Importance of Biometals as Targets in Medicinal Chemistry: An Overview about the Role of Zinc (II) Chelating Agents
Abstract
1. Introduction
2. Zinc Binding Groups in Chelation Therapy
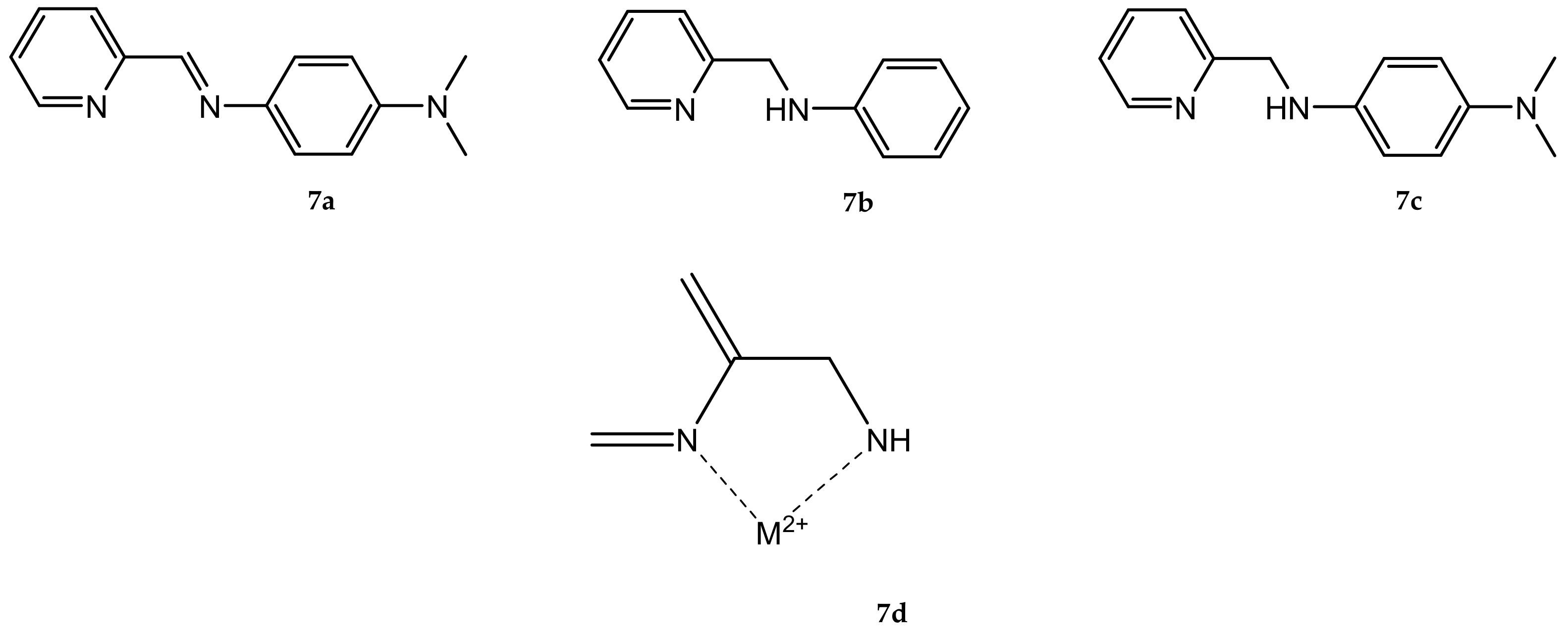
2.1. Treatment of Alzheimer’s Disease
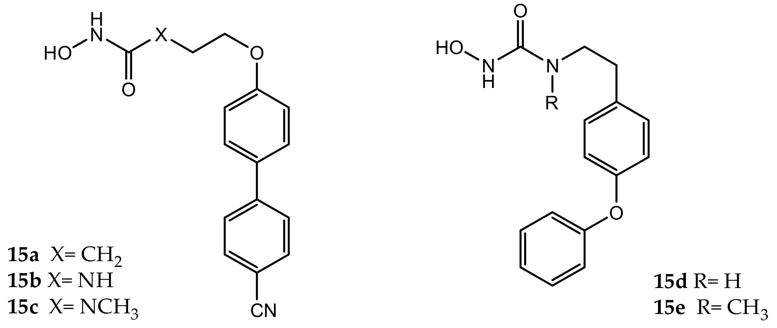
2.2. Inhibition of Matrix Metalloproteinases
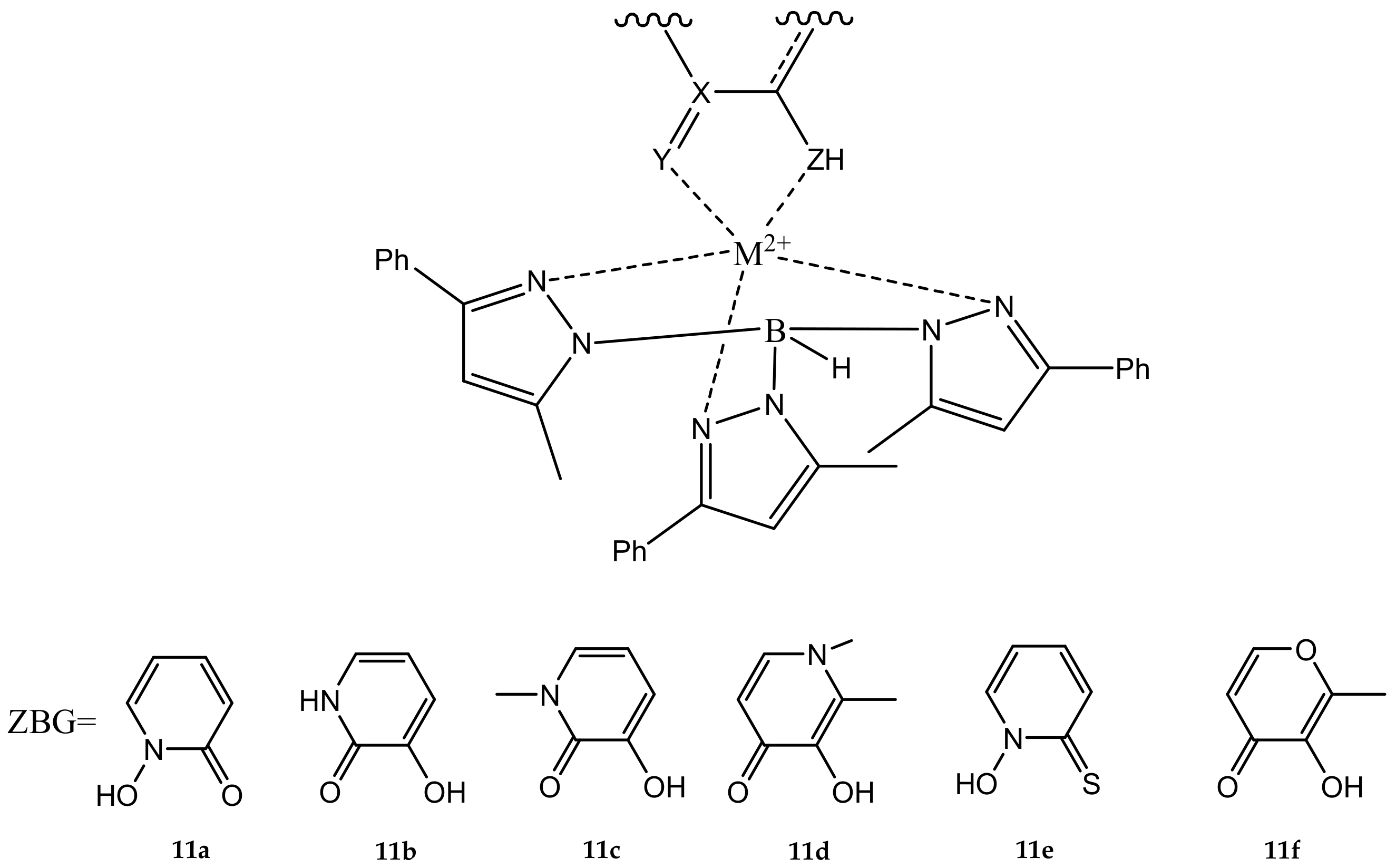
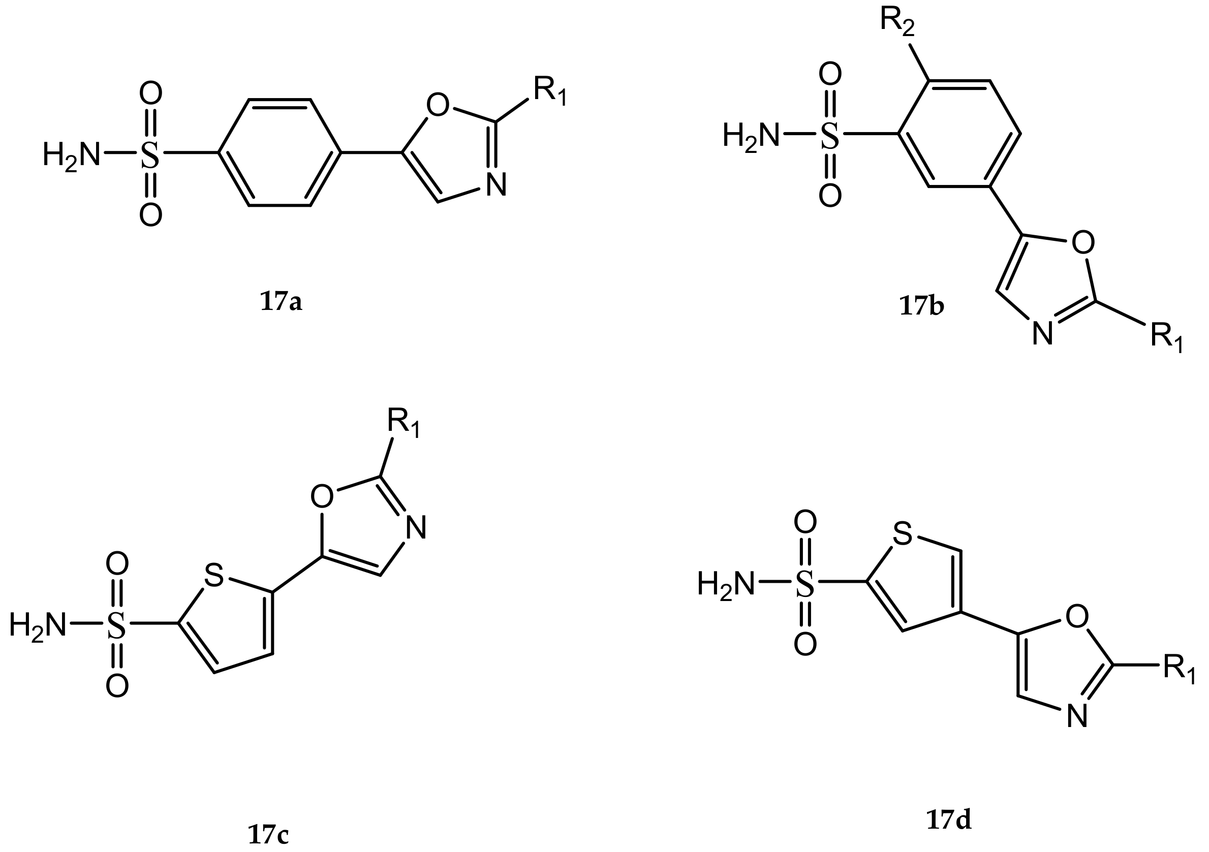
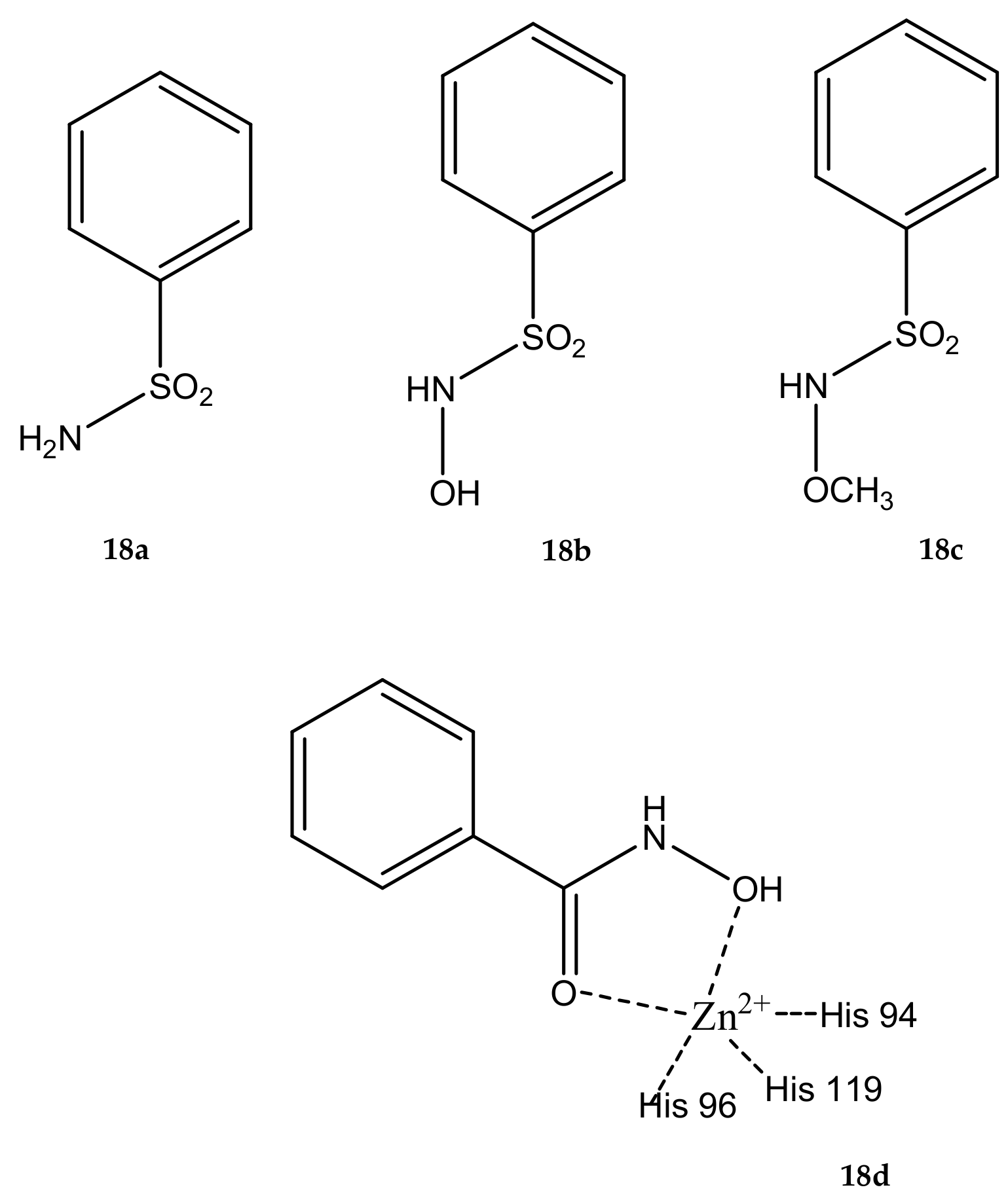
2.3. Inhibition of Carbonic Anhydrases
3. Conclusions
Author Contributions
Funding
Conflicts of Interest
References
- Sigel, A. Metal Ions in Biological Systems, Metal Ions and Their Complexes in Medication, 1st ed.; CRC Press: Boca Raton, FL, USA, 2004; Volume 41, ISBN 9780824753511. [Google Scholar]
- Sears, M.E. Chelation: Harnessing and Enhancing Heavy Metal Detoxification—A Review. Sci. World J. 2013, 219840. [Google Scholar] [CrossRef]
- Lamas, G.A.; Navas-Acien, A.; Mark, D.B.; Lee, K.L. Heavy Metals, Cardiovascular Disease, and the Unexpected Benefits of Chelation Therapy. J. Am. Coll. Cardiol. 2016, 67, 2411–2418. [Google Scholar] [CrossRef]
- Viles, J.H. Metal ions and amyloid fiber formation in neurodegenerative diseases. Copper, zinc and iron in Alzheimer’s, Parkinson’s and prion diseases. Coord. Chem. Rev. 2012, 256, 2271–2284. [Google Scholar] [CrossRef]
- Kozlowski, H.; Luczkowski, M.; Remelli, M.; Valensin, D. Copper, zinc and iron in neurodegenerative diseases (Alzheimer’s, Parkinson’s and prion diseases). Coord. Chem. Rev. 2012, 256, 2129–2141. [Google Scholar] [CrossRef]
- Bolognin, S.; Drago, D.; Messori, L.; Zatta, P. Chelation Therapy for Neurodegenerative Diseases. Med. Res. Rev. 2009, 29, 547–570. [Google Scholar] [CrossRef]
- Morgan, G.; Drew, H.D.K. CLXII.-Researches on Residual Affinity and co-ordination. Part II. Acetylacetonenes of Selenium and Tellurium. J. Chem. Soc. Trans. 1920, 117, 1456–1465. [Google Scholar] [CrossRef]
- Hegdea, M.L.; Bharathia, P.; Surama, A.; Venugopal, C.; Jagannathan, R.; Poddar, P.; Srinivas, P.; Sambamurti, K.; Rao, K.J.; Janez Scancar, J.; et al. Challenges Associated with Metal Chelation Therapy in Alzheimer’s Disease. J. Alzheimers Dis. 2009, 17, 457–468. [Google Scholar] [CrossRef]
