Sign in to use this feature.

Years

Between: -

Subjects

remove_circle_outline
remove_circle_outline
remove_circle_outline
remove_circle_outline
remove_circle_outline
remove_circle_outline
remove_circle_outline
remove_circle_outline
remove_circle_outline

Journals

remove_circle_outline
remove_circle_outline
remove_circle_outline
remove_circle_outline
remove_circle_outline
remove_circle_outline
remove_circle_outline
remove_circle_outline
remove_circle_outline
remove_circle_outline
remove_circle_outline
remove_circle_outline
remove_circle_outline
remove_circle_outline
remove_circle_outline
remove_circle_outline
remove_circle_outline
remove_circle_outline
remove_circle_outline
remove_circle_outline
remove_circle_outline
remove_circle_outline
remove_circle_outline
remove_circle_outline
remove_circle_outline
remove_circle_outline
remove_circle_outline
remove_circle_outline
remove_circle_outline
remove_circle_outline
remove_circle_outline
remove_circle_outline
remove_circle_outline

Article Types

Countries / Regions

remove_circle_outline
remove_circle_outline
remove_circle_outline
remove_circle_outline
remove_circle_outline
remove_circle_outline
remove_circle_outline
remove_circle_outline
remove_circle_outline

Search Results (14,278)

Search Parameters:
Keywords = electrical properties

Order results
Result details
Results per page
Select all
Export citation of selected articles as:
28 pages, 2666 KB  
Review
Wide Bandgap Semiconductors for Power Electronics: Comparative Properties, Applications, and Reliability of GaN and SiC Devices
by Nathaniel Viewegh, Harrison Holloway, Rainey Biggerstaff, Joseph Bruce Herzog and Christopher Martin Stanley
Hardware 2026, 4(1), 6; https://doi.org/10.3390/hardware4010006 - 18 Mar 2026
Abstract
Wide bandgap (WBG) semiconductors such as gallium nitride (GaN) and silicon carbide (SiC) have revolutionized modern power electronics by enabling devices that operate at higher voltages, temperatures, and switching frequencies than their silicon counterparts. This paper reviews the material properties, device architectures, fabrication [...] Read more.
Wide bandgap (WBG) semiconductors such as gallium nitride (GaN) and silicon carbide (SiC) have revolutionized modern power electronics by enabling devices that operate at higher voltages, temperatures, and switching frequencies than their silicon counterparts. This paper reviews the material properties, device architectures, fabrication techniques, and thermal management strategies that underpin the performance of GaN and SiC technologies. We highlight key trade-offs between GaN and SiC in terms of voltage blocking capability, switching efficiency, and thermal robustness and discussed their application in electric vehicles, renewable energy systems, and power converters. Market adoption trends and manufacturing challenges are also analyzed, with attention to cost-performance dynamics and packaging innovations. Finally, we address the critical role of thermal boundary resistance and emerging reliability solutions, providing a perspective on the future trajectory of WBG device research and commercialization. Full article
Show Figures

Figure 1

24 pages, 4400 KB  
Article
Enhancing Dielectric, Electrical, and Gas Sensing Properties of CaFeO3−δ Through Sintering Temperature Optimization
by Amina Benatia, Najwa Gouitaa, Ina Turcan, Felicia Gheorghiu, Laura-Elena Ursu, Liviu Leontie, Liliana Mitoseriu, Fatima Zahra Ahjyaje, Taj-dine Lamcharfi and Farid Abdi
Ceramics 2026, 9(3), 33; https://doi.org/10.3390/ceramics9030033 - 17 Mar 2026
Abstract
This research aims to investigate the modifications of the structural, dielectric, and sensing properties of CaFeO3−δ ceramics produced by solid-state reaction induced by varying sintering temperatures in the range of 1000–1200 °C. A single crystallographic orthorhombic (Pcmn) structure was revealed by X-ray [...] Read more.
This research aims to investigate the modifications of the structural, dielectric, and sensing properties of CaFeO3−δ ceramics produced by solid-state reaction induced by varying sintering temperatures in the range of 1000–1200 °C. A single crystallographic orthorhombic (Pcmn) structure was revealed by X-ray diffraction with Rietveld analysis, both for the powders and sintered ceramics, irrespective of the sintering temperature. The increase in the sintering temperature induces better densification and a larger grain size. Dielectric measurements reveal a pronounced enhancement of the relative permittivity, reaching 2 × 105 at 1 kHz and 330 °C for the sample sintered at 1200 °C/4 h. This composition also displays the highest electrical conductivity, 0.4 S/m at 1 MHz. Cole–Cole analysis indicates a clear deviation from ideal Debye behavior, while the relaxational features of the dielectric permittivity suggest a strong correlation between the dielectric response and Fe-related conduction mechanisms. Gas sensing tests show that the ferrite ceramics exhibit consistent ethanol response trends. The ceramic sintered at 1200 °C/4 h achieved the highest sensitivity, of 56.28%, which can be attributed to its higher density, larger ceramic grains, and reduced low-frequency conductivity. The CaFeO3−δ ceramic sintered at 1200 °C/4 h shows a combination of high permittivity, enhanced conductivity, and strong ethanol sensitivity, making it a promising material for dielectric components, capacitive devices, and gas sensing applications. Full article
(This article belongs to the Special Issue Advances in Electronic Ceramics, 2nd Edition)
Show Figures

