Complex Research on Amorphous Vanadium Oxide Thin Films Deposited by Gas Impulse Magnetron Sputtering
Abstract
:1. Introduction
2. Materials and Methods
3. Results and Discussion
3.1. Structure and Surface Morphology
3.2. Optical Properties
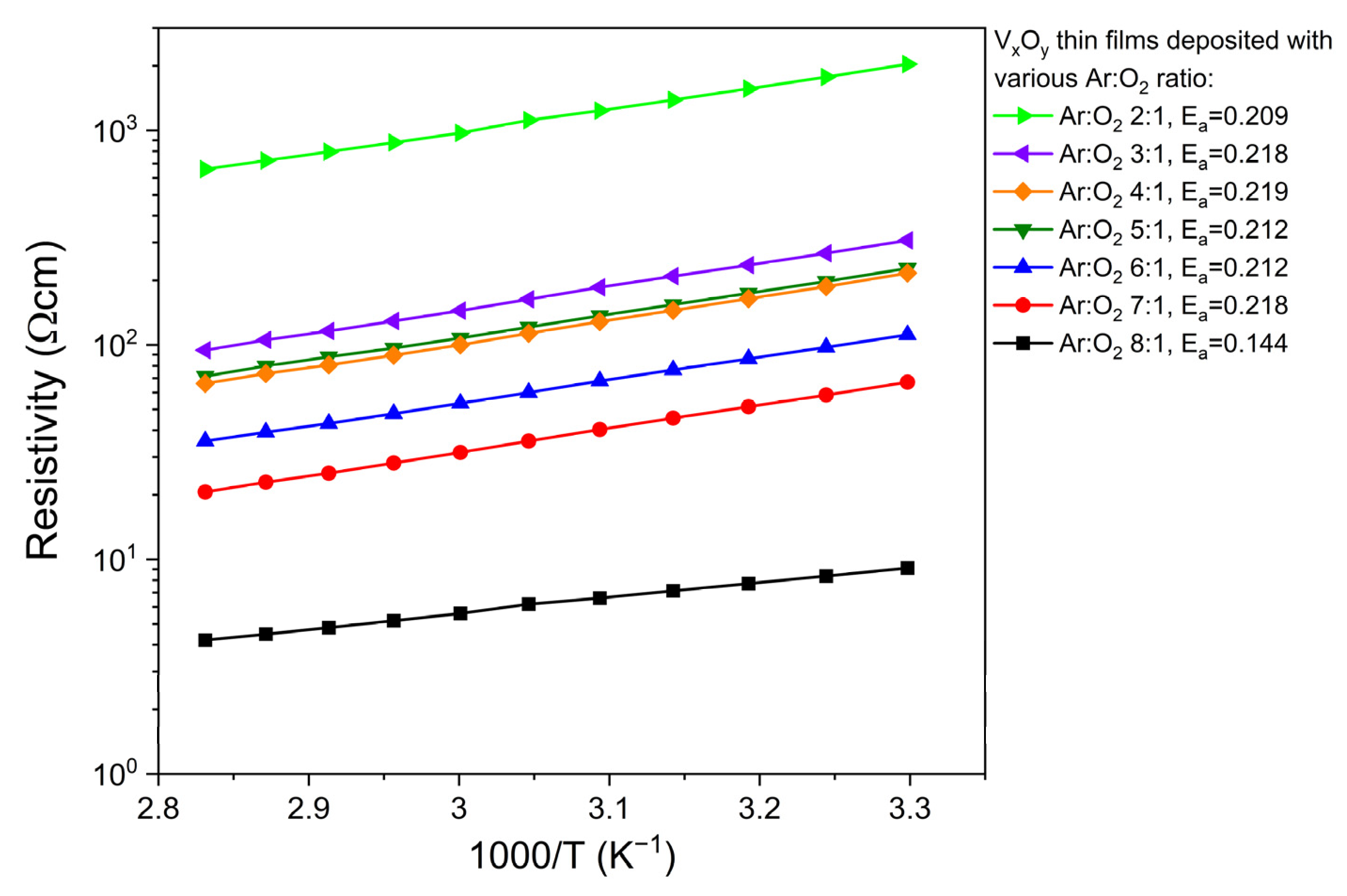
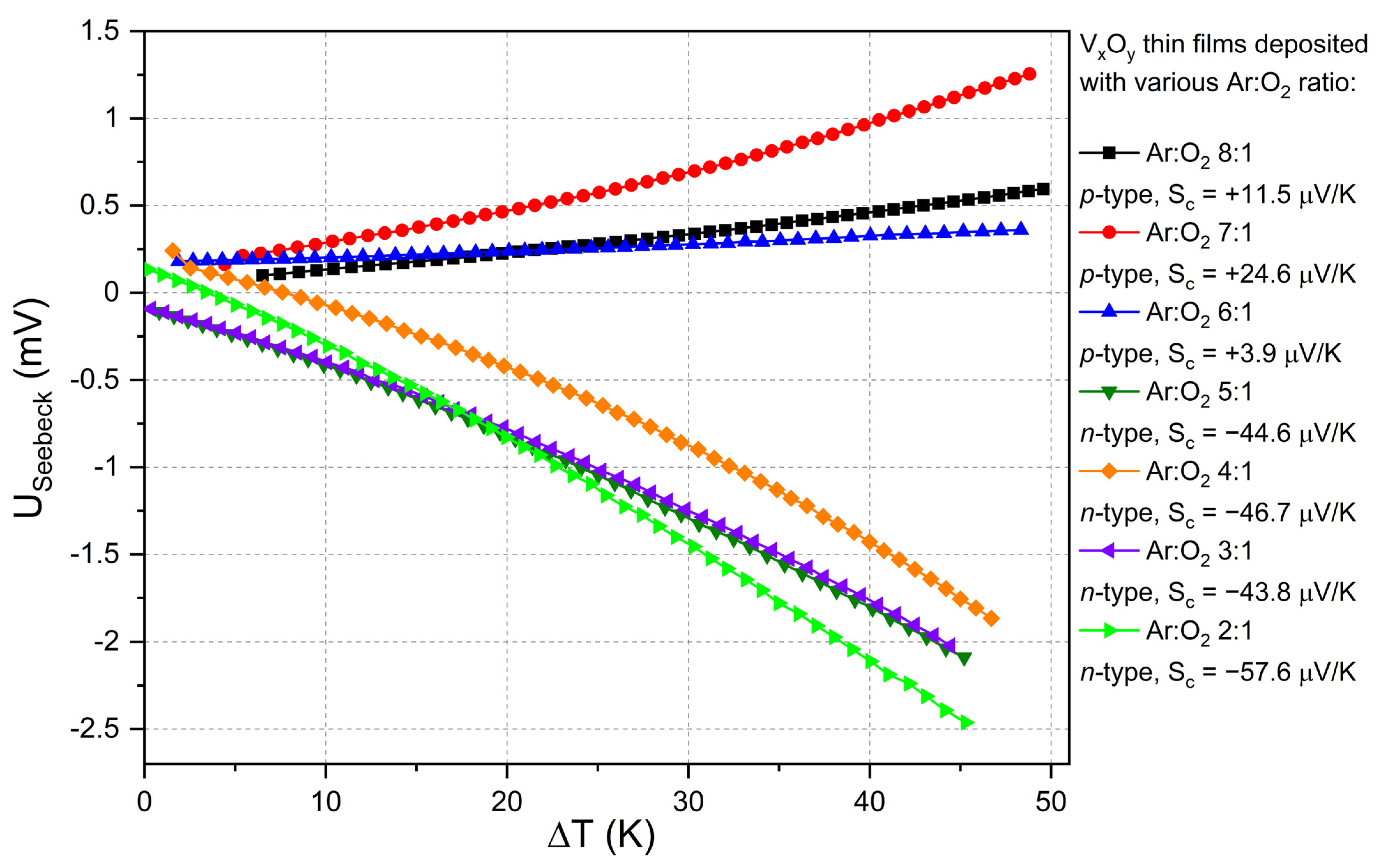
3.3. Electrical Properties
3.4. Gas Sensing Properties
3.5. Nanoindentation Measurements
4. Conclusions
Author Contributions
Funding
Institutional Review Board Statement
Informed Consent Statement
Data Availability Statement
Acknowledgments
Conflicts of Interest
References
- Hamrit, S.; Djessas, K.; Medjnoun, K.; Bouchama, I.; Saeed, M.A. Realization of High Transparent Conductive Vanadium-Doped Zinc Oxide Thin Films onto Flexible PEN Substrates by RF-Magnetron Sputtering Using Nanopowders Targets. Ceram. Int. 2021, 47, 22881–22888. [Google Scholar] [CrossRef]
- Mehmood, A.; Haidry, A.A.; Long, X.; Zhang, X. Influence of Applied Voltage on Optimal Performance and Durability of Tungsten and Vanadium Oxide Co-Sputtered Thin Films for Electrochromic Applications. Appl. Surf. Sci. 2021, 536, 147873. [Google Scholar] [CrossRef]
- Mallick, A.; Ghosh, S.; Basak, D. Highly Conducting and Transparent Low-E Window Films with High Figure of Merit Values Based on RF Sputtered Al and In Co-Doped ZnO. Mater. Sci. Semicond. Process. 2020, 119, 105240. [Google Scholar] [CrossRef]
- Krishna, M.G.; Debauge, Y.; Bhattacharya, A.K. X-ray Photoelectron Spectroscopy and Spectral Transmittance Study of Stoichiometry in Sputtered Vanadium Oxide Films. Thin Solid Films 1998, 312, 116–122. [Google Scholar] [CrossRef]
- Lee, S.; Ivanov, I.N.; Keum, J.K.; Lee, H.N. Epitaxial Stabilization and Phase Instability of VO2 Polymorphs. Sci. Rep. 2016, 6, 19621. [Google Scholar] [CrossRef]
- Zhu, M.; Zhang, D.; Jiang, S.; Liu, S.; Qi, H.; Yang, Y. Phase Evolution and Thermochromism of Vanadium Oxide Thin Films Grown at Low Substrate Temperatures during Magnetron Sputtering. Ceram. Int. 2021, 47, 15491–15499. [Google Scholar] [CrossRef]
- Vu, T.D.; Liu, S.; Zeng, X.; Li, C.; Long, Y. High-Power Impulse Magnetron Sputtering Deposition of High Crystallinity Vanadium Dioxide for Thermochromic Smart Windows Applications. Ceram. Int. 2020, 46, 8145–8153. [Google Scholar] [CrossRef]
