Water Vapour Promotes CO2 Transport in Poly(ionic liquid)/Ionic Liquid-Based Thin-Film Composite Membranes Containing Zinc Salt for Flue Gas Treatment
Abstract
1. Introduction
2. Materials and Methods
2.1. Materials
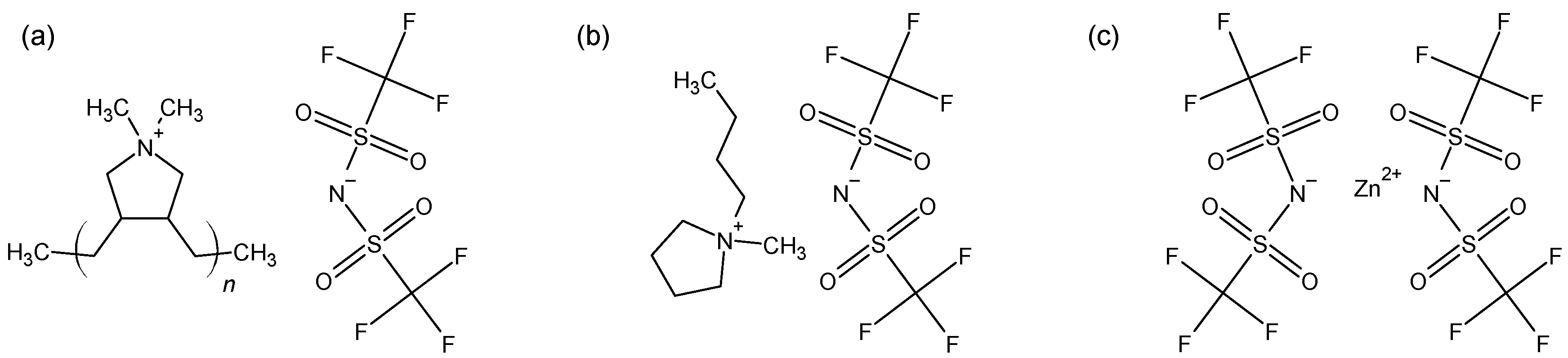
2.2. Composite PIL/IL/Zn2+ Materials
2.3. Material Characterization
2.3.1. Thermo-Gravimetric Analysis (TGA)
2.3.2. Differential Scanning Calorimetry (DSC)
2.3.3. Sorption Analysis
2.4. Membrane Preparation
2.4.1. Self-Standing Dense Membranes
2.4.2. Thin Film Composite (TFC) Membranes
2.5. Membrane Performance Evaluation
2.5.1. Time-Lag Measurements
2.5.2. Scanning Electron Microscopy (SEM)
2.5.3. Mixed-Gas Separation
3. Results and Discussion
3.1. Thermoanalysis of Composite PIL/IL/Zn2+ Materials
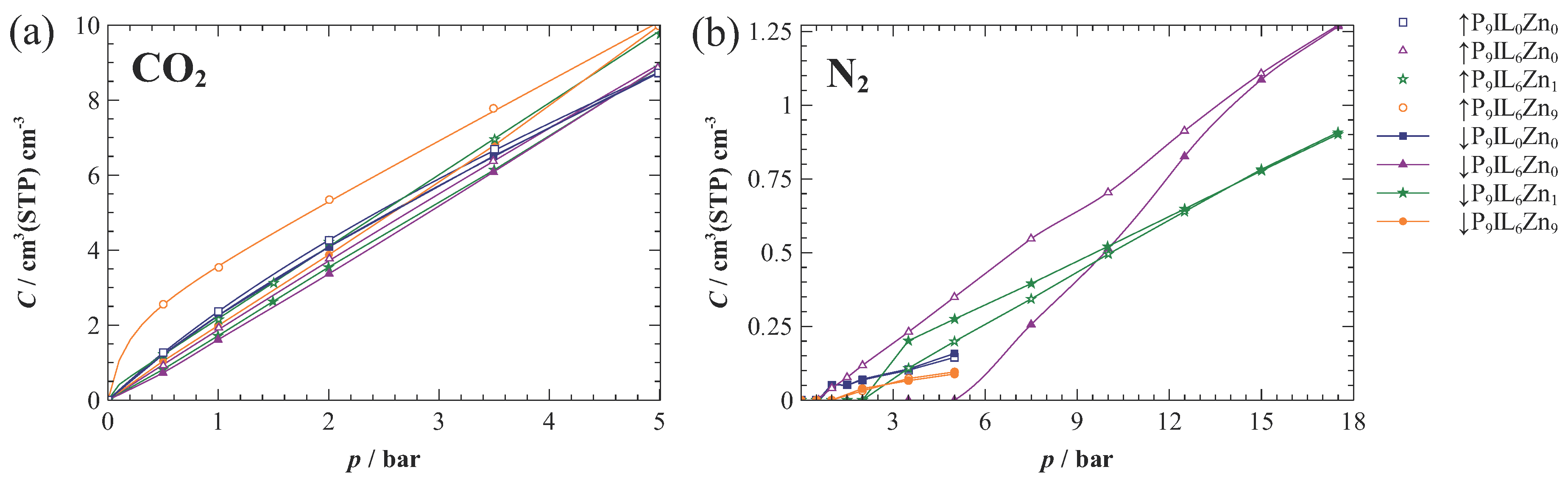
3.2. Sorption Behaviour
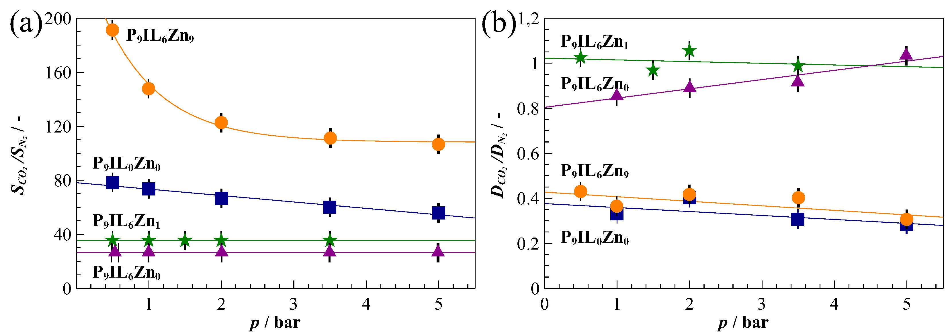
3.3. Ideal CO2 Separation Performance
3.4. Thin-Film Composite Membranes Morphology
3.5. TFC Membrane Performance in Conditions Imitating Flue Gas Separation
3.5.1. Influence of Relative Humidity
3.5.2. Influence of Temperature
4. Conclusions
Supplementary Materials
Author Contributions
Funding
Acknowledgments
Conflicts of Interest
References
- Noda, A.; Watanabe, M. Highly conductive polymer electrolytes prepared by in situ polymerization of vinyl monomers in room temperature molten salts. Electrochim. Acta 2000, 45, 1265–1270. [Google Scholar] [CrossRef]
- Cowan, M.G.; Gin, D.L.; Noble, R.D. Poly(ionic liquid)/Ionic Liquid Ion-Gels with High “free” Ionic Liquid Content: Platform Membrane Materials for CO2/Light Gas Separations. Acc. Chem. Res. 2016, 49, 724–732. [Google Scholar] [CrossRef] [PubMed]
- Vollas, A.; Chouliaras, T.; Deimede, V.; Ioannides, T.; Kallitsis, J. New pyridinium type poly(ionic liquids) as membranes for CO2 separation. Polymers 2018, 10, 912. [Google Scholar] [CrossRef] [PubMed]
- Zarca, G.; Horne, W.J.; Ortiz, I.; Urtiaga, A.; Bara, J.E. Synthesis and gas separation properties of poly(ionic liquid)-ionic liquid composite membranes containing a copper salt. J. Memb. Sci. 2016, 515, 109–114. [Google Scholar] [CrossRef]
- Zhang, S.-Y.; Zhuang, Q.; Zhang, M.; Wang, H.; Gao, Z.; Sun, J.-K.; Yuan, J. Poly(ionic liquid) composites. Chem. Soc. Rev. 2020, 49, 1726–1755. [Google Scholar] [CrossRef]
- Dai, Z.; Noble, R.D.; Gin, D.L.; Zhang, X.; Deng, L. Combination of ionic liquids with membrane technology: A new approach for CO2 separation. J. Memb. Sci. 2016, 497, 1–20. [Google Scholar] [CrossRef]
- Tomé, L.C.; Marrucho, I.M. Ionic liquid-based materials: A platform to design engineered CO2 separation membranes. Chem. Soc. Rev. 2016, 45, 2785–2824. [Google Scholar] [CrossRef]