Figure 1

22 pages, 5796 KB  
Article
Influence of Carbon Fibre Addition, Ultrasonication and Vacuum Processing on the Mechanical and Conductive Properties of Expanded Graphite Polyester Resin Composites
by Divan Coetzee, Juan Pablo Perez Aguilera, Akshat Tegginamath and Jakub Wiener
Polymers 2026, 18(6), 731; https://doi.org/10.3390/polym18060731 - 17 Mar 2026
Abstract
Polyester resin composites containing expanded graphite often exhibit reduced mechanical strength due to the porous structure of the filler. The aim of this study was to enhance mechanical performance without compromising electrical behaviour. Although carbon fibre and expanded graphite are chemically identical carbon [...] Read more.
Polyester resin composites containing expanded graphite often exhibit reduced mechanical strength due to the porous structure of the filler. The aim of this study was to enhance mechanical performance without compromising electrical behaviour. Although carbon fibre and expanded graphite are chemically identical carbon allotropes, their distinct morphologies motivated the use of carbon fibre to reinforce expanded graphite-filled polyester composites. To examine the role of expanded graphite porosity, ultrasonicated EG was used to produce exfoliated, lower-porosity particles, while vacuum processing was applied to remove entrapped air prior to curing. Adding 0.5–5 wt% milled carbon fibre increased electrical conductivity by up to three orders of magnitude relative to neat polyester while maintaining 70–80% of the original specific strength at moderate fibre contents. Ultrasonicated EG reduced tensile strength by more than 50% at 5 wt% loading and decreased conductivity due to additional grain boundary formation. Vacuum-processed EG not only provided slight mechanical enhancements but also significantly improved electrical properties by lowering surface resistance by 6–10 orders of magnitude, reaching the tens-of-Ω range at 3–5 wt% EG. This performance is comparable to previously reported conductive EG/polymer systems, which exhibit surface resistances of 10–102 Ω at 5 wt% EG. This systematic comparison offers practical guidelines for balancing conductive percolation and mechanical reinforcement in expanded graphite polyester composites. Full article
(This article belongs to the Section Polymer Composites and Nanocomposites)
Show Figures

Figure 1

14 pages, 23669 KB  
Article
Synthesis of Potassium Jarosite Solid Solutions: Characterization and Evaluation of Their Potential Electrical Properties
by Felipe Carlos Pérez Olvera, Laura Guadalupe Barajas Martell, Juan Hernández-Ávila, Eduardo Cerecedo Sáenz, Abraham Hernández González, Manuel Saldana, Javier Flores-Badillo, Luis Humberto Mendoza Huizar, Arely M. Gonzalez Gonzalez, Fatima Montserrat Cruz Franco and Estefania Espinosa Morales
Materials 2026, 19(6), 1179; https://doi.org/10.3390/ma19061179 - 17 Mar 2026
Abstract
In this work, the electrochemical behavior of potassium jarosite-type solid solutions synthesized via a controlled hydrothermal method was evaluated. Structural characterization by X-ray diffraction (XRD) confirmed the formation of potassium jarosite. FTIR spectra complemented these findings, revealing bands characteristic of Fe–O metal coordination [...] Read more.
In this work, the electrochemical behavior of potassium jarosite-type solid solutions synthesized via a controlled hydrothermal method was evaluated. Structural characterization by X-ray diffraction (XRD) confirmed the formation of potassium jarosite. FTIR spectra complemented these findings, revealing bands characteristic of Fe–O metal coordination (625 and 505 cm−1). Voltammetric tests evidenced redox processes attributable to the Fe3+/Fe2+ couple, suggesting that iron within the jarosite framework contributes electrochemically to the observed conductivity. The assembled galvanic cells demonstrated the capability for electrical energy microgeneration, and the presence of jarosite was found to enhance ionic transport within the system. Overall, these results suggest an intergranular ionic-conduction mechanism, possibly facilitated by the mineral matrix, which would act as a structural medium enabling the mobility of charged species. Full article
(This article belongs to the Special Issue Advanced Functional Materials in Energy Storage and Conversion)
Show Figures