- Nag, J.; Haglund, R.F. Synthesis of Vanadium Dioxide Thin Films and Nanoparticles. J. Condens. Matter Phys. 2008, 20, 264016. [Google Scholar] [CrossRef]
- Wruck, D.; Ramamurthi, S.; Rubin, M. Sputtered Electrochromic V2O5 Films. Thin Solid Films 1989, 182, 79–86. [Google Scholar] [CrossRef]
- Schneider, K.; Lubecka, M.; Czapla, A. V2O5 Thin Films for Gas Sensor Applications. Sens. Actuators B 2016, 236, 970–977. [Google Scholar] [CrossRef]
- Zhuiykov, S.; Wlodarski, W.; Li, Y. Nanocrystalline V2O5–TiO2 Thin-Films for Oxygen Sensing Prepared by Sol–Gel Process. Sens. Actuators B 2001, 77, 484–490. [Google Scholar] [CrossRef]
- Yan, W.; Hu, M.; Wang, D.; Li, C. Room Temperature Gas Sensing Properties of Porous Silicon/V2O5 Nanorods Composite. Appl. Surf. Sci. 2015, 346, 216–222. [Google Scholar] [CrossRef]
- Jin, W.; Yan, S.; An, L.; Chen, W.; Yang, S.; Zhao, C.; Dai, Y. Enhancement of Ethanol Gas Sensing Response Based on Ordered V2O5 Nanowire Microyarns. Sens. Actuators B 2015, 206, 284–290. [Google Scholar] [CrossRef]
- Rizzo, G.; Arena, A.; Bonavita, A.; Donato, N.; Neri, G.; Saitta, G. Gasochromic Response of Nanocrystalline Vanadium Pentoxide Films Deposited from Ethanol Dispersions. Thin Solid Films 2010, 518, 7124–7127. [Google Scholar] [CrossRef]
- Dong, X.; Su, Y.; Wu, Z.; Xu, X.; Xiang, Z.; Shi, Y.; Chen, W.; Dai, J.; Huang, Z.; Wang, T.; et al. Reactive Pulsed DC Magnetron Sputtering Deposition of Vanadium Oxide Thin Films: Role of Pulse Frequency on the Film Growth and Properties. Appl. Surf. Sci. 2021, 562, 150138. [Google Scholar] [CrossRef]
- Chen, Z.; Gao, Y.; Kang, L.; Du, J.; Zhang, Z.; Luo, H.; Miao, H.; Tan, G. VO2-Based Double-Layered Films for Smart Windows: Optical Design, All-Solution Preparation and Improved Properties. Sol. Energy Mater. Sol. Cells 2011, 95, 2677–2684. [Google Scholar] [CrossRef]
- Soltani, M.; Chaker, M.; Haddad, E.; Kruzelesky, R. 1 × 2 Optical Switch Devices Based on Semiconductor-to-Metallic Phase Transition Characteristics of VO2 Smart Coatings. Meas. Sci. Technol. 2006, 17, 1052–1056. [Google Scholar] [CrossRef]
