of the fluid (W m−1 K−1) | |
| Dynamic viscosity of the fluid (kg m−1 s−1) | |
| Eddy viscosity of turbulent flow (kg m−1 s−1) | |
| Density of the fluid (kg m−3) | |
| Angular velocity of a rotating reference frame (s−1) | |
| The Reynolds-averaged rotation rate tensor viewed in a reference frame rotating with the angular velocity (s−1) | |
| Reynolds stress tensor (kg m−1 s−2) | |
| Turbulent heat flux vector (kg K m−2 s−1) | |
| Subscripts: | |
| Fluid | |
| Jet at the orifice | |
| Flat plate | |
| Wall | |
| Acronyms: | |
| CFD | Computational Fluid Dynamics |
| CGV | Coaxial Guide Vane |
| CMJICS | Compound Multi-Jet Impingement Cooling System |
| CP | Cylindrical Protrusion |
| CP-CGV | Cylindrical Protrusion—Coaxial Guide Vane |
| HTC | Heat Transfer Coefficient |
| J-CP-GV | Jet-Cylindrical Protrusion-Guide Vane |
| MJICS | Multi-Jet Impingement Cooling System |
| MJIECS | Multi-Jet Impingement-Effusion Cooling System |
| RANS | Reynolds-Averaged Navier–Stokes |
| SGDH | Simple Gradient Diffusion Hypothesis |
| SIMPLE | Semi-Implicit Method for Pressure-Linked Equations |
| SST | Shear-Stress Transport |
| 1D | One-dimensional |
| 2D | Two-dimensional |
| 3D | Three-dimensional |
References
- Rattner, A.S. General Characterization of Jet Impingement Array Heat Sinks with Interspersed Fluid Extraction Ports for Uniform High-Flux Cooling. J. Heat Transf. 2017, 139, 082201. [Google Scholar] [CrossRef]
- Naphon, P.; Wongwises, S. Investigation on the Jet Liquid Impingement Heat Transfer for the Central Processing Unit of Personal Computers. Int. Commun. Heat Mass Transf. 2010, 37, 822–826. [Google Scholar] [CrossRef]
- Forster, M.; Weigand, B. Experimental and Numerical Investigation of Jet Impingement Cooling onto a Concave Leading Edge of a Generic Gas Turbine Blade. Int. J. Therm. Sci. 2021, 164, 106862. [Google Scholar] [CrossRef]
- Singh, A.; Prasad, B.V.S.S.S. Influence of Novel Equilaterally Staggered Jet Impingement over a Concave Surface at Fixed Pumping Power. Appl. Therm. Eng. 2019, 148, 609–619. [Google Scholar] [CrossRef]
- Zhang, M.; Wang, N.; Han, J.-C. Internal Heat Transfer of Film-Cooled Leading Edge Model with Normal and Tangential Impinging Jets. Int. J. Heat Mass Transf. 2019, 139, 193–204. [Google Scholar] [CrossRef]
- Chi, Z.; Liu, H.; Zang, S. Geometrical Optimization of Nonuniform Impingement Cooling Structure with Variable-Diameter Jet Holes. Int. J. Heat Mass Transf. 2017, 108, 549–560. [Google Scholar] [CrossRef]
- Fechter, S.; Terzis, A.; Ott, P.; Weigand, B.; von Wolfersdorf, J.; Cochet, M. Experimental and Numerical Investigation of Narrow Impingement Cooling Channels. Int. J. Heat Mass Transf. 2013, 67, 1208–1219. [Google Scholar] [CrossRef]
- Taslim, M.E.; Setayeshgar, L.; Spring, S.D. An Experimental Evaluation of Advanced Leading Edge Impingement Cooling Concepts. J. Turbomach. 2000, 123, 147–153. [Google Scholar] [CrossRef]
- Taslim, M.E.; Rosso, N. Experimental/Numerical Study of Multiple Rows of Confined Jet Impingement Normal to a Surface at Close Distances. In ASME Turbo Expo 2012: Turbine Technical Conference and Exposition; American Society of Mechanical Engineers: New York, NY, USA, 2013. [Google Scholar] [CrossRef]
