Fluctuating Demand-Oriented Optimization of Train Line Planning Considering Carriage Resources Transfer under Flexible Compositions
Abstract
:1. Introduction
- (i)
- We consider a multi-period planning problem incorporating line frequency, capacity, stop-pattern, and the transfer of resources.
- (ii)
- Given the asymmetric fluctuating demand, the upstream and downstream line planning are generated simultaneously.
- (iii)
- Resource transfer between different periods and different directions is considered to ensure the availability and allocation of operational resources throughout the periods.
- (iv)
- Under the limited resources, the behavior that passengers may choose an alternative mode or continue to wait is considered.
- (v)
- The capacity of the line is determined by the number of carriages under flexible compositions.
2. Literature Review
3. Mathematical Model
3.1. Problem Description and Assumption
3.2. Parameters, Decision Variables, and Notations
3.3. Mathematical Model
4. Solution Algorithm
| Algorithm 1: The improved round heuristic algorithm. | |
| Input: LP solution | |
| Output: IP solution | |
| 1 | set |
| 2 | for do |
![]() | |
| 35 | end |
5. Numerical Experiments
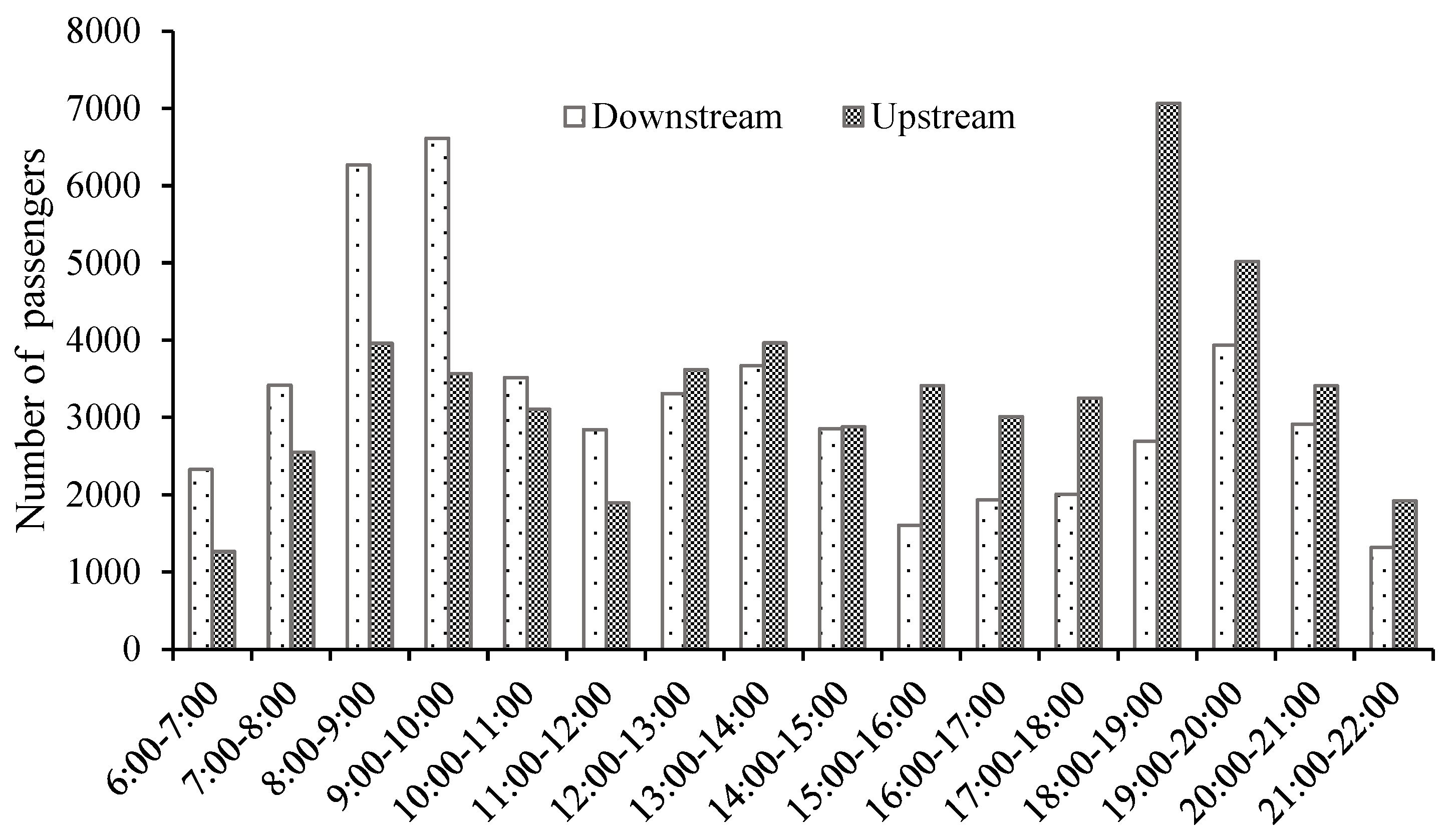
5.1. Scenario Setting
5.2. Performance Analysis of Algorithm
5.3. Analysis of the Impact of the Number of Reserved Carriages on Train Operation
5.4. Comparison of Flexible and Fixed Composition Mode
- (1)
- When the flexible composition mode is adopted, the frequency of each time period is significantly higher than that of the fixed composition mode, and the passenger service capacity, especially in the peak hours of passenger flow, is also significantly higher than that of the fixed composition mode. The data show that the utilization efficiency of carriages of the flexible composition mode is higher than that of the fixed composition mode. The average transportation of each carriage under the flexible composition mode is 1609.35 person-times/day, which is higher than 1574.15 person-times/day under the fixed composition mode. The reason is that the number of remaining carriages in the same period is more than that of the fixed composition mode, and the number of carriages of the trains that are dispatched under the flexible composition mode is not unique, while that under the fixed marshalling mode must be 8. Thus, the utilization efficiency under the flexible composition mode is higher. For example, during the time period from 18:00 to 19:00 in the upstream direction, when the flexible composition mode is adopted, the number of remaining carriages is 21, so three trains with seven carriages can be operated, while when the fixed composition mode is adopted, the number of remaining carriages is 16, so only two trains with eight carriages can be operated.
- (2)
- Compared with the fixed composition mode, the train frequency under the flexible marshalling mode is more susceptible to the fluctuation of passenger flow. This is because the line capacity under flexible marshalling is more flexible.
6. Conclusions and Further Research
Author Contributions
Funding
Data Availability Statement
Acknowledgments
Conflicts of Interest
References