- Ishizaki, H.; Nakajima, T.; Shinoda, K.; Tohyama, S.; Kurashina, S.; Miyoshi, M.; Sasaki, T.; Tsuchiya, T. Improvement of Temperature Coefficient of Resistance of a VO2 Film on an SiN/Polyimide/Si Substrate by Excimer Laser Irradiation for IR Sensors. Jpn. J. Appl. Phys. 2014, 53, 05FB15. [Google Scholar] [CrossRef]
- Ren, W.; Huang, W.; Zhu, H.; Wang, D.; Zhu, L.G.; Shi, Q. Flexible VO2/Mica Thin Films with Excellent Phase Transition Properties Fabricated by RF Magnetron Sputtering. Vacuum 2021, 192, 110407. [Google Scholar] [CrossRef]
- Qiao, Y.; Chen, J.; Lu, Y.; Yang, X.; Yang, H.; Xu, K. Fabrication of Low Phase Transition Temperature Vanadium Oxide Films by Direct Current Reactive Magnetron Sputtering and Oxidation Post-Anneal Method. Infrared Phys. Technol. 2014, 67, 126–130. [Google Scholar] [CrossRef]
- Juan, P.C.; Lin, K.C.; Lin, C.L.; Tsai, C.A.; Chen, Y.C. Low Thermal Budget Annealing for Thermochromic VO2 Thin Films Prepared by High Power Impulse Magnetron Sputtering. Thin Solid Films 2019, 687, 137443. [Google Scholar] [CrossRef]
- Bukhari, S.A.; Kumar, S.; Kumar, P.; Gumfekar, S.P.; Chung, H.J.; Thundat, T.; Goswami, A. The Effect of Oxygen Flow Rate on Metal–Insulator Transition (MIT) Characteristics of Vanadium Dioxide (VO2) Thin Films by Pulsed Laser Deposition (PLD). Appl. Surf. Sci. 2020, 529, 146995. [Google Scholar] [CrossRef]
- Fieldhouse, N.; Pursel, S.M.; Horn, M.W.; Bharadwaja, S.S.N. Electrical Properties of Vanadium Oxide Thin Films for Bolometer Applications: Processed by Pulse Dc Sputtering. J. Phys. D Appl. Phys. 2009, 42, 055408. [Google Scholar] [CrossRef]
- Luo, Z.; Wu, Z.; Xu, X.; Wang, T.; Jiang, Y. Electrical and Optical Properties of Nanostructured VOX Thin Films Prepared by Direct Current Magnetron Reactive Sputtering and Post-Annealing in Oxygen. Thin Solid Films 2011, 519, 6203–6207. [Google Scholar] [CrossRef]
- Jang, W.L.; Lu, Y.M.; Lu, Y.R.; Chen, C.L.; Dong, C.L.; Chou, W.C.; Chen, J.L.; Chan, T.S.; Lee, J.F.; Pao, C.W.; et al. Effects of Oxygen Partial Pressure on Structural and Gasochromic Properties of Sputtered VOx Thin Films. Thin Solid Films 2013, 544, 448–451. [Google Scholar] [CrossRef]