- Ahmed, F.B.; Weigand, B.; Meier, K. Heat Transfer and Pressure Drop Characteristics for a Turbine Casing Impingement Cooling System. In Proceedings of the 2010 14th International Heat Transfer Conference, Washington, DC, USA, 8–13 August 2011. [Google Scholar] [CrossRef]
- Peacock, G. Enhanced Cold-Side Cooling Techniques for Lean Burn Combustor Liners. Ph.D. Thesis, Loughborough University, Loughborough, UK, 2013. [Google Scholar]
- Lauffer, D.; Weigand, B.; von Wolfersdorf, J.; Dahlke, S.; Liebe, R. Heat Transfer Enhancement by Impingement Cooling in a Combustor Liner Heat Shield. In ASME Turbo Expo 2007: Power for Land, Sea, and Air; American Society of Mechanical Engineers: New York, NY, USA, 2009. [Google Scholar] [CrossRef]
- Crosatti, L.; Weathers, J.B.; Sadowski, D.L.; Abdel-Khalik, S.I.; Yoda, M.; Kruessmann, R.; Norajitra, P. Experimental and Numerical Investigation of Prototypical Multi-Jet Impingement (HEMJ) Helium-Cooled Divertor Modules. Fusion Sci. Technol. 2009, 56, 70–74. [Google Scholar] [CrossRef]
- Rader, J.D.; Mills, B.H.; Sadowski, D.L.; Yoda, M.; Abdel-Khalik, S.I. Verification of Thermal Performance Predictions of Prototypical Multi-Jet Impingement Helium-Cooled Divertor Module. Fusion Sci. Technol. 2013, 64, 282–287. [Google Scholar] [CrossRef]
- Wen, Z.-X.; He, Y.-L.; Cao, X.-W.; Yan, C. Numerical Study of Impinging Jets Heat Transfer with Different Nozzle Geometries and Arrangements for a Ground Fast Cooling Simulation Device. Int. J. Heat Mass Transf. 2016, 95, 321–335. [Google Scholar] [CrossRef]
- Wannassi, M.; Monnoyer, F. Fluid Flow and Convective Heat Transfer of Combined Swirling and Straight Impinging Jet Arrays. Appl. Therm. Eng. 2015, 78, 62–73. [Google Scholar] [CrossRef]
- Ianiro, A.; Cardone, G. Heat Transfer Rate and Uniformity in Multichannel Swirling Impinging Jets. Appl. Therm. Eng. 2012, 49, 89–98. [Google Scholar] [CrossRef]
- Lu, X.; Li, W.; Li, X.; Ren, J.; Jiang, H.; Ligrani, P. Flow and Heat Transfer Characteristics of Micro Pin-Fins under Jet Impingement Arrays. Int. J. Heat Mass Transf. 2019, 143, 118416. [Google Scholar] [CrossRef]
- McInturff, P.; Suzuki, M.; Ligrani, P.; Nakamata, C.; Lee, D.H. Effects of Hole Shape on Impingement Jet Array Heat Transfer with Small-Scale, Target Surface Triangle Roughness. Int. J. Heat Mass Transf. 2018, 127, 585–597. [Google Scholar] [CrossRef]
- Yeom, T.; Simon, T.; Zhang, T.; Zhang, M.; North, M.; Cui, T. Enhanced Heat Transfer of Heat Sink Channels with Micro Pin Fin Roughened Walls. Int. J. Heat Mass Transf. 2016, 92, 617–627. [Google Scholar] [CrossRef]
- Ren, Z.; Buzzard, W.C.; Ligrani, P.M.; Nakamata, C.; Ueguchi, S. Impingement Jet Array Heat Transfer: Target Surface Roughness Shape, Reynolds Number Effects. J. Thermophys. Heat Transf. 2017, 31, 346–357. [Google Scholar] [CrossRef]
- Ndao, S.; Peles, Y.; Jensen, M.K. Effects of Pin Fin Shape and Configuration on the Single-Phase Heat Transfer Characteristics of Jet Impingement on Micro Pin Fins. Int. J. Heat Mass Transf. 2014, 70, 856–863. [Google Scholar] [CrossRef]
