Goats’ Feeding Supplementation with Acacia farnesiana Pods and Their Relationship with Milk Composition: Fatty Acids, Polyphenols, and Antioxidant Activity
Simple Summary
Abstract
1. Introduction
2. Materials and Methods
2.1. Experimental Set Up
2.2. Acacia farnesiana (AF) Pods
2.3. Analysis of the Diets
2.4. Fatty Acid Profile
2.5. Goat Milk Extraction
2.6. Total Phenol Content
2.7. Phenolic Compounds in Goat’s Milk Extract Analyzed by HPLC
2.8. DPPH• Scavenging Activity
2.9. Oxygen Radical Absorbance Capacity (ORAC) Assay
2.10. Ferric Reducing Antioxidant Power (FRAP) Test
2.11. Statistical Analysis
3. Results
3.1. Analysis of the Diets and Milk
3.2. Fatty Acid Methyl Esters (FAME) and Health and Risk Indices
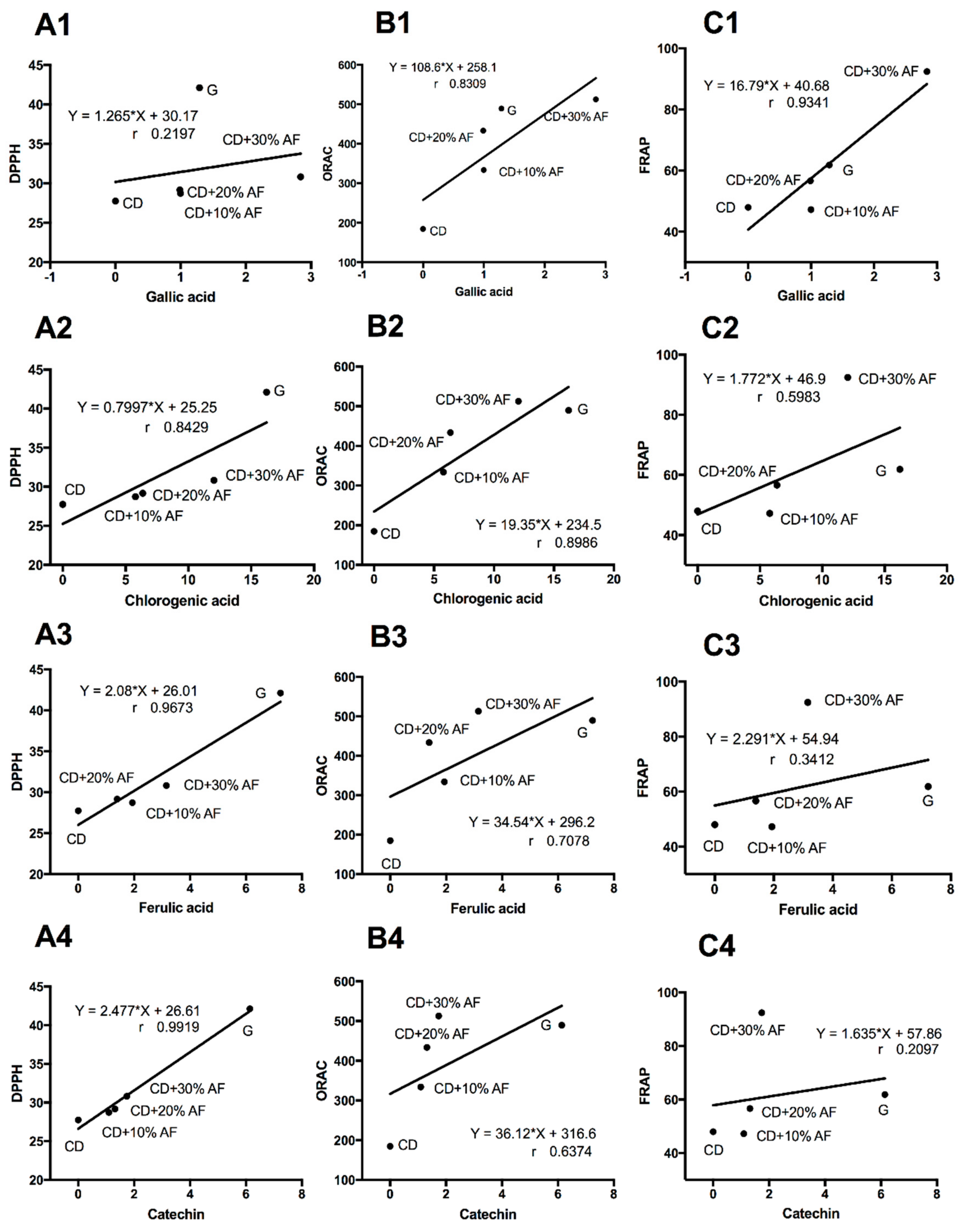
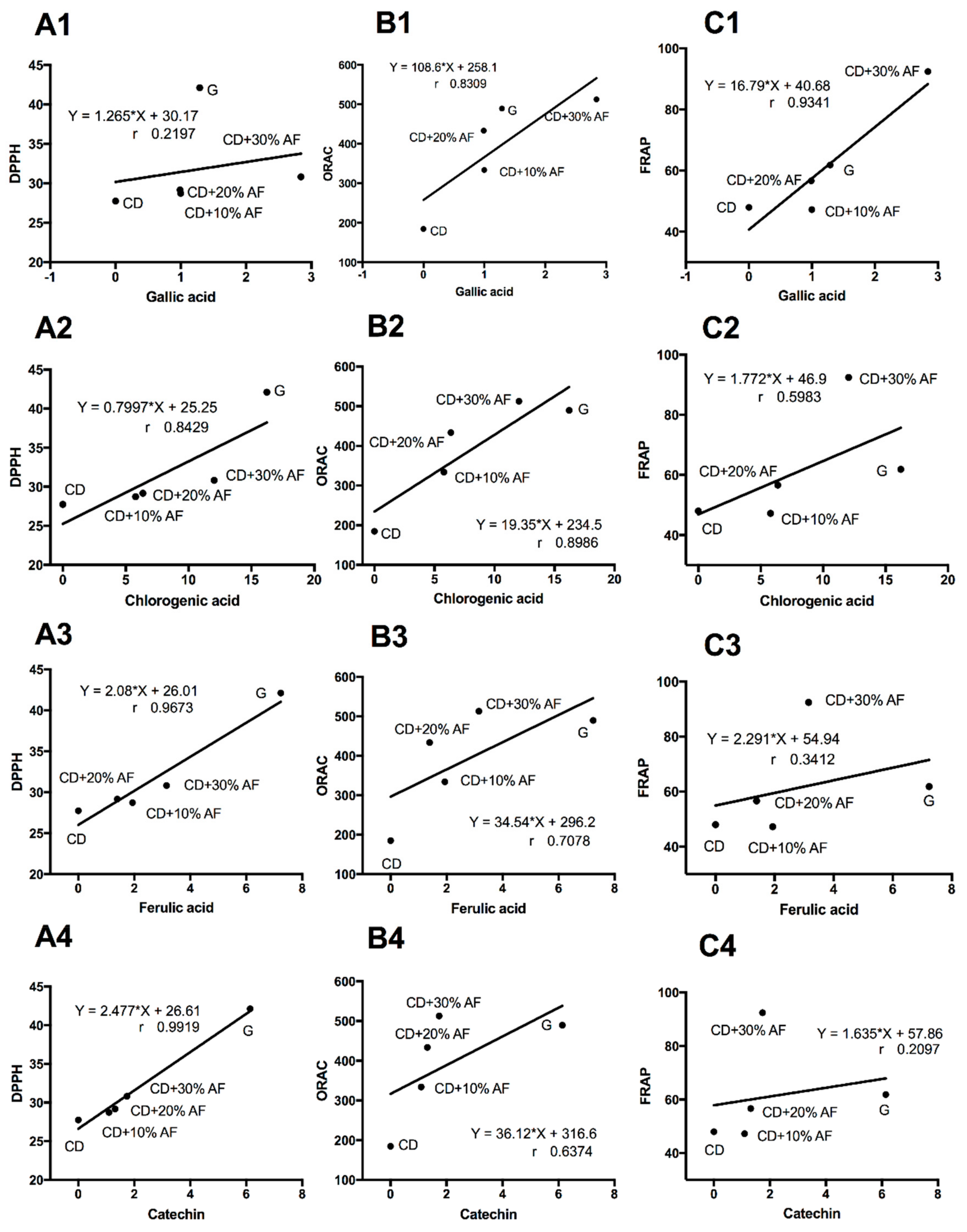
3.3. Total Phenolic Content and Bioactive Compounds
3.4. Antioxidant Activity
4. Discussion
5. Conclusions
Author Contributions
Funding
Acknowledgments
Conflicts of Interest
References
- Cuchillo, H.M.; Puga, D.C.; Wrage-Mönning, N.; Espinosa, M.J.G.; Montaño, B.S.; Navarro-Ocaña, A.; Ledesma, J.A.; Díaz, M.M.; Pérez-Gil, R.F. Chemical composition, antioxidant activity and bioactive compounds of vegetation species ingested by goats on semiarid rangelands. J. Anim. Feed Sci. 2013, 22, 106–115. [Google Scholar] [CrossRef]
- Cuchillo, H.M.; Puga, D.C.; Navarro, O.A.; Pérez-Gil, R. Antioxidant activity, bioactive polyphenols in Mexican goats’ milk cheeses on summer grazing. J. Dairy Res. 2010, 77, 20–26. [Google Scholar] [CrossRef]
- Cuchillo, H.M.; Puga, D.C.; Wrage, N.; Pérez-Gil, R. Feeding goats on scrubby Mexican rangeland and pasteurization: Influences on milk and artisan cheese quality. Trop. Anim. Health Prod. 2010, 42, 1127–1134. [Google Scholar] [CrossRef]
- Delgadillo, P.; Sánchez, M.; Nahed, T.; Cuchillo, H.; Díaz, M.; Solis, Z.; Reyes, H.; Castillo, D. Fatty acid content, health and risk indices, physicochemical composition, and somatic cell counts of milk from organic and conventional farming systems in tropical south-eastern Mexico. Trop. Anim. Health Prod. 2014, 46, 883–888. [Google Scholar] [CrossRef]
