Improved Model Predictive-Based Underwater Trajectory Tracking Control for the Biomimetic Spherical Robot under Constraints
Abstract
1. Introduction
2. Modeling of Biomimetic Spherical Robot
2.1. Design of Biomimetic Spherical Robot
2.2. Simplified Modeling of BSR for Trajectory Tracking
2.3. Model Parameter Identification of the BSR
3. Improved MPC-Based Trajectory Tracking Controller Design
3.1. Linearized Error Model of BSR
3.2. Improved MPC Trajectory Tracking Control Law for the BSR
3.3. Design of the Constraints
3.4. Solution to Proposed Algorithm
| Algorithm 1 MPC-based trajectory tracking control algorithm |
|
4. Simulation Results
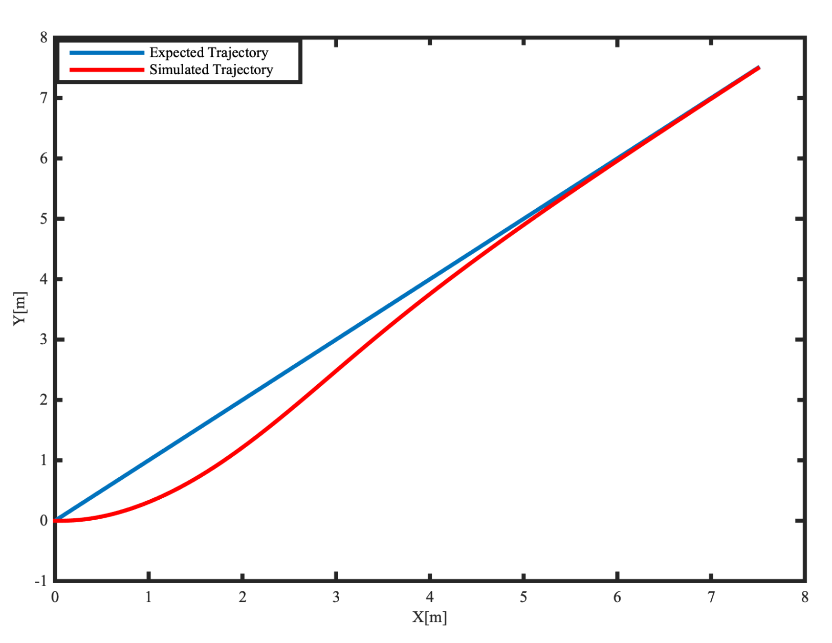
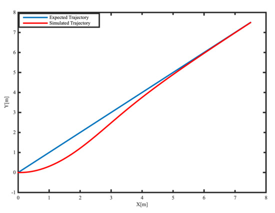
4.1. Tracking Performance
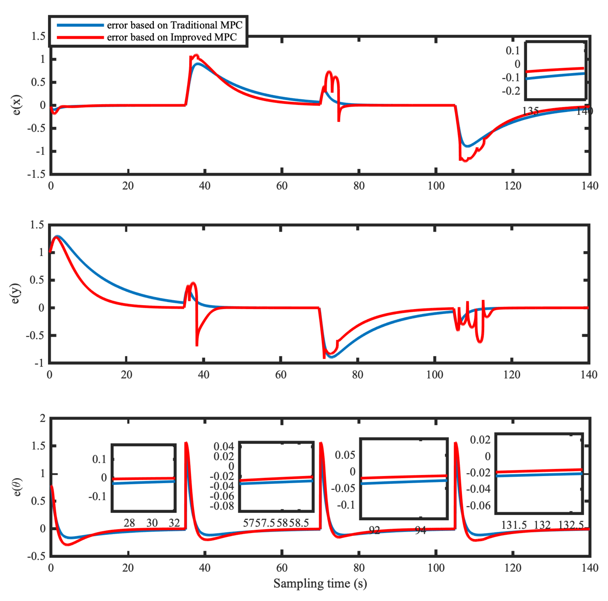
4.2. Comparative Simulations
5. Experiments and Results
5.1. Experimental Environment Settings and State Information Acquisition
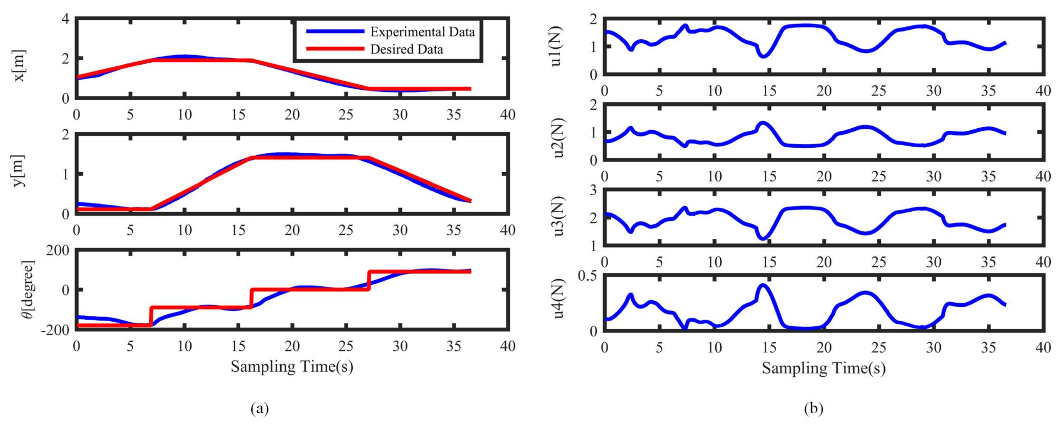
5.2. Experimental Results
5.3. Discussion
5.3.1. Further Analysis of the Experiment Results
5.3.2. Comparison Experiment in Square Tracking
6. Conclusions and Future Studies
Author Contributions
Funding
Acknowledgments
Conflicts of Interest
Appendix A
Appendix B
References
- Eren, F.; Pe’Eri, S.; Thein, M.W.; Rzhanov, Y.; Celikkol, B.; Swift, M.R. Position, Orientation and Velocity Detection of Unmanned Underwater Vehicles (UUVs) Using an Optical Detector Array. Sensors 2017, 17, 1741. [Google Scholar] [CrossRef] [PubMed]
- Lin, H.Y.; Zhu, L.Q.; Sun, G.K.; Qiao, J.F.; Guo, S.X. Underwater motion characteristics evaluation of multi amphibious spherical robots. Microsyst. Technol. 2018, 25, 1–10. [Google Scholar]
- Du, S.; Wu, Z.; Yu, J. Design and Yaw Control of a Two-Motor-Actuated Biomimetic Robotic Fish. In Proceedings of the 2019 IEEE International Conference on Robotics and Biomimetics, (ROBIO), Yunnan, China, 6–8 December 2019; pp. 126–131. [Google Scholar] [CrossRef]
- Wu, Z.; Yu, J.; Yuan, J.; Tan, M. Towards a Gliding Robotic Dolphin: Design, Modeling, and Experiments. IEEE/ASME Trans. Mechatronics 2019, 24, 260–270. [Google Scholar] [CrossRef]
- Wang, S.; Wang, Y.; Wei, Q.; Tan, M.; Yu, J. A Bio-Inspired Robot With Undulatory Fins and Its Control Methods. IEEE/ASME Trans. Mechatronics 2017, 22, 206–216. [Google Scholar] [CrossRef]
- Crespi, A.; Karakasiliotis, K.; Guignard, A.; Ijspeert, A.J. Salamandra Robotica II: An Amphibious Robot to Study Salamander-Like Swimming and Walking Gaits. IEEE Trans. Robot. 2013, 29, 308–320. [Google Scholar] [CrossRef]