- Alfieri, A.; Groot, R.; Kroon, L.G.; Schrijver, L. Efficient Circulation of Railway Rolling Stock. Transp. Sci. 2006, 40, 78–391. [Google Scholar] [CrossRef]
- Fioole, P.J.; Kroon, L.; Maroti, G.; Schrijver, A. A rolling stock circulation model for combining and splitting of passenger trains. Eur. J. Oper. Res. 2006, 174, 1281–1297. [Google Scholar] [CrossRef]
- Peeters, M.; Kroon, L. Circulation of railway rolling stock: A branch-and-price approach. Comput. Oper. Res. 2008, 35, 538–556. [Google Scholar] [CrossRef]
- Zhou, H.; Qi, J.; Yang, L.; Shi, J.; Pan, H.; Gao, Y. Joint optimization of train timetabling and rolling stock circulation planning: A novel flexible train composition mode. Transp. Res. Part B Methodol. 2022, 162, 352–385. [Google Scholar] [CrossRef]
- Marin, M.; Janene, P. Sustainable Rail Transport; Springer: Cham, Switzerland, 2020. [Google Scholar]
- Şahin, G.; Ahmadi Digehsara, A.; Borndörfer, R.; Schlechte, T. Multi-period line planning with resource transfers. Transp. Res. Part C Emerg. Technol. 2020, 119, 102726. [Google Scholar] [CrossRef]
- Zhou, W.L.; Liu, X.H.; Jiang, M. Optimization of Train Plan on Intercity Railway Based on Candidate Train Set and Elastic Demand. J. China Railw. Soc. 2020, 42, 1–10. [Google Scholar]
- Schöbel, A. Line planning in public transportation: Models and methods. OR Spectr. 2012, 34, 491–510. [Google Scholar] [CrossRef]
- Kim, H.Y.; Wunneburger, D.; Neuman, M.; An, S.Y. Optimizing high-speed rail routes using a Spatial Decision Support System (SDSS): The Texas Urban Triangle(TUT) case. J. Transp. Geogr. 2014, 34, 194–201. [Google Scholar] [CrossRef]
- Guan, J.; Yang, H.; Wirasinghe, S. Simultaneous optimization of transit line configuration and passenger line assignment. Transp. Res. Part B Methodol. Methodol. 2006, 40, 885–902. [Google Scholar] [CrossRef]
- Szeto, W.Y.; Jiang, Y. Transit route and frequency design: Bi-level modeling and hybrid artificial bee colony algorithm approach. Transp. Res. Part B Methodol. 2014, 67, 235–263. [Google Scholar] [CrossRef]
- Fu, H.; Nie, L.; Meng, L.; Sperry, B.; He, Z. Train stop scheduling in a highspeed rail network by utilizing a two-stage approach. Math. Probl. Eng. 2012, 2012, 579130. [Google Scholar] [CrossRef] [Green Version]
- Ulusoy, Y.; Chien, S.; Wei, C. Optimal all-stop, short-turn and express transit services under heterogeneous demand. Transp. Res. Rec. 2010, 2197, 8–18. [Google Scholar] [CrossRef]
- Fu, H.; Nie, L.; Meng, L.; Sperry, B.; He, Z. A hierarchical line planning approach for a large-scale high-speed rail network: The China case. Transp. Res. Part A Policy Pract. 2015, 75, 61–83. [Google Scholar] [CrossRef]
- Shi, F.; Zhou, W.; Chen, Y.; Deng, L. Optimization study on passenger train plans with elastic demands. J. China Railw. Soc. 2008, 30, 1–6. [Google Scholar]
- Anthony, R.N. Planning and Control Systems: A Framework for Analysis; Division of Research, Graduate School of Business Administration, Harvard University: Cambridge, MA, USA, 1965. [Google Scholar]
- Goerigk, M.; Schachtebeck, M.; Schöbel, A. Evaluating line concepts using travel times and robustness. Public Transp. 2013, 5, 267–284. [Google Scholar] [CrossRef]
