Evaluating the Rheological, Chemical and Morphological Properties of SBS Modified Asphalt-Binder under Multiple Aging and Rejuvenation Cycles
Abstract
:Featured Application
Abstract
1. Introduction
2. Materials and Test Methods
2.1. Materials
2.1.1. Asphalt-Binder
2.1.2. Rejuvenators
2.2. Experimental Design Plan
2.3. Laboratory Testing
2.3.1. Rheological Property Tests
2.3.2. FTIR Tests
2.3.3. AFM Tests
2.3.4. Sample Replicates
3. Test Results, Analyses, and Discussion
3.1. Rheological Properties
3.1.1. Temperature Sweep Analysis
3.1.2. MSCR Analysis
3.1.3. LAS Analysis
3.2. FTIR Analysis
3.3. AFM Analysis
3.3.1. Microstructure of the Asphalt-Binder Surface
3.3.2. Morphological Features of the Asphalt-Binder Surface
4. Conclusions and Recommendations
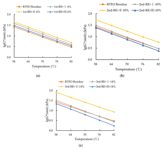
- The superiority ranking for the rutting factor of the repetitively aged asphalt-binders and fatigue factor of the repetitively rejuvenated asphalt-binders was Type II > Type I > Type III, respectively. Multiple rejuvenation cycles reduced the percentage recovery of the SBSMA with varying rejuvenators and made the asphalt-binder depend more sensitively on the strain levels. The fatigue life of the rejuvenated SBSMA with the three rejuvenators increased at low stress level and decreased at high strain level as the rejuvenation cycles were increased. Considering the high- and intermediate-temperature performance, the Type I rejuvenator exhibited a satisfactory rejuvenation effect.
- From FTIR analysis, the carbonyl and sulfoxide groups of SBSMA increased whilst the chain segments of butadiene decreased after repeated aging and rejuvenation cycles. The addition of the rejuvenator could not restore the chemical aging indices to the same level as the RTFO residue. During the multiple aging and rejuvenation cycles, the aging resistance of SBSMA gradually decreased. This inherently limited the expected rejuvenation effects under the repeated rejuvenation cycles.
- From AFM morphological analysis, PAV aging decreased the quantity of the beelike structures and the surface roughness of the asphalt-binders. The rejuvenators significantly changed the microscopic morphology and phase dispersion of the aged asphalt-binders. The three rejuvenators showed different rejuvenation effects, but generally increased the morphological undulations and surface roughness.
Author Contributions
Funding
Institutional Review Board Statement
Informed Consent Statement
Data Availability Statement
Acknowledgments
Conflicts of Interest
References
- Lesueur, D.; Teixeira, A.; Lázaro, M.M.; Andaluz, D.; Ruiz, A. A simple test method in order to assess the effect of mineral fillers on bitumen ageing. Constr. Build. Mater. 2016, 117, 182–189. [Google Scholar] [CrossRef]
- Ren, S.; Liu, X.; Xu, J.; Lin, P. Investigating the role of swelling-degradation degree of crumb rubber on CR/SBS modified porous asphalt binder and mixture. Constr. Build. Mater. 2021, 300, 124048. [Google Scholar] [CrossRef]
- Zhu, C.; Zhang, H.; Zhang, D.; Chen, Z. Influence of Base Asphalt and SBS Modifier on the Weathering Aging Behaviors of SBS Modified Asphalt. J. Mater. Civ. Eng. 2018, 30, 04017306. [Google Scholar] [CrossRef]
- Cong, P.; Guo, X.; Mei, L. Investigation on rejuvenation methods of aged SBS modified asphalt binder. Fuel 2020, 279, 118556. [Google Scholar] [CrossRef]
- Zeng, W.; Wu, S.; Wen, J.; Chen, Z. The temperature effects in aging index of asphalt during UV aging process. Constr. Build. Mater. 2015, 93, 1125–1131. [Google Scholar] [CrossRef]
- Ma, T.; Huang, X.; Zhao, Y.; Yuan, H. Aging Behaviour and Mechanism of SBS-Modified Asphalt. J. Test. Eval. 2012, 40, 20120150. [Google Scholar] [CrossRef]
- Ouyang, C.; Wang, S.; Zhang, Y.; Zhang, Y. Improving the aging resistance of styrene–butadiene–styrene tri-block copolymer modified asphalt by addition of antioxidants. Polym. Degrad. Stab. 2006, 91, 795–804. [Google Scholar] [CrossRef]
- Tauste, R.; Moreno-Navarro, F.; Sol-Sánchez, M.; Rubio-Gámez, M.C. Understanding the bitumen ageing phenomenon: A review. Constr. Build. Mater. 2018, 192, 593–609. [Google Scholar] [CrossRef]
- Wang, Z.; Ye, F. Experimental investigation on aging characteristics of asphalt based on rheological properties. Constr. Build. Mater. 2020, 231, 117158. [Google Scholar] [CrossRef]
