Noise Analysis in Pre-Amplifier Circuits Associated to Highly Sensitive Optically-Pumped Magnetometers for Geomagnetic Applications
Abstract
Featured Application
Abstract
1. Introduction
2. Principle of Mx Optically Pumped Cesium Magnetometer
3. Noise Analysis and Optimizations of Photoelectric Detection Circuit
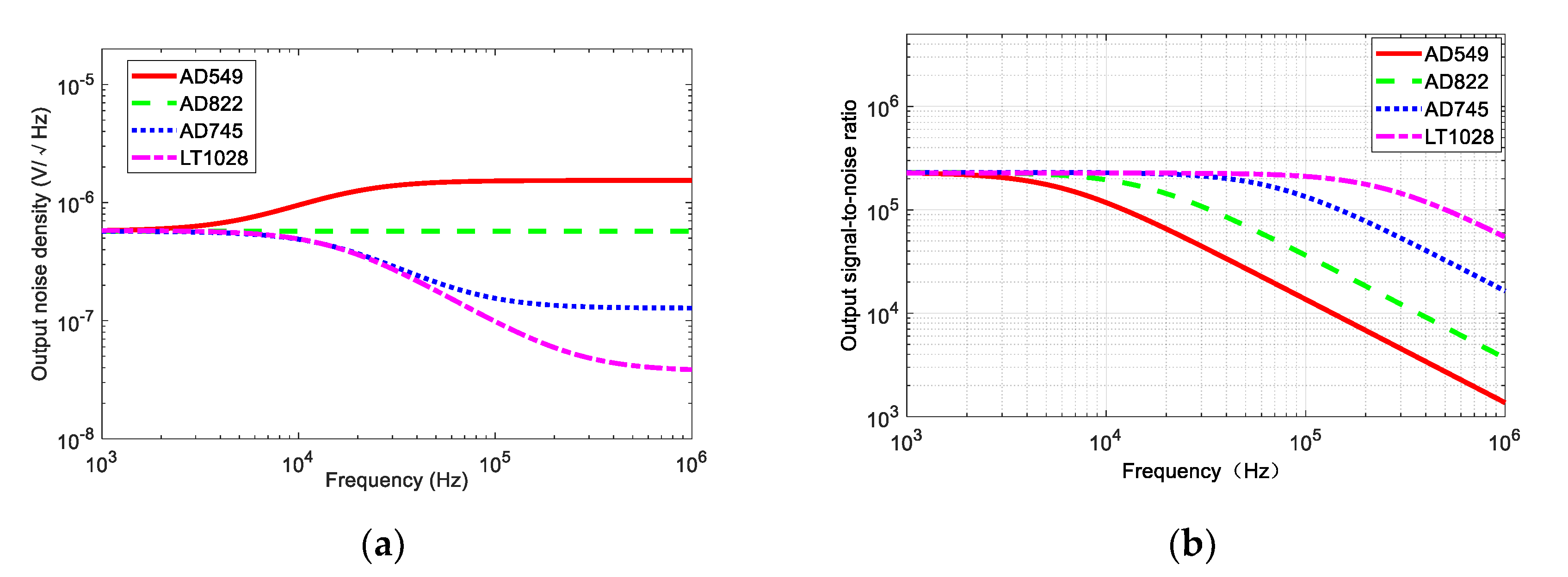
3.1. Noise Analysis of Photoelectric Detection Circuit
3.2. Optimized Design of Photoelectric Detection Circuit
4. Experiment and Discussion
4.1. Test of Photoelectric Detection Circuit
4.2. Optimization of RF Power
4.3. Optimization of Incident Light Power
4.4. Optimization of Cell Temperature
5. Conclusions
Author Contributions
Funding
Conflicts of Interest
References
- Kitching, J.; Knappe, S.; Donley, E.A. Atomic sensors—A review. IEEE Sens. J. 2011, 11, 1749–1758. [Google Scholar] [CrossRef]
- Jiménez-Martínez, R.; Griffith, W.C.; Knappe, S.; Kitching, J.; Prouty, M. High-bandwidth optical magnetometer. J. Opt. Soc. Am. B 2012, 29, 3398–3403. [Google Scholar] [CrossRef]
- Savukov, I.; Kim, Y.J.; Shah, V.; Boshier, M.G. High-sensitivity operation of single-beam optically pumped magnetometer in a kHz frequency range. Meas. Sci. Technol. 2017, 28. [Google Scholar] [CrossRef]
- Prouty, M.D.; Johnson, R.; Hrvoic, I.; Vershovskiy, A.K. Geophysical applications. In Optical Magnetometry; Budker, D., Kimball, D.F.J., Eds.; Cambridge University Press: Cambridge, UK, 2013; pp. 319–336. [Google Scholar]
- Auster, H.U.; Mandea, M.; Hemshorn, A.; Pulz, E.; Korte, M. Automation of absolute measurement of the geomagnetic field. Earth Planets Space 2007, 59, 1007–1014. [Google Scholar] [CrossRef]
- Wang, H.; Wu, T.; Wang, H.; Li, S.; Lin, Z.; Peng, X.; Guo, H. A Compact Laser Pumped 4He Magnetometer with Laser-Frequency Stabilization by Inhomogeneous Light Shifts. Appl. Sci. 2020, 10, 3608. [Google Scholar] [CrossRef]
- Leger, J.M.; Bertrand, F.; Jager, T.; Prado, M.L.; Fratter, I.; Lalaurie, J.C. Swarm absolute scalar and vector magnetometer based on helium 4 optical pumping. Procedia Chem. 2009, 1, 634–637. [Google Scholar] [CrossRef]
- Aleksandrov, E.B.; Vershovskii, A.K. Modern radio-optical methods in quantum magnetometry. Phys. Uspekhi 2009, 52, 573–601. [Google Scholar] [CrossRef]
- Bison, G.; Wynands, R.; Weis, A. A laser-pumped magnetometer for the mapping of human cardiomagnetic fields. Appl. Phys. B 2003, 76, 325–328. [Google Scholar] [CrossRef]