- Fu, H.; Nie, L.; Yang, H.; Tong, L. Research on the Method for Optimization of Candiate-Train-set Based Train Operation Plans for High-speed Railways. J. China Railw. Soc. 2010, 32, 1–8. [Google Scholar]
- He, Y.Q.; Zhang, H.Z.; Mao, B.H.; Chen, T.S. Multiobjective Bi-level Programming Model of Making Train Working Plan for Passenger-only Line. J. China Railw. Soc. 2006, 28, 6–10. [Google Scholar]
- Borndrfer, R.; Arslan, O.; Elijazyfer, Z.; Güler, H.; Schlechte, T. Line Planning on Path Networks with Application to the Istanbul Metrobüs. In Operations Research Proceedings; Springer: Cham, Switzerland, 2018; pp. 235–241. [Google Scholar]
- Deng, L.; Zeng, Q.; Gao, W.; Zhou, W. Research on Train Plan of Urban Rail Transit with Elastic Demand. J. China Railw. Soc. 2012, 34, 16–25. [Google Scholar]
- Feng, S.; Deng, L.; Shan, X. Time-dependent Demand Oriented Line Planning Optimization for the High-speed Railway. J. Transp. Syst. Eng. Inf. Technol. 2016, 16, 110–116. [Google Scholar] [CrossRef]
- Qin, J.; Tan, Y.; Zhang, W.; Shen, C.; Zhao, C. Train Planning Optimization for intercity Railway Based on Space-time Network. J. China Railw. Soc. 2020, 42, 1–10. [Google Scholar]
- Long, P.; Shi, F.; Hu, X.; Xu, B. The collaborative optimization of multi-day line plannings for high-speed railway. J. Railw. Sci. Eng. 2019, 16, 310–318. [Google Scholar] [CrossRef]
- Zhao, S.; Wu, R.; Shi, F. A line planning approach for high-speed railway network with time-varying demand. Comput. Ind. Eng. 2021, 160, 107547. [Google Scholar] [CrossRef]
- Schrage, L. A Guide to Optimization-Based Multiperiod Planning. In Recent Advances in Optimization and Modeling of Contemporary Problems; INFORMS: Catonsville, MD, USA, 2018; pp. 50–63. [Google Scholar] [CrossRef]
- Caprara, A.; Kroon, L.G.; Monaci, M.; Peeters, M.; Toth, P. Passenger Railway Optimization. Handb. Oper. Res. Manag. Sci. 2007, 14, 129–187. [Google Scholar]
- Shi, F.; Li, Y.; Hu, X.; Xu, G.; Shan, X. Service Level Oriented Optimization of Train Operation Plan for High Speed Railway. China Railw. Sci. 2018, 39, 127–136. [Google Scholar]
- Goossens, J.-W.; Hoesel, S.V.; Kroon, L. A Branch-and-Cut Approach for Solving Railway Line-Planning Problems. Transp. Sci. 2004, 38, 379–393. [Google Scholar] [CrossRef]
- Lusby, R.M.; Larsen, J.; Ehrgott, M.; Ryan, D. Railway track allocation: Models and methods. OR Spectr. 2011, 33, 843–883. [Google Scholar] [CrossRef]
- Yang, L.; Qi, J.; Li, S.; Gao, Y. Collaborative optimization for train scheduling and train stop planning on high-speed railways. Omega 2016, 64, 57–76. [Google Scholar] [CrossRef]
- Zhou, H.; Qi, J.; Yang, L.; Shi, J.; Mo, P. Joint optimization of train scheduling and rolling stock circulation planning with passenger flow control on tidal overcrowded metro lines. Transp. Res. Part C Emerg. Technol. 2022, 140, 103708. [Google Scholar] [CrossRef]
- Zhao, P.; Li, Y.; Han, B.; Yang, R.; Liu, Z. Integrated Optimization of Rolling Stock Scheduling and Flexible Train Formation Based on Passenger Demand for an Intercity High-Speed Railway. Sustainability 2022, 14, 5650. [Google Scholar] [CrossRef]
