Influence of Impurity Scattering on Surface Plasmons in Graphene in the Lindhard Approximation
Abstract
:1. Introduction
2. Scattering-Dependent Optical Properties
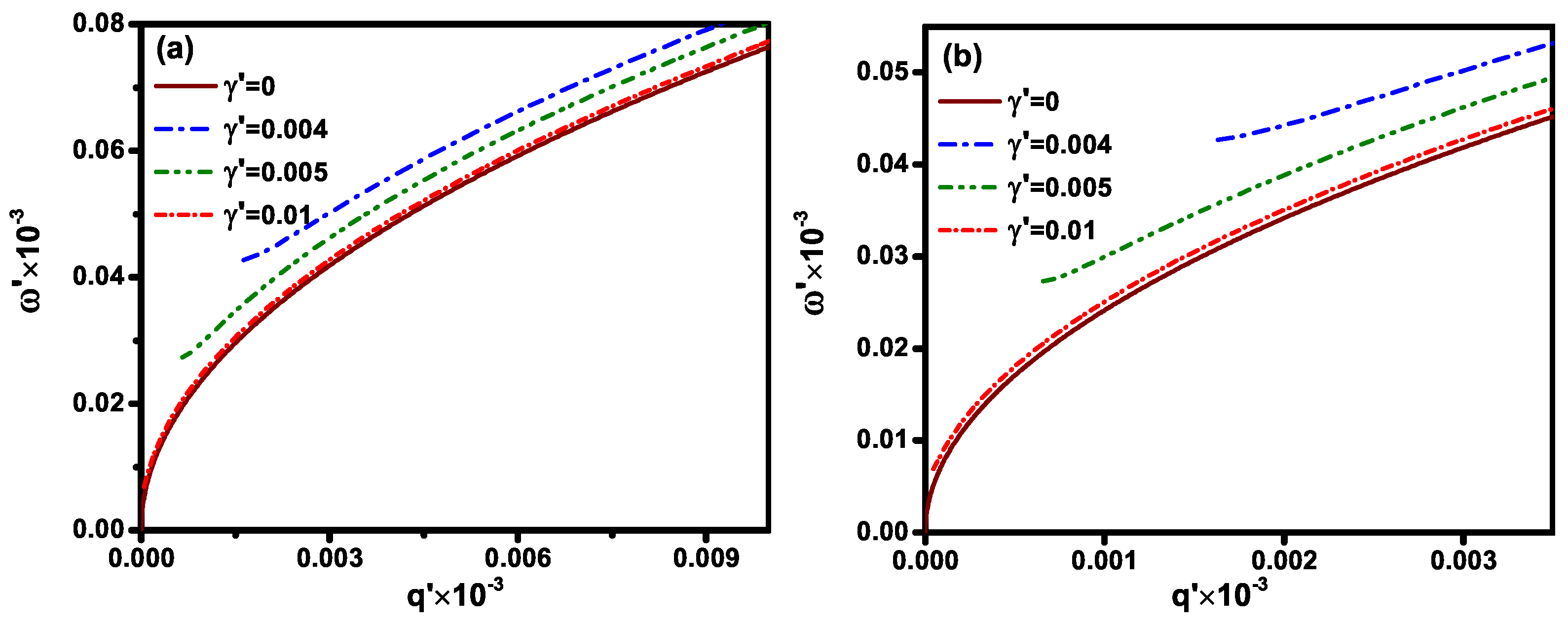
3. Transverse Magnetic Surface Plasmons
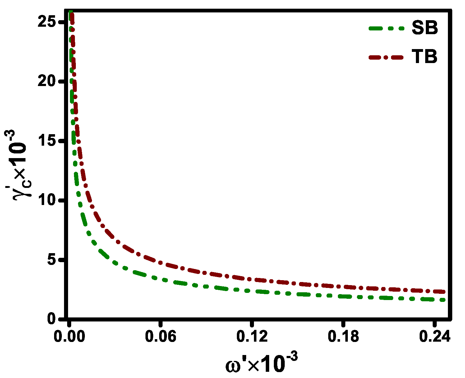
4. Quality Factor
5. Transverse Electric Surface Plasmons
6. Summary
Author Contributions
Funding
Institutional Review Board Statement
Informed Consent Statement
Conflicts of Interest
References
- Stockman, M.I. The spaser as a nanoscale quantum generator and ultrafast amplifier. J. Opt. 2010, 12, 024004. [Google Scholar] [CrossRef] [Green Version]
- Ozbay, E. Plasmonics: Merging Photonics and Electronics at Nanoscale Dimensions. Science 2006, 13, 189–193. [Google Scholar] [CrossRef]
- Brongersma, M.L.; Shalaev, V.M. The Case for Plasmonics. Science 2010, 328, 440–441. [Google Scholar] [CrossRef]
- Gramotnev, D.K.; Bozhevolnyi, S.I. Plasmonics beyond the diffraction limit. Nat. Photonics 2010, 4, 83–91. [Google Scholar] [CrossRef]
- Pacifici, D.; Lezec, H.J.; Atwater, H.A. All-optical modulation by plasmonic excitation of CdSe quantum dots. Nat. Photonics 2007, 1, 402–406. [Google Scholar] [CrossRef]
- Boltasseva, A.; Atwater, H.A. Low-Loss Plasmonic Metamaterials. Science 2011, 33, 290–291. [Google Scholar] [CrossRef]
- Tang, L.; Kocabas, S.E.; Latif, S.; Okyay, A.K.; Ly-Gagnon, D.; Saraswat, K.C.; Miller, D.A.B. Nanometre-scale germanium photodetector enhanced by a near-infrared dipole antenna. Nat. Photonics 2008, 2, 226–229. [Google Scholar] [CrossRef]
- Maier, S.A.; Brongersma, M.L.; Kik, P.G.; Meltzer, S.; Requicha, A.A.G.; Atwater, H.A. Plasmonics—A route to nanoscale optical devices. Adv. Mater. 2001, 13, 1501. [Google Scholar] [CrossRef]
- Wachter, S.; Polyushkin, D.K.; Bethge, O.; Mueller, T. A microprocessor based on a two-dimensional semiconductor. Nat. Commun. 2017, 8, 14948. [Google Scholar] [CrossRef] [PubMed] [Green Version]
- Atwater, H.A.; Polman, A. Polman Plasmonics for improved photovoltaic devices. Nat. Mater. 2010, 9, 205–213. [Google Scholar] [CrossRef] [PubMed]
- Polman, A. Plasmonics Applied. Science 2008, 322, 868–869. [Google Scholar] [CrossRef]
- Chen, J.; Badioli, M.; Alonso-Gonzalez, P.; Thongrattanasiri, S.; Huth, F.; Osmond, J.; Spasenovic, M.; Centeno, A.; Pesquera, A.; Godignon, P.; et al. Optical nano-imaging of gate-tunable graphene plasmons. Nature 2012, 487, 77–81. [Google Scholar] [CrossRef] [PubMed] [Green Version]
- Fei, Z.; Rodin, A.S.; Andreev, G.O.; Bao, W.; McLeod, A.S.; Wagner, M.; Zhang, L.M.; Zhao, Z.; Thiemens, M.; Dominguez, G.; et al. Gate-tuning of graphene plasmons revealed by infrared nano-imaging. Nature 2012, 487, 82–85. [Google Scholar] [CrossRef]
- Visser, T.D. Surface plasmons at work? Nat. Phys. 2006, 2, 509–510. [Google Scholar] [CrossRef]