Figure 1

20 pages, 2549 KB  
Article
Impacts of Wetland Degradation on Soil Organic Carbon and Carbon Sequestration Function: A Case Study of the Huixian Wetland in the Li River Basin
by Yongkang Wang, Minghao Tian, Junfeng Dai, Zupeng Wan and Baoli Xu
Sustainability 2026, 18(6), 2940; https://doi.org/10.3390/su18062940 - 17 Mar 2026
Abstract
Wetlands play a vital role in the global carbon cycle and serve as critical carbon sink systems. However, increasing human disturbances and land-use changes have led to widespread wetland degradation, severely weakening their carbon sequestration capacity. This study investigated the Huixian Wetland in [...] Read more.
Wetlands play a vital role in the global carbon cycle and serve as critical carbon sink systems. However, increasing human disturbances and land-use changes have led to widespread wetland degradation, severely weakening their carbon sequestration capacity. This study investigated the Huixian Wetland in the Li River Basin of Southwest China to examine the impacts of wetland degradation on soil physicochemical properties, organic carbon fractions, and carbon fluxes. Based on vegetation and environmental conditions, the wetland was classified into four degradation gradients: non-degraded (ND), slightly degraded (SD), moderately degraded (MD), and heavily degraded (HD), and their spatial differences were systematically analyzed. The results showed that with increasing degradation, soil moisture, total nitrogen, and total phosphorus significantly decreased, whereas soil bulk density and electrical conductivity exhibited an increasing trend. Total organic carbon and active organic carbon fractions, including readily oxidizable organic carbon, light fraction organic carbon, microbial biomass carbon, and dissolved organic carbon, exhibited a pronounced decreasing trend along the degradation gradient, with the decline being most evident in the HD area. Among the labile carbon fractions, microbial biomass carbon (MBC) and light fraction organic carbon (LFOC) exhibited the most drastic declines in heavily degraded areas, indicating their high sensitivity as early warning indicators of wetland degradation. Observations of CO2 fluxes revealed that from April to September, the net ecosystem exchange (NEE) was negative across all areas, indicating that the wetland functioned as a carbon sink overall. However, NEE values increased with higher degradation levels, suggesting a progressive decline in the carbon sequestration capacity of the wetland; ecosystem respiration (ER) peaked in July and increased with the degree of degradation. The findings indicate that wetland degradation leads to soil environment deterioration, reduction in organic carbon storage, and enhanced CO2 emissions, ultimately weakening its carbon sink function. To enhance carbon sequestration capacity and maintain ecological functions, sustainable management strategies such as hydrological restoration and vegetation reconstruction are recommended. This study provides a scientific basis for wetland ecological conservation and carbon management in the context of climate change. Full article
Show Figures

Figure 1

37 pages, 4547 KB  
Review
Functionalization of Textile Materials for Advanced Engineering Applications
by Andrey A. Vodyashkin, Mstislav O. Makeev, Dmitriy S. Ryzhenko and Anastasia M. Stoynova
Int. J. Mol. Sci. 2026, 27(6), 2708; https://doi.org/10.3390/ijms27062708 - 16 Mar 2026
Abstract
Textile materials represent a versatile class of engineering substrates widely used in apparel, domestic products, and medical protective systems. Despite their extensive application, large-scale textile production has seen limited integration of fundamentally new functionalization strategies. In recent years, however, advances in materials science [...] Read more.
Textile materials represent a versatile class of engineering substrates widely used in apparel, domestic products, and medical protective systems. Despite their extensive application, large-scale textile production has seen limited integration of fundamentally new functionalization strategies. In recent years, however, advances in materials science have enabled the development of textiles with tailored electrical, adaptive, and biological functionalities. This review summarizes recent progress in the functionalization of textile materials with a focus on approaches relevant to engineering and industrial implementation. Particular attention is given to conductive textiles designed for operation under extreme environmental conditions, including low-temperature climates. Methods for integrating electrically conductive elements into fibrous structures are discussed, highlighting their potential for sensing, thermal regulation, and energy-related applications such as powering portable electronic devices. Inkjet printing is presented as a scalable technique for high-resolution deposition of conductive patterns while preserving the mechanical integrity and aesthetic properties of textile substrates. In addition, adaptive and stimuli-responsive textile systems are reviewed, including materials capable of responding to thermal, optical, or chemical stimuli, with applications in camouflage, wearable systems, and multifunctional surfaces. The review further addresses the development of bioactive textiles, emphasizing antibacterial functionalization using organic and inorganic agents to mitigate the spread of pathogenic microorganisms. The relevance of such materials has been underscored by recent global viral outbreaks. Overall, this work aims to provide a materials science perspective on emerging textile functionalization strategies and to facilitate the transition of these technologies from laboratory-scale research to practical engineering applications. Full article
Show Figures