- Zulfiqar, S.; Sarwar, M.I.; Mecerreyes, D. Polymeric ionic liquids for CO2 capture and separation: Potential, progress and challenges. Polym. Chem. 2015, 6435–6451. [Google Scholar] [CrossRef]
- Obadia, M.M.; Colliat-Dangus, G.; Debuigne, A.; Serghei, A.; Detrembleur, C.; Drockenmuller, E. Poly(vinyl ester 1,2,3-triazolium)s: A new member of the poly(ionic liquid)s family. Chem. Commun. 2015, 51, 3332–3335. [Google Scholar] [CrossRef]
- Tomé, L.C.; Gouveia, A.S.L.; Freire, C.S.R.; Mecerreyes, D.; Marrucho, I.M. Polymeric ionic liquid-based membranes: Influence of polycation variation on gas transport and CO2 selectivity properties. J. Memb. Sci. 2015, 486, 40–48. [Google Scholar] [CrossRef]
- Carlisle, T.K.; Wiesenauer, E.F.; Nicodemus, G.D.; Gin, D.L.; Noble, R.D. Ideal CO2/light gas separation performance of poly(vinylimidazolium) membranes and poly(vinylimidazolium)-ionic liquid composite films. Ind. Eng. Chem. Res. 2013, 52, 1023–1032. [Google Scholar] [CrossRef]
- Isik, M.; Gracia, R.; Kollnus, L.C.; Tomé, L.C.; Marrucho, I.M.; Mecerreyes, D. Cholinium-based poly(ionic liquid)s: Synthesis, characterization, and application as biocompatible ion gels and cellulose coatings. ACS Macro Lett. 2013, 2, 975–979. [Google Scholar] [CrossRef]
- Bhavsar, R.S.; Kumbharkar, S.C.; Kharul, U.K. Polymeric ionic liquids (PILs): Effect of anion variation on their CO2 sorption. J. Memb. Sci. 2012, 389, 305–315. [Google Scholar] [CrossRef]
- Bernard, F.L.; Duczinski, R.B.; Rojas, M.F.; Fialho, M.C.C.; Carreño, L.Á.; Chaban, V.V.; Vecchia, F.D.; Einloft, S. Cellulose based poly(ionic liquids): Tuning cation-anion interaction to improve carbon dioxide sorption. Fuel 2018, 211, 76–86. [Google Scholar] [CrossRef]
- Hassan Hassan Abdellatif, F.; Babin, J.; Arnal-Herault, C.; David, L.; Jonquieres, A. Grafting cellulose acetate with ionic liquids for biofuel purification membranes: Influence of the anion. Carbohydr. Polym. 2018, 196, 176–186. [Google Scholar] [CrossRef] [PubMed]
- Nikolaeva, D.; Azcune, I.; Tanczyk, M.; Warmuzinski, K.; Jaschik, M.; Sandru, M.; Dahl, P.I.; Genua, A.; Loïs, S.; Sheridan, E.; et al. The performance of affordable and stable cellulose-based poly-ionic membranes in CO2/N2 and CO2/CH4 gas separation. J. Memb. Sci. 2018, 564, 552–561. [Google Scholar] [CrossRef]
- Nikolaeva, D.; Azcune, I.; Sheridan, E.; Sandru, M.; Genua, A.; Tanczyk, M.; Jaschik, M.; Warmuzinski, K.; Jansen, J.C.; Vankelecom, I.F.J. Poly(vinylbenzyl chloride)-based poly(ionic liquids) as membranes for CO2 capture from flue gas. J. Mater. Chem. A 2017, 5, 19808–19818. [Google Scholar] [CrossRef]
- Tang, J.; Shen, Y.; Radosz, M.; Sun, W. Isothermal Carbon Dioxide Sorption in Poly(ionic liquid)s. Ind. Eng. Chem. Res. 2009, 48, 9113–9118. [Google Scholar] [CrossRef]