- Koussi, E.K.; Bourquard, F.; Tite, T.; Jamon, D.; Garrelie, F.; Jourlin, Y. Synthesis of Vanadium Oxides by Pulsed Laser Deposition and Rapid Thermal Annealing. Appl. Surf. Sci. 2020, 521, 146267. [Google Scholar] [CrossRef]
- Li, J.; An, Z.; Zhang, W.; Hui, L.; Qin, Z.; Feng, H. Thermochromatic Vanadium Dioxide (VO2) Thin Films Synthesized by Atomic Layer Deposition and Post-Treatments. Appl. Surf. Sci. 2020, 529, 147108. [Google Scholar] [CrossRef]
- Rupp, J.A.J.; Janod, E.; Besland, M.P.; Corraze, B.; Kindsmüller, A.; Querré, M.; Tranchant, J.; Cario, L.; Dittmann, R.; Waser, R.; et al. Competition between V2O3 Phases Deposited by One-Step Reactive Sputtering Process on Polycrystalline Conducting Electrode. Thin Solid Films 2020, 705, 138063. [Google Scholar] [CrossRef]
- Thornton, J.A. The Microstructure of Sputter-Deposited Coatings. J. Vac. Sci. Technol. A 1986, 4, 3059–3065. [Google Scholar] [CrossRef]
- Mazur, M.; Wojcieszak, D.; Wiatrowski, A.; Kaczmarek, D.; Lubańska, A.; Domaradzki, J.; Mazur, P.; Kalisz, M. Analysis of Amorphous Tungsten Oxide Thin Films Deposited by Magnetron Sputtering for Application in Transparent Electronics. Appl. Surf. Sci. 2021, 570, 151151. [Google Scholar] [CrossRef]
- De Castro, M.S.B.; Ferreira, C.L.; de Avillez, R.R. Vanadium Oxide Thin Films Produced by Magnetron Sputtering from a V2O5 Target at Room Temperature. Infrared Phys. Technol. 2013, 60, 103–107. [Google Scholar] [CrossRef]
- Tashtoush, N.; Tashtoush, N.M.; Kasasbeh, O. Optical Properties of Vanadium Pentoxide Thin Films Prepared by Thermal Evaporation Method Optical Properties of Vanadium Pentoxide. Jordan J. Pharm. Sci. 2013, 6, 7–15. [Google Scholar]
- Ghanashyam Krishna, M.; Bhattacharya, A. B Effect of Thickness on the Optical Absorption Edge of Sputtered Vanadium Oxide Films. Mater. Sci. Eng. B 1997, 49, 166–171. [Google Scholar] [CrossRef]
- Ramana, C.V.; Smith, R.J.; Hussain, O.M. Grain Size Effects on the Optical Characteristics of Pulsed-Laser Deposited Vanadium Oxide Thin Films. Phys. Status Solidi A 2003, 199, R4–R6. [Google Scholar] [CrossRef]