Figure 1

19 pages, 1982 KB  
Article
Experimental Analysis and Modeling Study of Impedance Changes in Decellularized and Recellularized Peripheral Nerves
by Marialourdes Ingrosso, Livio D’Alvia, Marianna Cosentino, Giorgia Nanni, Zaccaria Del Prete and Emanuele Rizzuto
Bioengineering 2026, 13(3), 344; https://doi.org/10.3390/bioengineering13030344 - 16 Mar 2026
Abstract
Peripheral nerve injuries pose a significant clinical challenge due to the limited self-repair capacity and the complexity of neural tissue architecture. Tissue engineering strategies applied to the peripheral nerve system aim to restore functional nerve constructs by combining scaffolds, cells, and biochemical cues [...] Read more.
Peripheral nerve injuries pose a significant clinical challenge due to the limited self-repair capacity and the complexity of neural tissue architecture. Tissue engineering strategies applied to the peripheral nerve system aim to restore functional nerve constructs by combining scaffolds, cells, and biochemical cues to recreate the native microenvironment. This work aimed to propose the electrical conductivity as a functional readout of structural and biological remodeling in engineered peripheral nerve scaffolds, along with functional and molecular evaluations. To this end, bioimpedance measurements were combined with equivalent circuit modeling to track state-dependent changes across different levels of tissue organization. Murine sciatic nerves were decellularized and recellularized with neural populations to generate engineered constructs, and their electrical properties were assessed using broadband bioimpedance spectroscopy. Distinct impedance profiles were observed across control, decellularized, and recellularized samples, reflecting structural and functional changes associated with cell removal and repopulation. Furthermore, a multilayer series RC circuit model was implemented to accurately reproduce the measured spectra, enabling the extraction of layer-specific electrical parameters. Analysis of these parameters revealed that decellularization reduces compartmental resistances and increases inter-layer coupling, whereas recellularization restores outer-layer resistances and reduces coupling, consistent with functional tissue organization. Overall, the results demonstrate that bioimpedance provides a readout of the scaffold biological state and cellular integration, and that equivalent circuit modeling offers a quantitative framework to link structural remodeling to electrical function in engineered peripheral nerve tissues. Full article
Show Figures