- August, J.T.; Murad, F.; Anders, M.W.; Coyle, J.T.; Pack, L. Antioxidants in Disease Mechanisms and Therapy, 1st ed.; Academic Press: Cambridge, MA, USA, 1996; ISBN 9780080581309. [Google Scholar]
- Crisponi, G.; Nurchi, V.M.; Crespo-Alonso, M.; Toso, L. Chelating Agents for Metal Intoxication. Cur. Med. Chem. 2012, 19, 2794–2815. [Google Scholar] [CrossRef]
- Somasundaran, P.; Nagaraj, D.R. Chemistry and application of chelating agents in flotation and flocculation. In Reagents in Mineral Industry; Jones, M.J., Oblatt, R., Eds.; Institute of Mining and Metallurgy: London, UK, 1984; pp. 209–219. ISBN 9780900488788. [Google Scholar]
- Pearson, R.G. Hard and soft acids and bases. J. Am. Chem. Soc. 1963, 85, 3533–3539. [Google Scholar] [CrossRef]
- Jones, M.M.; Vaughn, W.K. HSAB theory and acute metal ion toxicity and detoxification processes. J. Inorg. Nucl. Chem. 1978, 40, 2081–2088. [Google Scholar] [CrossRef]
- Ferrari, E. Curcumin Derivatives as Metal-Chelating Agents: Implications for Potential Therapeutic Agents for Neurological Disorders. In Curcumin for Neurological and Psychiatric Disorders, 1st ed.; Farooqui, T., Farooqui, A., Eds.; Elsevier Science Publishing Co. Inc.: Philadelphia, PA, USA, 2019; pp. 275–299. ISBN 9780128154618. [Google Scholar] [CrossRef]
- Mot, A.I.; Crouch, P.J. Biometals and Alzheimer’s Disease. In Biometals in Neurodegenerative Diseases: Mechanisms and Therapeutics; White, A.R., Aschner, M., Costa, L.G., Bush, A.I., Eds.; Elsevier Science Publishing Co. Inc.: Philadelphia, PA, USA, 2017; pp. 1–17. ISBN 9780128045626. [Google Scholar]
- McCall, K.A.; Huang, C.; Fierke, C.A. Function and Mechanism of Zinc Metalloenzymes. J. Nutr. 2000, 130, 1437S–1446S. [Google Scholar] [CrossRef]
- Maret, W.; Sandstead, H.H. Zinc requirements and the risks and benefits of zinc supplementation. J. Trace Elem. Med. Biol. 2006, 20, 3–18. [Google Scholar] [CrossRef]
- Anzellotti, A.I.; Farrell, N.P. Zinc metalloproteins as medicinal targets. Chem. Soc. Rev. 2008, 37, 1629–1651. [Google Scholar] [CrossRef]
- Piemontese, L. New approaches for prevention and treatment of Alzheimer’s disease: A fascinating challenge. Neural Regen. Res. 2017, 12, 405–406. [Google Scholar]
- Hiremathad, A.; Piemontese, L. Heterocyclic compounds as key structures for the interaction with old and new targets in Alzheimer’s disease therapy. Neural Regen. Res. 2017, 12, 1256–1261. [Google Scholar]
