Effect of Volume Fraction of Fine Sand on Magnetorheological Response and Blocking Mechanisms of Cementitious Mixtures Containing Fe3O4 Nanoparticles
Abstract
1. Introduction
2. Experimental Programme
2.1. Materials
2.2. Methodology
2.2.1. Particle Packing Density
2.2.2. Oscillatory Time Sweep Test
2.2.3. Pressure-Driven Flow Test
3. Results and Discussion
3.1. Particle Packing Density and Excess Water Ratio
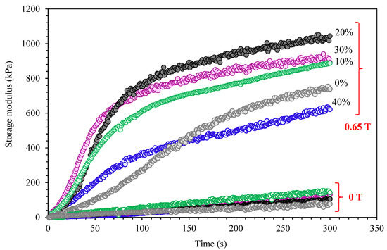
3.2. Storage Modulus
3.3. Flow Rate
4. Conclusions
- (1)
- The magnetorheological response, measured using the oscillatory time sweep tests, increases with increasing volume fraction of sand until a threshold value after which the presence of fine aggregates begins to limit the movement of the MNPs.
- (2)
- Using ASC, the flow rate is significantly reduced for all mixtures due to the formation of magnetic clusters at the outflow. However, the flow reduction is reduced when the sand concentration is low in comparison to the reference paste.
- (3)
- The filtration of the interstitial fluid caused by clogging effects at higher aggregate content can be reduced or eliminated when the ASC methodology is applied due to the pore refinement resulting from the formation of magnetic clusters.
Author Contributions
Funding
Data Availability Statement
Acknowledgments
Conflicts of Interest
References
- de Schutter, G. Smart Casting of Concrete Structures by Active Control of Rheology (SmartCast); Grant Project 693755, 2016–2021; European Commission: Luxembourg, 2016. [Google Scholar]
- de Schutter, G. SmartCast: Smart Casting of Concrete Structures. 17 October 2017. Available online: https://youtu.be/ZgVwNkyvJFg (accessed on 17 October 2017).
- De Schutter, G.; Lesage, K. Active control of properties of concrete: A (p)review. Mater. Struct. 2018, 51, 123. [Google Scholar] [CrossRef] [PubMed]
- de Schutter, G.; Lesage, K.; el Cheikh, K.; de Schryver, R.; Muhammad, M.; Chibulu, C. Introduction to the concept of active rheology control in case of pumping of cementitious materials. In Proceedings of the 2nd International RILEM Conference Rheology and Processing of Construction Materials, Dresden, Germany, 8–11 September 2019. [Google Scholar]
- Jiao, D.; El Cheikh, K.; Shi, C.; Lesage, K.; De Schutter, G. Structural build-up of cementitious paste with nano-Fe3O4 under time-varying magnetic fields. Cem. Concr. Res. 2019, 124, 105857. [Google Scholar] [CrossRef]
- Jiao, D.; Lesage, K.; Yardimci, M.; El Cheikh, K.; Shi, C.; De Schutter, G. Rheological Properties of Cement Paste with Nano-Fe3O4 under Magnetic Field: Flow Curve and Nanoparticle Agglomeration. Materials 2020, 13, 5164. [Google Scholar] [CrossRef] [PubMed]
- Jiao, D.; Lesage, K.; Yardimci, M.Y.; El Cheikh, K.; Shi, C.; De Schutter, G. Structural evolution of cement paste with nano-Fe3O4 under magnetic field—Effect of concentration and particle size of nano-Fe3O4. Cem. Concr. Compos. 2021, 120, 104036. [Google Scholar] [CrossRef]
- Jiao, D.; Lesage, K.; Yardimci, M.Y.; EL Cheikh, K.; Shi, C.; De Schutter, G. Quantitative assessment of the influence of external magnetic field on clustering of nano-Fe3O4 particles in cementitious paste. Cem. Concr. Res. 2021, 142, 106345. [Google Scholar] [CrossRef]
- Chibulu, C.; Yardimci, M.Y.; Jiao, D.; De Schryver, R.; Lesage, K.; De Schutter, G. Active stiffening control by magnetically induced blocking in confined flow of fly ash pastes. Constr. Build. Mater. 2021, 313, 125485. [Google Scholar] [CrossRef]