Figure 1

17 pages, 3796 KB  
Article
Ecological Impacts of Neltuma juliflora Invasion on Native Plant Diversity and Soil Quality in Hyper-Arid Qatar
by Ahmed Elgharib, María del Mar Trigo, Elsayed Elazazi, Mohamed M. Moursy and Alaaeldin Soultan
Sustainability 2026, 18(6), 2908; https://doi.org/10.3390/su18062908 - 16 Mar 2026
Abstract
Neltuma juliflora (Sw.) Raf. (syn. = Prosopis juliflora (Sw.) DC.) is among the world’s most aggressive woody invaders, yet its ecological impacts remain poorly quantified in hyper-arid environments, where soils are calcareous and ecosystems recover slowly from disturbance. In this study, we tested [...] Read more.
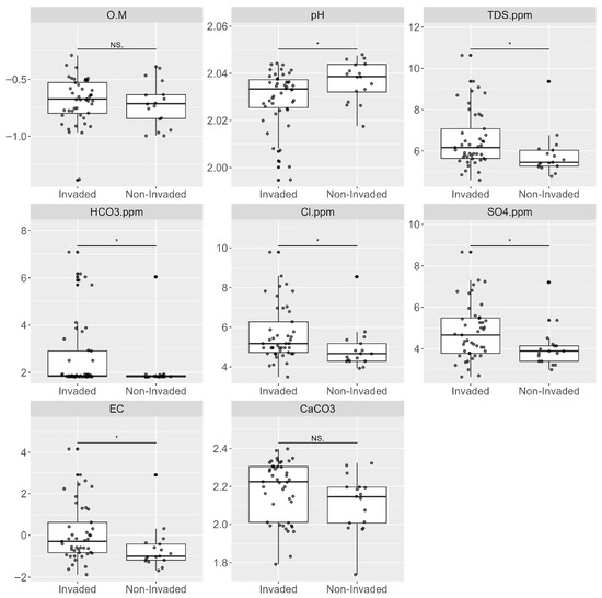
Neltuma juliflora (Sw.) Raf. (syn. = Prosopis juliflora (Sw.) DC.) is among the world’s most aggressive woody invaders, yet its ecological impacts remain poorly quantified in hyper-arid environments, where soils are calcareous and ecosystems recover slowly from disturbance. In this study, we tested two hypotheses: (1) the presence of N. juliflora changes native plant diversity, as well as soil and key physicochemical properties in hyper-arid Qatar, and (2) agricultural farms act as primary sources of N. juliflora invasion. Using a comparative observational design across 62 sites (45 invaded and 17 non-invaded), we applied a generalised additive model (GAM) and a generalised linear mixed model (GLMM) to quantify invasion drivers and the impact of invasion on perennial species diversity, respectively. Additionally, we used the Wilcoxon rank-sum test to compare the soil properties in the invaded and non-invaded sites. Our results indicate that N. juliflora is positively associated with farms, with the probability of occurrence declining by ca. 20% for each kilometre farther away from agricultural farms. This pattern suggests substantial propagule pressure from agricultural farms. Perennial species richness declined from 7.5 species at 0% N. juliflora cover to 4.8 species at full cover (36% reduction). Invaded sites were characterised by higher amounts of coarse sand (16%); reduced silt–clay fractions (5%); and elevated salinity indicators, including electrical conductivity (0.744 dS m−1) and total dissolved solids (476 mg L−1), while major N–P–K pools remained unchanged. These findings demonstrate measurable invasion-related changes in soil conditions and native perennial diversity in hyper-arid ecosystems and highlight the role of agricultural land use as a key driver of biological invasion. From a sustainability perspective, early detection, targeted control near agricultural and grazing zones, and integration of invasive species monitoring into land-use planning frameworks are essential to prevent further ecosystem degradation, protect biodiversity, and enhance the resilience of desert landscapes under increasing climate and land-use pressures. Full article
Show Figures

Figure 1

34 pages, 6017 KB  
Review
Exploring Thermally Conductive and Form-Stable Phase Change Composites: A Review of Recent Advances and Thermal Energy Applications
by Hong Guo, Boyang Hu, Huiting Shan and Xiao Yang
Materials 2026, 19(6), 1156; https://doi.org/10.3390/ma19061156 - 16 Mar 2026
Abstract
The global population explosion and accelerated industrialization have led to an increasing shortage of fossil fuels and environmental contamination, underscoring the urgent need to develop innovative energy storage technologies to improve energy utilization efficiency. As pivotal components in thermal energy storage (TES) systems, [...] Read more.
The global population explosion and accelerated industrialization have led to an increasing shortage of fossil fuels and environmental contamination, underscoring the urgent need to develop innovative energy storage technologies to improve energy utilization efficiency. As pivotal components in thermal energy storage (TES) systems, phase change materials (PCMs) enable spatiotemporal matching between thermal energy supply and demand through latent heat absorption and release during phase transitions. Organic PCMs are considered ideal candidates for thermal energy storage due to their high energy storage density, stable phase transition temperature, low supercooling, and negligible phase separation. However, inherent drawbacks such as low thermal conductivity, liquid leakage, limited light absorption, and lack of functionality have hindered their widespread application in advanced thermal management systems. Herein, we systematically summarize cutting-edge functionalization strategies for PCMs, progressing from conventional methods like thermal conductive particle blending and microencapsulation to the emerging design of 3D porous thermally conductive skeletons, including metal foams, boron nitride aerogels, carbon-based aerogels, and MXene aerogels. These frameworks not only enhance thermal transport via continuous conductive pathways and impart shape stability through capillary encapsulation but also, when integrated with photo-thermal, electro-thermal, and magneto-thermal conversion properties, enable broad applications in solar photo-thermal/photo-thermo-electric conversion, thermal management of electronics and batteries, building efficiency, and wearable thermal regulation. The review further addresses current challenges and future directions, highlighting scalable 3D framework fabrication, the shift to active thermal management, and innovative applications beyond conventional domains. By establishing a microstructure–property–application correlation, this work provides valuable insights for developing next-generation high-performance multifunctional phase change composites. Full article
(This article belongs to the Topic Advanced Composite Materials)
Show Figures

