Accumulative Heat Stress in Ruminants at the Regional Scale under Changing Environmental Conditions
Abstract
1. Introduction
2. Materials and Methods
2.1. Calculation of Heat Stress Indicators
2.1.1. Heat Load Index (HI)
2.1.2. Accumulated Heat Load Index AHI
- (a)
- Acc cannot fall below zero > 0 (0 indicating an animal in thermal balance) between two consecutive time steps.
- (b)
- In this application, we used Gaughan’s heat stress reference thresholds of HLIlow = 77 and HLIhigh = 86.
- (c)
- Accumulated heat load decreases in the evening to return to zero at night.
2.2. Downscaling Daily to Hourly Data
2.2.1. Downscaling Temperature
- Method 1: Proposed by Darbyshire et al. [35]
- Day length, DL, was calculated as follows (Darbyshire et al. [35]):
- = latitude (decimal degrees)
- where dn = the day number relative to 1 January.
- Tt = temperature for time t.
- Td = daytime temperature.
- Tn = nighttime temperature.
- Ts = temperature at sunset.
- Method 2: CBSE Proposed by Chow and Levermore [36]
- t = time of day in hours.
- tmax = time when maximum temperature occurs.
- tmin = time when minimum temperature occurs.
- tprev = time when the previous temperature is considered.
- tnext = time when the next temperature is considered.
- T*min = minimum temperature Tmin of the next day.
2.2.2. Comparison of Two Approaches to Downscaling Temperature
2.2.3. Downscaling Relative Humidity
2.2.4. Downscaling Solar Radiation
- t = time of day (1 to 24 h).
- tsunrise = time at sunrise, where
- tsunset = time at sunset, where
- tRadmax= time at which maximum radiation occurs (12 + 1).
- DL = day length as defined previously.
2.2.5. Downscaling of Wind Data
2.3. Accuracy of Downscaling Approach
2.4. Climate Data
2.5. Computational Methods
- Data formatting: compiling input data (*.asc files) for each day, variable, and location into a series of yearly arrays combining 365 or 366 elements (for leap years).