- Benmoussa, M.; Ibnouelghazi, E.; Bennouna, A.; Ameziane, E.L. Structural, Electrical and Optical Properties of Sputtered Vanadium Pentoxide Thin Films. Thin Solid Films 1995, 265, 22–28. [Google Scholar] [CrossRef]
- Kenny, N.; Kannewurf, C.R.; Whitmore, D.H. Optical Absorption Coefficients of Vanadium Pentoxide Single Crystals. J. Phys. Chem. Solids 1966, 27, 1237–1246. [Google Scholar] [CrossRef]
- Cogan, S.F.; Nguyen, N.M.; Perrotti, S.J.; Rauh, R.D. Optical Properties of Electrochromic Vanadium Pentoxide. J. Appl. Phys. 1989, 66, 1333–1337. [Google Scholar] [CrossRef]
- Clauws, P.; Vennik, J. Optical Absorption of Defects in V2O5 Single Crystals: As-Grown and Reduced V2O5. Phys. Status Solidi B 1974, 66, 553–560. [Google Scholar] [CrossRef]
- Tashtoush, N.M.; Sheiab, A.; Jafar, M.; Momani, S. Determining Optical Constants of Sol-Gel Vanadium Pentoxide Thin Films Using Transmittance and Reflectance Spectra. Int. J. Appl. Sci. 2019, 2, 59–64. [Google Scholar] [CrossRef]
- Pooyodying, P.; Son, Y.H.; Sung, Y.M.; Ok, J.W. The Effect of Sputtering Ar Gas Pressure on Optical and Electrical Properties of Flexible ECD Device with WO3 Electrode Deposited by RF Magnetron Sputtering on ITO/PET Substrate. Opt. Mater. 2022, 123, 111829. [Google Scholar] [CrossRef]
- Schneider, K. Optical Properties and Electronic Structure of V2O5, V2O3 and VO2. J. Mater. Sci.–Mater. Electron. 2020, 31, 10478–10488. [Google Scholar] [CrossRef]
- Tolhurst, T.M.; Leedahl, B.; Andrews, J.L.; Banerjee, S.; Moewes, A. The Electronic Structure of ′-V2O5: An Expanded Band Gap in a Double-Layered Polymorph with Increased Interlayer Separation. J. Mater. Chem. 2017, 5, 23694–23703. [Google Scholar] [CrossRef]
- Beke, S. A Review of the Growth of V2O5 Films from 1885 to 2010. Thin Solid Films 2011, 519, 1761–1771. [Google Scholar] [CrossRef]
- Ramana, C.V.; Hussain, O.M.; Naidu, B.S.; Reddy, P.J. Spectroscopic Characterization of Electron-Beam Evaporated V205 Thin Films. Thin Solid Films 1997, 305, 219–226. [Google Scholar] [CrossRef]
- Chain, E.E. Optical Properties of Vanadium Dioxide and Vanadium Pentoxide Thin Films. Appl. Opt. 1991, 30, 2782–2787. [Google Scholar] [CrossRef] [PubMed]