Figure 1

14 pages, 1932 KB  
Article
Bio-Inspired Energy-Efficient Nanofabricated Electrical Contacts
by Ella M. Gale, Ilyas A. H. Farhat, Suha S. Azhar, Hanno Hildmann, Aaron Stein and A. F. Isakovic
Biomimetics 2026, 11(3), 211; https://doi.org/10.3390/biomimetics11030211 - 16 Mar 2026
Abstract
Nanoscale electrical contacts, especially those between materials of dissimilar electronic properties, often represent one of the main causes of drops in energy transfer efficiency. They are also among the sources of above-threshold noise, and their performance often decreases over the lifetime of the [...] Read more.
Nanoscale electrical contacts, especially those between materials of dissimilar electronic properties, often represent one of the main causes of drops in energy transfer efficiency. They are also among the sources of above-threshold noise, and their performance often decreases over the lifetime of the nanodevices. Scale-down limitations from mesoscopic to nanoscale devices, and likewise, of nanoscale to quantum-scale devices are also impeded by contacts’ quality. Making more reliable, energy-efficient electrical contacts is among the goals of the nanoelectronics research within the framework of energy-efficient electronic systems. This report focuses on the design, nanofabrication, and testing of novel shapes of electrical contacts. Lithography and nanofabrication were utilized to mimic the approximate shape of insect setae for mesoscale contacts design. The contacts are tested for elementary charge transport via I–V curves and for the broadband, 1/f noise. Tests show that contacts design leads to a measurable decrease in the energy necessary to operate a contact as a switch by at least 12–20%, depending on temperature, while broadband noise shows measurably lower power spectra, for bio-inspired contacts. The proposed method is open to modifications and improvements as required by various on-chip applications. Full article
(This article belongs to the Section Energy Biomimetics)
Show Figures

Graphical abstract

21 pages, 701 KB  
Article
Evaluating Honey Adulteration Through Physicochemical Characterization and Liquid Chromatography–Mass Spectrometry-Based Sugar Profiling
by Entesar Al-Hetlani, Bessy D’Cruz, Mohammed Hayssam, Bedraya Mandekar and Mohamed O. Amin
Foods 2026, 15(6), 1038; https://doi.org/10.3390/foods15061038 - 16 Mar 2026
Abstract
The high market demand for Sidr honey, known for its nutritional and therapeutic properties, makes it susceptible to adulteration with sugar syrups, compromising authenticity and consumer safety. This study employed physicochemical tests and liquid chromatography–mass spectrometry (LC–MS) sugar profiling to analyze the impact [...] Read more.
The high market demand for Sidr honey, known for its nutritional and therapeutic properties, makes it susceptible to adulteration with sugar syrups, compromising authenticity and consumer safety. This study employed physicochemical tests and liquid chromatography–mass spectrometry (LC–MS) sugar profiling to analyze the impact of adulteration with corn, date, and agave syrups (5–35% w/w) on Kuwaiti Ziziphus spina-christi (Sidr) honey samples. Authentic Sidr honey exhibited pH values within 3.4–6.1, free acidity (FA) of <50 mEq kg−1, high electrical conductivity (mean EC: 1066.21 ± 353 µS cm−1), and moisture content <20%. Adulteration did not significantly affect pH or moisture (p > 0.05). FA significantly changed only in corn syrup-adulterated samples (p < 0.05). Electrical conductivity varied significantly with syrup type (p < 0.05). LC–MS was used to quantify the fructose (F) and glucose (G) contents, their ratio (F/G), and the total sugar content (F + G). For the authentic samples, F/G = 1.10–1.35, consistent with reported ranges. Corn syrup reduced F + G and F/G, date syrup raised both sugar contents, modestly changing F/G, while agave syrup, markedly increased both F/G and F + G. This integrated approach of physicochemical characterization and targeted sugar profiling effectively detects syrup adulteration, enhancing honey authentication, consumer protection, and market transparency. Full article
(This article belongs to the Section Food Quality and Safety)
Show Figures