- Domingo, J.L. Aluminium and other metals in Alzheimer’s disease: A review of potential therapy with chelating agents. J. Alzheimers Dis. 2006, 10, 331–341. [Google Scholar] [CrossRef]
- Piemontese, L.; Loiodice, F.; Chaves, S.; Santos, M.A. The Therapy of Alzheimer’s Disease: Towards a New Generation of Drugs. Front. Clin. Drug Res. Alzheimer Disord. 2019, 8, 33–80. [Google Scholar]
- Sharma, A.; Pachauri, V.; Flora, S.J.S. Advances in Multi-Functional Ligands and the Need for Metal-Related Pharmacology for the Management of Alzheimer Disease. Front. Pharmacol. 2018, 9, 1247:1–1247:19. [Google Scholar] [CrossRef]
- Conte-Daban, A.; Day, A.; Faller, P.; Hureau, C. How Zn can impede Cu detoxification by chelating agents in Alzheimer’s disease: A proof-of-concept study. Dalton Trans. 2016, 45, 15671–15678. [Google Scholar] [CrossRef]
- Chaves, S.; Hiremathad, A.; Tomàs, D.; Keri, R.S.; Piemontese, L.; Santos, M.A. Exploring the chelating capacity of 2-hydroxyphenyl-benzimidazole based hybrids with multi-target ability as anti-Alzheimer’s agents. New J. Chem. 2018, 42, 16503–16515. [Google Scholar] [CrossRef]
- Molina-Holgado, F.; Hider, R.C.; Gaeta, A.; Williams, R.; Francis, P. Metals ions and neurodegeneration. Biometals 2007, 20, 639–654. [Google Scholar] [CrossRef]
- Budimir, A.; Humbert, N.; Elhabiri, M.; Osinska, I.; Biruš, M.; Albrecht-Gary, A.-M. Hydroxyquinoline based binders: Promising ligands for chelatotherapy? J. Inorg. Chem. 2011, 105, 490–496. [Google Scholar]
- Cherny, R.A.; Atwood, C.S.; Xilinas, M.E.; Gray, D.N.; Jones, W.D.; McLean, C.A.; Barnham, K.J.; Volitakis, I.; Fraser, F.W.; Kim, Y.; et al. Treatment with a copper–zinc chelator markedly and rapidly inhibits b-amyloid accumulation in Alzheimer’s disease transgenic mice. Neuron 2001, 30, 665–676. [Google Scholar] [CrossRef]
- Di Vaira, M.; Bazzicalupi, C.; Orioli, P.; Messori, L.; Bruni, B.; Zatta, P. Clioquinol, a Drug for Alzheimer’s Disease Specifically Interfering with Brain Metal Metabolism: Structural Characterization of Its Zinc(II) and Copper(II) Complexes. Inorg. Chem. 2004, 43, 3795–3797. [Google Scholar] [CrossRef]
- Benvenisti-Zarom, L.; Chen, J.; Regan, R.F. The oxidative neurotoxicity of clioquinol. Neuropharmacology 2005, 49, 687–694. [Google Scholar] [CrossRef]
