Development of a Machine Learning-Based Framework for Predicting Vessel Size Based on Container Capacity
Abstract
1. Introduction
2. Theoretical Background
3. Materials and Methods
3.1. Dataset Details
3.2. Methodology
3.2.1. Stage I: Feature Selection
- -
- As the reference point for x, is chosen at random from S.
- -
- Label x using the reference point’s label .
3.2.2. Stage II: Classification
- A decision tree is a tree structure that constructs classification or regression models. It progressively divides a dataset into smaller and smaller sections, while also developing an associated decision tree. The result is a tree containing leaf nodes and decision nodes [14].
- Linear Discriminant Analysis is a linear classification model. Data from a D dimensional feature space are projected using LDA into a D’ (D > D’) dimensional space to increase variability across classes, while minimizing variability within classes. LDA works well while dealing with multiclass classification [15].
- Quadratic Discriminant Analysis is a generative model. According to QDA, each class is thought to have a Gaussian distribution. The fraction of data points that belong to the class is the class-specific prior. The average of the input variables that are part of the class makes up the mean vector particular to that class. Simply put, the covariance of the class-specific vectors makes up the class-specific covariance matrix [16].
- Linear Support Vector Machine is a linear model that may be used to solve classification and regression issues. It can handle linear and non-linear problems and is useful for a wide range of practical applications. The concept of SVM is straightforward: The method draws a line or a hyperplane to divide the data into classes [17].
- Quadratic kernel-free non-linear support vector machine (Q-SVM) is a quadratic decision function capable of separating data non-linearly. The geometrical margin is shown to be equal to the inverse of the gradient of the decision function’s norm. The equation of the quadratic function is the functional margin. It is demonstrated that Q-SVM may be used in a quadratic optimization context [17].
- Cubic support vector machine (C-SVM): when dealing with a memory space constraint, C-SVM is an effective SVM approach because it locates a hyperplane in a multidimensional space that best separates the classes, whereas Q-SVM has low memory utilization for binary classification and high memory utilization for multiclass classification during its training phase. Prediction speed is also fast for binary classification but sluggish for multiclass classification [17].
- Gaussian support vector machine (G-SVM) is another prominent Kernel approach used in Support Vector Machine models, using the Gaussian RBF (Radial Basis Function). The RBF kernel is a function whose value is proportional to the distance between the origin and some point [17].
- K-nearest neighbor (k-NN) is a variant of k-nearest neighbors. The selection of the hyperparameter k is one of several factors that influence the performance of the KNN algorithm. If k is too little, the algorithm becomes more susceptible to outliers [18].
- Boosted trees ensemble learner (BSE) is used to reduce training time errors. Boosting is an ensemble learning strategy that combines a group of weak learners into strong learners. A random sample of data is chosen, fitted with a model, and then trained sequentially—that is, each model attempts to compensate for the shortcomings of its predecessor [19,20].
- Bagged trees ensemble learner (BSE) is an acronym for Bootstrap Aggregation; it is an ensemble method, which is essentially a mechanism for overlaying diverse models, data, and methods. [20].
Cross-Validation Method
Evaluation Metrics
- Accuracy: One parameter for assessing classification models is accuracy. The percentage of predictions that our model correctly predicted is known as accuracy. The following is the actual definition of accuracy (as shown in Equation (6)):where TP = True Positives, TN = True Negatives, FP = False Positives, and FN = False Negatives.