- Kumbharkar, S.C.; Bhavsar, R.S.; Kharul, U.K. Film forming polymeric ionic liquids (PILs) based on polybenzimidazoles for CO2 separation. RSC Adv. 2014, 4, 4500. [Google Scholar] [CrossRef]
- Bhavsar, R.S.; Kumbharkar, S.C.; Kharul, U.K. Investigation of gas permeation properties of film forming polymeric ionic liquids (PILs) based on polybenzimidazoles. J. Memb. Sci. 2014, 470, 494–503. [Google Scholar] [CrossRef]
- Rewar, A.S.; Shaligram, S.V.; Kharul, U.K. Polybenzimidazole based polymeric ionic liquids possessing partial ionic character: Effects of anion exchange on their gas permeation properties. J. Memb. Sci. 2016, 497, 282–288. [Google Scholar] [CrossRef]
- Morozova, S.M.; Shaplov, A.S.; Lozinskaya, E.I.; Mecerreyes, D.; Sardon, H.; Zulfiqar, S.; Suárez-Garcéa, F.; Vygodskii, Y.S. Ionic Polyurethanes as a New Family of Poly(ionic liquid)s for Efficient CO2 Capture. Macromolecules 2017, 50, 2814–2824. [Google Scholar] [CrossRef]
- Blasig, A.; Tang, J.; Hu, X.; Shen, Y.; Radosz, M. Magnetic suspension balance study of carbon dioxide solubility in ammonium-based polymerized ionic liquids: Poly(p-vinylbenzyltrimethyl ammonium tetrafluoroborate) and poly([2-(methacryloyloxy)ethyl] trimethyl ammonium tetrafluoroborate). Fluid Phase Equilib. 2007, 256, 75–80. [Google Scholar] [CrossRef]
- Pont, A.L.; Marcilla, R.; De Meatza, I.; Grande, H.; Mecerreyes, D. Pyrrolidinium-based polymeric ionic liquids as mechanically and electrochemically stable polymer electrolytes. J. Power Sources 2009, 188, 558–563. [Google Scholar] [CrossRef]
- Tomé, L.C.; Mecerreyes, D.; Freire, C.S.R.; Rebelo, L.P.N.; Marrucho, I.M. Pyrrolidinium-based polymeric ionic liquid materials: New perspectives for CO2 separation membranes. J. Memb. Sci. 2013, 428, 260–266. [Google Scholar] [CrossRef]
- Tomé, L.C.; Isik, M.; Freire, C.S.R.; Mecerreyes, D.; Marrucho, I.M. Novel pyrrolidinium-based polymeric ionic liquids with cyano counter-anions: HIGH performance membrane materials for post-combustion CO2 separation. J. Memb. Sci. 2015, 483, 155–165. [Google Scholar] [CrossRef]
- Teodoro, R.M. CO2 Separation Using Polymeric Ionic Liquids Membranes: The Effect of Mixing Different Cyano Anions. 2016. Available online: https://www.baidu.com/link?url=EyfRrctllSjK7v3C7b_uvtL1ti1PI8WdNDfYTCXmqaJfEj1MtXnK4oFuwuC8hccjr-s-sKKPfP9BiAmdx43NZ3GJoBBC3k95_Scx7TlHMi_CUpVcD_CAorw1mswVL5h6&wd=&eqid=aacd2f350005ec85000000065ed0ad47 (accessed on 29 May 2020).
- Tomé, L.C.; Guerreiro, D.C.; Teodoro, R.M.; Alves, V.D.; Marrucho, I.M. Effect of polymer molecular weight on the physical properties and CO2/N2 separation of pyrrolidinium-based poly(ionic liquid) membranes. J. Memb. Sci. 2018, 549, 267–274. [Google Scholar] [CrossRef]
