Simple Summary
Gabapentin is an analogue of the neurotransmitter γ-aminobutyric acid, which is commonly used to treat neuropathic pain and epilepsy. However, studies have shown that early use of gabapentin can significantly reduce cats’ stress and increase their compliance with veterinary examinations. There is currently little research on the pharmacokinetics of gabapentin tablets for oral administration in cats. Consequently, monitoring gabapentin plasma levels provides critical insights into therapeutic adherence and facilitates early identification of toxicity thresholds. In this study, a novel LC-MS/MS assay was established and comprehensively validated to achieve high-throughput quantification of gabapentin in feline plasma resolution within 7 min. Additionally, this study provides further clinical evaluation for the management of sedation and anti-stress in cats.
Abstract
Gabapentin (GBP), a γ-aminobutyric acid analogue used for neuropathic pain and epilepsy, can reduce cat stress and improve veterinary exam compliance. A sensitive LC-MS/MS assay was established and rigorously validated for quantifying GBP in feline plasma. The method employed acetonitrile-mediated protein precipitation to efficiently extract GBP and its internal standard, pregabalin (PGB). Chromatographic separation was achieved within 7 min using a C18 column (2.1 × 50 mm, 1.7 μm) with a gradient mobile phase comprising 0.1% (v/v) formic acid in water and acetonitrile. The pharmacokinetics of 25 mg/kg GBP was studied by single-dose oral and intravenous administration. The results demonstrated that the method exhibited satisfactory precision, accuracy and linearity. The pharmacokinetic results showed that the Tmax, Cmax, T1/2 and AUC0–t of GBP in cats after oral administration of 25 mg/kg were (1.83 ± 0.75) h, (13.94 ± 3.75) μg/mL, (5.60 ± 1.79) h and (115.54 ± 27.56) (μg/mL) h, respectively. The results of the study indicated that after intravenous administration of 25 mg/kg GBP, the C0, T1/2 and AUC0–t were (58.82 ± 15.34) μg/mL, (3.87 ± 0.64) h and (160.44 ± 32.65) (μg/mL) h, respectively. The oral bioavailability of GBP in cats was (78.71 ± 18.55)%. In this study, a selective and sensitive LC-MS/MS method for the quantification of GBP in cat plasma was developed and validated. This method was successfully employed to assess the pharmacokinetics following the oral and intravenous administration of GBP in cats.
1. Introduction
Cats are the most popular pets in Canada and Europe, and are ranked the second most popular pets in the world [1]. Although cats are popular, they face barriers in accessing veterinary care, especially compared to dogs. These obstacles include stress during transportation and treatment, as well as the owner’s lack of understanding of preventive care and difficulty in identifying symptoms of disease [2,3]. Despite the recommendation of numerous non-drug strategies to reduce fear and stress in cats during treatment, some cats still exhibit fear and aggressive behavior [4]. In such cases, drug intervention prior to handling the cats may be considered in order to reduce cats’ stress and facilitate their adaptation to the external environment and staff [5,6]. The evidence base for establishing standardized oral sedation protocols in felines is currently insufficient, necessitating a pharmacokinetic model to bridge this gap.
GBP has recently gained popularity as a pharmaceutical agent for the treatment of anxiety and pain. Clinical studies have demonstrated its efficacy in alleviating anxiety and stress in felines. An investigation revealed that oral administration of 100 mg GBP capsules to cats 90 min prior to their transportation to a veterinary facility and subsequent examination significantly reduced stress-related behaviors during transportation and examination, as well as instances of feline aggression during the veterinary examination. Additionally, the administration of GBP was observed to alleviate acute stress in cats induced by veterinary intervention [7,8,9].