- Zhang, S.; Zhou, Y.; Xu, M.; Liang, X.; Liu, J.; Yang, J. AmphiHex-I: Locomotory Performance in Amphibious Environments With Specially Designed Transformable Flipper Legs. IEEE/ASME Trans. Mechatronics 2016, 21, 1720–1731. [Google Scholar] [CrossRef]
- Li, M.; Guo, S.; Hirata, H.; Ishihara, H. A roller-skating/walking mode-based amphibious robot. Robot. Comput.-Integr. Manuf. 2017, 44, 17–29. [Google Scholar] [CrossRef]
- Yuan, J.; Wu, Z.; Yu, J.; Tan, M. Sliding Mode Observer-Based Heading Control for a Gliding Robotic Dolphin. IEEE Trans. Ind. Electron. 2017, 64, 6815–6824. [Google Scholar] [CrossRef]
- Jia, H.M. Three-dimensional Path Following Control for an Underactuated UUV Based on Nonlinear Iterative Sliding Mode. Acta Autom. Sin. 2012, 38, 308–314. [Google Scholar] [CrossRef]
- Elmokadem, T.; Zribi, M.; Youcef-Toumi, K. Trajectory tracking sliding mode control of underactuated AUVs. Nonlinear Dyn. 2016, 84, 1079–1091. [Google Scholar] [CrossRef]
- Elmokadem, T.; Zribi, M.; Youcef-Toumi, K. Terminal sliding mode control for the trajectory tracking of underactuated Autonomous Underwater Vehicles. Ocean Eng. 2017, 129, 613–625. [Google Scholar] [CrossRef]
- Soylu, S.; Proctor, A.A.; Podhorodeski, R.P.; Bradley, C.; Buckham, B.J. Precise trajectory control for an inspection class ROV. Ocean Eng. 2016, 111, 508–523. [Google Scholar] [CrossRef]
- Guerrero, J.; Torres, J.; Creuze, V.; Chemori, A. Trajectory tracking for autonomous underwater vehicle: An adaptive approach. Ocean Eng. 2019, 172, 511–522. [Google Scholar] [CrossRef]
- Soylu, S.; Buckham, B.J.; Podhorodeski, R.P. A chattering-free sliding-mode controller for underwater vehicles with fault-tolerant infinity-norm thrust allocation. Ocean Eng. 2008, 35, 1647–1659. [Google Scholar] [CrossRef]
- Pan, C.Z.; Lai, X.Z.; Yang, S.X.; Wu, M. An efficient neural network approach to tracking control of an autonomous surface vehicle with unknown dynamics. Expert Syst. Appl. Int. J. 2013, 40, 1629–1635. [Google Scholar] [CrossRef]
- Miao, B.; Li, T.; Luo, W. A DSC and MLP based robust adaptive NN tracking control for underwater vehicle. Neurocomputing 2013, 111, 184–189. [Google Scholar] [CrossRef]
- Hu, Z.; Zhu, D.; Cui, C.; Sun, B. Trajectory Tracking and Re-planning with Model Predictive Control of Autonomous Underwater Vehicles. J. Navig. 2019, 72, 321–341. [Google Scholar] [CrossRef]
- Bing, S.; Zhu, D.; Yang, S.X. A Bioinspired Filtered Backstepping Tracking Control of 7000-m Manned Submarine Vehicle. IEEE Trans. Ind. Electron. 2014, 61, 3682–3693. [Google Scholar]
- Xiang, X.; Lapierre, L.; Jouvencel, B. Smooth transition of AUV motion control: From fully-actuated to under-actuated configuration. Rob. Auton. Syst. 2015, 67, 14–22. [Google Scholar] [CrossRef]