- Hourly downscaling and index calculation: calculating hourly values for Tmax, TMin, RHmax, RHmin, Rad, and Wind, as described by Equations (5)–(24), deriving from these values the HLI and AHL indices, described by Equations (1)–(4). Three AHL values were recorded hourly, (a) daily maximum AHL (peak), (b) cumulative daily AHL at time 00:00, providing information on whether night cooling was sufficient to alleviate heat stress, and (c) time (in hours) during which animals were continuously exposed to heat stress (AHL > 0).
- Summary across years and iterations: creating maximum, minimum, average, and standard deviation summary values for each variable and location across all 56 possible futures associated to each climate change scenario year and each iteration of the model (sampling of the Weibull distribution).
- Regionalisation: summarising results across broad geographical locations rather than for each single point of the 0.05-degree Victorian grid.
2.6. Management Scenarios
- No Adaptation: Where animals are submitted to “normal environmental conditions” with no alteration of wind speed or solar radiation.
- Adaptation 1: Planting of rows of trees at a 45-degree angle from the predominant wind direction, decreasing solar radiation by 65% and decreasing wind speed by 55% (extrapolated from Sudmeyer et al. [47]).
- Adaptation 2: Planting of rows of trees parallel to the predominant wind direction, decreasing solar radiation by 65% and decreasing wind speed by 25% (extrapolated from Sudmeyer et al. [47]).
- Adaptation 3: Planting of rows of trees at a 90-degree angle from the predominant wind direction, decreasing solar radiation by 65% and decreasing wind speed by 80% (extrapolated from Sudmeyer et al. [47]).
2.7. Specific Impact on Sheep
2.7.1. Estimation of Heat Stress Impact on Weight Gain
2.7.2. Effect of Heat Stress on Ram Fertility
3. Results
3.1. State-Wide Trend
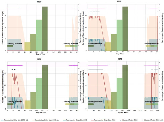
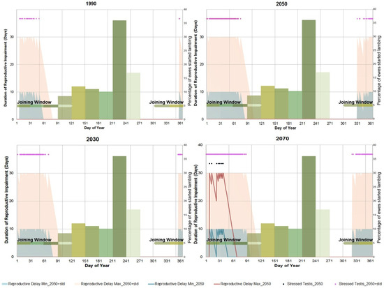
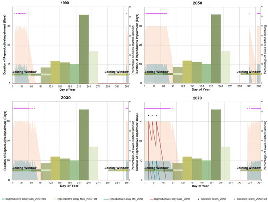