- Ndao, S.; Lee, H.J.; Peles, Y.; Jensen, M.K. Heat Transfer Enhancement from Micro Pin Fins Subjected to an Impinging Jet. Int. J. Heat Mass Transfer 2012, 55, 413–421. [Google Scholar] [CrossRef]
- Chakroun, W.M.; Abdel-Rahman, A.A.; Al-Fahed, S.F. Heat Transfer Augmentation for Air Jet Impinged on a Rough Surface. Appl. Therm. Eng. 1998, 18, 1225–1241. [Google Scholar] [CrossRef]
- Chen, L.; Brakmann, R.G.; Weigand, B.; Poser, R. An Experimental Heat Transfer Investigation of an Impingement Jet Array with Turbulators on Both Target Plate and Impingement Plate. Appl. Therm. Eng. 2020, 166, 114661. [Google Scholar] [CrossRef]
- Brakmann, R.; Chen, L.; Poser, R.; Rodriguez, J.; Crawford, M.; Weigand, B. Heat Transfer Investigation of an Array of Jets Impinging on a Target Plate with Detached Ribs. Int. J. Heat Fluid Flow 2019, 78, 108420. [Google Scholar] [CrossRef]
- Rao, Y.; Chen, P.; Wan, C. Experimental and Numerical Investigation of Impingement Heat Transfer on the Surface with Micro W-Shaped Ribs. Int. J. Heat Mass Transf. 2016, 93, 683–694. [Google Scholar] [CrossRef]
- Caliskan, S. Flow and Heat Transfer Characteristics of Transverse Perforated Ribs under Impingement Jets. Int. J. Heat Mass Transf. 2013, 66, 244–260. [Google Scholar] [CrossRef]
- Xing, Y.; Spring, S.; Weigand, B. Experimental and Numerical Investigation of Impingement Heat Transfer on a Flat and Micro-Rib Roughened Plate with Different Crossflow Schemes. Int. J. Therm. Sci. 2011, 50, 1293–1307. [Google Scholar] [CrossRef]
- Rallabandi, A.P.; Rhee, D.-H.; Gao, Z.; Han, J.-C. Heat Transfer Enhancement in Rectangular Channels with Axial Ribs or Porous Foam under through Flow and Impinging Jet Conditions. Int. J. Heat Mass Transf. 2010, 53, 4663–4671. [Google Scholar] [CrossRef]
- Vinze, R.; Khade, A.; Kuntikana, P.; Ravitej, M.; Suresh, B.; Kesavan, V.; Prabhu, S.V. Effect of Dimple Pitch and Depth on Jet Impingement Heat Transfer over Dimpled Surface Impinged by Multiple Jets. Int. J. Therm. Sci. 2019, 145, 105974. [Google Scholar] [CrossRef]
- Rao, Y.; Li, B.; Feng, Y. Heat Transfer of Turbulent Flow over Surfaces with Spherical Dimples and Teardrop Dimples. Exp. Therm. Fluid Sci. 2015, 61, 201–209. [Google Scholar] [CrossRef]
- Xing, Y.; Weigand, B. Experimental Investigation of Impingement Heat Transfer on a Flat and Dimpled Plate with Different Crossflow Schemes. Int. J. Heat Mass Transf. 2010, 53, 3874–3886. [Google Scholar] [CrossRef]
- Singh, P.; Ekkad, S.V. Effects of Spent Air Removal Scheme on Internal-Side Heat Transfer in an Impingement-Effusion System at Low Jet-To-Target Plate Spacing. Int. J. Heat Mass Transf. 2017, 108, 998–1010. [Google Scholar] [CrossRef]
- Xing, Y.; Weigand, B. Optimum Jet-to-Plate Spacing of Inline Impingement Heat Transfer for Different Crossflow Schemes. J. Heat Transf. 2013, 135, 072201. [Google Scholar] [CrossRef]
- Florschuetz, L.W.; Truman, C.R.; Metzger, D.E. Streamwise Flow and Heat Transfer Distributions for Jet Array Impingement with Crossflow. In ASME 1981 International Gas Turbine Conference and Products Show; American Society of Mechanical Engineers: New York, NY, USA, 2015. [Google Scholar] [CrossRef]