- Delgadillo, P.; Castillo, D.; Cuchillo, H.; Díaz, M.; Pérez-Gil, R.; Montaño, B. Radical scavenging activity and health and risk fatty acid indices of soft goats’ milk cheeses. Arch. Latinoam. Prod. Anim. 2015, 23, 21–26. [Google Scholar]
- Chávez-Servín, J.; Andrade-Montemayor, H.; Velázquez Vázquez, C.; Aguilera Barreyro, A.; García-Gasca, T.; Ferríz Martínez, R.; Olvera Ramírez, A.; de la Torre-Carbot, K. Effects of feeding system, heat treatment and season on phenolic compounds and antioxidant capacity in goat milk, whey and cheese. Small Rumin. Res. 2018, 160, 54–58. [Google Scholar] [CrossRef]
- Santiago-López, L.; Aguilar-Toalá, J.; Hernández-Mendoza, A.; Vallejo-Cordoba, B.; Liceaga, A.; González-Córdova, A. Invited review: Bioactive compounds produced during cheese ripening and health effects associated with aged cheese consumption. J. Dairy Sci. 2018, 101, 3742–3757. [Google Scholar] [CrossRef]
- Goetsch, A.L.; Zeng, S.S.; Gipson, T.A. Factors affecting goat milk production and quality. Small Rumin. Res. 2011, 101, 55–63. [Google Scholar] [CrossRef]
- Ventto, L.; Leskinen, H.; Kairenius, P.; Stefański, T.; Bayat, A.R.; Vilkki, J.; Shingfield, K.J. Diet-induced milk fat depression is associated with alterations in ruminal biohydrogenation pathways and formation of novel fatty acid intermediates in lactating cows. Br. J. Nutr. 2017, 117, 364–376. [Google Scholar] [CrossRef]
- Benbrook, C.M.; Davis, D.R.; Heins, B.J.; Latif, M.A.; Leifert, C.; Peterman, L.; Butler, G.; Faergeman, O.; Abel-Caines, S.; Baranski, M. Enhancing the fatty acid profile of milk through forage-based rations, with nutrition modeling of diet outcomes. Food Sci. Nutr. 2018, 6, 681–700. [Google Scholar] [CrossRef]
- Galina, M.A.; Osnaya, F.; Cuchillo, H.M.; Haenlein, G.F.W. Cheese quality from milk of grazing or indoor fed Zebu cows and Alpine crossbred goats. Small Rumin. Res. 2007, 71, 264–272. [Google Scholar] [CrossRef]