Gabapentin, a γ-aminobutyric acid (GABA) structural derivative, selectively binds to the α2δ-1 subunit of voltage-gated calcium channels—the canonical receptor mediating thrombospondin-dependent synaptogenesis [10,11]. Its pharmacological activity primarily involves antagonism of central voltage-gated Ca2+/Na+ channels via presynaptic membrane potential modulation, concomitantly with suppressed monoamine exocytosis, attenuated excitatory synaptogenesis and potentiation of GABAergic/serotonergic neurotransmission [12]. It is commonly used in human medicine for the treatment of chronic pain conditions that are maladaptive in nature, such as diabetic neuropathy [13]. Currently, the drug has been approved by the United States Food and Drug Administration (USFDA) for the treatment of postherpetic neuralgia and as an adjunctive therapy for partial-onset seizures in humans.
GBP has been utilized to control seizures, anxiety in companion animals and neuropathic pain in humans, rats and cattle [14,15,16]. Although the pharmacokinetics of GBP in cats following oral administration have been reported, its bioavailability may show great inter- and intra-subject variability, because of its particular active absorption by the gut and excretion by the kidneys [17]. For this reason, the determination of blood concentrations of GBP may be useful in assessing compliance and evaluating the risk of toxicity. Additionally, this study provides further clinical evaluation for the management of sedation and anti-stress in cats.
At present, the determination methods for the plasma concentration of GBP and PGB include HPLC [18,19,20], LC-FL [21], LC-MS [11,13], etc. However, these two drugs do not have ultraviolet absorption, and require pre-column derivatization, which leads to complex pretreatment of plasma samples and long detection times. No single method has been reported that can simultaneously determine GBP and structurally similar compounds, like PGB, without derivatization. Therefore, the LC-MS/MS-based quantitative analytical method established for determining GBP in feline plasma fulfills requirements for rapid, accurate and high-throughput detection, while elucidating the correlation between the pharmacokinetic profile of this drug in cats and its clinical applicability in mitigating stress-related responses during veterinary interventions. Furthermore, the notably high oral bioavailability of GBP in cats may be attributed to species-specific gastrointestinal absorption characteristics and hepatic metabolic enzyme activity, which provides a theoretical foundation for developing optimized sustained-release formulations tailored to feline pharmacokinetic parameters.
2. Materials and Methods
2.1. Animals
The cats included in this study were healthy adults weighing 3~5 kg and of appropriate age, confirmed by veterinary examination during a 7-day pre-trial quarantine. Excluded cats were those with intercurrent diseases or those not meeting the weight/age criteria. Therefore, twelve healthy adult shorthair cats, half male and half female, weighing an average of 3.91 kg (range: 3.47~4.59 kg), were used in the study. Cats were allowed ad libitum access to food and water during the study. The study was reviewed and approved by the Institutional Animal Care and Use Committee of South China Agricultural University (approval number: 2023A022).
2.2. Chemical and Standards
Gabapentin (99.8% purity) and its respective internal standard pregabalin (99.4% purity) were obtained from the National Institutes for Food and Drug Control. GBP tablets (100 mg specification) and injections (50 mg/mL specification) were provided by Shanghai Hanvet Biomedical Technology Co., Ltd. (Shanghai, China). All solvents and reagents were procured from certified suppliers: mass spectrometry-grade acetonitrile and methanol were sourced from Fisher Scientific (Waltham, MA, USA), and spectrometry-grade formic acid was sourced from Aladdin Biochemical Technology Co., Ltd. (Shanghai, China).
2.3. Calibration Standards and Quality Control
Stock solutions of GBP and PGB were made by dissolution in methanol. Working solutions were prepared by diluting the stock solution in acetonitrile. To prepare calibration and quality control (QC) samples, working solutions were added to blank plasma. GBP calibration samples covered a range from 50 ng/mL to 5000 ng/mL. Additionally, QC samples were prepared at the limit of quantification (LLOQ: 50 ng/mL) and at low- (LQC: 100 ng/mL), medium- (MQC: 500 ng/mL) and high-quality concentrations (HQC: 4000 ng/mL), by adding a blank of cat plasma.