- Florschuetz, L.W.; Berry, R.A.; Metzger, D.E. Periodic Streamwise Variations of Heat Transfer Coefficients for Inline and Staggered Arrays of Circular Jets with Crossflow of Spent Air. J. Heat Transf. 1980, 102, 132–137. [Google Scholar] [CrossRef]
- Xing, Y.; Spring, S.; Weigand, B. Experimental and Numerical Investigation of Heat Transfer Characteristics of Inline and Staggered Arrays of Impinging Jets. J. Heat Transf. 2010, 132, 092201. [Google Scholar] [CrossRef]
- Draksler, M.; Končar, B.; Cizelj, L.; Ničeno, B. Large Eddy Simulation of Multiple Impinging Jets in Hexagonal Configuration—Flow Dynamics and Heat Transfer Characteristics. Int. J. Heat Mass Transf. 2017, 109, 16–27. [Google Scholar] [CrossRef]
- Geers, L.F.G.; Hanjalić, K.; Tummers, M.J. Wall Imprint of Turbulent Structures and Heat Transfer in Multiple Impinging Jet Arrays. J. Fluid Mech. 2006, 546, 255–284. [Google Scholar] [CrossRef]
- Geers, L.F.G.; Tummers, M.J.; Hanjalić, K. Particle Imaging Velocimetry-Based Identification of Coherent Structures in Normally Impinging Multiple Jets. Phys. Fluids 2005, 17, 055105. [Google Scholar] [CrossRef]
- Tang, Z.; Liu, Q.; Li, H.; Min, X. Numerical Simulation of Heat Transfer Characteristics of Jet Impingement with a Novel Single Cone Heat Sink. Appl. Therm. Eng. 2017, 127, 906–914. [Google Scholar] [CrossRef]
- Wang, C.; Wang, Z.; Wang, L.; Luo, L.; Sundén, B. Experimental Study of Fluid Flow and Heat Transfer of Jet Impingement in Cross-Flow with a Vortex Generator Pair. Int. J. Heat Mass Transf. 2019, 135, 935–949. [Google Scholar] [CrossRef]
- Ortega-Casanova, J.; Molina-Gonzalez, F. Axisymmetric Numerical Investigation of the Heat Transfer Enhancement from a Heated Plate to an Impinging Turbulent Axial Jet via Small Vortex Generators. Int. J. Heat Mass Transf. 2017, 106, 183–194. [Google Scholar] [CrossRef]
- Wang, C.; Luo, L.; Wang, L.; Sundén, B. Effects of Vortex Generators on the Jet Impingement Heat Transfer at Different Cross-Flow Reynolds Numbers. Int. J. Heat Mass Transf. 2016, 96, 278–286. [Google Scholar] [CrossRef]
- Wang, C.; Wang, L.; Sundén, B. A Novel Control of Jet Impingement Heat Transfer in Cross-Flow by a Vortex Generator Pair. Int. J. Heat Mass Transf. 2015, 88, 82–90. [Google Scholar] [CrossRef]
- Nakod, P.M.; Prabhu, S.V.; Vedula, R.P. Heat Transfer Augmentation between Impinging Circular Air Jet and Flat Plate Using Finned Surfaces and Vortex Generators. Exp. Therm. Fluid Sci. 2008, 32, 1168–1187. [Google Scholar] [CrossRef]
- Brakmann, R.; Chen, L.; Weigand, B.; Crawford, M. Experimental and Numerical Heat Transfer Investigation of an Impinging Jet Array on a Target Plate Roughened by Cubic Micro Pin Fins. J. Turbomach. 2016, 138, 111010. [Google Scholar] [CrossRef]
- Luo, L.; Wen, F.; Wang, L.; Sundén, B.; Wang, S. Thermal Enhancement by Using Grooves and Ribs Combined with Delta-Winglet Vortex Generator in a Solar Receiver Heat Exchanger. Appl. Energy 2016, 183, 1317–1332. [Google Scholar] [CrossRef]
- Allauddin, U.; Uddin, N.; Weigand, B. Heat Transfer Enhancement by Jet Impingement on a Flat Surface with Detached-Ribs under Cross-Flow Conditions. Numer. Heat Transf. Part A Appl. 2013, 63, 921–940. [Google Scholar] [CrossRef]