- Teodoro, R.M.; Tomé, L.C.; Mantione, D.; Mecerreyes, D.; Marrucho, I.M. Mixing poly(ionic liquid)s and ionic liquids with different cyano anions: Membrane forming ability and CO2/N2 separation properties. J. Memb. Sci. 2018, 552, 341–348. [Google Scholar] [CrossRef]
- Moghadam, F.; Kamio, E.; Yoshioka, T.; Matsuyama, H. New approach for the fabrication of double-network ion-gel membranes with high CO2/N2 separation performance based on facilitated transport. J. Memb. Sci. 2017, 530, 166–175. [Google Scholar] [CrossRef]
- Qian, W.; Texter, J.; Yan, F. Frontiers in poly(ionic liquid)s: Syntheses and applications. Chem. Soc. Rev. 2017, 46, 1124–1159. [Google Scholar] [CrossRef]
- Adzima, B.J.; Venna, S.R.; Klara, S.S.; He, H.; Zhong, M.; Luebke, D.R.; Mauter, M.S.; Matyjaszewski, K.; Nulwala, H.B. Modular polymerized ionic liquid block copolymer membranes for CO2/N2 separation. J. Mater. Chem. A 2014, 2, 7967–7972. [Google Scholar] [CrossRef]
- Merkel, T.C.; Lin, H.; Wei, X.; Baker, R. Power plant post-combustion carbon dioxide capture: An opportunity for membranes. J. Memb. Sci. 2010, 359, 12–139. [Google Scholar] [CrossRef]
- McDanel, W.M.; Cowan, M.G.; Chisholm, N.O.; Gin, D.L.; Noble, R.D. Fixed-site-carrier facilitated transport of carbon dioxide through ionic-liquid-based epoxy-amine ion gel membranes. J. Memb. Sci. 2015, 492, 303–311. [Google Scholar] [CrossRef]
- Friess, K.; Lanč, M.; Pilnáček, K.; Fíla, V.; Vopička, O.; Sedláková, Z.; Cowan, M.G.; McDanel, W.M.; Noble, R.D.; Gin, D.L.; et al. CO2/CH4 separation performance of ionic-liquid-based epoxy-amine ion gel membranes under mixed feed conditions relevant to biogas processing. J. Memb. Sci. 2017, 528, 64–71. [Google Scholar] [CrossRef]
- Crichton, R.R. Zinc: Lewis Acid and Gene Regulator. In Biological Inorganic Chemistry; Elsevier: Amsterdam, The Netherlands, 2008; pp. 197–210. ISBN 978-0-444-52740-0. [Google Scholar]
- Rogers, D.M.; Jiao, D.; Pratt, L.R.; Rempe, S.B. Structural Models and Molecular Thermodynamics of Hydration of Ions and Small Molecules; Elsevier: Amsterdam, The Netherlands, 2012; Volume 8, ISBN 9780444594402. [Google Scholar]
- Penders-van Elk, N.J.M.C.; Versteeg, G.F. Enzyme-enhanced CO2 absorption; Elsevier Ltd.: Amsterdam, The Netherlands, 2016; ISBN 9780081005156. [Google Scholar]
- Crossley, I.R. Zinc, cadmium and mercury. Annu. Rep. Prog. Chem. Sect. A 2013, 109, 200–207. [Google Scholar] [CrossRef]
- Song, Q.W.; Zhou, Z.H.; He, L.N. Efficient, selective and sustainable catalysis of carbon dioxide. Green Chem. 2017, 19, 3707–3728. [Google Scholar] [CrossRef]
- Álvarez, A.; Borges, M.; Corral-Pérez, J.J.; Olcina, J.G.; Hu, L.; Cornu, D.; Huang, R.; Stoian, D.; Urakawa, A. CO2 Activation over Catalytic Surfaces. ChemPhysChem 2017, 18, 3135–3141. [Google Scholar] [CrossRef]