2.4. Sample Preparation
A 200 μL volume of cat plasma (Eppendorf, Hamburg, Germany) was placed in a 2 mL centrifuge tube, followed by the addition of 10 μL of PGB working solution (10.5 μg/mL), together with 390 μL acetonitrile. After vortexing, the samples were centrifuged at 10,000 rpm for 10 min, at 4 °C (Thermo, Waltham, MA, USA). Subsequently, 300 μL of supernatant was mixed with 700 μL ultrapure water, filtered through a 0.22 μm membrane for concentration analysis.
2.5. LC-MS/MS Instrumentation and Setting
The analysis was performed using a Nexera XR ultra-high performance liquid chromatography system (Shimadzu Corporation, Kyoto, Japan), interfaced with an LCMS-8050 triple-quadrupole mass spectrometer (Shimadzu, Kyoto, Japan) equipped with an electrospray ionization (ESI) source. Analytical detection was conducted in positive ionization mode, with the following optimized parameters: ion source temperature—300 °C, desolvation line temperature—526 °C, and nebulizing gas flow rate—3.0 L/min. Instrument control and data processing were managed through LabSolutions Insight software (version 5.99, Shimadzu).
Chromatographic separation was performed on a Phenomenex Luna C18 column (Phenomenex, Torrance, CA, USA) (150 mm × 2 mm, 5.0 μm), using a gradient program, at a flow rate of 0.3 mL/min and an injection volume of 3 µL, with the column temperature at 40 °C. Briefly, chromatographic separation was achieved using acidified (0.1% formic acid) water/acetonitrile mixtures in gradient elution mode. The gradient elution program was optimized as follows: 10% B at 0~1.0 min, 10~80% B at 1.0~2.0 min, 80% B at 2.0~4.0 min, 80~10% B at 4.0~4.5 min, and 10% B at 4.5~7.0 min.
2.6. Method Validation
Verification was performed following the European Medicines Agency (EMA) and the US Food and Drug Administration (FDA) bioanalytical method validation guidelines. The parameters verified were linearity, matrix effect, accuracy and precision, stability and dilution integrity.
2.6.1. Selectivity and Specificity
Plasma samples from healthy trial cats were collected, including blank samples, post-administration samples and blank samples spiked with GBP. This process aimed to compare the interference of impurities in GBP across different blank plasma sources.
2.6.2. Linearity
Standard curves of the samples were prepared in accordance with the protocols described in Section 2.3. A linear calibration curve was constructed using a 1/x2 weighting factor. Six calibration points were used, and the curve was created by calculating the ratio of the analyte peak area to the IS peak area (r2 > 0.99).
2.6.3. Accuracy and Precision
Accuracy and precision were measured in three individual analytical runs on three different days. A total of six replicates were evaluated for each QC level, namely LLOQ, LQC, MQC and HQC. The intra- and inter-assay accuracy of QC samples of one level was required to be 85~115% (80~120% for the LLOQ). To assess precision, the coefficient of variation (CV = standard deviation/mean × 100%) was employed. The intra- and inter-assay CV needed to be <15% (<20% for the LLOQ).
2.6.4. Matrix Effect
The matrix effect was determined as the ratio of the peak area of the analyte with the matrix to the peak area of the analyte without the matrix. The matrix effect factor (MF) and the matrix effect factor normalized to the internal standard (MFi) were calculated using the following formulas. It was determined that the coefficient of variation for the MFi calculated from six batches of matrix should be less than 15%.
Matrix effect factor (MF) = .
Matrix effect factor normalized to the internal standard (MFi) = .
2.6.5. Stability
The stability of the GBP (LQC and HQC) was measured under different conditions: after short-term storage at room temperature for 24 h, after long-term storage at −20 °C for 30 d, after 3 freeze–thaw cycles (from −20 °C to room temperature) and after being placed in an autosampler at 4 °C for 30 h. Furthermore, analytes were considered stable when the measured concentrations were within ±15% of the baseline HQC and ±20% of the baseline LQC. All QC levels were measured in triplicate.