- Wan, C.; Rao, Y.; Chen, P. Numerical Predictions of Jet Impingement Heat Transfer on Square Pin-Fin Roughened Plates. Appl. Therm. Eng. 2015, 80, 301–309. [Google Scholar] [CrossRef]
- Wan, C.; Rao, Y.; Zhang, X. Numerical Investigation of Impingement Heat Transfer on a Flat and Square Pin-Fin Roughened Plates. In ASME Turbo Expo 2013: Turbine Technical Conference and Exposition; American Society of Mechanical Engineers: New York, NY, USA, 2013. [Google Scholar] [CrossRef]
- Kan, R.; Tian, S. Numerical Investigation of Heat Transfer in a High Aspect Ratio Double Wall Channel with Pin Fin and Jet Array Impingement. In ASME Turbo Expo 2016: Turbomachinery Technical Conference and Exposition; American Society of Mechanical Engineers: New York, NY, USA, 2016. [Google Scholar] [CrossRef]
- Weigand, B.; Spring, S. Multiple Jet Impingement—A Review. Heat Transf. Res. 2011, 42, 101–142. [Google Scholar] [CrossRef]
- Zuckerman, N.; Lior, N. Jet Impingement Heat Transfer: Physics, Correlations, and Numerical Modeling. Adv. Heat Transf. 2006, 39, 565–631. [Google Scholar] [CrossRef]
- Barata, J.M.M.; Durão, D.F.G. Laser-Doppler Measurements of Impinging Jet Flows through a Crossflow. Exp. Fluids 2004, 36, 665–674. [Google Scholar] [CrossRef]
- Geers, L.F.G. Multiple Impinging Jet Arrays: An Experimental Study on Flow and Heat Transfer. Ph.D. Thesis, Delft Technical University, Delft, The Netherlands, 2004. [Google Scholar]
- Obot, N.T.; Trabold, T.A. Impingement Heat Transfer within Arrays of Circular Jets: Part 1—Effects of Minimum, Intermediate, and Complete Crossflow for Small and Large Spacings. J. Heat Transf. 1987, 109, 872–879. [Google Scholar] [CrossRef]
- ANSYS Fluent Fluid Simulation Software. Available online: https://www.ansys.com/products/fluids/ansys-fluent (accessed on 25 November 2022).
- Huang, H.; Sun, T.; Zhang, G.; Li, D.; Wei, H. Evaluation of a Developed SST K-ω Turbulence Model for the Prediction of Turbulent Slot Jet Impingement Heat Transfer. Int. J. Heat Mass Transf. 2019, 139, 700–712. [Google Scholar] [CrossRef]
- Wienand, J.; Riedelsheimer, A.; Weigand, B. Numerical Study of a Turbulent Impinging Jet for Different Jet-To-Plate Distances Using Two-Equation Turbulence Models. Eur. J. Mech. B/Fluids 2017, 61, 210–217. [Google Scholar] [CrossRef]
- Li, W.; Ren, J.; Hongde, J.; Ligrani, P. Assessment of Six Turbulence Models for Modeling and Predicting Narrow Passage Flows, Part 1: Impingement Jets. Numer. Heat Transf. Part A Appl. 2015, 69, 109–127. [Google Scholar] [CrossRef]
- Dutta, R.; Dewan, A.; Srinivasan, B. Comparison of Various Integration to Wall (ITW) RANS Models for Predicting Turbulent Slot Jet Impingement Heat Transfer. Int. J. Heat Mass Transf. 2013, 65, 750–764. [Google Scholar] [CrossRef]
- Jaramillo, J.E.; Pérez-Segarra, C.D.; Rodriguez, I.; Oliva, A. Numerical Study of Plane and Round Impinging Jets Using RANS Models. Numer. Heat Transf. Part B Fundam. 2008, 54, 213–237. [Google Scholar] [CrossRef]
- Hofmann, H.M.; Kaiser, R.; Kind, M.; Martin, H. Calculations of Steady and Pulsating Impinging Jets—An Assessment of 13 Widely Used Turbulence Models. Numer. Heat Transf. Part B Fundam. 2007, 51, 565–583. [Google Scholar] [CrossRef]
