The Dynamic Train–Track Interaction on a Bridge and in a Tunnel Compared with the Simultaneous Vehicle, Track and Ground Vibration Measurements on a Surface Line
Abstract
:1. Introduction
2. Measurement Campaign for the Bridge, Tunnel and Surface Lines
3. One-Third Octave Band Spectra of the Vehicle, Track, Bridge and Soil Vibrations and the Interpretation of Different Frequency Bands
4. Detailed Analysis of Tunnel and Bridge Characteristics
4.1. Narrow-Band Spectra of the Tunnel Vibrations
4.2. Time Histories and Narrow-Band Spectra of The Bridge Vibrations
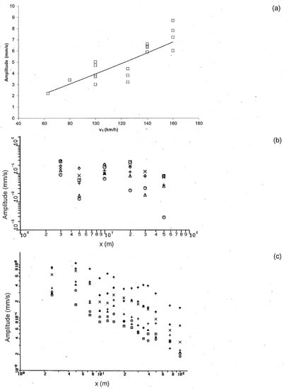
5. The Amplitudes and The Amplitude Ratio of The Ground Vibrations from the Tunnel and the Surface Line for Normal and High Train Speeds
6. Discussion of The Bridge and Tunnel Characteristics
7. Conclusions
Funding
Institutional Review Board Statement
Informed Consent Statement
Data Availability Statement
Acknowledgments
Conflicts of Interest
Appendix A. Measured compliances of the Different Tracks
References
- Auersch, L. Reduction of train-induced vibrations—Calculations of different railway lines and mitigation measures in the transmission path. Appl. Sci. 2023, 13, 6706. [Google Scholar] [CrossRef]
- Auersch, L.; Said, S.; Rücker, W. Das Fahrzeug-Fahrweg-Verhalten und die Umgebungserschütterungen bei Eisenbahnen; Research Report 243; BAM: Berlin, Germany, 2001.
- Auersch, L. The excitation of ground vibration by rail traffic: Theory of vehicle-track-soil interaction and measurements on high-speed lines. J. Sound Vib. 2005, 284, 103–132. [Google Scholar] [CrossRef]
- Iwnicki, S. Handbook of Railway Vehicle Dynamics; Taylor & Francis: Abingdon, UK, 2006. [Google Scholar]
- Milne, D.; Le Pen, L.; Watson, G.; Thompson, D.; Powrie, W.; Hayward, M.; Morley, S. Monitoring and repair of isolated trackbed defects on a ballasted railway. Transp. Geotech. 2018, 17, 61–68. [Google Scholar] [CrossRef]
- Unsiwilai, S.; Wang, L.; Núnez, A.; Li, Z. Multiple-axle box acceleration measurements at railway transition zones. Measurement 2023, 213, 112688. [Google Scholar] [CrossRef]
- Lourenco, A.; Ferraz, C.; Ribeiro, D.; Mosleh, A.; Montenegro, P.; Vale, C.; Meixedo, A.; Marreiros, G. Adaptive time series representation for out-of-round railway wheels fault diagnosis in wayside monitoring. Eng. Fail. Anal. 2023, 152, 107433. [Google Scholar] [CrossRef]
- Fryba, L. Vibration of Solids and Structures under Moving Loads; Springer: Berlin/Heidelberg, Germany, 1973. [Google Scholar]
- Savin, E. Dynamics of Railway Bridges under Moving Loads. PhD Thesis, Ecole Centrale de Paris, Gif-sur-Yvette, France, 1994. [Google Scholar]
- Yang, Y.; Yau, J.; Hsu, J. Vibration of simple beams due to trains moving at high speeds. Eng. Struct. 1997, 19, 936–944. [Google Scholar] [CrossRef]
- Yang, Y.; Lin, C.; Yau, J.; Chang, D. Mechanism of resonance and cancellation for train-induced vibrations on bridges with elastic bearings. J. Sound Vib. 2004, 269, 345–360. [Google Scholar] [CrossRef]
- Museros, P.; Moliner, E.; Martinez-Rodrigo, M. Free vibrations of simply supported beam bridges under moving load: Maximum resonance, cancellation and resonant vertical acceleration. J. Sound Vib. 2013, 332, 326–345. [Google Scholar] [CrossRef]