- Kimura, S.G.; Ward, W.J.; Matson, S.L. Facilitated Separation of a Select Gas Through an Ion Exchange Membrane. U.S. Patent No. 4318714, 9 March 1982. [Google Scholar]
- Dziedzic, D.; Gross, K.B.; Gorski, R.A.; Johnson, J.T. Sequestration of Carbon Dioxide. U.S. Patent No. 7132090 B2, 7 November 2006. [Google Scholar]
- Huang, J.; Rüther, T.; Feron, P.; Zhang, Z. Ionic Liquids. U.S. Patent No. 2012/0186993 A1, 26 July 2012. [Google Scholar]
- Mani, F.; Peruzzini, M.; Barzagli, F. The role of zinc(II) in the absorption-desorption of CO2 by aqueous NH3, a potentially cost-effective method for CO2 capture and recycling. ChemSusChem 2008, 1, 228–235. [Google Scholar] [CrossRef]
- Hu, J.; Ma, J.; Zhu, Q.; Qian, Q.; Han, H.; Mei, Q.; Han, B. Zinc(II)-catalyzed reactions of carbon dioxide and propargylic alcohols to carbonates at room temperature. Green Chem. 2016, 18, 382–385. [Google Scholar] [CrossRef]
- Williams, D.B.; Stoll, M.E.; Scott, B.L.; Costa, D.; Oldham, W.J. Coordination chemistry of the bis(trifluoromethylsulfonyl)imide anion: Molecular interactions in room temperature ionic liquids. Chem. Commun. 2005, 613, 1438–1440. [Google Scholar]
- Weber, C.C.; Masters, A.F.; Maschmeyer, T. Structural features of ionic liquids: Consequences for material preparation and organic reactivity. Green Chem. 2013, 15, 2655. [Google Scholar] [CrossRef]
- Arellano, I.H.; Madani, S.H.; Huang, J.; Pendleton, P. Carbon dioxide adsorption by zinc-functionalized ionic liquid impregnated into bio-templated mesoporous silica beads. Chem. Eng. J. 2016, 283, 692–702. [Google Scholar] [CrossRef]
- Almantariotis, D.; Pensado, A.S.; Gunaratne, H.Q.N.; Hardacre, C.; Pádua, A.A.H.; Coxam, J.-Y.; Costa Gomes, M.F. Influence of Fluorination on the Solubilities of Carbon Dioxide, Ethane, and Nitrogen in 1- n -Fluoro-alkyl-3-methylimidazolium Bis( n -fluoroalkylsulfonyl)amide Ionic Liquids. J. Phys. Chem. B 2017, 121, 426–436. [Google Scholar] [CrossRef]
- Freire, M.G.; Neves, C.; Marrucho, I.M. Hydrolysis of Tetrafluoroborate and Hexafluorophosphate Counter Ions in Imidazolium-Based Ionic Liquids. J. Phys. Chem. A 2010, 114, 3744–3749. [Google Scholar] [CrossRef]
- Bahadur, I.; Osman, K.; Coquelet, C.; Naidoo, P.; Ramjugernath, D. Solubilities of carbon dioxide and oxygen in the ionic liquids methyl trioctyl ammonium bis(trifluoromethylsulfonyl)imide, 1-butyl-3-methyl imidazolium bis(trifluoromethylsulfonyl)imide, and 1-butyl-3-methyl imidazolium methyl sulfate. J. Phys. Chem. B 2015, 119, 1503–1514. [Google Scholar] [CrossRef]
- Minnick, D.L.; Turnaoglu, T.; Rocha, M.A.; Shiflett, M.B. Review Article: Gas and vapor sorption measurements using electronic beam balances. J. Vac. Sci. Technol. A 2018, 36, 050801. [Google Scholar] [CrossRef]
- IGA Systems User Manual, HA-085-060 Issue: E; Hiden Isochema Limited: Warrington, UK, 2007.