- Dong, X.; Wu, Z.; Xu, X.; Wang, T.; Jiang, Y. Effects of Duty Cycle and Oxygen Flow Rate on the Formation and Properties of Vanadium Oxide Films Deposited by Pulsed Reactive Sputtering. Vacuum 2014, 104, 97–104. [Google Scholar] [CrossRef]
- Lourenco, A.; Gorenstein, A.; Passerini, S.; Smyrl, W.H.; Fantini, M.C.A.; Tabacniks, M.H. Radio-Frequency Reactively Sputtered VOx Thin Films Deposited at Different Oxygen Flows. J. Electrochem. Soc. 1998, 145, 706. [Google Scholar] [CrossRef]
- Mohite, S.V.; Rajpure, K.Y. Synthesis and Characterization of Sb Doped ZnO Thin Films for Photodetector Application. Opt. Mater. 2014, 36, 833–838. [Google Scholar] [CrossRef]
- Mustafa Öksüzoǧlu, R.; Bilgiç, P.; Yildirim, M.; Deniz, O. Influence of Post-Annealing on Electrical, Structural and Optical Properties of Vanadium Oxide Thin Films. Opt. Laser Technol. 2013, 48, 102–109. [Google Scholar] [CrossRef]
- Choi, S.G.; Seok, H.J.; Rhee, S.; Hahm, D.; Bae, W.K.; Kim, H.K. Magnetron-Sputtered Amorphous V2O5 Hole Injection Layer for High Performance Quantum Dot Light-Emitting Diode. J. Alloys Compd. 2021, 878, 160303. [Google Scholar] [CrossRef]
- Zhou, X.; Wu, Y.; Yan, F.; Zhang, T.; Ke, X.; Meng, K.; Xu, X.; Li, Z.; Miao, J.; Chen, J.; et al. Revealing the High Sensitivity in the Metal Toinsulator Transition Properties of the Pulsed Laser Deposited VO2 Thin Films. Ceram. Int. 2021, 47, 25574–25579. [Google Scholar] [CrossRef]
- Gu, H.; Wang, Z.; Hu, Y. Hydrogen Gas Sensors Based on Semiconductor Oxide Nanostructures. Sensors 2012, 12, 5517–5550. [Google Scholar] [CrossRef] [PubMed]
- Mounasamy, V.; Mani, G.K.; Madanagurusamy, S. Vanadium Oxide Nanostructures for Chemiresistive Gas and Vapour Sensing: A Review on State of the Art. Microchim. Acta 2020, 187, 253. [Google Scholar] [CrossRef] [PubMed]
- Zhao, M.; Ong, C.W. Improved H2-Sensing Performance of Nanocluster-Based Highly Porous Tungsten Oxide Films Operating at Moderate Temperature. Sens. Actuators B 2012, 174, 65–73. [Google Scholar] [CrossRef]
- Hübner, M.; Simion, C.E.; Tomescu-Stǎnoiu, A.; Pokhrel, S.; Bârsan, N.; Weimar, U. Influence of Humidity on CO Sensing with P-Type CuO Thick Film Gas Sensors. Sens. Actuators B 2011, 153, 347–353. [Google Scholar] [CrossRef]