- Bahrami, M.; Vasilopoulos, P. Exchange, correlation, and scattering effects on surface plasmons in arm-chair graphene nanoribbons. Opt. Express 2017, 25, 16840–16853. [Google Scholar] [CrossRef] [PubMed]
- Bozhevolnyi, S.I.; Khurgin, J.B. The case for quantum plasmonics. Nat. Photonics 2017, 11, 398–400. [Google Scholar] [CrossRef]
- Yang, Y.; Kelley, K.; Sachet, E.; Campione, S.; Luk, T.S.; Maria, J.; Brener, M.L.B.S.I. Femtosecond optical polarization switching using a cadmium oxide-based perfect absorber. Nat. Photonics 2017, 11, 390–395. [Google Scholar] [CrossRef]
- Hirsch, L.R.; Stafford, R.J.; Bankson, J.A.; Sershen, S.R.; Rivera, B.; Price, R.E.; Hazle, J.D.; Halas, N.J.; West, J.L. Nanoshell-mediated near-infrared thermal therapy of tumors under magnetic resonance guidance. Proc. Natl Acad. Sci. USA 2003, 100, 13549. [Google Scholar] [CrossRef] [Green Version]
- Nagatani, N.; Tanaka, R.; Yuhi, T.; Endo, T.; Kerman, K.; Takamura, Y.; Tamiya, E. Gold nanoparticle-based novel enhancement method for the development of highly sensitive immunochromatographic test strips. Sci. Technol. Adv. Mater. 2006, 7, 270. [Google Scholar] [CrossRef]
- Bergman, D.J.; Stockman, M.I. Surface Plasmon Amplification by Stimulated Emission of Radiation: Quantum Generation of Coherent Surface Plasmons in Nanosystems. Phys. Rev. Lett. 2003, 90, 027402. [Google Scholar] [CrossRef] [Green Version]
- Anker, J.N.; Hall, W.P.; Lyandres, O.; Shah, N.C.; Zhao, J.; Van Duyne, R.P. Biosensing with plasmonic nanosensors. Nat. Mater. 2008, 7, 442–4532. [Google Scholar] [CrossRef]
- Okamoto, K.; Niki, I.; Shvartser, A.; Narukawa, Y.; Mukai, T.; Scherer, A. Surface-plasmon-enhanced light emitters based on InGaN quantum wells. Nat. Mater. 2004, 3, 601–605. [Google Scholar] [CrossRef]
- Sundararaman, R.; Narang, P.; Jermyn, A.S.; Goddard, W.A.; Atwater, H.A. Theoretical predictions for hot-carrier generation from surface plasmon decay. Nat. Commun. 2014, 5, 5788. [Google Scholar] [CrossRef] [PubMed]
- Takahara, J.; Yamagishi, S.U.; Taki, H.; Morimoto, A.; Kobayashi, T. Guiding of a one-dimensional optical beam with nanometer diameter. Opt. Lett. 1997, 22, 475. [Google Scholar] [CrossRef]
- Challener, W.A.; Peng, C.; Itagi, A.V.; Karns, D.; Peng, W.; Peng, Y.; Yang, X.; Zhu, X.; Gokemeijer, N.J.; Hsia, Y.T.; et al. Heat-assisted magnetic recording by a near-field transducer with efficient optical energy transfer. Nat. Photonics 2009, 3, 220–224. [Google Scholar] [CrossRef]
- Cao, L.; Barsic, D.N.; Guichard, A.R.; Brongersma, M.L. Plasmon-Assisted Local Temperature Control to Pattern Individual Semiconductor Nanowires and Carbon Nanotubes. Nano Lett. 2007, 7, 3523–3527. [Google Scholar] [CrossRef] [PubMed]
- Maier, S.A. Plasmonics: Fundamentals and Applications; Springer: New York, NY, USA, 2007. [Google Scholar]
- Mikhailov, S.A.; Ziegler, K. New Electromagnetic Mode in Graphene. Phys. Rev. Lett. 2007, 99, 016803. [Google Scholar] [CrossRef] [Green Version]