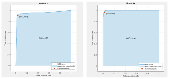
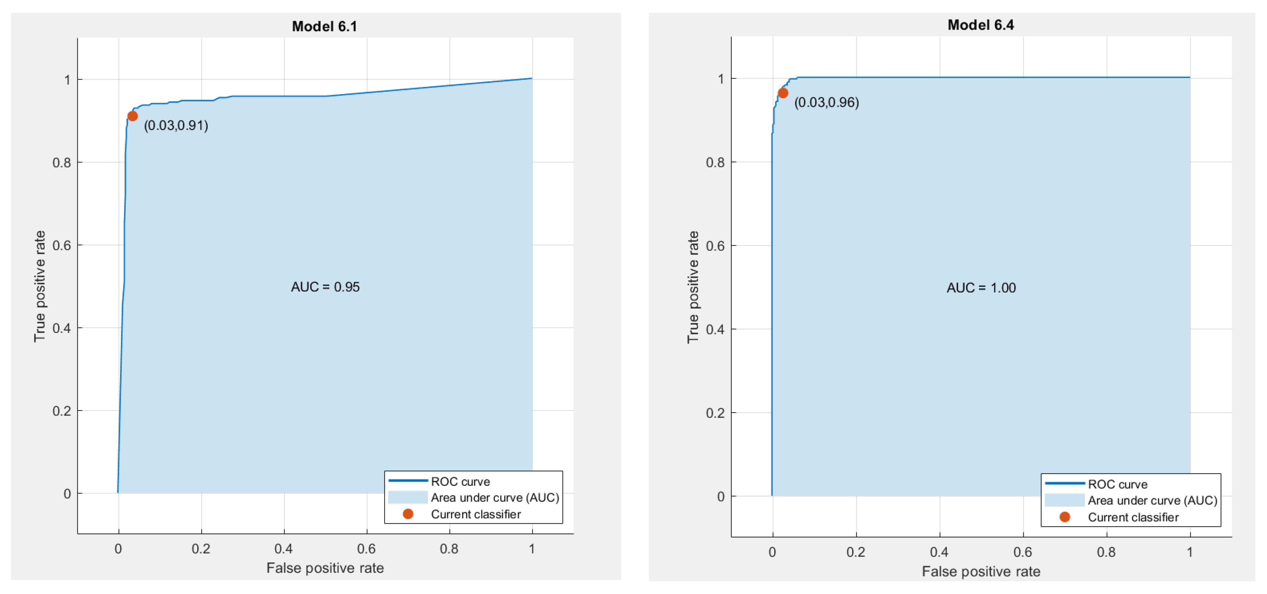
- Receiver Operating Characteristics (ROC): The receiver operating characteristic curve is a chart that displays how well a classification model performs across all categorization levels. Two parameters are shown on this curve:TPR (Equation (7)) vs. FPR (Equation (8)) are shown on a ROC curve at various classification levels. More items are classified as positive when the classification threshold is lowered, which raises the number of both False Positives and True Positives.
- Area Under Curve (AUC): Integral calculus is used to calculate the AUC; it measures the full two-dimensional region beneath the entire ROC curve from (0,0) to (1,1). An overall assessment of performance across all potential classification criteria is provided by the AUC. The AUC may be seen as the likelihood that the model values a randomly chosen positive example higher than a randomly chosen negative example.
4. Results
- -
- Import box
- -
- 4000% Loading
- -
- Loading single
- -
- 20_Box
- -
- 40_Box
- -
- TW
- -
- LD
5. Discussion
6. Conclusions
Author Contributions
Funding
Institutional Review Board Statement
Informed Consent Statement
Data Availability Statement
Acknowledgments
Conflicts of Interest
References
- Republic of Korea. Act on the Development, Management, etc. of Marinas. Available online: https://www.law.go.kr (accessed on 1 April 2021).