3.2. Regionalisation of the Analysis
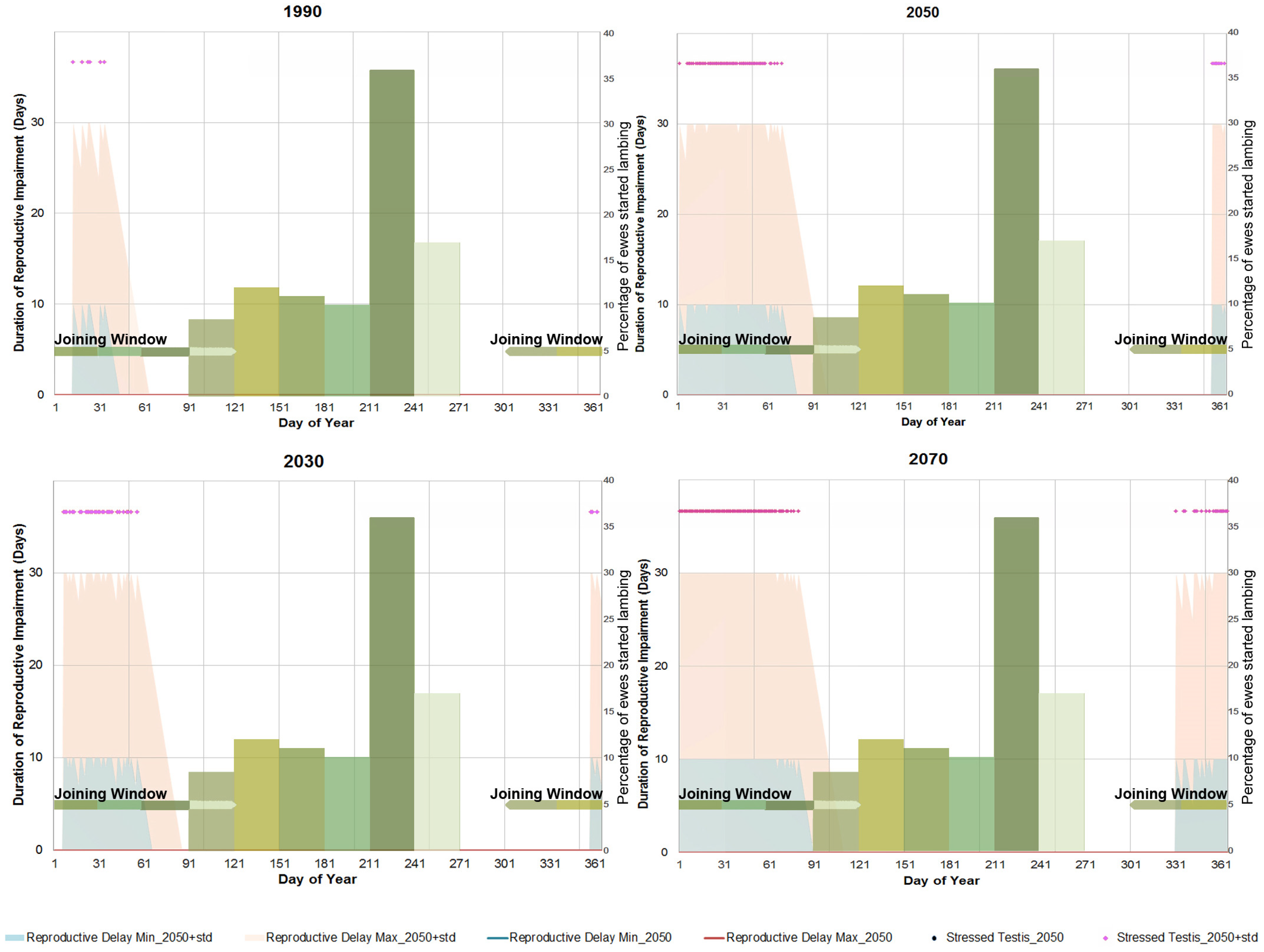
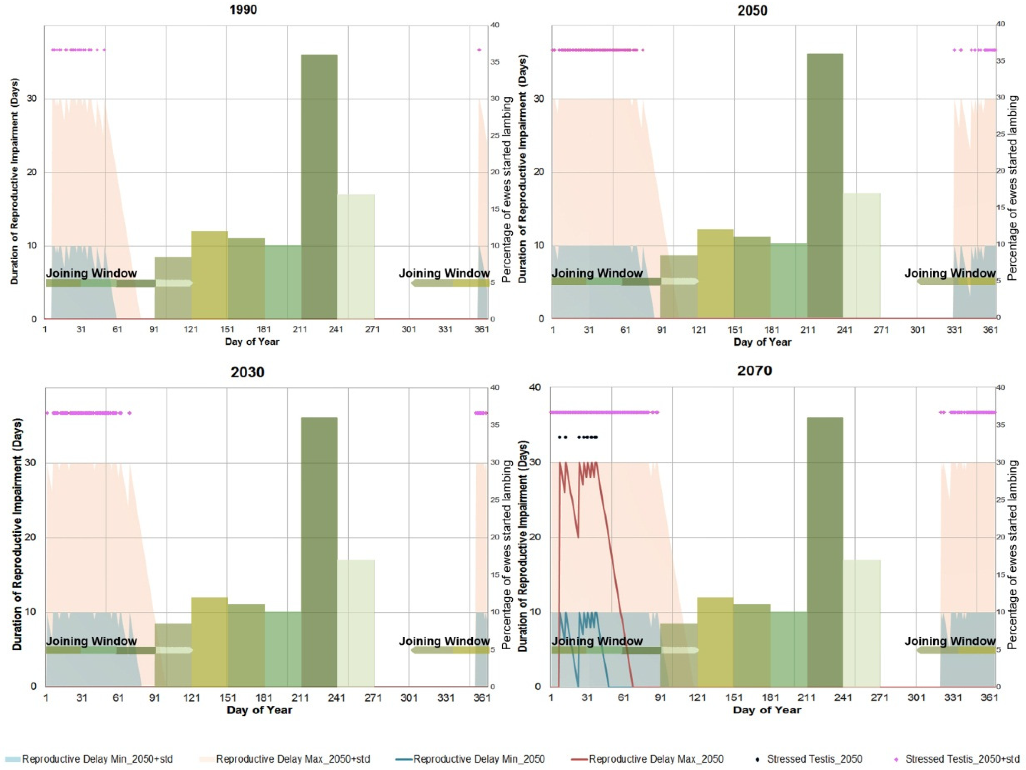
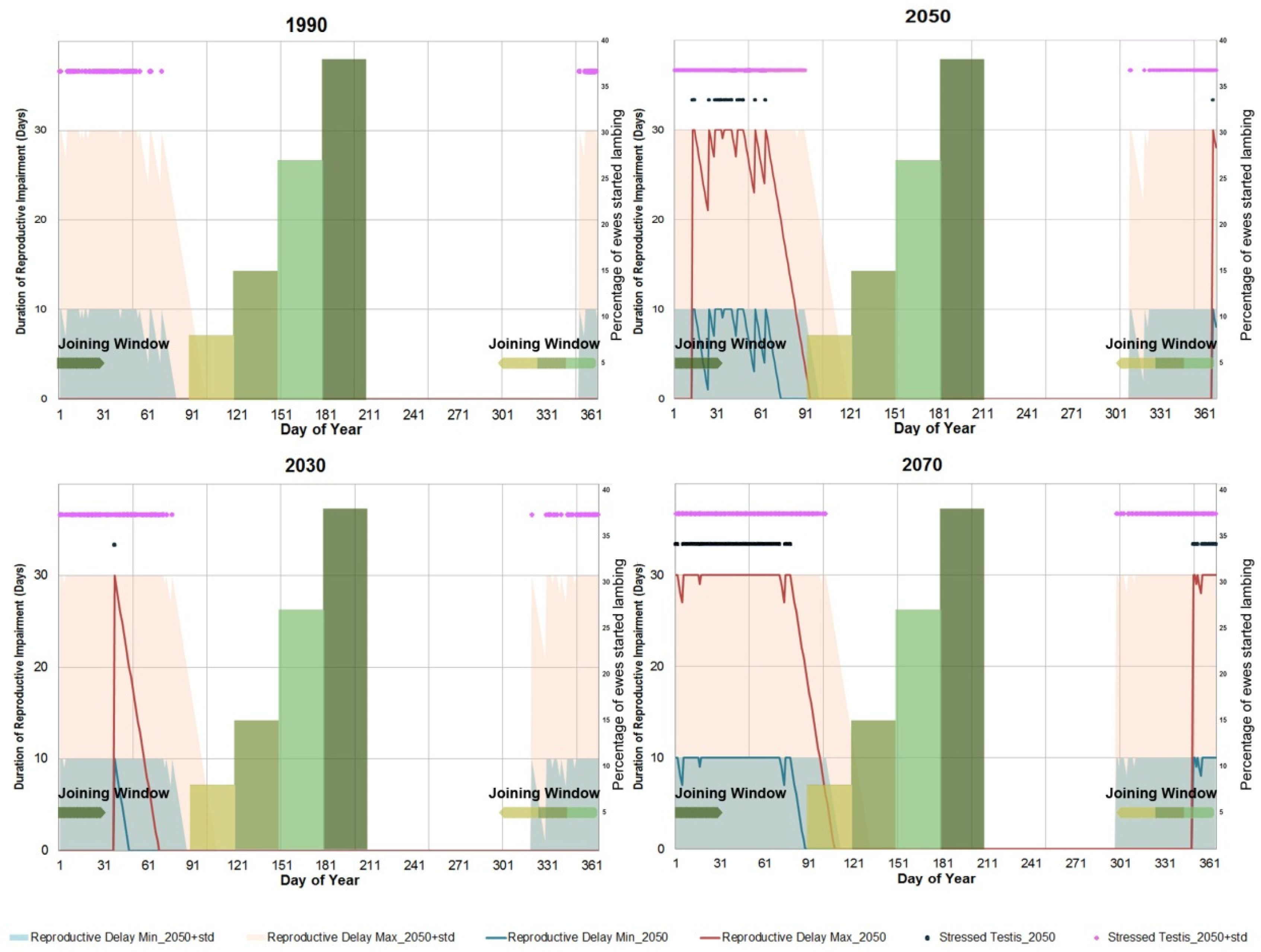
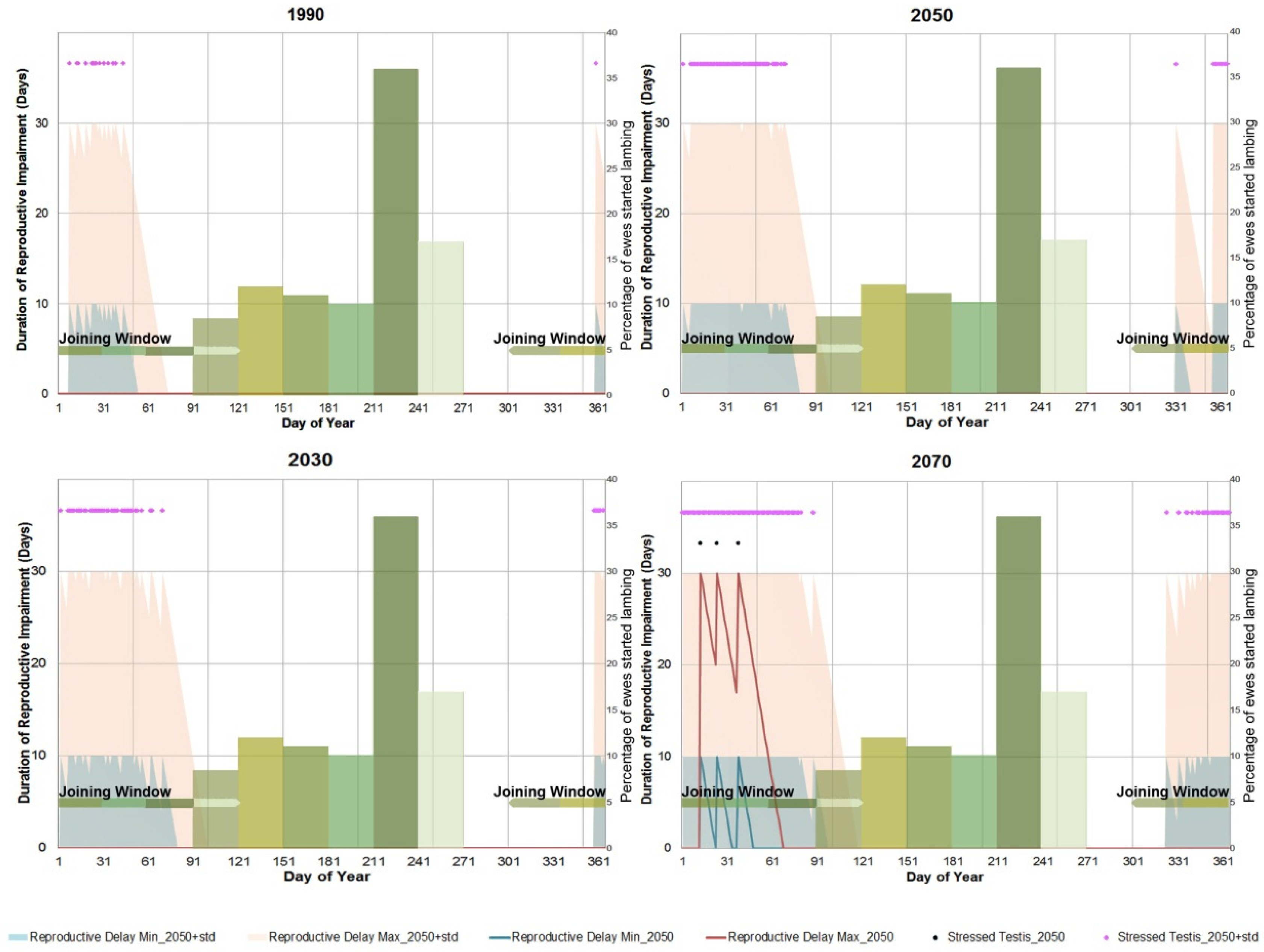
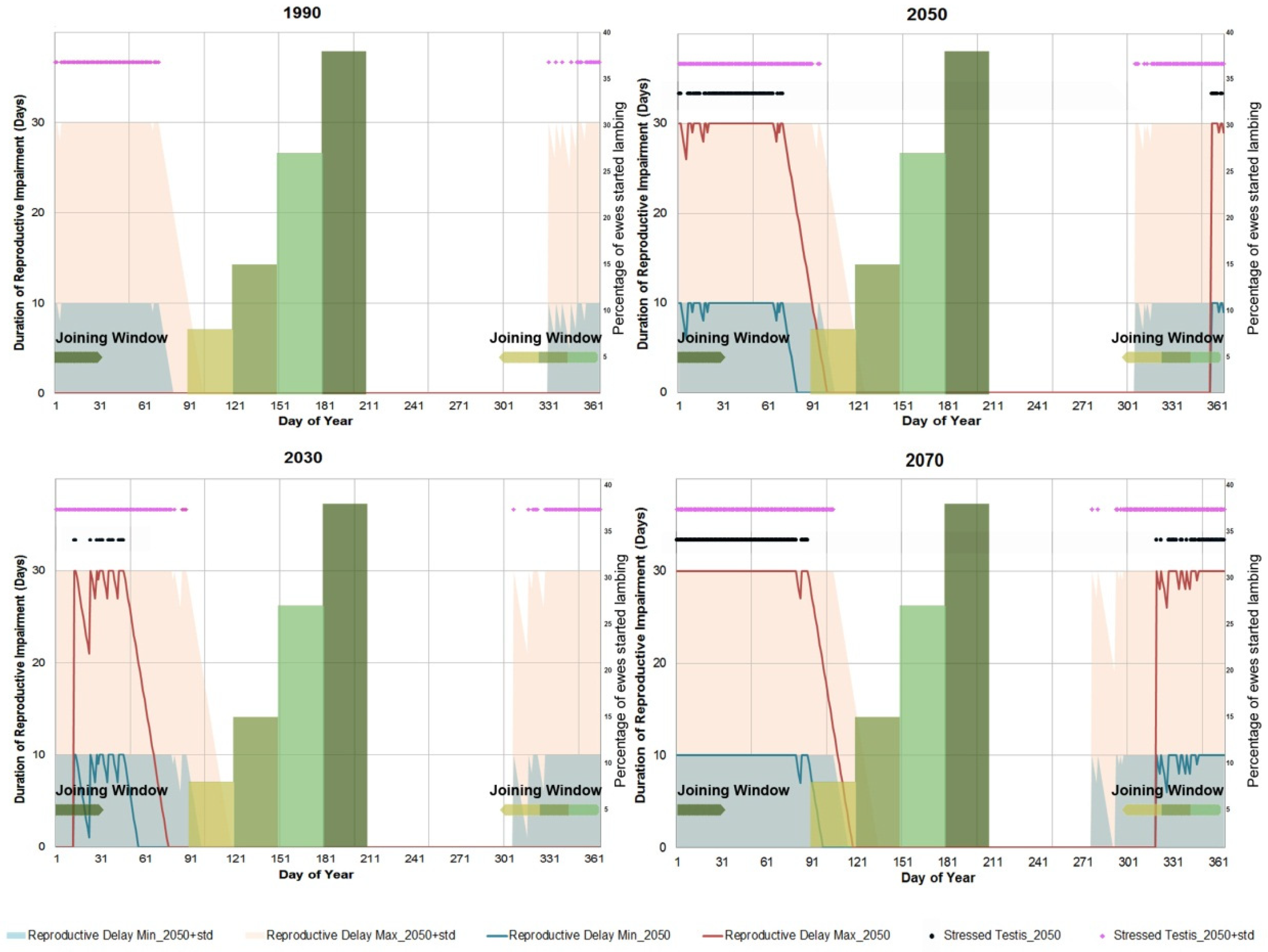
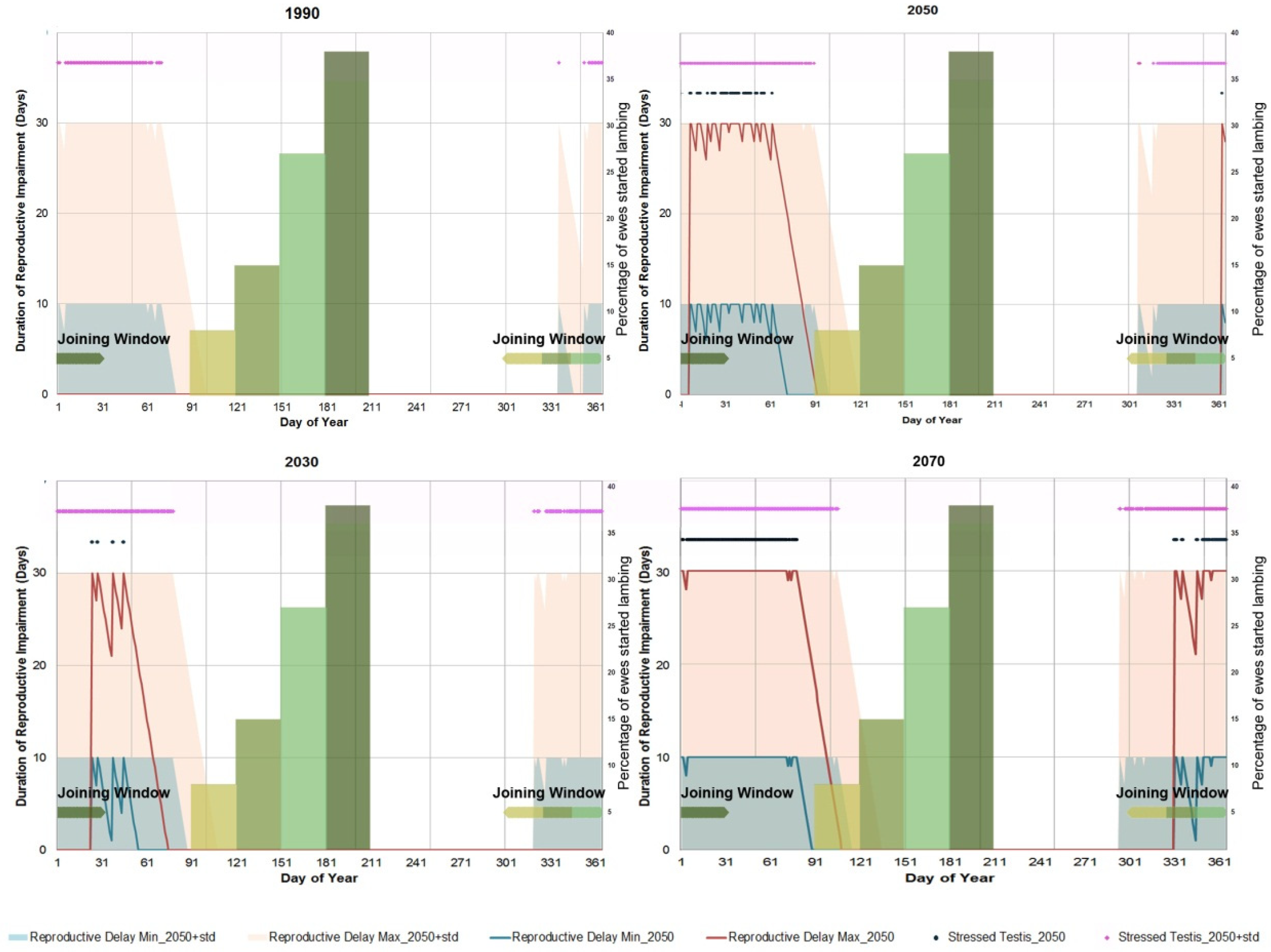
- Reproductive impairment due to heat stress
4. Discussion
5. Conclusions
Author Contributions
Funding
Data Availability Statement
Acknowledgments
Conflicts of Interest
References
- Silanikove, N. Effects of heat stress on the welfare of extensively managed domestic ruminants. Livest. Prod. Sci. 2000, 67, 1–18. [Google Scholar] [CrossRef]
- Gaughan, J.B.; Mader, T.L.; Holt, S.M.; Lisle, A. A new heat load index for feedlot cattle. J. Anim. Sci. 2008, 86, 226–234. [Google Scholar] [CrossRef]
- Little, S.; Campbell, J. Cool Cows: Dealing with Heat Stress in Australian Dairy Herds Dairy Australia; Dairy Australia: Melbourne, VIC, Australia, 2008. [Google Scholar]
- Smith, D.M.S.; Noble, I.R.; Jones, G.K. A heat balance model for sheep and its use to predict shade-Seeking behaviour in hot conditions. J. Appl. Ecol. 1985, 22, 753–774. [Google Scholar] [CrossRef]
- Benke, K.K.; Benke, L.R. Experiments in Optimal Spatial Segmentation of Local Regions Using Categorical and Quantitative Data. Appl. Spat. Anal. Policy 2013, 6, 185–208. [Google Scholar] [CrossRef]
- Finch, V.A. Body Temperature in Beef Cattle: Its Control and Relevance to Production in the Tropics. J. Anim. Sci. 1986, 62, 531–542. [Google Scholar] [CrossRef]
- Beede, D.K.; Collier, R.J. Potential Nutritional Strategies for Intensively Managed Cattle during Heat Stress. J. Anim. Sci. 1986, 62, 543–550. [Google Scholar] [CrossRef]
- Mayer, D.G.; Davison, T.M.; McGowan, M.R.; Young, B.A.; Matschoss, A.L.; Hall, A.B.; Goodwin, P.J.; Jonsson, N.N.; Gaughan, J.B. Extent and economic effect of heat loads on dairy cattle production in Australia. Aust. Vet. J. 1999, 77, 804–808. [Google Scholar] [CrossRef] [PubMed]