- Jiao, D.; Lesage, K.; Yardimci, M.Y.; Shi, C.; De Schutter, G. Possibilities of fly ash as responsive additive in magneto-rheology control of cementitious materials. Constr. Build. Mater. 2021, 296, 123656. [Google Scholar] [CrossRef]
- Carlson, D.J. Mr Fluids and Devices in The Real World. Int. J. Mod. Phys. B 2005, 19, 1463–1470. [Google Scholar] [CrossRef]
- Gedik, E.; Kurt, H.; Recebli, Z.; Balan, C. Two-dimensional CFD simulation of magnetorheological fluid between two fixed parallel plates applied external magnetic field. Comput. Fluids 2012, 63, 128–134. [Google Scholar] [CrossRef]
- Chibulu, C.; el Cheikh, K.; Yardimci, M.Y.; de Schutter, G. Experimental Study of Formwork Tightness as a Function of Rheological Properties of SCC. In Rheology and Processing of Construction Materials; Mechtcherine, V., Khayat, K., Secrieru, E., Eds.; RheoCon 2019, SCC 2019; RILEM Bookseries; Springer: Cham, Switzerland, 2019; Volume 23, pp. 476–481. [Google Scholar]
- Banfill, P.F.G. The rheology of fresh cement and concrete—A review. In Proceedings of the 11th International Cement Chemistry Congress, Durban, South Africa, 11–16 May 2003. [Google Scholar]
- Xiao, Y.; Han, Y.; Jia, F.; Liu, H.; Li, G.; Chen, P.; Meng, X.; Bai, S. Research on clogging mechanisms of bulk materials flowing trough a bottleneck. Powder Technol. 2020, 381, 381–391. [Google Scholar] [CrossRef]
- El Cheikh, K.; Rémond, S.; Khalil, N.; Aouad, G. Numerical and experimental studies of aggregate blocking in mortar extrusion. Constr. Build. Mater. 2017, 145, 452–463. [Google Scholar] [CrossRef]
- Fung, W.; Kwan, A. Effect of particle interlock on flow of aggregate through opening. Powder Technol. 2014, 253, 198–206. [Google Scholar] [CrossRef]
- Perrot, A.; Rangeard, D.; Mélinge, Y.; Estellé, P.; Lanos, C. Extrusion Criterion for Firm Cement-Based Materials. Appl. Rheol. 2009, 19, 53042. [Google Scholar]
- Samal, S.; Škodová, M.; Blanco, I. Effects of Filler Distribution on Magnetorheological Silicon-Based Composites. Materials 2019, 12, 3017. [Google Scholar] [CrossRef]
- Ferraris, C.; Martys, N.S. Concrete Rheometers. In Understanding the Rheology of Concrete; Woodhead Publishing Limited: Cambridge, UK, 2012; pp. 63–82. [Google Scholar]
- Fung, W.W.S.; Kwan, A.K.H.; Wong, H.H.C. Wet packing of crushed rock fine aggregate. Mater. Struct. 2009, 42, 631–643. [Google Scholar] [CrossRef]
- Fennis, S.A.A.M.; Walraven, J.C.; Nijland, T.G. Measuring the packing density to lower the cement content in concrete. In Tailor Made Concrete Structures; Taylor & Francis Group: London, UK, 2008; pp. 419–424. [Google Scholar]
- Dai, X.; Aydin, S.; Yardimci, M.Y.; Qiang, R.; Lesage, K.; De Schutter, G. Rheology, early-age hydration and microstructure of alkali-activated GGBFS-Fly ash-limestone mixtures. Cem. Concr. Compos. 2021, 124, 104244. [Google Scholar] [CrossRef]
- Raj, N.; Patil, S.G.; Bhattacharjee, B. Concrete Mix Design by Packing Density Method. J. Mech. Civ. Eng. (IOSR-JMCE) 2014, 11, 34–46. [Google Scholar] [CrossRef]
- Hajalilou, A.; Mazlan, S.A.; Lavvafi, H.; Shameli, K. Field Responsive Fluids as Smart Materials; Springer Nature: Singapore, 2016. [Google Scholar]
- Goncalves, F.D.; Carlson, J.D. An alternate operation mode for MR fluids—Magnetic gradient pinch. J. Physics Conf. Ser. 2009, 149, 01250. [Google Scholar] [CrossRef]
- Wong, H.H.C.; Kwan, A.K.H. Packing density of cementitious materials: Measurement and modelling. Mag. Concr. Res. 2008, 60, 165–175. [Google Scholar] [CrossRef]