- Li, H.; Yan, W. Model Predictive Stabilization of Constrained Underactuated Autonomous Underwater Vehicles With Guaranteed Feasibility and Stability. IEEE/ASME Trans. Mechatronics 2017, 22, 1185–1194. [Google Scholar] [CrossRef]
- Chao, S.; Yang, S.; Buckham, B. Integrated Path Planning and Tracking Control of an AUV: A Unified Receding Horizon Optimization Approach. IEEE/ASME Trans. Mechatronics 2016, 22, 1163–1173. [Google Scholar]
- Chao, S.; Buckham, B.; Yang, S. Modified C/GMRES Algorithm for Fast Nonlinear Model Predictive Tracking Control of AUVs. IEEE Trans. Control Syst. Technol. 2016, 25, 1–9. [Google Scholar]
- Chao, S.; Yang, S.; Buckham, B. Trajectory Tracking Control of an Autonomous Underwater Vehicle using Lyapunov-based Model Predictive Control. IEEE Trans. Ind. Electron. 2018, 65, 5796–5805. [Google Scholar]
- Hou, X.; Guo, S.; Shi, L.; Xing, H.; Liu, Y.; Liu, H.; Hu, Y.; Xia, D.; Li, Z. Hydrodynamic Analysis-Based Modeling and Experimental Verification of a New Water-Jet Thruster for an Amphibious Spherical Robot. Sensors 2019, 19, 259. [Google Scholar] [CrossRef] [PubMed]
- Xing, H.; Guo, S.; Shi, L.; Hou, H.; Su, S.; Chen, Z.; Liu, Y.; Liu, H.; Hu, Y.; Xia, D.; et al. A Novel Small-scale Turtle-inspired Amphibious Spherical Robot. In Proceedings of the 2019 IEEE/RSJ International Conference on Intelligent Robots and Systems (IROS), Macau, China, 3–8 November 2019. [Google Scholar]
- Xing, H.; Shi, L.; Tang, K.; Guo, S.; Hou, X.; Liu, Y.; Liu, H.; Hu, Y. Robust RGB-D Camera and IMU Fusion-based Cooperative and Relative Close-range Localization for Multiple Turtle-inspired Amphibious Spherical Robots. J. Bionic Eng. 2019, 16, 442–454. [Google Scholar] [CrossRef]
- Mishra, R.; Chitre, M. Modelling of an AUV with Voith-Schneider vector thruster. In Proceedings of the 2016 IEEE/OES Autonomous Underwater Vehicles (AUV), Tokyo, Japan, 6–9 November 2016; pp. 355–359. [Google Scholar] [CrossRef]
- Zeng, J.; Li, S.; Li, Y.; Liu, X.; Wang, X.; Liu, J. Research on dynamic modeling and predictive control of portable autonomous underwater vehicle. In Proceedings of the OCEANS 2017—Anchorage, Anchorage, AK, USA, 18–21 September 2017; pp. 1–5. [Google Scholar]
- Eng, Y.H.; Teo, K.M.; Chitre, M.; Ng, K.M. Online System Identification of an Autonomous Underwater Vehicle Via In-Field Experiments. IEEE J. Ocean. Eng. 2016, 41, 5–17. [Google Scholar] [CrossRef]
- Kopman, V.; Laut, J.; Acquaviva, F.; Rizzo, A.; Porfiri, M. Dynamic Modeling of a Robotic Fish Propelled by a Compliant Tail. IEEE J. Ocean. Eng. 2015, 40, 209–221. [Google Scholar] [CrossRef]