- Jeong, J.Y.; Cho, G.; Yoon, J. Trend analysis on Korea’s National R&D in logistics. J. Ocean. Eng. Technol. 2020, 34, 461–468. [Google Scholar]
- Chatterjee, I.; Cho, G. Port Container Terminal Quay Crane Allocation Based on Simulation and Machine Learning Method. Sens. Mater. 2022, 34, 843–853. [Google Scholar] [CrossRef]
- Steenken, D.; Voß, S.; Stahlbock, R. Container terminal operation and operations research-a classification and literature review. OR Spectr. 2004, 26, 3–49. [Google Scholar]
- Bierwirth, C.; Meisel, F. A survey of berth allocation and quay crane scheduling problems in container terminals. European J. Oper. Res. 2010, 202, 615–627. [Google Scholar] [CrossRef]
- Gharehgozli, A.H.; Roy, D.; De Koster, R. Sea container terminals: New technologies and OR models. Marit. Econ. Logist. 2016, 18, 103–140. [Google Scholar] [CrossRef]
- Xie, Y.; Huynh, N. Kernel-based machine learning models for predicting daily truck volume at seaport terminals. J. Transp. Eng. 2010, 136, 1145–1152. [Google Scholar] [CrossRef]
- Gosasang, V.; Chandraprakaikul, W.; Kiattisin, S. A comparison of traditional and neural networks forecasting techniques for container throughput at Bangkok port. Asian J. Shipp. Logist. 2011, 27, 463–482. [Google Scholar] [CrossRef]
- Kim, T.; Lee, W.D. Review on Applications of Machine Learning in Coastal and Ocean Engineering. J. Ocean. Eng. Technol. 2022, 36, 194–210. [Google Scholar] [CrossRef]
- Yang, W.; Wang, K.; Zuo, W. Fast neighborhood component analysis. Neurocomputing 2012, 83, 31–37. [Google Scholar] [CrossRef]
- Yang, W.; Wang, K.; Zuo, W. Neighborhood component feature selection for high-dimensional data. J. Comput. 2012, 7, 161–168. [Google Scholar] [CrossRef]
- Bonaccorso, G. Machine Learning Algorithms; Packt Publishing Ltd.: Birmingham, UK, 2017. [Google Scholar]
- Kumar, A.; Chatterjee, I. Data Mining: An experimental approach with WEKA on UCI Dataset. Int. J. Comput. Appl. 2016, 138, 13. [Google Scholar] [CrossRef]
- Quinlan, J.R. Learning decision tree classifiers. ACM Comput. Surv. 1996, 28, 71–72. [Google Scholar] [CrossRef]
- Izenman, A.J. Linear discriminant analysis. In Modern Multivariate Statistical Techniques; Springer: New York, NY, USA, 2013; pp. 237–280. [Google Scholar]
- Srivastava, S.; Gupta, M.R.; Frigyik, B.A. Bayesian quadratic discriminant analysis. J. Mach. Learn. Res. 2007, 8, 1277–1305. [Google Scholar]
- Suthaharan, S. Support vector machine. In Machine Learning Models and Algorithms for Big Data Classification; Springer: Boston, MA, USA, 2016; pp. 207–235. [Google Scholar]
- Hu, Q.; Yu, D.; Xie, Z. Neighborhood classifiers. Expert Syst. Appl. 2008, 34, 866–876. [Google Scholar] [CrossRef]
- Zięba, M.; Tomczak, S.K.; Tomczak, J.M. Ensemble boosted trees with synthetic features generation in application to bankruptcy prediction. Expert Syst. Appl. 2016, 58, 93–101. [Google Scholar] [CrossRef]
- Dietterich, T.G. Ensemble methods in machine learning. In International Workshop on Multiple Classifier Systems; Springer: Berlin/Heidelberg, Germany, 2000; pp. 1–15. [Google Scholar]