- Jones, R.N.; Hennessy, K.J. Climate Change Impacts in the Hunter Valley: A Risk Assessment of Heat Stress Affecting Dairy Cattle; CSIRO Division of Atmospheric Research: Aspendale, VIC, Australia, 2000. [Google Scholar]
- Mader, T.; Davis, S.; Gaughan, J.; Brown-Brandl, T. Wind Speed and Solar Radiation Adjustments for the Temperature-Humidity Index. In Proceedings of the 16th Conference on Biometeorology and Aerobiology, Vancouver, BC, Canada, 23–27 August 2004; pp. 57–62. [Google Scholar]
- Berman, A.; Folman, Y.; Kaim, M.; Mamen, M.; Herz, Z.; Wolfenson, D.; Arieli, A.; Graber, Y. Upper Critical Temperatures and Forced Ventilation effects for high-yielding Dairy Cows in a Sub-tropical Climate. J. Dairy Sci. 1985, 68, 488–495. [Google Scholar] [CrossRef] [PubMed]
- Eigenberg, R.A.; Brown-Brandl, T.M.; Nienaber, J.A.; Hahn, G.L. Dynamic response indicators of heat stress in shaded and non-shaded feedlot cattle, part 2: Predictive relationships. Biosyst. Eng. 2005, 91, 111–118. [Google Scholar] [CrossRef]
- Gaughan, J.B. Respiration rate—Is it a good measure of heat stress in cattle? Asian-Australas. J. Anim. Sci. 2000, 13, 329–332. [Google Scholar]
- Gaughan, J.B.; Lees, J.C. Categorising heat load on dairy cows. In Proceedings of the 28th Biennial Conference of the Australian Society of Animal Production, Armidale, NSW, Australia, 11–15 July 2010. [Google Scholar]
- Sierra, A.B.; Avendaño, R.L.; Hernández, R.J.A.; Pérez, R.V.; Calderón, A.C.; Mellado, M.; Cesar, A.; Herrera, M.; Cruz, U.M. Thermoregulation and reproductive responses of rams under heat stress. Review. Rev. Mex. Cienc. Pec. 2021, 12, 910–931. [Google Scholar]
- van Wettere, W.H.; Kind, K.L.; Gatford, K.L.; Swinbourne, A.M.; Leu, S.T.; Hayman, P.T.; Kelly, J.M.; Weaver, A.C.; Kleemann, D.O.; Walker, S.K. Review of the impact of heat stress on reproductive performance of sheep. J. Anim. Sci. Biotechnol. 2021, 12, 26. [Google Scholar] [CrossRef] [PubMed]