- Wu, Y.; Yang, Y. A semi-analytical approach for analyzing ground vibrations caused by trains moving over elevated bridges. Soil Dyn. Earthq. Eng. 2004, 24, 949–962. [Google Scholar] [CrossRef]
- Xia, H.; Zhang, N.; Guo, W. Analysis of resonance mechanism and conditions of train-bridge system. J. Sound Vib. 2006, 297, 810–822. [Google Scholar] [CrossRef]
- Galvín, P.; Romero, A.; Moliner, E.; De Roeck, G.; Martinez-Rodrigo, M. On the dynamic characterisation of railway bridges through experimental testing. Eng. Struct. 2020, 226, 111261. [Google Scholar] [CrossRef]
- Ju, S.; Lin, H. Experimentally investigating finite element accuracy for ground vibrations induced by high-speed trains. Eng. Struct. 2008, 30, 733–746. [Google Scholar] [CrossRef]
- Xing, M.; Wang, P.; Zhao, C.; Wu, X.; Kang, X. Ground-borne vibration generated by high-speed train viaduct systems in soft-upper/hard-lower rock strata. J. Cent. South Univ. 2021, 28, 2140–2157. [Google Scholar] [CrossRef]
- Takemiya, H.; Bian, X. Shinkansen high-speed train induced ground vibrations in view of viaduct–ground interaction. Soil Dyn. Earthq. Eng. 2007, 27, 506–520. [Google Scholar] [CrossRef]
- Liu, Q.; Zhang, X.; Zhang, Z.; Li, X. In-situ measurement of ground vibration induced by inter-city express train. Appl. Mech. Mater. 2012, 204–208, 502–507. [Google Scholar] [CrossRef]
- Hu, J.; Luo, Y.; Xu, J. Experimental and numerical analysis and prediction of ground vibrations due to heavy haul railway viaduct. Math. Probl. Eng. 2019, 2019, 2751815. [Google Scholar] [CrossRef]
- Ju, S.; Lin, H.; Huang, J. Dominant frequencies of train induced vibrations. J. Sound Vib. 2009, 319, 247–259. [Google Scholar] [CrossRef]
- Duval, G. Cartographie des Champs Vibratoires à la Surface des Sols en Milieu Urbain: Application Ferroviaire et Chantiers. Ph.D. Thesis, Université de Lyon, Lyon, France, 2022. [Google Scholar]
- Chatterjee, P.; Degrande, G.; Jacobs, S.; Charlier, J.; Bouvet, P.; Brassenx, D. Experimental results of free field and structural vibrations due to underground railway traffic. In Proceedings of the 10th International Congress on Sound and Vibration (ICSV28), Stockholm, Sweden, 7–10 July 2003; pp. 1–8. [Google Scholar]
- Degrande, G.; Schevenels, M.; Chatterjee, P.; Van de Velde, W.; Hölscher, P.; Hopman, V.; Wang, A.; Dadka, N. Vibrations due to a test train at variable speed in a deep bored tunnel embedded in London clay. J. Sound Vib. 2006, 293, 626–644. [Google Scholar] [CrossRef]
- Gupta, S.; Lombaert, G.; Degrande, G. Experimental validation of a numerical model for subway induced vibrations. J. Sound Vib. 2009, 321, 786–812. [Google Scholar] [CrossRef]
- Jin, Q.; Thompson, D.; Lurcock, D.; Toward, M.; Ntotsios, E. A 2.5D finite element and boundary element model for the ground vibration from trains in tunnels and validation using measurement data. J. Sound Vib. 2018, 422, 373–389. [Google Scholar] [CrossRef]
- Xing, M.; Zhao, C.; Wang, P.; Lu, J.; Yi, Q. A numerical investigation of ground vibration induced by typical rail corrugation of underground subway. Shock. Vib. 2019, 2019, 8406813. [Google Scholar]
- Heckl, M.; Hauck, G.; Wettschureck, R. Structure-borne sound and vibration from rail traffic. J. Sound Vib. 1996, 193, 175–184. [Google Scholar] [CrossRef]