- Pajor, F.; Egerszegi, I.; Steiber, O.; Bodnár, Á.; Póti, P. Effect of marine algae supplementation on the fatty acid profile of milk of dairy goats kept indoor and on pasture. J. Anim. Feed Sci. 2019, 28, 169–176. [Google Scholar] [CrossRef]
- Tsiplakou, E.; Zervas, G. The effect of fish and soybean oil inclusion in goat diet on their milk and plasma fatty acid profile. Livest. Sci. 2013, 155, 236–243. [Google Scholar] [CrossRef]
- Klir, Z.; Castro-Montoya, J.M.; Novoselec, J.; Molkentin, J.; Domacinovic, M.; Mioc, B.; Dickhoefer, U.; Antunovic, Z. Influence of pumpkin seed cake and extruded linseed on milk production and milk fatty acid profile in Alpine goats. Animal 2017, 11, 1772–1778. [Google Scholar] [CrossRef]
- Kliem, K.E.; Humphries, D.J.; Reynolds, C.K.; Morgan, R.; Givens, D.I. Effect of oilseed type on milk fatty acid composition of individual cows, and also bulk tank milk fatty acid composition from commercial farms. Animal 2017, 11, 354–364. [Google Scholar] [CrossRef]
- Cabiddu, A.; Addis, M.; Fiori, M.; Spada, S.; Decandia, M.; Molle, G. Pros and cons of the supplementation with oilseed enriched concentrates on milk fatty acid profile of dairy sheep grazing Mediterranean pastures. Small Rumin. Res. 2017, 147, 63–72. [Google Scholar] [CrossRef]
- Ullah, R.; Nadeem, M.; Imran, M.; Taj Khan, I.; Shahbaz, M.; Mahmud, A.; Tayyab, M. Omega fatty acids, phenolic compounds, and lipolysis of cheddar cheese supplemented with chia (Salvia hispanica L.) oil. J. Food Process. Preserv. 2018, 42, e13566. [Google Scholar] [CrossRef]
- Cabiddu, A.; Salis, L.; Tweed, J.; Molle, G.; Decandia, M.; Lee, M. The influence of plant polyphenols on lipolysis and biohydrogenation in dried forages at different phenological stagesin vitro study. J. Sci. Food Agric. 2010, 90, 829–835. [Google Scholar] [CrossRef]
- De Neve, N.; Vlaeminck, B.; Gadeyne, F.; Claeys, E.; van der Meeren, P.; Fievez, V. Promising perspectives for ruminal protection of polyunsaturated fatty acids through polyphenol-oxidase-mediated crosslinking of interfacial protein in emulsions. Animal 2018, 12, 2539–2550. [Google Scholar] [CrossRef]