- Stockman, C.A. The Physiological and Behavioural Responses of Sheep Exposed to Heat Load within Intensive Sheep Industries, School of Biomedical and Veterinary Sciences; Murdoch University: Murdoch, WA, USA, 2006. [Google Scholar]
- Pelizaro, C.; Benke, K.; Sposito, V. A modelling framework for optimisation of commodity production by minimising the impact of climate change. Appl. Spat. Anal. Policy 2011, 4, 201–222. [Google Scholar] [CrossRef]
- Ames, D.R.; Brinks, D.R. Effect of temperature on lamb performance and protein efficiency ratio. J. Anim. Sci. 1977, 44, 136–144. [Google Scholar] [CrossRef]
- Lewis, R.M.; Brotherstone, S. A genetic evaluation of growth in sheep using random regression techniques. Anim. Sci. 2002, 74, 63–70. [Google Scholar] [CrossRef]
- Lewis, R.M.; Emmans, G.C.; Dingwall, W.S.; Simm, G. A description of the growth of sheep and its genetic analysis. Anim. Sci. 2002, 74, 51–62. [Google Scholar] [CrossRef]
- Bardos, D.C. Probabilistic Gompertz model of irreversible growth. Bull. Math. Biol. 2005, 67, 529–545. [Google Scholar] [CrossRef]
- Freund, J.E. Mathematical Statistics; Prentice Hall: Upper Saddle River, NJ, USA, 1972. [Google Scholar]
- Lambe, N.R.; Navajas, E.A.; Simm, G.; Bünger, L. A genetic investigation of various growth models to describe growth of lambs of two contrasting breeds. J. Anim. Sci. 2006, 84, 2642–2654. [Google Scholar] [CrossRef]
- Moule, G.R.; Waites, G.M. Seminal degeneration in the ram and its relation to the temperature of the scrotum. J. Reprod. Fertil. 1963, 5, 433–446. [Google Scholar] [CrossRef]
- Marai, I.F.M.; El-Darawany, A.A.; Fadiel, A.; Abdel-Hafez, M.A.M. Physiological traits as affected by heat stress in sheep—A review. Small Rumin. Res. 2007, 71, 1–12. [Google Scholar] [CrossRef]
- Papanastasiou, D.K. Classification of potential sheep heat-stress levels according to the prevailing meteorological conditions. Agric. Eng. Int. CIGR J. 2015, 57–64. [Google Scholar]