- Bernardo, P.; Jansen, J.C.; Bazzarelli, F.; Tasselli, F.; Fuoco, A.; Friess, K.; Izák, P.; Jarmarová, V.; Kačírková, M.; Clarizia, G. Gas transport properties of Pebax®/room temperature ionic liquid gel membranes. Sep. Purif. Technol. 2012, 97, 73–82. [Google Scholar] [CrossRef]
- Vandezande, P.; Li, X.; Gevers, L.E.M.; Vankelecom, I.F.J. High throughput study of phase inversion parameters for polyimide-based SRNF membranes. J. Memb. Sci. 2009, 330, 307–318. [Google Scholar] [CrossRef]
- Vanherck, K.; Vandezande, P.; Aldea, S.O.; Vankelecom, I.F.J. Cross-linked polyimide membranes for solvent resistant nanofiltration in aprotic solvents. J. Memb. Sci. 2008, 320, 468–476. [Google Scholar] [CrossRef]
- Kim, T.-J.; Lang, A.; Chikukwa, A.; Sheridan, E.; Dahl, P.I.; Leimbrink, M.; Skiborowski, M.; Roubroeks, J. Enzyme Carbonic Anhydrase Accelerated CO2 Absorption in Membrane Contactor. Energy Procedia 2017, 114, 17–24. [Google Scholar] [CrossRef]
- Daynes, H.A.; A, P.R.S.L. The process of diffusion through a rubber membrane. Proc. R. Soc. Lond. A 1920, 97, 286–307. [Google Scholar]
- Fraga, S.C.; Monteleone, M.; Lanč, M.; Esposito, E.; Fuoco, A.; Giorno, L.; Pilnáček, K.; Friess, K.; Carta, M.; McKeown, N.B.; et al. A novel time lag method for the analysis of mixed gas diffusion in polymeric membranes by on-line mass spectrometry: Method development and validation. J. Memb. Sci. 2018, 561, 39–58. [Google Scholar] [CrossRef]
- Sandru, M.; Haukebø, S.H.; Hägg, M.B. Composite hollow fiber membranes for CO2 capture. J. Memb. Sci. 2010, 346, 172–186. [Google Scholar] [CrossRef]
- Nadherna, M.; Dominko, R.; Hanzel, D.; Reiter, J.; Gaberscek, M. Electrochemical Behavior of Li2FeSiO4 with Ionic Liquids at Elevated Temperature. J. Electrochem. Soc. 2009, 156, A619. [Google Scholar] [CrossRef]
- Ma, L.; Haynes, C.J.E.; Grommet, A.B.; Walczak, A.; Parkins, C.C.; Doherty, C.M.; Longley, L.; Tron, A.; Stefankiewicz, A.R.; Bennett, T.D.; et al. Coordination cages as permanently porous ionic liquids. Nat. Chem. 2020, 12, 270–275. [Google Scholar] [CrossRef]
- Fuoco, A.; Zwijnenberg, H.; Galier, S.; de Balmann, H.R.; De Luca, G. Structural properties of cation exchange membranes: Characterization, electrolyte effect and solute transfer. J. Memb. Sci. 2016, 520, 45–53. [Google Scholar] [CrossRef]
- Zoppi, R.A.; Soares, C.G.A. Hybrids of poly(ethylene oxide-b-amide-6) and ZrO2 Sol-gel: Preparation, characterization, and application in processes of membranes separation. Adv. Polym. Technol. 2002, 21, 2–16. [Google Scholar] [CrossRef]
- Martinelli, A.; Matic, A.; Jacobsson, P.; Börjesson, L.; Fernicola, A.; Scrosati, B. Phase Behavior and Ionic Conductivity in Lithium Bis(trifluoromethanesulfonyl)imide-Doped Ionic Liquids of the Pyrrolidinium Cation and Bis(trifluoromethanesulfonyl)imide Anion. J. Phys. Chem. B 2009, 113, 11247–11251. [Google Scholar] [CrossRef]