- Herrero, M.; Havlík, P.; Valin, H.; Notenbaert, A.; Rufino, M.C.; Thornton, P.K.; Blümmel, M.; Weiss, F.; Grace, D.; Obersteiner, M. Biomass use, production, feed efficiencies, and greenhouse gas emissions from global livestock systems. Proc. Natl. Acad. Sci. USA 2013, 110, 20888–20893. [Google Scholar] [CrossRef]
- Delgadillo Puga, C.; Cuchillo-Hilario, M.; Navarro Ocaña, A.; Medina-Campos, O.N.; Nieto Camacho, A.; Ramírez Apan, T.; López-Tecpoyotl, Z.G.; Díaz Martínez, M.; Álvarez-Izazaga, M.A.; Cruz Martínez, Y.R.; et al. Phenolic Compounds in Organic and Aqueous Extracts from Acacia farnesiana Pods Analyzed by ULPS-ESI-Q-oa/TOF-MS. In Vitro Antioxidant Activity and Anti-Inflammatory Response in CD-1 Mice. Molecules 2018, 23, 2386. [Google Scholar] [CrossRef]
- Delgadillo Puga, C.; Cuchillo, H.; Espinosa, J.G.; Medina, O.; Molina, E.; Díaz, M.; Álvarez, M.; Ledesma, J.; Pedraza-Chaverri, J. Antioxidant activity and protection against oxidative-induced damage of Acacia shaffneri and Acacia farnesiana pods extractsin vitro and in vivo assays. BMC Complement. Altern. Med. 2015, 15, 1–8. [Google Scholar] [CrossRef]
- Sánchez, E.; Heredia, N.; Camacho-Corona, M.d.R.; García, S. Isolation, characterization and mode of antimicrobial action against Vibrio cholerae of methyl gallate isolated from Acacia farnesiana. J. Appl. Microbiol. 2013, 115, 1307–1316. [Google Scholar] [CrossRef]
- Hernández-García, E.; García, A.; Garza-González, E.; Avalos-Alanís, F.G.; Rivas-Galindo, V.M.; Rodríguez-Rodríguez, J.; Alcantar-Rosales, V.M.; Delgadillo-Puga, C.; Camacho-Corona, M. Chemical composition of Acacia farnesiana (L) wild fruits and its activity against Mycobacterium tuberculosis and dysentery bacteria. J. Ethnopharmacol. 2019, 230, 74–80. [Google Scholar] [CrossRef]
- National Research Council. Nutrient Requirements of Goatsangora, Dairy, and Meat Goats in Temperate and Tropical Countries; The National Academies Press: Washington, DC, USA, 1981; p. 100. [Google Scholar]
- AOAC. Official Methods of Analysis; Association of Official Analytical Chemists: Washington, DC, USA, 2003; Available online: http://www.aoac.org (accessed on 10 August 2018).