- Bison, G.; Wynands, R.; Weis, A. Optimization and performance of an optical cardiomagnetometer. J. Opt. Soc. Am. B 2005, 22, 77–87. [Google Scholar] [CrossRef]
- Jodko-Władzińska, A.; Wildner, K.; Pałko, T.; Władziński, M. Compensation System for Biomagnetic Measurements with Optically Pumped Magnetometers inside a Magnetically Shielded Room. Sensors 2020, 20, 4563. [Google Scholar] [CrossRef]
- Dang, H.B.; Maloof, A.C.; Romalis, M.V. Ultra-high sensitivity magnetic field and magnetization measurements with an atomic magnetometer. Appl. Phys. Lett. 2010, 97, 227. [Google Scholar] [CrossRef]
- Shah, V.; Knappe, S.; Schwindt, P.D.D.; Kitching, J. Subpicotesla atomic magnetometry with a microfabricated vapour cell. Nat. Photonics 2007, 1, 649–652. [Google Scholar] [CrossRef]
- Groeger, S.; Pazgalev, A.S.; Weis, A. Comparison of discharge lamp and laser pumped cesium magnetometers. Appl. Phys. B 2005, 80, 645–654. [Google Scholar] [CrossRef]
- Groeger, S.; Bison, G.; Schenker, J.L.; Wynands, R.; Weis, A. A high-sensitivity laser-pumped Mx magnetometer. Eur. Phys. J. D 2006, 38, 239–247. [Google Scholar] [CrossRef]
- Scholtes, T.; Schultze, V.; IJsselsteijn, R.; Woetzel, S.; Meyer, H.G. Light-narrowed optically pumped Mx magnetometer with a miniaturized Cs cell. Phys. Rev. A 2011, 84. [Google Scholar] [CrossRef]
- Scholtes, T.; Woetzel, S.; IJsselsteijn, R.; Schultze, V.; Meyer, H.G. Intrinsic relaxation rates of polarized Cs vapor in miniaturized cells. Appl. Phys. B 2014, 117, 211–218. [Google Scholar] [CrossRef]
- Schultze, V.; IJsselsteijn, R.; Scholtes, T.; Woetzel, S.; Meyer, H.G. Characteristics and performance of an intensity-modulated optically pumped magnetometer in comparison to the classical Mx magnetometer. Opt. Express 2012, 20, 14201–14212. [Google Scholar] [CrossRef]
- Chen, X.; Zhang, H.; Zou, S. Measurement Sensitivity Improvement of All-Optical Atomic Spin Magnetometer by Suppressing Noises. Sensors 2016, 16, 896. [Google Scholar] [CrossRef]
- The Brochure of CS-3 High Sensitivity CS Magnetometer. Available online: https://scintrexltd.com/wp-content/uploads/2017/03/CS-3-Brochure-762711_3.pdf (accessed on 30 August 2020).
- The Brochure of G-824A CS Magnetometer. Available online: https://geometrics.com/wp-content/uploads/2018/10/G-824ASpecSheetPROOF072017.pdf (accessed on 30 August 2020).
- The Brochure of GSMP-35 Potassium Magnetometer. Available online: https://www.gemsys.ca/wp-content/themes/gemsystems/pdf/GEM_Potassium_GSMP-35_fin.pdf (accessed on 30 August 2020).