- Zhou, Q.; Boyle, P.D.; Malpezzi, L.; Mele, A.; Shin, J.-H.; Passerini, S.; Henderson, W.A. Phase Behavior of Ionic Liquid–LiX Mixtures: Pyrrolidinium Cations and TFSI–Anions–Linking Structure to Transport Properties. Chem. Mater. 2011, 23, 4331–4337. [Google Scholar] [CrossRef]
- Vitucci, F.M.; Manzo, D.; Navarra, M.A.; Palumbo, O.; Trequattrini, F.; Panero, S.; Bruni, P.; Croce, F.; Paolone, A. Low-Temperature Phase Transitions of 1-Butyl-1-methylpyrrolidinium Bis(trifluoromethanesulfonyl)imide Swelling a Polyvinylidenefluoride Electrospun Membrane. J. Phys. Chem. C 2014, 118, 5749–5755. [Google Scholar] [CrossRef]
- Jeromenok, J.; Weber, J. Restricted access: On the nature of adsorption/desorption hysteresis in amorphous, microporous polymeric materials. Langmuir 2013, 29, 12982–12989. [Google Scholar] [CrossRef]
- Bara, J.; Noble, R.; Gin, D. Effect of “free” cation substituent on gas separation performance of polymer–room-temperature ionic liquid composite membranes. Ind. Eng. Chem. Res. 2009, 48, 4607–4610. [Google Scholar] [CrossRef]
- Anthony, J.L.; Anderson, J.L.; Maginn, E.J.; Brennecke, J.F. Anion Effects on Gas Solubility in Ionic Liquids. J. Phys. Chem. B 2005, 109, 6366–6374. [Google Scholar] [CrossRef]
- Matteucci, S.; Yampolskii, Y.; Freeman, B.D.; Pinnau, I. Transport of Gases and Vapors in Glassy and Rubbery Polymers. In Materials Science of Membranes for Gas and Vapor Separation; Wiley: Hoboken, NJ, USA, 2006; ISBN 047085345X. [Google Scholar]
- Sanders, D.F.; Smith, Z.P.; Guo, R.; Robeson, L.M.; McGrath, J.E.; Paul, D.R.; Freeman, B.D. Energy-efficient polymeric gas separation membranes for a sustainable future: A review. Polymer 2013, 54, 4729–4761. [Google Scholar] [CrossRef]
- Teplyakov, V.; Meares, P. Correlation aspects of the selective gas permeabilities of polymeric materials and membranes. Gas Sep. Purif. 1990, 4, 66–74. [Google Scholar] [CrossRef]
- Satilmis, B.; Lanč, M.; Fuoco, A.; Rizzuto, C.; Tocci, E.; Bernardo, P.; Clarizia, G.; Esposito, E.; Monteleone, M.; Dendisová, M.; et al. Temperature and pressure dependence of gas permeation in amine-modified PIM-1. J. Memb. Sci. 2018, 555, 483–496. [Google Scholar] [CrossRef]
- Caskey, S.R.; Wong-Foy, A.G.; Matzger, A.J. Dramatic tuning of carbon dioxide uptake via metal substitution in a coordination polymer with cylindrical pores. J. Am. Chem. Soc. 2008, 130, 10870–10871. [Google Scholar] [CrossRef]
- Van der Vegt, N.F.A. Temperature Dependence of Gas Transport in Polymer Melts: Molecular Dynamics Simulations of CO2 in Polyethylene. Macromolecules 2000, 33, 3153–3160. [Google Scholar] [CrossRef]
- Thornton, A.; Robeson, L.M.; Freeman, B.D. CO2/N2 Gas Separation Polymers. Membr. Soc. Australas. 2012. Available online: https://membrane-australasia.org/msa-activities/polymer-gas-separation-membrane-database/ (accessed on 30 May 2020).