- Sejian, V.; Bhatta, R.; Gaughan, J.B.; Dunshea, F.R.; Lacetera, N. Adaptation of animals to heat stress. Animal 2018, 12, s431–s444. [Google Scholar] [CrossRef] [PubMed]
- Berihulay, H.; Abied, A.; He, X.; Jiang, L.; Ma, Y. Adaptation mechanisms of small ruminants to environmental heat stress. Animals 2019, 9, 75. [Google Scholar] [CrossRef] [PubMed]
- Lees, A.M.; Sullivan, M.L.; Olm JC, W.; Cawdell-Smith, A.J.; Gaughan, J.B. The influence of heat load on Merino sheep. 1. Growth, performance, behaviour and climate. Anim. Prod. Sci. 2020, 60, 1925–1931. [Google Scholar] [CrossRef]
- Tadesse, D.; Patra, A.K.; Puchala, R.; Goetsch, A.L. Effects of High Heat Load Conditions on Blood Constituent Concentrations in Dorper, Katahdin, and St. Croix Sheep from Different Regions of the USA. Animals 2022, 12, 2273. [Google Scholar] [CrossRef] [PubMed]
- Lees, A.M.; Sullivan, M.L.; Cawdell-Smith, A.J.; Gaughan, J.B. 505 Developing heat stress thresholds for sheep. J. Anim. Sci. 2017, 95 (Suppl. 4), 246–247. [Google Scholar] [CrossRef][Green Version]
- McCarthy, M.; Fitzmaurice, L. Heat Load Forecasting Review; Final Report B.FLT.0393; Meat and Livestock Australia Ltd.: North Sydney, NSW, Australia, 2016. [Google Scholar]
- Wilby, R.L.; Wigley, T.M. Downscaling general circulation model output: A review of methods and limitations. Prog. Phys. Geogr. 1997, 21, 530–548. [Google Scholar] [CrossRef]
- Darbyshire, R.; Webb, L.; Goodwin, I.; Barlow, S. Winter chilling trends for deciduous fruit trees in Australia. Agric. For. Meteorol. 2011, 151, 1074–1085. [Google Scholar] [CrossRef]
- Chow, D.H.C.; Levermore, G.J. New algorithm for generating hourly temperature values using daily maximum, minimum and average values from climate models. Build. Serv. Eng. Res. Technol. 2007, 28, 237–248. [Google Scholar] [CrossRef]
- Weeks, A.; Christy, B.; O’Leary, G. Generating daily future climate scenarios for crop simulation. In Proceedings of the 15th Australian Agronomy Conference, Lincoln, New Zealand, 15–18 November 2010. [Google Scholar]