- Xu, J.; Sun, L.; Pei, J.; Xue, B.; Liu, T.; Li, R. Microstructural, chemical and rheological evaluation on oxidative aging effect of SBS polymer modified asphalt. Constr. Build. Mater. 2021, 267, 121028. [Google Scholar] [CrossRef]
- Cuciniello, G.; Leandri, P.; Filippi, S.; Lo Presti, D.; Polacco, G.; Losa, M.; Airey, G. Microstructure and rheological response of laboratory-aged SBS-modified bitumens. Road Mater. Pavement Des. 2021, 22, 372–396. [Google Scholar] [CrossRef]
- Huang, M.; Dong, Q.; Ni, F.; Wang, L. LCA and LCCA based multi-objective optimization of pavement maintenance. J. Clean. Prod. 2021, 283, 124583. [Google Scholar] [CrossRef]
- Jiang, H.; Zhang, J.; Sun, C.; Liu, S.; Liang, M.; Yao, Z. Experimental assessment on engineering properties of aged bitumen incorporating a developed rejuvenator. Constr. Build. Mater. 2018, 179, 1–10. [Google Scholar] [CrossRef]
- Behnood, A. Application of rejuvenators to improve the rheological and mechanical properties of asphalt binders and mixtures: A review. J. Clean. Prod. 2019, 231, 171–182. [Google Scholar] [CrossRef]
- Yao, H.; Dai, Q.; You, Z. Fourier Transform Infrared Spectroscopy characterization of aging-related properties of original and nano-modified asphalt binders. Constr. Build. Mater. 2015, 101, 1078–1087. [Google Scholar] [CrossRef]
- Yan, C.; Huang, W.; Ma, J.; Xu, J.; Lv, Q.; Lin, P. Characterizing the SBS polymer degradation within high content polymer modified asphalt using ATR-FTIR. Constr. Build. Mater. 2020, 233, 117708. [Google Scholar] [CrossRef]
- Zhao, X.; Wang, S.; Wang, Q.; Yao, H. Rheological and structural evolution of SBS modified asphalts under natural weathering. Fuel 2016, 184, 242–247. [Google Scholar] [CrossRef]
- Feng, Z.; Cai, F.; Yao, D.; Li, X. Aging properties of ultraviolet absorber/SBS modified bitumen based on FTIR analysis. Constr. Build Mater. 2021, 273, 121713. [Google Scholar] [CrossRef]
- Lin, P.; Liu, X.; Apostolidis, P.; Erkens, S.; Zhang, Y.; Ren, S. ESEM observation and rheological analysis of rejuvenated SBS modified bitumen. Mater. Des. 2021, 204, 109639. [Google Scholar] [CrossRef]
- Yang, Z.; Zhang, X.; Zhang, Z.; Zou, B.; Zhu, Z.; Lu, G.; Xu, W.; Yu, J.; Yu, H. Effect of Aging on Chemical and Rheological Properties of Bitumen. Polymers 2018, 10, 1345. [Google Scholar] [CrossRef] [Green Version]
- Zhu, H.; Xu, G.; Gong, M.; Yang, J. Recycling long-term-aged asphalts using bio-binder/plasticizer-based rejuvenator. Constr. Build. Mater. 2017, 147, 117–129. [Google Scholar] [CrossRef]
- Guo, M.; Liang, M.; Jiao, Y.; Tan, Y.; Yu, J.; Luo, D. Effect of aging and rejuvenation on adhesion properties of modified asphalt binder based on AFM. J. Microsc. 2021. [Google Scholar] [CrossRef] [PubMed]
- Kaya Ozdemir, D.; Topal, A.; McNally, T. Relationship between microstructure and phase morphology of SBS modified bitumen with processing parameters studied using atomic force microscopy. Constr. Build. Mater. 2021, 268, 121061. [Google Scholar] [CrossRef]
- Cong, P.; Liu, N.; Tian, Y.; Zhang, Y. Effects of long-term aging on the properties of asphalt binder containing diatoms. Constr. Build. Mater. 2016, 123, 534–540. [Google Scholar] [CrossRef]
- Aghazadeh Dokandari, P.; Topal, A.; Kaya Ozdemir, D. Rheological and Microstructural Investigation of the Effects of Rejuvenators on Reclaimed Asphalt Pavement Bitumen by DSR and AFM. Int. J. Civ. Eng. 2021, 19, 749–758. [Google Scholar] [CrossRef]
- Chen, X.; Wang, J.; Zhang, X.; Liu, H.; Tong, J.; Zhao, R. Evaluating the Physical and Rheological Properties of Rejuvenated Styrene-Butadiene-Styrene-Modified Asphalt Binders. Adv. Mater. Sci. Eng. 2020, 2020, 1–14. [Google Scholar] [CrossRef]
- Grilli, A.; Gnisci, M.I.; Bocci, M. Effect of ageing process on bitumen and rejuvenated bitumen. Constr. Build. Mater. 2017, 136, 474–481. [Google Scholar] [CrossRef]
- Qian, Y.; Guo, F.; Leng, Z.; Zhang, Y.; Yu, H. Simulation of the field aging of asphalt binders in different reclaimed asphalt (RAP) materials in Hong Kong through laboratory tests. Constr. Build. Mater. 2020, 265, 120651. [Google Scholar] [CrossRef]
- ASTM D2872: Standard Test Method for Effect of Heat and Air on a Moving Film of Asphalt (Rolling Thin-Film Oven Test); ASTM International: West Conshohocken, PA, USA, 2019.