- Chen, S.; Bobe, G.; Zimmerman, S.; Hammond, E.; Luhman, C.; Boylston, T.; Freeman, A.; Beitz, D. Physical and Sensory Properties of Dairy Products from Cows with Various Milk Fatty Acid Compositions. J. Agric. Food Chem. 2004, 52, 3422–3428. [Google Scholar] [CrossRef]
- Ulbricht, T.L.V.; Southgate, D.A.T. Coronary heart disease: seven dietary factors. Lancet 1991, 338, 985–992. [Google Scholar] [CrossRef]
- Chen, L.Y.; Cheng, C.W.; Liang, J.Y. Effect of esterification condensation on the Folin–Ciocalteu method for the quantitative measurement of total phenols. Food Chem. 2015, 170, 10–15. [Google Scholar] [CrossRef]
- Koren, E.; Kohen, R.; Ginsburg, I. Polyphenols enhance total oxidant-scavenging capacities of human blood by binding to red blood cells. Exp. Biol. Med. 2010, 235, 689–699. [Google Scholar] [CrossRef]
- Huang, D.; Ou, B.; Hampsch-Woodill, M.; Flanagan, J.A.; Deemer, E.K. Development and validation of oxygen radical absorbance capacity assay for lipophilic antioxidants using randomly methylated β-Cyclodextrin as the solubility enhancer. J. Agric. Food Chem. 2002, 50, 1815–1821. [Google Scholar] [CrossRef]
- Benzie, I.; Strain, J. The ferric reducing ability of plasma (FRAP) as a measure of “antioxidant power” the FRAP assay. Anal. Biochem. 1996, 239, 70–76. [Google Scholar] [CrossRef]
- Hernández-García, E.; García, A.; Avalos-Alanís, F.G.; Rivas-Galindo, V.M.; Delgadillo-Puga, C.; Camacho-Corona, M. Nuclear magnetic resonance spectroscopy data of isolated compounds from Acacia farnesiana (L) Wild fruits and two esterified derivatives. Data Brief 2019, 22, 255–268. [Google Scholar] [CrossRef]
- Fernández, C.; Suárez, Y.; Ferruelo, J.A.; Gómez-Coronado, D.; Lasunción, M.A. Inhibition of cholesterol biosynthesis by ∆22-unsaturated phytosterol via competitive inhibition of sterol ∆24-reductase in mammalian cells. Biochem. J. 2002, 366, 109–116. [Google Scholar] [CrossRef]
- Bhoyar, M.S.; Mishra, G.P.; Naik, P.K.; Srivastava, R.B. Estimation of antioxidant activity and total phenolics among natural populations of Caper (Capparis spinosa) leaves collected from cold arid desert of trans-Himalayas. Aust. J. Crop Sci. 2011, 5, 912–919. [Google Scholar]
- Huang, D.; Ou, B.; Prior, R.L. The chemistry behind antioxidant capacity assays. J. Agric. Food Chem. 2005, 53, 1841–1856. [Google Scholar] [CrossRef]
- Cao, G.; Prior, R. Comparison of different analytical methods for assessing total antioxidant capacity of human serum. Clin. Chem. 1998, 44, 1309–1315. [Google Scholar]