- Wong, V.; Chan, K.W.; Kwan, A.K.H. Applying Theories of Particle Packing and Rheology to Concrete for Sustainable Development. Organ. Technol. Manag. Constr. Int. J. 2013, 5, 844–851. [Google Scholar] [CrossRef]
- Jiao, D.; Lesage, K.; Yardimci, M.Y.; el Cheikh, K.; Shi, C.; de Schutter, G. Rheological behavior of cement paste with nano-Fe3O4 under magnetic field: Magneto-rheological responses and conceptual calculations. Cem. Concr. Compos. 2021, 120, 104035. [Google Scholar] [CrossRef]
- Ghoddousi, P.; Javid, A.A.S.; Sobhani, J. Effects of particle packing density on the stability and rheology of self-consolidating concrete containing mineral admixtures. Constr. Build. Mater. 2014, 53, 102–109. [Google Scholar] [CrossRef]
- Roussel, N.; Nguyen, T.; Yazoghli, O.; Coussot, P. Passing ability of fresh concrete: A probabilistic approach. Cem. Concr. Res. 2009, 39, 227–232. [Google Scholar] [CrossRef]
- Perrot, A.; Lanos, C.; Melinge, Y.; Estellé, P. Mortar physical properties evolution in extrusion flow. Rheol. Acta 2007, 46, 1065–1073. [Google Scholar] [CrossRef][Green Version]












| Element | SiO2 | Al2O3 | Fe2O3 | CaO | MgO | K2O | SO3 | Others |
|---|---|---|---|---|---|---|---|---|
| Cement | 19.4 | 6.04 | 4.12 | 61.5 | 1.25 | 5.35 | 0.48 | 1.86 |
| Sand | 99.0 | 0.06 | 0.70 | 0.02 | - | 0.30 | - | 0.06 |
| Material | Saturation Magnetisation (Ms, emu/g) | Remnant Magnetisation (Mr, emu/g) | Coercive Field (Hc, Oe) |
|---|---|---|---|
| Cement | 0.59 | 0.05 | 70.72 |
| MNP | 77.56 | 10.23 | 108.27 |
| Mix. No | W/C (-) | PCE (wt. % Cement) | VMA (wt. % Cement) | Sand (% Total Volume) | NP (% Total Volume) | Mini Slump (±5 mm) | Wet Density (g/cm3) |
|---|---|---|---|---|---|---|---|
| M0 | 0.55 | - | 0.025 | 0 | 1 | 255 | 1.91 |
| M1 | 0.55 | 0.05 | 0 | 10 | 1 | 255 | 2.01 |
| M2 | 0.55 | 0.15 | 0 | 20 | 1 | 255 | 2.03 |
| M3 | 0.55 | 0.4 | 0 | 30 | 1 | 255 | 2.13 |
| M4 | 0.55 | 1.0 | 0 | 40 | 1 | 255 | 2.16 |
| Sample | φmax | Vmin | We |
|---|---|---|---|
| M0 | 0.47 | 1.13 | 0.59 |
| M1 | 0.54 | 0.85 | 0.46 |
| M2 | 0.59 | 0.69 | 0.33 |
| M3 | 0.64 | 0.57 | 0.22 |
| M4 | 0.67 | 0.49 | 0.12 |
Publisher’s Note: MDPI stays neutral with regard to jurisdictional claims in published maps and institutional affiliations. |
© 2022 by the authors. Licensee MDPI, Basel, Switzerland. This article is an open access article distributed under the terms and conditions of the Creative Commons Attribution (CC BY) license (https://creativecommons.org/licenses/by/4.0/).
Share and Cite
Chibulu, C.; Yardimci, M.Y.; De Schutter, G. Effect of Volume Fraction of Fine Sand on Magnetorheological Response and Blocking Mechanisms of Cementitious Mixtures Containing Fe3O4 Nanoparticles. Appl. Sci. 2022, 12, 10104. https://doi.org/10.3390/app121910104
Chibulu C, Yardimci MY, De Schutter G. Effect of Volume Fraction of Fine Sand on Magnetorheological Response and Blocking Mechanisms of Cementitious Mixtures Containing Fe3O4 Nanoparticles. Applied Sciences. 2022; 12(19):10104. https://doi.org/10.3390/app121910104
Chicago/Turabian StyleChibulu, Chizya, Mert Yücel Yardimci, and Geert De Schutter. 2022. "Effect of Volume Fraction of Fine Sand on Magnetorheological Response and Blocking Mechanisms of Cementitious Mixtures Containing Fe3O4 Nanoparticles" Applied Sciences 12, no. 19: 10104. https://doi.org/10.3390/app121910104
APA StyleChibulu, C., Yardimci, M. Y., & De Schutter, G. (2022). Effect of Volume Fraction of Fine Sand on Magnetorheological Response and Blocking Mechanisms of Cementitious Mixtures Containing Fe3O4 Nanoparticles. Applied Sciences, 12(19), 10104. https://doi.org/10.3390/app121910104