- ASTM D6521: Standard Practice for Accelerated Aging of Asphalt Binder Using a Pressurized Aging Vessel; ASTM International: West Conshohocken, PA, USA, 2019.
- ASTM D7405: Standard Test Method for Multiple Stress Creep and Recovery (MSCR) of Asphalt Binder Using a Dynamic Shear Rheometer; ASTM International: West Conshohocken, PA, USA, 2015.
- AASHTO T391-20: Standard Method of Test for Estimating Fatigue Resistance of Asphalt Binders Using the Linear Amplitude Sweep; American Association of State Highway and Transportation Office: Washington, DC, USA, 2020.
- Ren, R.; Han, K.; Zhao, P.; Shi, J.; Zhao, L.; Gao, D.; Zhang, Z.; Yang, Z. Identification of asphalt fingerprints based on ATR-FTIR spectroscopy and principal component-linear discriminant analysis. Constr. Build. Mater. 2019, 198, 662–668. [Google Scholar] [CrossRef]
- Zhang, J.; Simate, G.S.; Hu, X.; Souliman, M.; Walubita, L.F. Impact of recycled asphalt materials on asphalt binder properties and rutting and cracking performance of plant-produced mixtures. Constr. Build. Mater. 2017, 155, 654–663. [Google Scholar] [CrossRef]
- Kataware, A.V.; Singh, D. A study on rutting susceptibility of asphalt binders at high stresses using MSCR test. Innov. Infrastruct. Solut. 2017, 2, 4. [Google Scholar] [CrossRef]
- Zhong, H.; Huang, W.; Yan, C.; Zhang, Y.; Lv, Q.; Sun, L.; Liu, L. Investigating binder aging during hot in-place recycling (HIR) of asphalt pavement. Constr. Build. Mater. 2021, 276, 122188. [Google Scholar] [CrossRef]
- Ziari, H.; Amini, A.; Goli, A. The effect of different aging conditions and strain levels on relationship between fatigue life of asphalt binders and mixtures. Constr. Build. Mater. 2020, 244, 118345. [Google Scholar] [CrossRef]
- Zhao, Y.; Gu, F.; Xu, J.; Jin, J. Analysis of Aging Mechanism of SBS Polymer Modified Asphalt based on Fourier Transform Infrared Spectrum. J. Wuhan Univ. Technol. Mater. Sci. Ed. 2010, 25, 1047–1052. [Google Scholar] [CrossRef]
- Cortizo, M.S.; Larsen, D.O.; Bianchetto, H.; Alessandrini, J.L. Effect of the thermal degradation of SBS copolymers during the ageing of modified asphalts. Polym. Degrad. Stab. 2004, 86, 275–282. [Google Scholar] [CrossRef]
- Li, Y.; Li, L.; Zhang, Y.; Zhao, S.; Xie, L.; Yao, S. Improving the aging resistance of styrene-butadiene-styrene tri-block copolymer and application in polymer-modified asphalt. J. Appl. Polym. Sci. 2010, 116, 754–761. [Google Scholar] [CrossRef]
- Kuang, D.; Liu, W.; Xiao, Y.; Wan, M.; Yang, L.; Chen, H. Study on the rejuvenating mechanism in aged asphalt binder with mono-component modified rejuvenators. Constr. Build. Mater. 2019, 223, 986–993. [Google Scholar] [CrossRef]
- Hao, G.; Huang, W.; Yuan, J.; Tang, N.; Xiao, F. Effect of aging on chemical and rheological properties of SBS modified asphalt with different compositions. Constr. Build. Mater. 2017, 156, 902–910. [Google Scholar] [CrossRef]
- Xu, X.; Yu, J.; Xue, L.; Zhang, C.; Zha, Y.; Gu, Y. Investigation of Molecular Structure and Thermal Properties of Thermo-Oxidative Aged SBS in Blends and Their Relations. Materials 2017, 10, 768. [Google Scholar] [CrossRef] [PubMed]