2.6.6. Carryover
The carryover was estimated by injecting blank samples after HQCs were injected. More importantly, it was determined that the peak areas in the blank samples after injection of the HQCs should not exceed 20% of the LQC, and should not exceed 5% of the IS.
2.6.7. Dilution Integrity
The integrity of the dilution was demonstrated by adding the analyte to the matrix to a concentration above the ULOQ, and diluting the sample with blank plasma (1:5 or 1:10). It was established that the accuracy and precision should be within ±15%. Furthermore, it was confirmed that the reliability of dilution should cover the test samples.
2.7. Pharmacokinetics
The validated method was used for the pharmacokinetic study of GBP tablets in healthy cats. Twelve cats were randomly divided into two groups, and we confirmed that the groups were well matched through randomization. The cats were fasted for 12 h before administration and were free to drink water. Six cats were administered a single oral dose of 25 mg/kg GBP tablets, while the remaining cats received a single intravenous dose of 25 mg/kg GBP injection. Blank blood was collected from the antecubital vein into an anticoagulant tube containing heparin sodium before administration. Subsequent blood samples were collected at 0.25, 0.75, 1, 2, 3, 4, 5, 6, 9, 12, 16, 24, 36, 48 and 60 h after oral administration of GBP. Additionally, intravenous plasma samples were collected at 0.08, 0.17, 0.25, 0.50, 1, 2, 4, 6, 8, 12, 16, 24, 36, 48 and 60 h. All blood samples were centrifuged (Thermo, Dreieich, Germany) at 3500 rpm, at 4 °C, for 15 min to separate the plasma, and stored in a −20 °C refrigerator until analysis. The plasma concentration–time data for each cat were plotted to generate individual and average pharmacokinetic curves. Subsequently, Phoenix WinNonlin® 8.2 software (Certara, Princeton, NJ, USA) was employed to process and statistically analyze the measured pharmacokinetic data via non-compartmental model, to comprehensively understand the drug’s absorption, distribution, and elimination in cats.
3. Results
3.1. LC-MS/MS Method Development
Two transitions per analyte were selected for quantification and confirmation. Table 1 presents the MRM transitions and MS settings applied for the analytes in this method. The representative chromatogram is shown in Figure 1.
Table 1.
Mass spectrometric conditions for each analyte.
Figure 1.
Chromatogram of 50 ng/mL GBP standard working solution.
3.2. Method Validation
3.2.1. Selectivity and Specificity
Samples of blank plasma, blank plasma with GBP and PK plasma were determined. The results show that the samples were not affected by impurities in the plasma. The drug and impurity peaks are clearly separated, indicating that the method was selective and specific. As shown in Figure 2, the GBP and internal standard (PGB) both elute consistently at around 2.9 min.
Figure 2.
Chromatogram of (a) blank cat plasma sample, (b) GBP added to plasma (added concentration 50 ng/mL) and (c) plasma sample of cat 1 h after taking GBP tablet (100 mg) orally.
3.2.2. Linearity
The developed method showed a linear relationship in the range of 50~5000 ng/mL of GBP. A weighting factor of 1/x2 was applied. All coefficients of determination (r2) for all validated batches were greater than 0.99. The limit of deviation from the nominal value was ≤15% (≤20% for the LLOQ). Moreover, the LOD and LOQ, based on the signal-to-noise ratio of three (S/N = 3) and ten (S/N = 10), were within 20 ng/mL and 50 ng/mL ranges, respectively.
3.2.3. Accuracy and Precision
For all QCs, the intra-day and inter-day precision and accuracy met the defined criteria (LLOQ was 50 ng/mL, with acceptable accuracy (93%) and precision; QCs within 15%) in Table 2.