- Kurze, U.; Wettschureck, R. Erschütterungen in der Umgebung von flach liegenden Eisenbahntunneln im Vergleich mit freien Strecken. Acustica 1985, 58, 170–176. [Google Scholar]
- Jurdic, V.; Bewes, O.; Greer, R. Developing prediction model for ground-borne noise and vibration from high speed trains running at speeds in excess of 300 km/h. In Proceedings of the 21st International Congress on Sound and Vibration (ICSV21), Beijing, China, 13–17 July 2014; pp. 1–9. [Google Scholar]
- Tappauf, B.; Alten, K. Erschütterungsprognose an der Bahn—Aktuelle Methoden. In VDI Bericht “Baudynamik 2022”; VDI-Verlag: Düsseldorf, Germany, 2022; pp. 177–194. [Google Scholar]
- Said, S.; Auersch, L.; Rücker, W. Messungen der Fahrwegschwingungen und der Erschütterungen bei Versuchsfahrten des Intercity-Experimental; Technical Report TV 8214: Rückwirkung und Erschütterungsausbreitung; BAM: Berlin, Germany, 1988.
- Willenbrink, L. Körperschallmessungen über dem Mühlbergtunnel im Rahmen der ICE-Versuchsfahrten auf der NBS Hannover Würzburg; Report 75676; DB-Versuchsanstalt: Munich, Germany, 1987. [Google Scholar]
- Auersch, L. Different types of continuous track irregularities as sources of train-induced ground vibration and the importance of the random variation of the track support. Appl. Sci. 2022, 12, 12031463. [Google Scholar] [CrossRef]
- Hood, R.; Greer, R.; Breslin, M.; Williams, P. The calculation and assessment of ground-borne noise and perceptible vibration from trains in tunnels. J. Sound Vib. 1996, 193, 215–225. [Google Scholar] [CrossRef]






















Disclaimer/Publisher’s Note: The statements, opinions and data contained in all publications are solely those of the individual author(s) and contributor(s) and not of MDPI and/or the editor(s). MDPI and/or the editor(s) disclaim responsibility for any injury to people or property resulting from any ideas, methods, instructions or products referred to in the content. |
© 2023 by the author. Licensee MDPI, Basel, Switzerland. This article is an open access article distributed under the terms and conditions of the Creative Commons Attribution (CC BY) license (https://creativecommons.org/licenses/by/4.0/).
Share and Cite
Auersch, L. The Dynamic Train–Track Interaction on a Bridge and in a Tunnel Compared with the Simultaneous Vehicle, Track and Ground Vibration Measurements on a Surface Line. Appl. Sci. 2023, 13, 10992. https://doi.org/10.3390/app131910992
Auersch L. The Dynamic Train–Track Interaction on a Bridge and in a Tunnel Compared with the Simultaneous Vehicle, Track and Ground Vibration Measurements on a Surface Line. Applied Sciences. 2023; 13(19):10992. https://doi.org/10.3390/app131910992
Chicago/Turabian StyleAuersch, Lutz. 2023. "The Dynamic Train–Track Interaction on a Bridge and in a Tunnel Compared with the Simultaneous Vehicle, Track and Ground Vibration Measurements on a Surface Line" Applied Sciences 13, no. 19: 10992. https://doi.org/10.3390/app131910992
APA StyleAuersch, L. (2023). The Dynamic Train–Track Interaction on a Bridge and in a Tunnel Compared with the Simultaneous Vehicle, Track and Ground Vibration Measurements on a Surface Line. Applied Sciences, 13(19), 10992. https://doi.org/10.3390/app131910992