Figure 1

17 pages, 2520 KB  
Article
Effects of Using Vermicomposted Black Soldier Fly Larval Frass as a Germination Substrate on Emergence, Growth, and Antioxidant Content in Kale, Bell Pepper, and Tomato Seedlings
by Hugo González-Lara, Benito Parra-Pacheco, Humberto Aguirre-Becerra, Enrique Rico-García, Ana Angélica Feregrino-Pérez and Juan Fernando García-Trejo
Horticulturae 2026, 12(3), 361; https://doi.org/10.3390/horticulturae12030361 - 15 Mar 2026
Abstract
This study evaluated the effects of thermocomposting followed by vermicomposting on the physicochemical properties of insect frass and its suitability as a germination and growth substrate for kale, tomato, and bell pepper. Vermicomposting improved frass stability by reducing pH, electrical conductivity, carbon content, [...] Read more.
This study evaluated the effects of thermocomposting followed by vermicomposting on the physicochemical properties of insect frass and its suitability as a germination and growth substrate for kale, tomato, and bell pepper. Vermicomposting improved frass stability by reducing pH, electrical conductivity, carbon content, and the C/N ratio, while increasing total nitrogen, cation exchange capacity, and calcium and magnesium availability, indicating enhanced maturity and nutrient retention. Peat–frass mixtures (20–100%), increased pH from acidic conditions in the control to near neutral in 100% frass and raised electrical conductivity from 0.67 dS m−1 to the highest values in the pure frass treatment. Tomato seedlings exhibited strong tolerance and enhanced growth at all frass proportions, with seedling heights exceeding 33 cm compared with the control. Kale showed optimal growth at 20–60% frass, while 80–100% reduced early development. In bell pepper, emergence declined at high frass proportions, although seedlings grown with ≥40% frass reached heights of approximately 8.3–8.6 cm. Vermicomposted frass also influenced plant metabolism, increasing flavonoid accumulation and modifying antioxidant activity. These findings demonstrate that stabilized frass can serve as a sustainable substrate component, contributing to organic waste valorization and improved seedling production when applied at crop-specific proportions. Full article
Show Figures

Figure 1

21 pages, 11017 KB  
Article
A LumiPINN Prediction Model for Electric Vehicle Headlamp Illuminance Using Standardised Guidelines to Enhance Driving Safety
by Lei Shi, Jing Wang, Tong Su, Yingzhen Shi, Hao Huang, Dagang Lu, Baijun Lai and Donghai Hu
World Electr. Veh. J. 2026, 17(3), 146; https://doi.org/10.3390/wevj17030146 - 15 Mar 2026
Abstract
Electric vehicle headlamp illuminance directly affects the driver’s visibility. Accurately predicting electric vehicle headlamp illuminance is crucial to enhancing driving safety. Existing deep learning models are trained using data collected from real-world road testing, yet external factors may compromise its reliability. Electric vehicle [...] Read more.
Electric vehicle headlamp illuminance directly affects the driver’s visibility. Accurately predicting electric vehicle headlamp illuminance is crucial to enhancing driving safety. Existing deep learning models are trained using data collected from real-world road testing, yet external factors may compromise its reliability. Electric vehicle headlamp illuminance prediction primarily relies on data fitting, and such models are prone to overfitting when input data are affected by external disturbances. To solve the problem, we propose a luminancxel properties physical information neural network (LumiPINN) prediction model. Test conditions are designed in accordance with standard. The data was collected in an indoor laboratory to eliminate the influence of external factors, then underwent cleaning and pre-processing to ensure data quality. During the modelling process, the physical model is treated as a constraint, with the loss function to jointly optimise the prediction model. Compared with Deep Neural Network and Artificial Neural Network prediction models, the Mean Absolute Error, Mean Square Error, Root Mean Square Error, Mean Relative Error were reduced by 60.2%, 83.6%, 59.6%, 61.3%, and 71.7%, 90.7%, 69.5%, 71.4%. The Coefficient of Determination improved by 0.0015 and 0.0029. The results show that the LumiPINN prediction model demonstrates higher accuracy in prediction outcomes. Full article
(This article belongs to the Section Vehicle Control and Management)
Show Figures