| Goats’ Diets Ingredients | Grazing 1 | Conventional Diet (CD) | CD + 10% AF | CD + 20% AF | CD + 30% AF |
|---|---|---|---|---|---|
| Percentage of inclusion | |||||
| Lucerne hay | 60 | 54 | 48 | 42 | |
| Grain supplement 2 | - | 40 | 36 | 32 | 28 |
| Acacia farnesiana pods meal | - | - | 10 | 20 | 30 |
| Chemical composition of experimental diets (g/100 g of dry matter basis) | |||||
| Dry matter | 95.5 | 98.02 | 97.69 | 98.17 | 96.35 |
| Crude protein (N*6.25) | 9.22 | 15.00 | 15.38 | 14.98 | 13.85 |
| Ether extract | 1.68 | 3.42 | 3.08 | 2.57 | 3.40 |
| Carbohydrates | 55.88 | 45.13 | 45.62 | 49.53 | 51.76 |
| Ash | 11.11 | 15.34 | 14.85 | 13.14 | 10.21 |
| Fiber crude | 22.01 | 19.13 | 18.76 | 17.95 | 17.13 |
| Gross energy (kcal/g) | 3.24 | 4.67 | 4.72 | 4.64 | 3.77 |
| Parameters | Grazing | Conventional Diet (CD) | CD + 10% AF | CD + 20% AF | CD + 30% AF |
|---|---|---|---|---|---|
| Water content | 88.39 | 88.10 | 88.42 | 88.63 | 89.09 |
| Protein (N*6.38) | 3.59 | 3.61 | 3.42 | 3.34 | 3.50 |
| Fat | 3.36 | 3.98 | 3.55 | 3.25 | 2.84 |
| Carbohydrates | 3.88 | 4.55 | 3.82 | 4.10 | 3.72 |
| Ash | 0.78 | 0.75 | 0.79 | 0.69 | 0.85 |
| Gross energy (kcal 100/g) | 0.60 | 0.64 | 0.61 | 0.59 | 0.54 |
| Cholesterol (mg/100 g) | 14.80 c | 18.10 a | 15.21 b | 13.33 d | 11.65 e |
| Fatty Acids | Grazing | Conventional Diet (CD) | CD + 10% AF | CD + 20% AF | CD + 30% AF |
|---|---|---|---|---|---|
| C8:0 Caprylic | 0.11 ± 0.2 ab | 0.23 ± 0.07 a | ND | 0.14 ± 0.02 b | 0.07 ± 0.01 c |
| C10:0 Capric | 2.93 ± 0.04 b | 3.65 ± 0.14 a | 2.50 ± 0.09 c | 1.67 ± 0.08 d | 1.94 ± 0.11 e |
| C11:0 Undecanoic | 0.05 ± 0.01 a | 0.04 ± 0.01 b | 0.03 ± 0.01 b | 0.04 ± 0.04 b | 0.03 ± 0.01 b |
| C12:0 Lauric | 3.51 ± 0.04 b | 2.80 ± 0.13 d | 3.68 ± 0.06 a | 3.65 ± 0.09 a | 3.28 ± 0.15 c |
| C13:0 Tridecanoic | 0.08 ± 0.1 ab | 0.07 ± 0.01 a | 0.09 ± 0.01 b | 0.08 ± 0.1 ab | 0.08 ± 0.1 ab |
| C14:0 Myristic | 12.64 ± 0.2 b | 12.13 ± 0.3 c | 11.80 ± 0.2 d | 12.74 ± 0.3 b | 13.97 ± 0.1 a |
| C15:0 Pentadecanoic | 1.12 ± 0.02 b | 0.98 ± 0.03 d | 1.29 ± 0.02 a | 1.28 ± 0.02 a | 1.03 ± 0.03 c |
| C15:1 cis-10 Pentadecanoic | 0.35 ± 0.03 b | 0.30 ± 0.01 c | 0.42 ± 0.01 a | 0.41 ± 0.02 a | 0.33 ± 0.02 b |
| C16:0 Palmitic | 38.26 ± 0.5 b | 29.94 ± 0.6 d | 31.91 ± 0.9 c | 32.09 ± 0.5 c | 41.36 ± 0.5 a |
| C16:1 cis-9 hexadecanoic | 0.78 ± 0.05 c | 0.89 ± 0.01 b | 0.82 ± 0.06 c | 0.90 ± 0.04 b | 1.00 ± 0.03 a |