- Staerz, A.; Weimar, U.; Barsan, N. Current State of Knowledge on the Metal Oxide Based Gas Sensing Mechanism. Sens. Actuators B 2022, 358, 131531. [Google Scholar] [CrossRef]
- Babar, B.M.; Pisal, K.B.; Mujawar, S.H.; Patil, V.L.; Kadam, L.D.; Pawar, U.T.; Kadam, P.M.; Patil, P.S. Concentration Modulated Vanadium Oxide Nanostructures for NO2 Gas Sensing. Sens. Actuators B 2022, 351, 130947. [Google Scholar] [CrossRef]
- Shankar, P.; Rayappan, J.B.B. Gas Sensing Mechanism of Metal Oxides: The Role of Ambient Atmosphere, Type of Semiconductor and Gases-A Review. Sci. Lett. J. 2015, 4, 126. [Google Scholar]
- Duc Hoa, N.; An, S.; Dung, N.; Quy, N.; Kim, D. Synthesis of P-Type Semiconducting Cupric Oxide Thin Films and Their Application to Hydrogen Detection. Sens. Actuators B 2010, 146, 239–244. [Google Scholar]
- Wang, G.; Yang, S.; Cao, L.; Jin, P.; Zeng, X.; Zhang, X.; Wei, J. Engineering Mesoporous Semiconducting Metal Oxides from Metal-Organic Frameworks for Gas Sensing. Coord. Chem. Rev. 2021, 445, 214086. [Google Scholar] [CrossRef]
- Duc Hoa, N.; van Quy, N.; Anh Tuan, M.; van Hieu, N. Facile Synthesis of P-Type Semiconducting Cupric Oxide Nanowires and Their Gas-Sensing Properties. Phys. E Low Dimens. Syst. Nanostruc. 2009, 42, 146–149. [Google Scholar] [CrossRef]
- Luo, Y.; Zhang, C.; Zheng, B.; Geng, X.; Debliquy, M. Hydrogen Sensors Based on Noble Metal Doped Metal-Oxide Semiconductor: A Review. Int. J. Hydrogen Energy 2017, 42, 20386–20397. [Google Scholar] [CrossRef]
- Porwal, D.; Esther, C.M.E.; Reddy, I.N.; Sridhara, N.; Yadav, N.P.; Rangappa, D.; Bera, P.; Anandan, C.; Sharma, A.K.; Dey, A. Study of the structural, thermal, optical, electrical and nanomechanical properties of sputtered oxide smart thin films. RSC Adv. 2015, 5, 35737–35745. [Google Scholar] [CrossRef]
- Fateh, N.; Fontalvo, G.A.; Mitterer, C. Structural and mechanical properties of dc and pulsed dc reactive magnetron sputtered V2O5 films. J. Phys. D Appl. Phys. 2007, 40, 7716–7719. [Google Scholar] [CrossRef]













| Ar:O2 Ratio | Deposition Rate (Å/s) | Average Transmission (%) | λcut-off (nm) | Eg (eV) | Sheet Resistance (Ω/□) | Resistivity (Ωcm) | Q |
|---|---|---|---|---|---|---|---|