- Liang, S.H.; Southon, A.G.; Fraser, B.H.; Krause-Heuer, A.M.; Zhang, B.; Shoup, T.M.; Lewis, R.; Volitakis, I.; Han, Y.; Greguric, I.; et al. Novel fluorinated 8-hydroxyquinoline based metal ionophores for exploring the metal hypothesis of Alzheimer’s disease. ACS Med. Chem. Lett. 2015, 6, 1025–1029. [Google Scholar] [CrossRef]
- Deraeve, C.; Pitie´, M.; Mazarguil, H.; Meunierz, B. Bis-8-hydroxyquinoline ligands as potential anti-Alzheimer agents. New J. Chem. 2007, 31, 193–195. [Google Scholar] [CrossRef]
- Wang, Z.; Hu, J.; Yang, X.; Feng, X.; Li, X.; Huang, L.; Chan, A.S.C. Design, Synthesis, and Evaluation of Orally Bioavailable Quinoline−Indole Derivatives as Innovative Multitarget-Directed Ligands: Promotion of Cell Proliferation in the Adult Murine Hippocampus for the Treatment of Alzheimer’s Disease. J. Med. Chem. 2018, 61, 1871–1894. [Google Scholar] [CrossRef]
- Cacciatore, I.; Fornasari, E.; Baldassarre, L.; Cornacchia, C.; Fulle, S.; Di Filippo, E.S.; Pietrangelo, T.; Pinnen, F. A Potent (R)-alpha-bis-lipoyl derivative containing 8-hydroxyquinoline scaffold: Synthesis and biological evaluation of its neuroprotective capabilities in SH-SY5Y human neuroblastoma cells. Pharmaceuticals 2013, 6, 54–69. [Google Scholar] [CrossRef]
- Cacciatore, I.; Cornacchia, C.; Fornasari, E.; Baldassarre, L.; Pinnen, F.; Sozio, P.; Di Stefano, A.; Marinelli, L.; Dean, A.; Fulle, S. A glutathione derivative with chelating and in vitro neuroprotective activities: Synthesis, physicochemical properties, and biological evaluation. ChemMedChem 2013, 8, 1818–1829. [Google Scholar] [CrossRef]
- Piemontese, L.; Tomás, D.; Hiremathad, A.; Capriati, V.; Candeias, E.; Cardoso, S.M.; Chaves, S.; Santos, M.A. Donepezil structure-based hybrids as potential multifunctional anti-Alzheimer’s drug candidates. J. Enzym. Inhib. Med. Chem. 2018, 33, 1212–1224. [Google Scholar]
- Chaves, S.; Resta, S.; Rinaldo, F.; Costa, M.; Josselin, R.; Gwizdala, K.; Piemontese, L.; Capriati, V.; Pereira-Santos, A.R.; Cardoso, S.M.; et al. Design, Synthesis, and In Vitro Evaluation of Hydroxybenzimidazole-Donepezil Analogues as Multitarget-Directed Ligands for the Treatment of Alzheimer’s Disease. Molecules 2020, 25, 985. [Google Scholar]
- Fancellu, G.; Chand, K.; Tomás, D.; Orlandini, E.; Piemontese, L.; Silva, D.F.; Cardoso, S.M.; Chaves, S.; Santos, M.A. Novel tacrine–benzofuran hybrids as potential multi-target drug candidates for the treatment of Alzheimer’s Disease. J. Enzym. Inhib. Med. Chem. 2020, 35, 211–226. [Google Scholar] [CrossRef]