- Monahan, A.H.; He, Y.; McFarlane, N.; Dai, A. The probability distribution of land surface wind speeds. J. Clim. 2011, 24, 3892–3909. [Google Scholar] [CrossRef]
- Pryor, S.C.; Schoof, J.T.; Barthelmie, R.J. Empirical downscaling of wind speed probabilty distributions. J. Geophys. Res. D Atmos. 2005, 110, 1–12. [Google Scholar] [CrossRef]
- Weibull, W. A statistical distribution function of wide applicability. J. Appl. Mech. 1951, 18, 292–297. [Google Scholar] [CrossRef]
- CSIRO. OzClim—Exploring Climate Change Scenarios for Australia; CSIRO: Canberra, ACT, Australia, 2010. [Google Scholar]
- BOM. Rainfall Percentages; Australian Bureau of Meteorology: Commonwealth of Australia, Melbourne, Australia, 2013. [Google Scholar]
- Jeffrey, S.J.; Carter, J.O.; Moodie, K.B.; Beswick, A.R. Using spatial interpolation to construct a comprehensive archive of Australian climate data. Environ. Model. Softw. 2001, 16, 309–330. [Google Scholar] [CrossRef]
- IPCC. Climate Change 2007: Synthesis Report, Contribution of Working Groups I, II and III to the Fourth Assessment Report of the Intergovernmental Panel on Climate Change; IPCC: Geneva, Switzerland, 2007. [Google Scholar]
- IPCC. Summary for Policymakers; Solomon, S., Qin, D., Manning, M., Chen, Z., Marquis, M., Averyt, K.B., Eds.; IPCC: Geneva, Switzerland, 2007. [Google Scholar]
- de Souza, B.B.; Andrade, I.S.; Filho, J.M.P.; Silva, A.M.A. Environmental and supplementation effect on the alimentary behavior and on performance of lambs in semiarid. Caatinga 2011, 24, 123–129. [Google Scholar]
- Sudmeyer, R.; Bicknell, D.; Coles, N. Tree Windbreaks in the Wheatbelt; Bulletin 4723; Department of Primary Industries and Regional Development: Perth, WA, Australia, 2007; p. 27. [Google Scholar]
- Metzger, M. Avoid Heat Stress in Your Sheep and Goats; Michigan State University: East Lansing, MI, USA, 2012. [Google Scholar]
- Jongman, E. Personal Communication on sheep heat stress, 2013.