- Giuliani, G.F.; Vignale, G. Quantum Theory of the Electron Liquid; Cambridge University: Cambridge, UK, 2005. [Google Scholar]
- Jablan, M.; Buljan, H.; Soljacic, M. Plasmonics in graphene at infrared frequencies. Phys. Rev. B 2009, 80, 245435. [Google Scholar] [CrossRef] [Green Version]
- Bahrami, M. Many-Body Effects in Novel Nanostructures: Optical and Transport Properties. Ph.D. Thesis, Concordia University, Montreal, OC, Canada, 2018. [Google Scholar]
- Wunsch, B.; Stauber, T.; Sols, F.; Guinea, F. Dynamical polarization of graphene at finite doping. New J. Phys. 2006, 8, 318. [Google Scholar] [CrossRef]
- Charbonneau, M.; Vliet, K.M.V.; Vasilopoulos, P. Linear response theory revisited III: One-body response formulas and generalized Boltzmann equations. J. Math. Phys. 1982, 23, 2. [Google Scholar] [CrossRef]
- Van Vliet, C.M. Equilibrium and Non-Equilibrium Statistical Mechanics; World Scientific Press: Singapore, 2008. [Google Scholar]
- Manzoni, M.T.; Silveiro, I.; de Abajo, F.J.G.; Chang, D.E. Second-order quantum nonlinear optical processes in single graphene nanostructures and arrays. New J. Phys. 2015, 17, 083031. [Google Scholar] [CrossRef]
- Abajo, F.J.G. Graphene Plasmonics: Challenges and Opportunities. ACS Photonics 2014, 1, 135–152. [Google Scholar] [CrossRef] [Green Version]
- Bosman, M.; Ye, E.; Tan, S.F.; Nijhuis, C.A.; Yang, J.K.W.; Marty, R.; Mlayah, A.; Arbouet, A.; Girard, C.; Han, M. Surface Plasmon Damping Quantified with an Electron Nanoprobe. Sci. Rep. 2013, 3, 1312. [Google Scholar] [CrossRef] [PubMed] [Green Version]









Publisher’s Note: MDPI stays neutral with regard to jurisdictional claims in published maps and institutional affiliations. |
© 2021 by the authors. Licensee MDPI, Basel, Switzerland. This article is an open access article distributed under the terms and conditions of the Creative Commons Attribution (CC BY) license (https://creativecommons.org/licenses/by/4.0/).
Share and Cite
Bahrami, M.; Vasilopoulos, P. Influence of Impurity Scattering on Surface Plasmons in Graphene in the Lindhard Approximation. Appl. Sci. 2021, 11, 10147. https://doi.org/10.3390/app112110147
Bahrami M, Vasilopoulos P. Influence of Impurity Scattering on Surface Plasmons in Graphene in the Lindhard Approximation. Applied Sciences. 2021; 11(21):10147. https://doi.org/10.3390/app112110147
Chicago/Turabian StyleBahrami, Mousa, and Panagiotis Vasilopoulos. 2021. "Influence of Impurity Scattering on Surface Plasmons in Graphene in the Lindhard Approximation" Applied Sciences 11, no. 21: 10147. https://doi.org/10.3390/app112110147
APA StyleBahrami, M., & Vasilopoulos, P. (2021). Influence of Impurity Scattering on Surface Plasmons in Graphene in the Lindhard Approximation. Applied Sciences, 11(21), 10147. https://doi.org/10.3390/app112110147