- Costa, M.; Josselin, R.; Silva, D.F.; Cardoso, S.M.; May, N.V.; Chaves, S.; Santos, M.A. Donepezil-Based Hybrids as Multifunctional Anti-Alzheimer’s Disease Chelating Agents: Effect of Positional Isomerization. J. Inorg. Biochem. 2020, 206, 111039. [Google Scholar]
- Choi, J.; Braymer, J.J.; Nanga, R.P.R.; Ramamoorthy, A.; Lim, M.H. Design of small molecules that target metal−Aβ species and regulate metal-induced Aβ aggregation and neurotoxicity. Proc. Natl. Acad. Sci. USA 2010, 107, 21990–21995. [Google Scholar] [CrossRef]
- Rao, B.G. Recent Developments in the Design of Specific Matrix Metalloproteinase Inhibitors aided by Structural and Computational Studies. Curr. Pharm. Des. 2005, 11, 295–322. [Google Scholar] [CrossRef]
- Chaves, S.; Piemontese, L.; Hiremathad, A.; Santos, M.A. Hydroxypyridinone Derivatives: A Fascinating Class of Chelators with Therapeutic Applications—An Update. Curr. Med. Chem. 2018, 25, 97–112. [Google Scholar] [CrossRef]
- Jacobsen, F.E.; Lewis, J.A.; Cohen, S.M. A New Role for Old Ligands: Discerning Chelators for Zinc Metalloproteinases. J. Am. Chem. Soc. 2006, 128, 3156–3157. [Google Scholar] [CrossRef]
- Yadav, R.K.; Gupta, S.P.; Sharma, P.K.; Patil, V.M. Recent Advances in Studies on Hydroxamates as Matrix Metalloproteinase Inhibitors: A Review. Curr. Med. Chem. 2011, 18, 1704–1722. [Google Scholar] [CrossRef]
- Yang, S.; Scannevin, R.H.; Wang, B.; Burke, S.L.; Wilson, L.J.; Karnachi, P.; Rhodes, K.J.; Lagu, B.; Murray, W.V. β-N-Biaryl ether sulfonamide hydroxamates as potent gelatinase inhibitors: Part 1. Design, synthesis, and lead identification. Bioorg. Med. Chem. Lett. 2008, 18, 1135–1139. [Google Scholar] [CrossRef]
- Yang, S.; Scannevin, R.H.; Wang, B.; Burke, S.L.; Huang, Z.; Karnachi, P.; Wilson, L.J.; Rhodes, K.J.; Lagu, B.; Murray, W.V. β-N-Biaryl ether sulfonamide hydroxamates as potent gelatinase inhibitors: Part 2. Optimization of α-amino substituents. Bioorg. Med. Chem. Lett. 2008, 18, 1140–1145. [Google Scholar] [CrossRef]
- Burrage, P.S.; Mix, K.S.; Brinckerhoff, C.E. Matrix Metalloproteinases: Role In Arthritis. Front. Biosci. 2006, 11, 529–543. [Google Scholar] [CrossRef]