- Cao, Z.; Chen, M.; Yu, J.; Han, X. Preparation and characterization of active rejuvenated SBS modified bitumen for the sustainable development of high-grade asphalt pavement. J. Clean. Prod. 2020, 273, 123012. [Google Scholar] [CrossRef]
- Cao, X.; Wang, H.; Cao, X.; Sun, W.; Zhu, H.; Tang, B. Investigation of Rheological and Chemical Properties Asphalt Binder Rejuvenated with Waste Vegetable Oil. Constr. Build. Mater. 2018, 180, 455–463. [Google Scholar] [CrossRef]
- Ding, L.; Wang, X.; Zhang, M.; Chen, Z.; Meng, J.; Shao, X. Morphology and properties changes of virgin and aged asphalt after fusion. Constr. Build. Mater. 2021, 291, 123284. [Google Scholar] [CrossRef]
- Yu, X.; Zaumanis, M.; dos Santos, S.; Poulikakos, L.D. Rheological, microscopic, and chemical characterization of the rejuvenating effect on asphalt binders. Fuel 2014, 135, 162–171. [Google Scholar] [CrossRef]













| Technical Index | Unit | Virgin | RTFO Residue | PAV Residue | Test Method |
|---|---|---|---|---|---|
| Penetration (25 °C, 100 g, 5 s) | 0.1 mm | 50.6 | 35.0 | 22.4 | ASTM D5 |
| Softening point, TR&B | °C | 78.9 | 81.0 | 83.2 | ASTM D36 |
| Ductility (5 °C, 5 cm/min) | cm | 25.2 | 14.7 | 2.0 | ASTM D113 |
| Technical Index | Unit | Type I | Type II | Type III | Test Method |
|---|---|---|---|---|---|
| Viscosity @25 °C | SFS | 25~150 | 20~60 | 25~150 | ASTM D7496 |
| Residue | % | >64 | 60~65 | >65 | ASTM D6934 |
| Particle charge | — | Positive | Positive | Positive | ASTM D7402 |
| Asphaltenes | % | <11.5 | 2~4 | <11 | ASTM D2006 |
| Maltene distribution ratio (PC+A1)/(S+A2) 1 | — | 0.8~1.4 | 0.5~0.9 | 0.7~1.1 | ASTM D2006 |
| PC/S ratio | — | >1.2 | >1.2 | >0.5 | ASTM D2006 |
Publisher’s Note: MDPI stays neutral with regard to jurisdictional claims in published maps and institutional affiliations. |
© 2021 by the authors. Licensee MDPI, Basel, Switzerland. This article is an open access article distributed under the terms and conditions of the Creative Commons Attribution (CC BY) license (https://creativecommons.org/licenses/by/4.0/).
Share and Cite
Chen, X.; Ning, Y.; Gu, Y.; Zhao, R.; Tong, J.; Wang, J.; Zhang, X.; Wen, W. Evaluating the Rheological, Chemical and Morphological Properties of SBS Modified Asphalt-Binder under Multiple Aging and Rejuvenation Cycles. Appl. Sci. 2021, 11, 9242. https://doi.org/10.3390/app11199242
Chen X, Ning Y, Gu Y, Zhao R, Tong J, Wang J, Zhang X, Wen W. Evaluating the Rheological, Chemical and Morphological Properties of SBS Modified Asphalt-Binder under Multiple Aging and Rejuvenation Cycles. Applied Sciences. 2021; 11(19):9242. https://doi.org/10.3390/app11199242
Chicago/Turabian StyleChen, Xiaobing, Yunfeng Ning, Yongming Gu, Ronglong Zhao, Jinhu Tong, Juntian Wang, Xiaorui Zhang, and Wei Wen. 2021. "Evaluating the Rheological, Chemical and Morphological Properties of SBS Modified Asphalt-Binder under Multiple Aging and Rejuvenation Cycles" Applied Sciences 11, no. 19: 9242. https://doi.org/10.3390/app11199242
APA StyleChen, X., Ning, Y., Gu, Y., Zhao, R., Tong, J., Wang, J., Zhang, X., & Wen, W. (2021). Evaluating the Rheological, Chemical and Morphological Properties of SBS Modified Asphalt-Binder under Multiple Aging and Rejuvenation Cycles. Applied Sciences, 11(19), 9242. https://doi.org/10.3390/app11199242