| Sample | Composition | Ratios | Label | ||||
|---|---|---|---|---|---|---|---|
| PIL | IL | Zn2+ Salt | PIL | IL | Zn2+ Salt | ||
| [Name] | [wt%] | [wt%] | [wt%] | [–] | [–] | [–] | [–] |
| PIL | 100 | – | – | 9 | 0 | 0 | P9ILZn0 |
| PIL/IL | 60 | 40 | – | 9 | 6 | 0 | P9IL6Zn |
| PIL/IL/Zn[Tf2N]2 ratio 9:1 | 56.3 | 37.5 | 6.2 | 9 | 6 | 1 | P9IL6Zn1 |
| PIL/IL/Zn[Tf2N]2 ratio 1:1 | 37.5 | 25.2 | 37.3 | 9 | 6 | 9 | P9IL6Zn9 |
| Sample Form | P9ILZn0 Powder | P9IL6Zn0 Solid Gel Cube | P9IL6Zn1 Solid Gel Cube | P9IL6Zn9 Solid Gel Cube | |
|---|---|---|---|---|---|
| Particle radius () (eq.)a, | 25.4 | 3310 | 3090 | 2820 | |
| Density (), | 1.542 | 1.448 | 1.494 | 1.619 | |
| CO2b 20 °C | kDc, cm3(STP) cm−3 bar−1 | 1.12 | 1.78 | 1.84 | 1.79 |
| , cm3(STP) cm−3 | 5.31 | 0 | 0 | 1.08 | |
| b, bar−1 | 0.29 | 0 | 0 | 9.8 | |
| S, cm3 (STP) cm−3 bar−1 | 2.31 | 1.78 | 1.84 | 2.77 | |
| D, cm2 s−1 | |||||
| Pd, Barrer | 2.32 | 245.5 | 222.7 | 191.6 | |
| N2a 20 °C | kD, cm3(STP) cm−3 bar−1 | 0.031 | 0.067 | 0.052 | 0.019 |
| , cm3 (STP) cm−3 | 0 | 0 | 0 | 0 | |
| b, bar−1 | 0 | 0 | 0 | 0 | |
| Sd, cm3 (STP) cm−3 bar−1 | 0.031 | 0.067 | 0.052 | 0.019 | |
| D, cm2 s−1 | |||||
| Pe, Barrer | 0.095 | 10.81 | 6.17 | 3.56 | |
| 24.4 | 22.7 | 36.1 | 53.8 | ||
© 2020 by the authors. Licensee MDPI, Basel, Switzerland. This article is an open access article distributed under the terms and conditions of the Creative Commons Attribution (CC BY) license (http://creativecommons.org/licenses/by/4.0/).
Share and Cite
Nikolaeva, D.; Loïs, S.; Dahl, P.I.; Sandru, M.; Jaschik, J.; Tanczyk, M.; Fuoco, A.; Jansen, J.C.; Vankelecom, I.F.J. Water Vapour Promotes CO2 Transport in Poly(ionic liquid)/Ionic Liquid-Based Thin-Film Composite Membranes Containing Zinc Salt for Flue Gas Treatment. Appl. Sci. 2020, 10, 3859. https://doi.org/10.3390/app10113859
Nikolaeva D, Loïs S, Dahl PI, Sandru M, Jaschik J, Tanczyk M, Fuoco A, Jansen JC, Vankelecom IFJ. Water Vapour Promotes CO2 Transport in Poly(ionic liquid)/Ionic Liquid-Based Thin-Film Composite Membranes Containing Zinc Salt for Flue Gas Treatment. Applied Sciences. 2020; 10(11):3859. https://doi.org/10.3390/app10113859
Chicago/Turabian StyleNikolaeva, Daria, Sandrine Loïs, Paul Inge Dahl, Marius Sandru, Jolanta Jaschik, Marek Tanczyk, Alessio Fuoco, Johannes Carolus Jansen, and Ivo F.J. Vankelecom. 2020. "Water Vapour Promotes CO2 Transport in Poly(ionic liquid)/Ionic Liquid-Based Thin-Film Composite Membranes Containing Zinc Salt for Flue Gas Treatment" Applied Sciences 10, no. 11: 3859. https://doi.org/10.3390/app10113859
APA StyleNikolaeva, D., Loïs, S., Dahl, P. I., Sandru, M., Jaschik, J., Tanczyk, M., Fuoco, A., Jansen, J. C., & Vankelecom, I. F. J. (2020). Water Vapour Promotes CO2 Transport in Poly(ionic liquid)/Ionic Liquid-Based Thin-Film Composite Membranes Containing Zinc Salt for Flue Gas Treatment. Applied Sciences, 10(11), 3859. https://doi.org/10.3390/app10113859