Figure 1

18 pages, 4480 KB  
Article
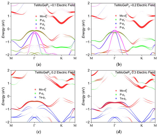
Enhanced Rashba Effect and Optical Absorption in 2D Janus XMoYZ2 (X = S/Se/Te; Y = Si/Ge; Z = N/P): A First-Principles Study
by Xiaochuan Liu, Meng Li, Ningru Shang, Peng Guo, Hongyue Song, Bin Zhao, Lin Li and Jianjun Wang
Nanomaterials 2026, 16(6), 358; https://doi.org/10.3390/nano16060358 - 14 Mar 2026
Abstract
To overcome the physical constraints during the miniaturization of conventional semiconductor devices, spintronics is playing an increasingly prominent role. The Rashba effect, characterized by spin–momentum locking, has emerged as a promising solution to address challenges. Two-dimensional (2D) Janus transition metal dichalcogenides (TMDCs) break [...] Read more.
To overcome the physical constraints during the miniaturization of conventional semiconductor devices, spintronics is playing an increasingly prominent role. The Rashba effect, characterized by spin–momentum locking, has emerged as a promising solution to address challenges. Two-dimensional (2D) Janus transition metal dichalcogenides (TMDCs) break spatial inversion symmetry, creating favorable conditions for the Rashba effect. Based on first-principles calculations, 2D Janus materials XMoYZ2 (X = S/Se/Te; Y = Si/Ge; Z = N/P) were investigated, with strain, external electric field and charge doping employed to modulate the Rashba effect. The strain results reveal that the Rashba constants of XMoYZ2 increase significantly with compressive strain. Specifically, after applying uniaxial strain, the Rashba constant of TeMoSiP2 is enhanced to ~2.2 times its initial value. Compressive strain reduces atomic spacing, enhances orbital overlap, and increases spin–orbit coupling (SOC) strength. All the TeMoYZ2 materials exhibit significant anisotropy under uniaxial strain, which is favorable for spin-oriented transport. SeMoGeP2 shows an almost linear Rashba constant–electric field correlation, while TeMoGeP2 and TeMoSiP2 show non-monotonic variation. The Rashba constant of TeMoSiP2 can be enhanced to ~2.7 times its intrinsic value under either positive or negative applied electric fields. Charge doping induces negligible changes in the SOC effect. Finally, the optical absorption properties of TeMoGeP2, TeMoSiN2, and TeMoSiP2 were investigated. This study clarifies the mechanism underlying the enhancement of Rashba constants in XMoYZ2 materials, enriching the research landscape of spintronics. Full article
Show Figures

Figure 1

28 pages, 1916 KB  
Article
Valorization of Corncob and Khat Waste into Biochar via Decentralized Multi-Purpose Pyrolysis Stoves
by Tarekegn Limore Binchebo, Krzysztof Pikoń, Venkata Ramayya Ancha, Teka Tesfaye Mengesha, Solomon Kebede Asefa, Defar Getahun Gizachew and Mamo Abawalo
Energies 2026, 19(6), 1461; https://doi.org/10.3390/en19061461 - 13 Mar 2026
Viewed by 87
Abstract
The escalating global waste crisis necessitates sustainable valorization strategies, with biochar production emerging as a promising solution for converting organic residues into a carbon-rich material. This study evaluated biochar derived from corncob and khat waste pyrolyzed using allo-thermal and auto-thermal multi-purpose stoves. Biochar [...] Read more.
The escalating global waste crisis necessitates sustainable valorization strategies, with biochar production emerging as a promising solution for converting organic residues into a carbon-rich material. This study evaluated biochar derived from corncob and khat waste pyrolyzed using allo-thermal and auto-thermal multi-purpose stoves. Biochar was fractionated into four particle sizes (>2 mm, 1–2 mm, 0.6–1 mm, and <0.6 mm) and characterized for ash content, pH, and electrical conductivity (EC). Results demonstrated that the auto-thermal stove, operating at higher temperatures (up to 800 °C), consistently produced biochar with greater ash content (khat: 12–19%; corncob: 11–14%), alkaline pH (9.2–10.0), and significantly higher EC compared to the allo-thermal stove (maximum 350 °C). EC values ranged from 0.38 mS/cm (coarse allo-thermal corncob) to 6.6 mS/cm (fine auto-thermal khat), with auto-thermal biochar exhibiting EC values 5–10 times higher than their allo-thermal counterparts. khat waste consistently yielded biochar with higher ash content, pH, and EC than corncob, reflecting its richer mineral composition. Particle size fractionation revealed that pH and EC increased progressively with decreasing particle size across all treatments, with the finest fraction (<0.6 mm) showing the highest values. For auto-thermal khat, EC increased from 2.43 mS/cm (>2 mm) to 6.6 mS/cm (<0.6 mm). This study demonstrates that decentralized biochar production using multi-purpose stoves can yield materials with tunable properties, and that khat waste—an underutilized regional resource—shows particular promise for producing high-ash, high-EC biochar suitable for acidic soil amendment. Full article
(This article belongs to the Special Issue Emission Control and Sustainable Energy)
Show Figures

Figure 1

Back to TopTop