- The Brochure of Quspin Total-Field Magnetometer. Available online: http://quspin.com/wp-content/uploads/2016/09/QMAG-TF-Spec-Sheet.pdf (accessed on 30 August 2020).
- Mateos, I.; Patton, B.; Zhivun, E.; Budker, D.; Wurm, D.; Ramos-Castro, J. Noise characterization of an atomic magnetometer at sub-millihertz frequencies. Sens. Actuator A Phys. 2015, 224, 147–155. [Google Scholar] [CrossRef]
- Vershovskii, A.K.; Pazgalev, A.S. Optimization of the Q Factor of the Magnetic Mx Resonance under Optical Pump Conditions. Tech. Phys. 2008, 53, 646–654. [Google Scholar] [CrossRef]
- Kawabata, R.; Fukuda, K.; Kandori, A. Optimized Condition for Buffer Gas in Optical-Pumped Magnetometer Operated at Room Temperature. Jpn. J. Appl. Phys. 2010, 49. [Google Scholar] [CrossRef]
- Shi, R.; Wang, Y. Analysis of influence of RF power and buffer gas pressure on sensitivity of optically pumped cesium magnetometer. Chin. Phys. B 2013, 22, 100703. [Google Scholar] [CrossRef]
- Weis, A.; Bison, G.; Grujić, Z.D. Magnetic Resonance Based Atomic Magnetometers. In High Sensitivity Magnetometers; Grosz, A., Haji-Sheikh, M.J., Mukhopadhyay, S.C., Eds.; Springer International Publishing: Cham, Switzerland, 2017; pp. 361–424. [Google Scholar]
- Bloom, A.L. Principles of Operation of the Rubidium Vapor Magnetometer. Appl. Opt. 1962, 1, 61–68. [Google Scholar] [CrossRef]
- Wright, P.; Ozanyan, K.B.; Carey, S.J.; McCann, H. Design of high-performance photodiode receivers for optical tomography. IEEE Sens. J. 2005, 5, 281–288. [Google Scholar] [CrossRef]
- Ding, Z.C.; Yuan, J.; Long, X.W. Design and optimization of a high-sensitivity radio-optical cesium magnetometer. Opt Laser Technol. 2019, 119, 105573. [Google Scholar] [CrossRef]
Publisher’s Note: MDPI stays neutral with regard to jurisdictional claims in published maps and institutional affiliations. |














| Parameters | Value |
|---|---|
| Sensitivity (@ λ=894 nm), η | 0.55 A/W |
| Terminal capacitance, Ci | 4300 pF |
| Shunt resistance, Rs | 10 GΩ |
| Dark current, Id | 50 pA |
| AD549 | AD822 | AD745 | LT1028 | |
|---|---|---|---|---|
| equivalent input noise voltage (nV/√Hz) | 35 | 13 | 2.9 | 0.85 |
| equivalent input noise current (fA/√Hz) | 0.11 | 0.8 | 6.9 | 1000 |
© 2020 by the authors. Licensee MDPI, Basel, Switzerland. This article is an open access article distributed under the terms and conditions of the Creative Commons Attribution (CC BY) license (http://creativecommons.org/licenses/by/4.0/).
Share and Cite
Liu, L.; Lu, Y.; Zhuang, X.; Zhang, Q.; Fang, G. Noise Analysis in Pre-Amplifier Circuits Associated to Highly Sensitive Optically-Pumped Magnetometers for Geomagnetic Applications. Appl. Sci. 2020, 10, 7172. https://doi.org/10.3390/app10207172
Liu L, Lu Y, Zhuang X, Zhang Q, Fang G. Noise Analysis in Pre-Amplifier Circuits Associated to Highly Sensitive Optically-Pumped Magnetometers for Geomagnetic Applications. Applied Sciences. 2020; 10(20):7172. https://doi.org/10.3390/app10207172
Chicago/Turabian StyleLiu, Leisong, Yuantian Lu, Xin Zhuang, Qunying Zhang, and Guangyou Fang. 2020. "Noise Analysis in Pre-Amplifier Circuits Associated to Highly Sensitive Optically-Pumped Magnetometers for Geomagnetic Applications" Applied Sciences 10, no. 20: 7172. https://doi.org/10.3390/app10207172
APA StyleLiu, L., Lu, Y., Zhuang, X., Zhang, Q., & Fang, G. (2020). Noise Analysis in Pre-Amplifier Circuits Associated to Highly Sensitive Optically-Pumped Magnetometers for Geomagnetic Applications. Applied Sciences, 10(20), 7172. https://doi.org/10.3390/app10207172