Table 2.
Accuracy and precision of determination of gabapentin in cat plasma by LC-MS/MS (n = 6).
3.2.4. Matrix Effect
The IMF (Internal Matrix Factor) of six different plasma sources determined that the LQC and HQC levels were 104.68% and 101.44% for GBP, and the CVs of LQC and HQC were 3.43% and 3.03%, respectively. The matrix effect had a negligible impact in this method.
3.2.5. Stability
As shown in Table 3, the results of the three freeze–thaw cycles and short-term, long-term and processed sample stability studies revealed that all QCs were found to be stable.
Table 3.
Stability tests for gabapentin in cat plasma (n = 6).
3.2.6. Carryover
No carryover was observed for GBP and PGB. The carryover percentages were all below 2.76%. Also, no LOQ peak area was more than 20% of the reference peak area and 5% of the reference IS peak area.
3.2.7. Dilution Integrity
The CVs of 5-fold and 10-fold diluted QCs of GBP were 3.65% and 3.82%, respectively. The results indicate that the dilution procedures did not affect the accuracy and precision of the measured concentration of GBP.
3.3. Pharmacokinetics
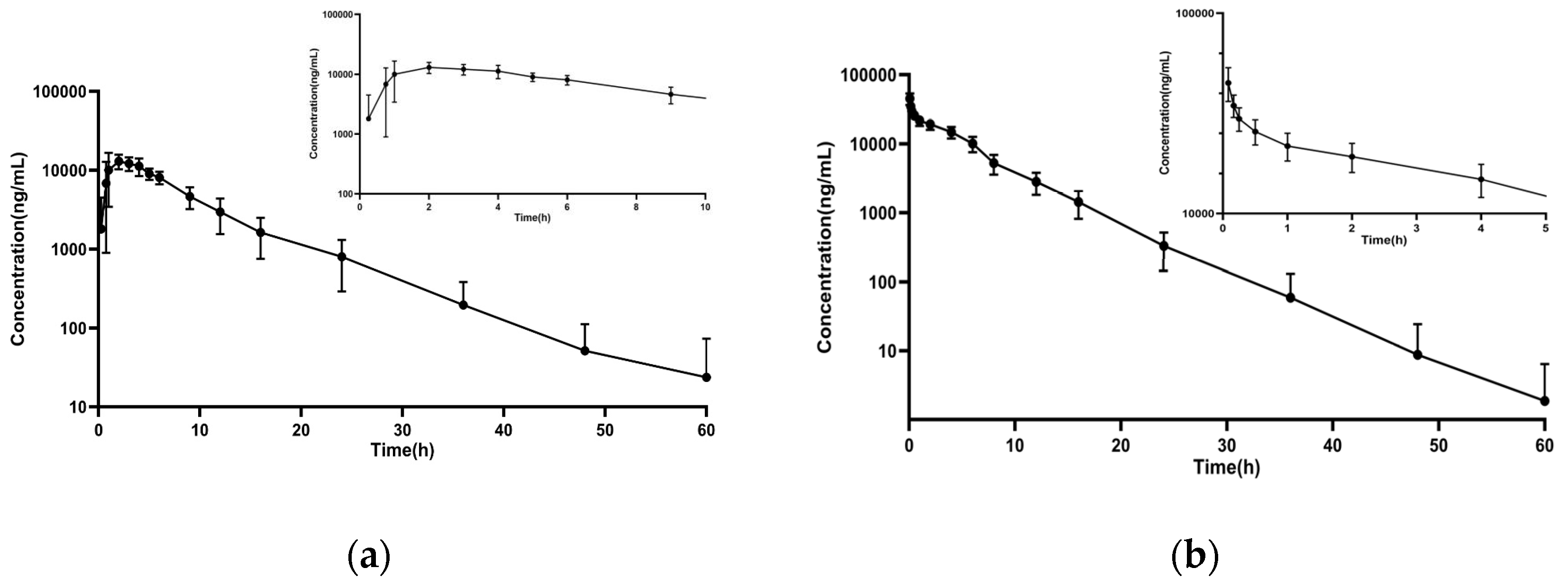
The validated LC-MS/MS method was effectively used to analyze clinical plasma samples from 12 cats after single oral and intravenous doses of 25 mg/kg GBP. The concentration–time curves of GBP are shown in Figure 3, and the corresponding pharmacokinetic parameters are listed in Table 4.