- Shin, J. Random subspace ensemble learning for functional near-infrared spectroscopy brain-computer interfaces. Front. Hum. Neurosci. 2020, 14, 236. [Google Scholar] [CrossRef] [PubMed]











| ID | Arrival Time | Departure Time | Total Stay Time (s) |
|---|---|---|---|
| ANEA002/20XX | 20XX-03-05 01:03:00 | 20XX-03-05 18:00:00 | 61,020 |
| ANEA003/20XX | 20XX-03-12 00:40:00 | 20XX-03-12 19:00:00 | 66,000 |
| ANEA003/20XX | 20XX-03-12 00:40:00 | 20XX-03-12 19:00:00 | 66,000 |
| ANEA003/20XX | 20XX-03-12 00:40:00 | 20XX-03-12 19:00:00 | 66,000 |
| ANEA003/20XX | 20XX-03-12 00:40:00 | 20XX-03-12 19:00:00 | 66,000 |
| ANEA004/20XX | 20XX-03-20 12:53:00 | 20XX-03-21 10:00:00 | 76,020 |
| ANEA004/20XX | 20XX-03-20 12:53:00 | 20XX-03-21 10:00:00 | 76,020 |
| ANEA004/20XX | 20XX-03-20 12:53:00 | 20XX-03-21 10:00:00 | 76,020 |
| ANEA004/20XX | 20XX-03-20 12:53:00 | 20XX-03-21 10:00:00 | 76,020 |
| ANEA005/20XX | 20XX-03-29 23:38:00 | 20XX-03-31 00:00:00 | 87,720 |
| ANEA005/20XX | 20XX-03-29 23:38:00 | 20XX-03-31 00:00:00 | 87,720 |
| ANEA005/20XX | 20XX-03-29 23:38:00 | 20XX-03-31 00:00:00 | 87,720 |
| ANEA005/20XX | 20XX-03-29 23:38:00 | 20XX-03-31 00:00:00 | 87,720 |
| APXX003/20XX | 20XX-03-28 07:00:00 | 20XX-03-29 09:00:00 | 93,600 |
| APXX003/20XX | 20XX-03-28 07:00:00 | 20XX-03-29 09:00:00 | 93,600 |
| APXX003/20XX | 20XX-03-28 07:00:00 | 20XX-03-29 09:00:00 | 93,600 |
| APXX003/20XX | 20XX-03-28 07:00:00 | 20XX-03-29 09:00:00 | 93,600 |
| APXX003/20XX | 20XX-03-28 07:00:00 | 20XX-03-29 09:00:00 | 93,600 |
| ATGI002/20XX | 20XX-03-19 01:58:00 | 20XX-03-20 02:00:00 | 86,520 |
| ATGI002/20XX | 20XX-03-19 01:58:00 | 20XX-03-20 02:00:00 | 86,520 |
| ATGI002/20XX | 20XX-03-19 01:58:00 | 20XX-03-20 02:00:00 | 86,520 |
| ATGI002/20XX | 20XX-03-19 01:58:00 | 20XX-03-20 02:00:00 | 86,520 |
| ATGI002/20XX | 20XX-03-19 01:58:00 | 20XX-03-20 02:00:00 | 86,520 |
| ATGI003/20XX | 20XX-03-28 09:20:00 | 20XX-03-29 04:00:00 | 67,200 |
| ATGI003/20XX | 20XX-03-28 09:20:00 | 20XX-03-29 04:00:00 | 67,200 |
| ATGI003/20XX | 20XX-03-28 09:20:00 | 20XX-03-29 04:00:00 | 67,200 |
| ATGI003/20XX | 20XX-03-28 09:20:00 | 20XX-03-29 04:00:00 | 67,200 |
| ATSO006/20XX | 20XX-02-28 16:30:00 | 20XX-03-01 10:00:00 | 63,000 |
| ATSO006/20XX | 20XX-02-28 16:30:00 | 20XX-03-01 10:00:00 | 63,000 |
| ATSO006/20XX | 20XX-02-28 16:30:00 | 20XX-03-01 10:00:00 | 63,000 |
| ATSO007/20XX | 20XX-03-08 20:52:00 | 20XX-03-09 18:00:00 | 76,080 |
| ATSO007/20XX | 20XX-03-08 20:52:00 | 20XX-03-09 18:00:00 | 76,080 |
| Number | Parameters | Definition |
|---|---|---|
| 1 | IMPORT_BOXES | Number of Import Boxes |
| 2 | EXPORT_BOXES | Number of Export Boxes |
| 3 | TEU | Number of TEU |
| 4 | Bay | Number of Bays in Yard |
| 5 | TIERS | Number of Tiers in Yard |
| 6 | Discharging (%) | The ratio of Discharging Containers |
| 7 | 4000% Discharging | Number of Discharging Containers |
| 8 | MTY Discharging | Number of Empty Discharging Containers |
| 9 | Reefer Discharging | Number of Reefer Discharging Containers |
| 10 | Dangerous Discharging | Number of Dangerous Discharging Containers |
| 11 | Over Discharging | Number of Over Discharging Containers |