- Nuti, E.; Casalini, F.; Avramova, S.I.; Santamaria, S.; Cercignani, G.; Marinelli, L.; La Pietra, V.; Ettore Novellino, E.; Orlandini, E.; Nencetti, S.; et al. N-O-Isopropyl Sulfonamido-Based Hydroxamates: Design, Synthesis and Biological Evaluation of Selective Matrix Metalloproteinase-13 Inhibitors as Potential Therapeutic Agents for Osteoarthritis. J. Med. Chem. 2009, 52, 4757–4773. [Google Scholar] [CrossRef]
- Singh, J.; Conzentini, P.; Cubdy, K.; Gainor, J.A.; Gilliam, C.L.; Gordon, T.D.; Johnson, J.A.; Morgan, B.A.; Schneider, E.D.; Wahl, L.C.; et al. Relationship between structure and bioavailability in a series of hydroxamate based metalloprotease inhibitors. Bioorg. Med. Chem. Lett. 1995, 5, 337–342. [Google Scholar] [CrossRef]
- Nara, H.; Kaieda, A.; Sato, K.; Naito, T.; Mototani, H.; Oki, H.; Yamamoto, Y.; Kuno, H.; Santou, T.; Kanzaki, N.; et al. Discovery of Novel, Highly Potent, and Selective Matrix Metalloproteinase (MMP)-13 Inhibitors with a 1,2,4-Triazol-3-yl Moiety as a Zinc Binding Group Using a Structure-Based Design Approach. J. Med. Chem. 2017, 60, 608–626. [Google Scholar] [CrossRef]
- Puerta, D.T.; Cohen, S.M. Examination of Novel Zinc-Binding Groups for Use in Matrix Metalloproteinase Inhibitors. Inorg. Chem. 2003, 42, 3423–3430. [Google Scholar] [CrossRef]
- Marques, S.M.; Tuccinardi, T.; Nuti, E.; Santamaria, S.; André, V.; Rossello, A.; Martinelli, A.; Santos, M.A. Novel 1-hydroxypiperazine-2,6-diones as new leads in the inhibition of metalloproteinases. J. Med. Chem 2011, 54, 8289–8298. [Google Scholar] [CrossRef]
- Zhang, Y.M.; Fan, X.; Chakaravarty, D.; Xiang, B.; Scannevin, R.H.; Huang, Z.; Ma, J.; Burke, S.L.; Karnachi, P.; Rhodes, K.J.; et al. 1-Hydroxy-2- pyridinone-based MMP inhibitors: Synthesis and biological evaluation for the treatment of ischemic stroke. Bioorg. Med. Chem. Lett. 2008, 18, 409–413. [Google Scholar] [CrossRef]
- Aerts, J.; Vandenbroucke, R.E.; Dera, R.; Balusu, S.; Van Wonterghem, E.; Moons, L.; Libert, C.; Dehaen, W.; Arckens, L. Synthesis and Validation of a Hydroxypyrone-Based, Potent, and Specific Matrix Metalloproteinase-12 Inhibitor with Anti-Inflammatory Activity In Vitro and In Vivo. Med. Inflamm. 2015, 2015, 510679. [Google Scholar] [CrossRef]