- Marai, I.F.M.; El-Darawany, A.H.A.; Ismail, E.S.A.F.; Abdel-Hafez, M.A.M. Tunica dartos index as a parameter for measurement of adaptability of rams to subtropical conditions of Egypt. Anim. Sci. J. 2006, 77, 487–494. [Google Scholar] [CrossRef]
- Brice, T.; Hall, T. Vapor Pressure; National Weather Service Weather Forecast, US Department of Commerce: Santa Teresa, NM, USA, 2013. [Google Scholar]
- Morrison, S.R. Ruminant heat stress: Effect on production and means of alleviation. J. Anim. Sci. 1983, 57, 1594–1600. [Google Scholar] [CrossRef]


















| Site | Darbyshire RMSE in °C | CBSE Linking Days RMSE in °C |
|---|---|---|
| Hamilton | 2.6 | 2.2 |
| Tatura * | 5.5 | 5.1 |
| Variable | R2 |
|---|---|
| Temperature | 0.894 |
| Relative humidity | 0.7005 |
| Solar radiation | 0.8545 |
| Wind | 0.9774 (ordered) |
| Variable | Description | Unit |
|---|---|---|
| Tmin | Minimum daily temperature | °C |
| Tmax | Maximum daily temperature | °C |
| RHmin | Minimum relative humidity | % |
| RHmax | Maximum relative humidity | % |
| Rad | Daily solar radiation | MJ/m2/Day |
| Variable | Values |
|---|---|
| Temperature | 40.5 °C |
| Relative humidity | 55.64%: derived from 31.5 mmHG assuming a saturated vapour pressure at 40.5 degrees = 75.49; see [51]. |
| Solar radiation | 1.61 Wm−2: derived from recommended light conditions in environmental rooms, range of 1100 Lux [52], corresponding to approximately 1.6 Wm−2 |
| Wind speed | 0.3 ms−1 |
| Landscape Option | Number of Model Iterations |
|---|---|
| Do nothing | 157 |
| Adaptation 1 | 133 |
| Adaptation 2 | 112 |
| Adaptation 3 | 109 |
| Comparison 1990–2030 | Comparison 2030–2050 | Comparison 2030–2070 | ||||
|---|---|---|---|---|---|---|
| Variable | Region 1 | Region 3 | Region 1 | Region 3 | Region 1 | Region 3 |
| HLI | 303 | 324 | 364 | 147 | 364 | 364 |
| AHL | 171 | 109 | 161 | 68 | 248 | 175 |
| AHL_Max | 340 | 104 | 347 | 86 | 365 | 319 |
| AHL Dur | 359 | 277 | 363 | 364 | 345 | 56 |
| Number of Heat Stress Events | ||||||||||||
|---|---|---|---|---|---|---|---|---|---|---|---|---|
| Region 1 | Region 3 | Region 4 | Region 6 | |||||||||
| Year | No Adaptation | Adaptation 2 | Adaptation 3 | No Adaptation | Adaptation 2 | Adaptation 3 | No Adaptation | Adaptation 2 | Adaptation 3 | No Adaptation | Adaptation 2 | Adaptation 3 |
| 1990 | 0 | 0 | 0 | 0 | 0 | 0 | 0 | 0 | 0 | 0 | 0 | 0 |
| 2030 | 4 | 1 | 15 | 0 | 0 | 0 | 0 | 0 | 1 | 0 | 0 | 0 |
| 2050 | 34 | 22 | 66 | 0 | 0 | 0 | 7 | 2 | 25 | 0 | 0 | 2 |
| 2070 | 93 | 84 | 118 | 3 | 0 | 8 | 72 | 62 | 84 | 11 | 5 | 28 |
| 1990+Std Dev | 76 | 59 | 85 | 15 | 6 | 26 | 49 | 35 | 66 | 13 | 8 | 17 |
| 2030+Std Dev | 117 | 102 | 127 | 49 | 33 | 61 | 89 | 81 | 106 | 49 | 28 | 65 |
| 2050+Std Dev | 137 | 136 | 146 | 71 | 64 | 85 | 121 | 113 | 131 | 80 | 67 | 95 |
| 2070+Std Dev | 171 | 165 | 178 | 106 | 93 | 121 | 147 | 143 | 162 | 121 | 114 | 130 |
Disclaimer/Publisher’s Note: The statements, opinions and data contained in all publications are solely those of the individual author(s) and contributor(s) and not of MDPI and/or the editor(s). MDPI and/or the editor(s) disclaim responsibility for any injury to people or property resulting from any ideas, methods, instructions or products referred to in the content. |
© 2024 by the authors. Licensee MDPI, Basel, Switzerland. This article is an open access article distributed under the terms and conditions of the Creative Commons Attribution (CC BY) license (https://creativecommons.org/licenses/by/4.0/).
Share and Cite
Aurambout, J.-P.; Benke, K.K.; O’Leary, G.J. Accumulative Heat Stress in Ruminants at the Regional Scale under Changing Environmental Conditions. Environments 2024, 11, 55. https://doi.org/10.3390/environments11030055
Aurambout J-P, Benke KK, O’Leary GJ. Accumulative Heat Stress in Ruminants at the Regional Scale under Changing Environmental Conditions. Environments. 2024; 11(3):55. https://doi.org/10.3390/environments11030055
Chicago/Turabian StyleAurambout, Jean-Philippe, Kurt K. Benke, and Garry J. O’Leary. 2024. "Accumulative Heat Stress in Ruminants at the Regional Scale under Changing Environmental Conditions" Environments 11, no. 3: 55. https://doi.org/10.3390/environments11030055
APA StyleAurambout, J.-P., Benke, K. K., & O’Leary, G. J. (2024). Accumulative Heat Stress in Ruminants at the Regional Scale under Changing Environmental Conditions. Environments, 11(3), 55. https://doi.org/10.3390/environments11030055