| 12 | % Loading | The ratio of Loading Containers |
| 13 | 4000% Loading | Number of Loading Containers |
| 14 | MTY Loading | Number of Empty Loading Containers |
| 15 | Reefer Loading | Number of Reefer Loading Containers |
| 16 | Dangerous Loading | Number of Dangerous Loading Containers |
| 17 | Over Loading | Number of Over Loading Containers |
| 18 | 2000% Discharging single lift | Number of Discharging Single Containers |
| 19 | 2000% Discharging twin | Number of Discharging Two Containers |
| 20 | 4000% Discharging single | Number of Discharging Single Containers |
| 21 | 2000% Loading Single lift | Number of Loading Single Containers |
| 22 | 4000% Loading twin | Number of Loading Two Containers |
| 23 | Loading single | Number of Loading Single Containers |
| 24 | DS | Number of Discharging Containers |
| 25 | 20BOX | Number of 20ft Containers |
| 26 | 40BOX | Number of 40ft Containers |
| 27 | MTY | Number of Empty Containers |
| 28 | IMDG | Number of International Maritime Dangerous Goods Containers |
| 29 | REEFER | Number of Reefer Containers |
| 30 | OOG | Number of Discharging Gages |
| 31 | TW | Number of Twin Containers (Two 20ft Containers) |
| 32 | LD | Number of Loading Containers |
| 33 | L_20BOX | Number of Loading 20boxes |
| 34 | L_40BOX | Number of Loading 40boxes |
| 35 | L_MTY | Number of Loading MTY Containers |
| 36 | L_IMDG | Number of Loading IMDG Containers |
| 37 | L_REEFER | Number of Loading Reefer Containers |
| 38 | L_OOG | Number of Loading OOG Containers |
| 39 | L_TW | Number of Loading TW (Twin Containers) |
| DT | LDA | QDA | L-SVM | Q-SVM | C-SVM | G-SVM | k-NN | BSE | BGE | SDE | |
|---|---|---|---|---|---|---|---|---|---|---|---|
| Accuracy | 87.50% | 90.90% | 92.60% | 97.60% | 96.80% | 95.50% | 93.90% | 91.40% | 90.40% | 92.60% | 91.80% |
| AUC | 0.95 | 1 | 0.99 | 1 | 1 | 1 | 1 | 0.98 | 0.99 | 0.99 | 1 |
Publisher’s Note: MDPI stays neutral with regard to jurisdictional claims in published maps and institutional affiliations. |
© 2022 by the authors. Licensee MDPI, Basel, Switzerland. This article is an open access article distributed under the terms and conditions of the Creative Commons Attribution (CC BY) license (https://creativecommons.org/licenses/by/4.0/).
Share and Cite
Chatterjee, I.; Cho, G. Development of a Machine Learning-Based Framework for Predicting Vessel Size Based on Container Capacity. Appl. Sci. 2022, 12, 9999. https://doi.org/10.3390/app12199999
Chatterjee I, Cho G. Development of a Machine Learning-Based Framework for Predicting Vessel Size Based on Container Capacity. Applied Sciences. 2022; 12(19):9999. https://doi.org/10.3390/app12199999
Chicago/Turabian StyleChatterjee, Indranath, and Gyusung Cho. 2022. "Development of a Machine Learning-Based Framework for Predicting Vessel Size Based on Container Capacity" Applied Sciences 12, no. 19: 9999. https://doi.org/10.3390/app12199999
APA StyleChatterjee, I., & Cho, G. (2022). Development of a Machine Learning-Based Framework for Predicting Vessel Size Based on Container Capacity. Applied Sciences, 12(19), 9999. https://doi.org/10.3390/app12199999