- Campestre, C.; Agamennone, M.; Tortorella, P.; Preziuso, S.; Biasone, A.; Gavuzzo, E.; Pochetti, G.; Mazza, F.; Hiller, O.; Tschesche, H.; et al. N-Hydroxyurea as zinc binding group in matrix metalloproteinase inhibition: Mode of binding in a complex with MMP-8. Bioorg. Med. Chem. Lett. 2006, 16, 20–24. [Google Scholar] [CrossRef]
- Rubino, M.T.; Maggi, D.; Laghezza, A.; Loiodice, F.; Tortorella, P. Identification of Novel Matrix Metalloproteinase Inhibitors by Screening of Phenol Fragments Library. Arch. Pharm. Chem. Life Sci. 2011, 344, 557–563. [Google Scholar] [CrossRef]
- Tauro, M.; Laghezza, A.; Loiodice, F.; Piemontese, L.; Caradonna, A.; Capelli, D.; Montanari, R.; Pochetti, G.; Di Pizio, A.; Agamennone, M.; et al. Catechol-based matrix metalloproteinase inhibitors with additional antioxidative activity. J. Enzyme Inhib. Med. Chem. 2016, 31, 25–37. [Google Scholar] [CrossRef]
- Winum, J.; Supuran, C.T. Recent advances in the discovery of zinc-binding motifs for the development of carbonic anhydrase inhibitors. J. Enzyme Inhib. Med. Chem. 2015, 30, 321–324. [Google Scholar] [CrossRef]
- Alterio, V.; Di Fiore, A.; D’Ambrosio, K.; Supuran, C.T.; De Simone, G. Multiple Binding Modes of Inhibitors to Carbonic Anhydrases: How to Design Specific Drugs Targeting 15 Different Isoforms? Chem. Rev. 2012, 112, 4421–4468. [Google Scholar] [CrossRef]
- Krasavin, M.; Korsakov, M.; Dorogov, M.; Tuccinardi, T.; Dedeoglu, N.; Supuran, C.T. Probing the ‘bipolar’ nature of the carbonic anhydrase active site: Aromatic sulfonamides containing 1,3-oxazol-5-yl moiety as picomolar inhibitors of cytosolic CA I and CA II isoforms. Eur. J. Med. Chem. 2015, 101, 334–347. [Google Scholar] [CrossRef]
- Di Fiore, A.; Maresca, A.; Supuran, C.T.; De Simone, G. Hydroxamate represents a versatile zinc binding group for the development of new carbonic anhydrase inhibitors. Chem. Commun. 2012, 48, 8838–8840. [Google Scholar] [CrossRef]
- Puerta, D.T.; Griffin, M.O.; Lewis, J.A.; Romero-Perez, D.; Garcia, R.; Villarreal, F.J.; Cohen, S.M. Heterocyclic zinc-binding groups for use in next-generation matrix metalloproteinase inhibitors: Potency, toxicity, and reactivity. J. Biol. Inorg. Chem. 2006, 11, 131–138. [Google Scholar] [CrossRef]
- Schulze Wischeler, J.; Innocenti, A.; Vullo, D.; Agrawal, A.; Cohen, S.M.; Heine, A.H.; Supuran, C.T.; Klebe, G. Bidentate Zinc Chelators for a-Carbonic Anhydrases that Produce a Trigonal Bipyramidal Coordination Geometry. ChemMedChem 2010, 5, 1609–1615. [Google Scholar] [CrossRef]