- Wang, S.J.; Mujumdar, A.S. A Comparative Study of Five Low Reynolds Number K–ε Models for Impingement Heat Transfer. Appl. Therm. Eng. 2005, 25, 31–44. [Google Scholar] [CrossRef]
- Behnia, M.; Parneix, S.; Durbin, P.A. Prediction of Heat Transfer in an Axisymmetric Turbulent Jet Impinging on a Flat Plate. Int. J. Heat Mass Transf. 1998, 41, 1845–1855. [Google Scholar] [CrossRef]
- Craft, T.J.; Graham, L.J.W.; Launder, B.E. Impinging Jet Studies for Turbulence Model Assessment—II. An Examination of the Performance of Four Turbulence Models. Int. J. Heat Mass Transf. 1993, 36, 2685–2697. [Google Scholar] [CrossRef]
- Shih, T.-H.; Liou, W.W.; Shabbir, A.; Yang, Z.; Zhu, J. A New k-ϵ Eddy Viscosity Model for High Reynolds Number Turbulent Flows—Model Development and Validation. Comput. Fluids 1995, 24, 227–238. [Google Scholar] [CrossRef]
- Jongen, T. Simulation and Modeling of Turbulent Incompressible Flows. Ph.D. Thesis, EPF Lausanne, Lausanne, Switzerland, 1992. [Google Scholar]
- Wolfshtein, M. The Velocity and Temperature Distribution in One-Dimensional Flow with Turbulence Augmentation and Pressure Gradient. Int. J. Heat Mass Transf. 1969, 12, 301–318. [Google Scholar] [CrossRef]
- Chen, H.C.; Patel, V.C. Near-Wall Turbulence Models for Complex Flows Including Separation. AIAA J. 1988, 26, 641–648. [Google Scholar] [CrossRef]
- Kader, B. Temperature and Concentration Profiles in Fully Turbulent Boundary Layers. Int. J. Heat Mass Transfer 1981, 24, 1541–1544. [Google Scholar] [CrossRef]
- Cadek, F.F. Fundamental Investigation of Jet Impingement Heat Transfer. Ph.D. Thesis, University of Cincinnati, Cincinnati, OH, USA, 1968. [Google Scholar]
- Gardon, R.; Akfirat, J.C. The Role of Turbulence in Determining the Heat-Transfer Characteristics of Impinging Jets. Int. J. Heat Mass Transf. 1965, 8, 1261–1272. [Google Scholar] [CrossRef]
- Merci, B.; Vierendeels, J.; De Langhe, C.; Dick, E. Numerical simulation of heat transfer of turbulent impinging jets with two-equation turbulence models. Int. J. Numer. Methods Heat Fluid 2003, 13, 110–132. [Google Scholar] [CrossRef]
- Coussirat, M.; van Beeck, J.; Mestres, M.; Egusguiza, E.; Buchlin, J.-M.; Escaler, X. Computational fluid dynamics modeling of impinging gas-jet systems: I. Assessment of eddy viscosity models. J. Fluids Eng. 2005, 127, 691–703. [Google Scholar] [CrossRef]
- Tepe, A.Ü.; Uysal, Ü.; Yetişken, Y.; Arslan, K. Jet Impingement Cooling on a Rib-roughened Surface Using Extended Jet Holes. Appl. Therm. Eng. 2020, 178, 115601. [Google Scholar] [CrossRef]
- Taslim, M.E.; Bakhtari, K.; Liu, H. Experimental and Numerical Investigation of Impingement on a Rib-Roughened Leading-Edge Wall. In Proceedings of the ASME Turbo Expo, Atlanta, GA, USA, 16–19 June 2003. [Google Scholar] [CrossRef]
- Rao, Y. Jet Impingement Heat Transfer in Narrow Channels with Different Pin Fin Configurations on Target Surfaces. J. Heat Transf. 2018, 140, 7. [Google Scholar] [CrossRef]




















| Parameter | Description | Value |
|---|---|---|
| Jet diameter at the orifice exit | 4 mm | |