- Pan, H.; Yang, L.; Liang, Z. Demand-oriented integration optimization of train timetabling and rolling stock circulation planning with flexible train compositions: A column-generation-based approach. Eur. J. Oper. Res. 2022, in press. [CrossRef]
- Meng, L.; Corman, F.; Zhou, X.; Tang, T. Special issue on Integrated optimization models and algorithms in rail planning and control. Transp. Res. Part C Emerg. Technol. 2018, 88, 87–90. [Google Scholar] [CrossRef]
- Bussieck, M.R.; Winter, T.; Zimmermann, U.T. Discrete optimization in public rail transport. Math. Program. 1997, 79, 415–444. [Google Scholar] [CrossRef]
- Repolho, H.M.; Church, R.L.; Antunes, A.P. Optimizing station location and fleet composition for a high-speed rail line. Transp. Res. Part E Logist. Transp. Rev. 2016, 93, 437–452. [Google Scholar] [CrossRef]
- Yu, D.; Han, B.; Zhang, Q.; Yao, X.; Liu, F. Optimization method for train plan of urban rail transit based on the flexible length of train formation. J. Beijing Jiaotong Univ. 2015, 39, 21–31. [Google Scholar]
- Ganguly, S. Multi-objective distributed generationpenetration planning with load model using particle swarmoptimization. Decis. Mak. Appl. Manag. Eng. 2020, 3, 30–42. [Google Scholar] [CrossRef]
- Negi, G.; Kumar, A.; Pant, S.; Ram, M. Optimization ofComplex System Reliability using Hybrid Grey Wolf Optimizer. Decis. Mak. Appl. Manag. Eng. 2021, 4, 241–256. [Google Scholar] [CrossRef]
- Berthold, T. Primal Heuristics for Mixed Integer Programs. Ph.D. Thesis, Zuse Institute Berlin (ZIB), Berlin, Germany, 2006. [Google Scholar]
- Karbstein, M. Line Planning and Connectivity; Technische Universitat Berlin: Berlin, Germany, 2013. [Google Scholar]










| Notations | Description |
|---|---|
| Sets | |
| Parameters | |
| 1. | |
| The passenger-kilometer fare rate of the train | |
| Travel distance of path p | |
| Fixed organization cost of one carriage | |
| Operation cost per unit mileage of one carriage | |
| The length of the rail line | |
| Passenger time value | |
| Number of passengers from station i to station j at time period t | |
| The probability that unserved passengers choose to travel in the next time period | |
| The capacity of one carriage | |
| Maximum number of lines that can be operated in the upstream direction of each period | |
| Maximum number of lines that can be operated in the downstream direction of each period | |
| Minimum number of operate lines of each period | |
| Time required for technical operations such as coupling, decoupling, and turn-back | |
| Number of reserved carriages | |
| and line l | |
| Variables | |
| line l with k | |
| line l with k | |
| Integer variable, the number of passengers traveling on path p at time period t | |
| Integer variable, number of unserved passengers from station i to station j at time period t | |
| Integer variable, number of carriages remaining in the downstream direction at time period t | |
| Integer variable, number of carriages remaining in the upstream direction at time period t | |
| ID | List of Stops | ID | List of Stops |
|---|---|---|---|
| 1 | s17-s8-s6-s4-s1 | 40 | s1-s6-s10-s11-s17 |
| 2 | s17-s11-s1 | 41 | s1-s8-s11-s14-s17 |
| 3 | s17-s10-s8-s6-s4-s1 | 42 | s1-s8-s12-s17 |