| C17:0 Heptadecanoic | 0.83 ± 0.03 c | 0.91 ± 0.03 b | 1.02 ± 0.07 a | 0.75 ± 0.7 cd | 0.71 ± 0.02 d |
| C17:1 cis-10-Heptadecanoic | 0.37 ± 0.02 d | 0.41 ± 0.01 c | 0.50 ± 0.5 a | 0.44 ± 0.02 b | 0.35 ± 0.01 e |
| C18:0 Stearic | 9.68 ± 0.54 b | 11.75 ± 0.09 a | 9.89 ± 0.44 b | 9.77 ± 0.09 b | 6.57 ± 0.21 c |
| C18:1 cis-9 Oleic | 24.65 ± 0.1 b | 29.76 ± 0.3 a | 30.58 ± 0.9 a | 30.42 ± 0.6 a | 24.12 ± 0.1 c |
| C18:2 n-6 cis-9, cis-12 Linoleic (LA) | 2.42 ± 0.06 d | 3.97 ± 0.02 a | 3.22 ± 0.09 c | 3.33 ± 0.11 cb | 3.36 ± 0.03 b |
| C18:2 trans-9, cis-12 Linolelaidic | 0.20 ± 0.02 b | 0.25 ± 0.02 a | 0.20 ± 0.01 b | 0.18 ± 0.01 b | 0.13 ± 0.04 e |
| C18:2 (CLA) | 0.29 ± 0.03 a | 0.20 ± 0.02 b | 0.22 ± 0.03 c | 0.23 ± 0.01 c | 0.23 ± 0.01 c |
| C18:3 n-3 Alpha linolenic (ALA) | 0.67 ± 0.04 b | 0.78 ± 0.04 a | 0.53 ± 0.03 c | 0.57 ± 0.09 bc | 0.48 ± 0.02 d |
| C18:3 n-6 Gamma linolenic | 0.02 ± 0.05 c | 0.04 ± 0.01 b | 0.04 ± 0.01 b | 0.07 ± 0.01 a | 0.03 ± 0.01 b |
| C20:0 Arachidic | 0.32 ± 0.01 b | 0.25 ± 0.02 c | 0.35 ± 0.02 a | 0.38 ± 0.03 a | 0.26 ± 0.05 c |
| C20:1 cis-11-eicosanoic | 0.07 ± 0.01 a | 0.07 ± 0.01 a | 0.07 ± 0.01 a | 0.05 ± 0.04 b | 0.05 ± 0.01 b |
| C20:2 n-6 | ND | 0.03 ± 0.04 a | 0.05 ± 0.02 a | 0.04 ± 0.04 a | ND |
| C20:3 n-6 cis-8,11,14-eicosatrienoic | 0.02 ± 0.005 | 0.02 ± 0.001 | 0.02 ± 0.003 | 0.02 ± 0.003 | ND |
| C20:3 n-3 cis-11,14,17-eicosatrienoic | 0.08 ± 0.02 a | 0.07 ± 0.0 a | 0.09 ± 0.01 a | 0.09 ± 0.01 a | 0.05 ± 0.01 b |
| C20:4 n-6 Arachidonic (AA) | 0.24 ± 0.01 b | 0.20 ± 0.02 c | 0.32 ± 0.03 a | 0.29 ± 0.02 a | 0.31 ± 0.01 a |
| C20:5 n-3 Eicosapentaenoic (EPA) | 0.06 ± 0.1 ab | 0.06 ± 0.01 ab | 0.07 ± 0.01 a | 0.05 ± 0.04 b | 0.06 ± 0.1 ab |
| C22:6 n-3 Docosahexaenoic (DHA) | 0.06 ± 0.01 a | 0.04 ± 0.003 b | 0.07 ± 0.01 a | 0.07 ± 0.01 a | 0.08 ± 0.01 a |
| C23:0 Tricosanoic | 0.05 ± 0.04 b | 0.05 ± 0.01 b | 0.06 ± 0.01 a | 0.05 ± 0.03 b | 0.04 ± 0.01 c |
| C24:0 Lignoceric | 0.04 ± 0.03 b | 0.03 ± 0.04 c | 0.05 ± 0.05 a | 0.06 ± 0.01 a | ND |
| LA/ALA | 3.62 ± 0.24 d | 5.07 ± 0.26 c | 6.05 ± 0.37 b | 5.97 ± 0.90 bc | 6.99 ± 0.2 ab |
| EPA/AA | 0.24 ± 0.04 b | 0.32 ± 0.03 a | 0.22 ± 0.01 b | 0.18 ± 0.02 b | 0.20 ± 0.02 b |
| DHA/AA | 0.26 ± 0.05 | 0.20 ± 0.01 | 0.23 ± 0.03 | 0.26 ± 0.01 | 0.25 ± 0.02 |
| AA/EPA + DHA | 2.07 ± 0.38 | 1.94 ± 0.14 | 2.23 ± 0.13 | 2.29 ± 0.16 | 2.21 ± 0.19 |
| ΣSFA 1 | 69.73 ± 0.2 a | 62.74 ± 0.3 b | 62.80 ± 1.0 b | 62.83 ± 0.8 b | 69.42 ± 0.2 a |