- Karras, G.C.; Marantos, P.; Bechlioulis, C.P.; Kyriakopoulos, K.J. Unsupervised Online System Identification for Underwater Robotic Vehicles. IEEE J. Ocean. Eng. 2019, 44, 642–663. [Google Scholar] [CrossRef]
- Xing, H.; Guo, S.; Shi, L.; He, Y.; Su, S.; Chen, Z.; Hou, X. Hybrid Locomotion Evaluation for a Novel Amphibious Spherical Robot. Appl. Sci. 2018, 8, 156. [Google Scholar] [CrossRef]
























| Items | Parameters |
|---|---|
| Dimension | 30 cm × 60 cm × 30 cm |
| Mass in air | 6.5 Kg |
| Processors | NVIDIA Jetson Tk1 STM32F407 |
| Max thrust | 3.8 N |
| Sensors | Pressure sensor(MS5803-14BA ) IMU(3DM-GX5-45) Stereo camera Acoustic communication module(Micron Sonar) |
| Power | 7.4 V rechargeable Ni-MH batteries (13,200 mAh) |
| Operation time | average 100 min |
| Items | Parameters |
|---|---|
| Intrinsic matrix | |
| Radial Distortion | |
| Tangential Distortion |
| Line | Square | |
|---|---|---|
| 0.208 | 0.080 | |
| 0.210 | 0.067 | |
| 0.246 | 0.437 |
| Traditional MPC | Backstepping | Proposed MPC | |
|---|---|---|---|
| 0.046 | 0.043 | 0.037 | |
| 0.038 | 0.027 | 0.026 | |
| 0.336 | 0.329 | 0.317 |
Publisher’s Note: MDPI stays neutral with regard to jurisdictional claims in published maps and institutional affiliations. |
© 2020 by the authors. Licensee MDPI, Basel, Switzerland. This article is an open access article distributed under the terms and conditions of the Creative Commons Attribution (CC BY) license (http://creativecommons.org/licenses/by/4.0/).
Share and Cite
Hou, X.; Guo, S.; Shi, L.; Xing, H.; Yin, H.; Li, Z.; Zhou, M.; Xia, D. Improved Model Predictive-Based Underwater Trajectory Tracking Control for the Biomimetic Spherical Robot under Constraints. Appl. Sci. 2020, 10, 8106. https://doi.org/10.3390/app10228106
Hou X, Guo S, Shi L, Xing H, Yin H, Li Z, Zhou M, Xia D. Improved Model Predictive-Based Underwater Trajectory Tracking Control for the Biomimetic Spherical Robot under Constraints. Applied Sciences. 2020; 10(22):8106. https://doi.org/10.3390/app10228106
Chicago/Turabian StyleHou, Xihuan, Shuxiang Guo, Liwei Shi, Huiming Xing, He Yin, Zan Li, Mugen Zhou, and Debin Xia. 2020. "Improved Model Predictive-Based Underwater Trajectory Tracking Control for the Biomimetic Spherical Robot under Constraints" Applied Sciences 10, no. 22: 8106. https://doi.org/10.3390/app10228106
APA StyleHou, X., Guo, S., Shi, L., Xing, H., Yin, H., Li, Z., Zhou, M., & Xia, D. (2020). Improved Model Predictive-Based Underwater Trajectory Tracking Control for the Biomimetic Spherical Robot under Constraints. Applied Sciences, 10(22), 8106. https://doi.org/10.3390/app10228106