| 4 | s17-s11-s1 | 43 | s1-s8-s10-s12-s13-s17 |
| 5 | s17-s11-s10-s8-s5-s1 | 44 | s1-s4-s6-s8-s11-s17 |
| 6 | s17-s12-s10-s6-s1 | 45 | s1-s6-s8-s15-s17 |
| 7 | s17-s12-s11-s10-s8-s1 | 46 | s1-s6-s10-s11-s14-s17 |
| 8 | s17-s13-s11-s8-s4-s1 | 47 | s1-s8-s10-s12-s13-s14-s17 |
| 9 | s17-s11-s6-s1 | 48 | s1-s8-s11-s13-s17 |
| 10 | s17-s12-s10-s8-s1 | 49 | s1-s6-s8-s12-s17 |
| 11 | s17-s12-s10-s8-s1 | 50 | s1-s4-s17 |
| 12 | s17-s11-s3-s1 | 51 | s1-s6-s17 |
| 13 | s17-s8-s7-s1 | 52 | s1-s8-s17 |
| … | … | … | … |
| 39 | s17-s11-s10-s8-s6-s5-s4-s1 | 78 | s1-s6-s11-s17 |
| Number of OD Pairs | Gurobi | The Improved Round Heuristic | |||
|---|---|---|---|---|---|
| Objective Function | Computational Time (s) | Mip-Gap (%) | Objective Function | Computational Time (s) | |
| 50 | 327,196.28 | 60.75 | * | 296,276.22 | 13.74 |
| 100 | 727,691.93 | 87.75 | * | 660,637.31 | 15.41 |
| 150 | 1,206,145.08 | 376.88 | * | 1,096,329.19 | 18.60 |
| 200 | 1,469,070.17 | 1800.00 | 0.02 | 1,336,637.90 | 20.77 |
| 250 | - | 1800.00 | - | 1,701,417.40 | 22.71 |
| Direction | Total Revenue (RMB) | Frequency (Trains/Day) | Fare Revenue (RMB) | Average Load Factor (%) |
|---|---|---|---|---|
| upstream | 2,170,554.05 | 60 | 864,605.08 | 70.03 |
| downstream | 71 | 1,305,948.97 | 72.20 |
| Number of Reserved Carriages | N = 60 | N = 140 | ||
|---|---|---|---|---|
| Composition Mode | Fixed Composition Mode | Flexible Composition Mode | Fixed Composition Mode | Flexible Composition Mode |
| Profit (RMB) | 1,966,768.93 | 2,043,111.35 | 2,136,572.70 | 2,177,145.44 |
| Frequency (trains/day) | 51 | 100 | 59 | 113 |
| The proportion of passengers served (%) | 89.87 | 91.88 | 97.13 | 99.35 |
| Average load factor | 75.46 | 72.58 | 72.88 | 72.64 |
Publisher’s Note: MDPI stays neutral with regard to jurisdictional claims in published maps and institutional affiliations. |
© 2022 by the authors. Licensee MDPI, Basel, Switzerland. This article is an open access article distributed under the terms and conditions of the Creative Commons Attribution (CC BY) license (https://creativecommons.org/licenses/by/4.0/).
Share and Cite
Zhao, C.; Chen, J.; Zhang, X.; Wang, Z.; Wu, P.; Cui, Z. Fluctuating Demand-Oriented Optimization of Train Line Planning Considering Carriage Resources Transfer under Flexible Compositions. Appl. Sci. 2022, 12, 8965. https://doi.org/10.3390/app12188965
Zhao C, Chen J, Zhang X, Wang Z, Wu P, Cui Z. Fluctuating Demand-Oriented Optimization of Train Line Planning Considering Carriage Resources Transfer under Flexible Compositions. Applied Sciences. 2022; 12(18):8965. https://doi.org/10.3390/app12188965
Chicago/Turabian StyleZhao, Chunxiao, Junhua Chen, Xingchen Zhang, Zhimei Wang, Pengsheng Wu, and Zanyang Cui. 2022. "Fluctuating Demand-Oriented Optimization of Train Line Planning Considering Carriage Resources Transfer under Flexible Compositions" Applied Sciences 12, no. 18: 8965. https://doi.org/10.3390/app12188965
APA StyleZhao, C., Chen, J., Zhang, X., Wang, Z., Wu, P., & Cui, Z. (2022). Fluctuating Demand-Oriented Optimization of Train Line Planning Considering Carriage Resources Transfer under Flexible Compositions. Applied Sciences, 12(18), 8965. https://doi.org/10.3390/app12188965