| ΣMUFA 2 | 26.22 ± 0.1 b | 31.62 ± 0.3 a | 32.39 ± 1.0 a | 32.23 ± 0.6 a | 25.85 ± 0.1 c |
| ΣPUFA 3 | 4.05 ± 0.08 c | 5.64 ± 0.08 a | 4.81 ± 0.05 b | 4.95 ± 0.22 b | 4.74 ± 0.07 b |
| Σn-6 | 2.89 ± 0.05 c | 4.48 ± 0.07 a | 3.81 ± 0.06 b | 3.93 ± 0.13 b | 3.83 ± 0.04 b |
| Σn-3 | 0.87 ± 0.07 b | 0.96 ± 0.10 a | 0.77 ± 0.04 c | 0.79 ± 0.10 bc | 0.67 ± 0.03 d |
| n-6/n-3 | 3.34 ± 0.27 c | 4.70 ± 0.27 b | 4.99 ± 0.28 b | 5.05 ± 0.5 ab | 5.70 ± 0.21 a |
| HPI 4 | 0.32 ± 0.01 c | 0.46 ± 0.01 a | 0.45 ± 0.1 ab | 0.43 ± 0.02 b | 0.30 ± 0.03 d |
| TI 5 | 3.47 ± 0.06 b | 2.55 ± 0.04 c | 2.61 ± 0.01 c | 2.65 ± 0.12 c | 3.63 ± 0.05 a |
© 2019 by the authors. Licensee MDPI, Basel, Switzerland. This article is an open access article distributed under the terms and conditions of the Creative Commons Attribution (CC BY) license (http://creativecommons.org/licenses/by/4.0/).
Share and Cite
Delgadillo-Puga, C.; Cuchillo-Hilario, M.; León-Ortiz, L.; Ramírez-Rodríguez, A.; Cabiddu, A.; Navarro-Ocaña, A.; Morales-Romero, A.M.; Medina-Campos, O.N.; Pedraza-Chaverri, J. Goats’ Feeding Supplementation with Acacia farnesiana Pods and Their Relationship with Milk Composition: Fatty Acids, Polyphenols, and Antioxidant Activity. Animals 2019, 9, 515. https://doi.org/10.3390/ani9080515
Delgadillo-Puga C, Cuchillo-Hilario M, León-Ortiz L, Ramírez-Rodríguez A, Cabiddu A, Navarro-Ocaña A, Morales-Romero AM, Medina-Campos ON, Pedraza-Chaverri J. Goats’ Feeding Supplementation with Acacia farnesiana Pods and Their Relationship with Milk Composition: Fatty Acids, Polyphenols, and Antioxidant Activity. Animals. 2019; 9(8):515. https://doi.org/10.3390/ani9080515
Chicago/Turabian StyleDelgadillo-Puga, Claudia, Mario Cuchillo-Hilario, Luis León-Ortiz, Amairani Ramírez-Rodríguez, Andrea Cabiddu, Arturo Navarro-Ocaña, Aurora Magdalena Morales-Romero, Omar Noel Medina-Campos, and José Pedraza-Chaverri. 2019. "Goats’ Feeding Supplementation with Acacia farnesiana Pods and Their Relationship with Milk Composition: Fatty Acids, Polyphenols, and Antioxidant Activity" Animals 9, no. 8: 515. https://doi.org/10.3390/ani9080515
APA StyleDelgadillo-Puga, C., Cuchillo-Hilario, M., León-Ortiz, L., Ramírez-Rodríguez, A., Cabiddu, A., Navarro-Ocaña, A., Morales-Romero, A. M., Medina-Campos, O. N., & Pedraza-Chaverri, J. (2019). Goats’ Feeding Supplementation with Acacia farnesiana Pods and Their Relationship with Milk Composition: Fatty Acids, Polyphenols, and Antioxidant Activity. Animals, 9(8), 515. https://doi.org/10.3390/ani9080515