| Jet Reynolds number at the orifice exit | 5000, 10,000, 15,000, 20,000 | |
| Dimensionless protrusion height | 1, 1.5, 2, 2.5, 3, 4, 4.5 | |
| Dimensionless protrusion diameter | 2, 2.5, 3, 3.5, 4 | |
| Prandtl number of air | 0.71 | |
| Jet temperature at the orifice exit | 293 K | |
| Target plate temperature | 303 K | |
| Air density | 1.204 | |
| Jet velocity at the orifice exit | ||
| Jet turbulence intensity at the orifice exit | ||
| Dynamic viscosity of air | 1.813 × 10−5 | |
| Overall heat transfer rate (W) | ||
| Heat transfer rate of the flat plate (W) | ||
| Heat transfer ratio | ||
| Area-averaged Nusselt number | ||
| Area-averaged Nusselt number of the flat target plate | ||
| Ratio of the area-averaged Nusselt numbers | ||
| Performance evaluation criterion |
| Literature | Protrusion Type | |||
|---|---|---|---|---|
| Present study | Cylindrical protrusion with guide vanes | 1.65 | 0.606–0.917 | 1.05–1.519 |
| Brakmann et al. [26] | Detached ribs | 1 | 1.04 | - |
| Brakmann et al. [48] | Cubic micro pin fins | 1.34–1.42 | 0.89–0.94 | - |
| Wan et al. [51] | Square pin fins | 1.25–1.35 | 0.784–0.82 | - |
| Taslim et al. [79] | Horseshoe shaped ribs | 1.27 | - | - |
| Rao [80] | Full-height pin fins | - | 1.323 | - |
| Mini pin fins | - | 1.747 | - |
Disclaimer/Publisher’s Note: The statements, opinions and data contained in all publications are solely those of the individual author(s) and contributor(s) and not of MDPI and/or the editor(s). MDPI and/or the editor(s) disclaim responsibility for any injury to people or property resulting from any ideas, methods, instructions or products referred to in the content. |
© 2023 by the authors. Licensee MDPI, Basel, Switzerland. This article is an open access article distributed under the terms and conditions of the Creative Commons Attribution (CC BY) license (https://creativecommons.org/licenses/by/4.0/).
Share and Cite
Untuç, A.H.; Unverdi, S.O. Heat Transfer Enhancement by Mitigating the Adverse Effects of Crossflow in a Multi-Jet Impingement Cooling System in Hexagonal Configuration by Coaxial Cylindrical Protrusion—Guide Vane Pairs. Appl. Sci. 2023, 13, 11260. https://doi.org/10.3390/app132011260
Untuç AH, Unverdi SO. Heat Transfer Enhancement by Mitigating the Adverse Effects of Crossflow in a Multi-Jet Impingement Cooling System in Hexagonal Configuration by Coaxial Cylindrical Protrusion—Guide Vane Pairs. Applied Sciences. 2023; 13(20):11260. https://doi.org/10.3390/app132011260
Chicago/Turabian StyleUntuç, Ahmet Hikmet, and Salih Ozen Unverdi. 2023. "Heat Transfer Enhancement by Mitigating the Adverse Effects of Crossflow in a Multi-Jet Impingement Cooling System in Hexagonal Configuration by Coaxial Cylindrical Protrusion—Guide Vane Pairs" Applied Sciences 13, no. 20: 11260. https://doi.org/10.3390/app132011260
APA StyleUntuç, A. H., & Unverdi, S. O. (2023). Heat Transfer Enhancement by Mitigating the Adverse Effects of Crossflow in a Multi-Jet Impingement Cooling System in Hexagonal Configuration by Coaxial Cylindrical Protrusion—Guide Vane Pairs. Applied Sciences, 13(20), 11260. https://doi.org/10.3390/app132011260