| 8:1 | 2.68 | 21.8 | 371 | 2.01 | 2.99∙105 | 9.10 | 2.64∙10−8 |
| 7:1 | 2.46 | 24.5 | 386 | 1.91 | 2.06∙106 | 6.70∙101 | 1.17∙10−8 |
| 6:1 | 2.01 | 36.2 | 405 | 1.99 | 3.42∙106 | 1.11∙102 | 3.48∙10−7 |
| 5:1 | 1.79 | 39.1 | 447 | 2.00 | 6.23∙106 | 2.28∙102 | 3.64∙10−7 |
| 4:1 | 1.42 | 48.5 | 454 | 2.06 | 6.98∙106 | 2.16∙102 | 3.31∙10−6 |
| 3:1 | 1.02 | 49.9 | 466 | 2.07 | 9.44∙106 | 3.07∙102 | 3.12∙10−6 |
| 2:1 | 0.87 | 51.1 | 470 | 2.08 | 7.14∙107 | 2.04∙103 | 5.90∙10−7 |
| Ar:O2 Ratio | Working Temperature (°C) | Response Time (s) | Recovery Time (s) | Sensor Response SR (%) |
|---|---|---|---|---|
| 8:1 | 150 | 563 | 449 | 102.9–103.0 |
| 120 | 406 | 308 | 102.3–102.6 | |
| 7:1 | 150 | 598 | 452 | 102.7–102.8 |
| 120 | 638 | 217 | 102.0–102.4 | |
| 6:1 | 150 | 668 | 416 | 103.0–103.8 |
| 120 | 581 | 440 | 102.2–102.4 |
Publisher’s Note: MDPI stays neutral with regard to jurisdictional claims in published maps and institutional affiliations. |
© 2022 by the authors. Licensee MDPI, Basel, Switzerland. This article is an open access article distributed under the terms and conditions of the Creative Commons Attribution (CC BY) license (https://creativecommons.org/licenses/by/4.0/).
Share and Cite
Mazur, M.; Lubańska, A.; Domaradzki, J.; Wojcieszak, D. Complex Research on Amorphous Vanadium Oxide Thin Films Deposited by Gas Impulse Magnetron Sputtering. Appl. Sci. 2022, 12, 8966. https://doi.org/10.3390/app12188966
Mazur M, Lubańska A, Domaradzki J, Wojcieszak D. Complex Research on Amorphous Vanadium Oxide Thin Films Deposited by Gas Impulse Magnetron Sputtering. Applied Sciences. 2022; 12(18):8966. https://doi.org/10.3390/app12188966
Chicago/Turabian StyleMazur, Michał, Aneta Lubańska, Jarosław Domaradzki, and Damian Wojcieszak. 2022. "Complex Research on Amorphous Vanadium Oxide Thin Films Deposited by Gas Impulse Magnetron Sputtering" Applied Sciences 12, no. 18: 8966. https://doi.org/10.3390/app12188966
APA StyleMazur, M., Lubańska, A., Domaradzki, J., & Wojcieszak, D. (2022). Complex Research on Amorphous Vanadium Oxide Thin Films Deposited by Gas Impulse Magnetron Sputtering. Applied Sciences, 12(18), 8966. https://doi.org/10.3390/app12188966