- Santos, M.A.; Marques, S.M.; Chaves, S. Hydroxypyridinones as “privileged” chelating structures for the design of medicinal drugs. Coord. Chem. Rev. 2012, 256, 240–259. [Google Scholar] [CrossRef]
- Piemontese, L.; Vitucci, G.; Catto, M.; Laghezza, A.; Perna, F.M.; Rullo, M.; Loiodice, F.; Capriati, V.; Solfrizzo, M. Natural Scaffolds with Multi-Target Activity for the Potential Treatment of Alzheimer’s Disease. Molecules 2018, 23, 2182. [Google Scholar] [CrossRef]

















| Acids | Bases | |
|---|---|---|
| Hard | H+, Li+, Na+, K+, Be2+, Mg2+, Fe3+, Ca2+, Cr2+, Cr3+, Al3+, SO3, BF3 | F−, OH−, H2O, NH3, CO32−, NO3−, O2−, SO42−, PO43−, ClO4− |
| Borderline | Fe2+, Co2+, Ni2+, Cu2+, Zn2+, Pb2+, SO2, BBr3 | NO2−, SO32−, Br−, N3−, N2, C6H5N, SCN− |
| Soft | Cu+, Au+, Ag+, Tl+, Hg22+, Pd2+, Cd2+, Pt2+, Hg2+, BH3 | H−, R−, CN−, CO, I−, SCN−, R3P, C6H5, R2S |
© 2020 by the authors. Licensee MDPI, Basel, Switzerland. This article is an open access article distributed under the terms and conditions of the Creative Commons Attribution (CC BY) license (http://creativecommons.org/licenses/by/4.0/).
Share and Cite
Leuci, R.; Brunetti, L.; Laghezza, A.; Loiodice, F.; Tortorella, P.; Piemontese, L. Importance of Biometals as Targets in Medicinal Chemistry: An Overview about the Role of Zinc (II) Chelating Agents. Appl. Sci. 2020, 10, 4118. https://doi.org/10.3390/app10124118
Leuci R, Brunetti L, Laghezza A, Loiodice F, Tortorella P, Piemontese L. Importance of Biometals as Targets in Medicinal Chemistry: An Overview about the Role of Zinc (II) Chelating Agents. Applied Sciences. 2020; 10(12):4118. https://doi.org/10.3390/app10124118
Chicago/Turabian StyleLeuci, Rosalba, Leonardo Brunetti, Antonio Laghezza, Fulvio Loiodice, Paolo Tortorella, and Luca Piemontese. 2020. "Importance of Biometals as Targets in Medicinal Chemistry: An Overview about the Role of Zinc (II) Chelating Agents" Applied Sciences 10, no. 12: 4118. https://doi.org/10.3390/app10124118
APA StyleLeuci, R., Brunetti, L., Laghezza, A., Loiodice, F., Tortorella, P., & Piemontese, L. (2020). Importance of Biometals as Targets in Medicinal Chemistry: An Overview about the Role of Zinc (II) Chelating Agents. Applied Sciences, 10(12), 4118. https://doi.org/10.3390/app10124118