Figure 3.
Plasma concentrations of GBP over 60 h (a) after oral administration of 25 mg/kg in healthy cats, and (b) after intravenous administration of 25 mg/kg in healthy cats. Data expressed as mean ± SD (n = 6).
Table 4.
Pharmacokinetic parameters for GBP after IV administration (25 mg/kg) or oral administration (25 mg/kg) in 12 cats.
4. Discussion
The majority of existing bioanalytical methods for the analysis of GBP in plasma require the use of time-consuming sample preparation techniques, such as solid-phase extraction [11,22] or evaporation [13,23,24] steps. The objective of this study was to develop a bioanalytical method for rapid sample analysis and successfully apply this to the pharmacokinetic study of cats.
Initially, the analyte and IS were injected into the mass spectrometer to optimize the ionization parameters and detect the fragmentation pattern. All analytes were detected in positive ion mode [25]. The optimization of chromatographic conditions involved choosing a proper mobile phase and chromatographic column. According to reported research [26], adding certain proportion of formic acid into the mobile phase could improve the ionization efficiency of analytes and effectively improve the peak shape. Consequently, 0.1% formic acid/water-acetonitrile was selected as the mobile phase. Furthermore, in order to separate the tested compounds and obtain sharp peak shapes, the gradient elution mode was optimized. Phenomenex Luna C18 (150 mm × 2 mm, 5 μm) demonstrated excellent separation and symmetry; further evaluation was not deemed necessary.
The method used in this study was optimized on the basis of previous methods. The efficacy of direct precipitation of proteins in samples using acetonitrile and methanol was evaluated [27]. The results showed that acetonitrile was better than methanol for protein precipitation, and had a better peak shape.
The AUC0–t values of oral and intravenous GBP were 115.54 ± 27.56 (μg/mL) h and 160.44 ± 32.65 (μg/mL) h, respectively. Tmax reflects the rate of absorption of a drug. The absorption observed in this study (Tmax 1.83 ± 0.75 h) was faster than that noted in humans (6.9 ± 2.1 h) and goats (8.47 ± 1.9 h), but similar to what has been observed in cats (1.67 ± 0.37 h), horses (1.41 ± 0.1 h) and dogs (1.51 ± 0.5 h) [11,22,27,28,29]. The terminal half-life (t1/2) for IV GBP in the current study (3.87 ± 0.64 h) was slightly longer than that reported in dogs (2.9 h), but shorter than that reported in horses (8.53 h) [30,31].
The bioavailability of a drug is defined as the proportion of the active ingredient that reaches systemic circulation. An absolute bioavailability of greater than 50% is generally considered to indicate high oral bioavailability [32]. The bioavailability was calculated between different individuals, which may have introduced variability. We compared our pharmacokinetic findings with prior feline studies. Our results showed that the Tmax and bioavailability were 1.83 h and 78.71%, which are consistent with previous feline studies [11,13]. In addition, the bioavailability of GBP in humans (74.1%) and dogs (80%) is comparable to what we reported, but significantly higher than that in horses (16.2%) [29,30,31]. Furthermore, the half-life we observed was 5.6 h, which is different to that in previous reports. These differences may be due to factors such as variations in study design, cat breeds, ages or the specific formulations of GBP used.
Also, we chose a parallel-group design instead of a crossover design for several reasons. First, the parallel-group design was particularly suitable for our study objectives, as it allows for independent comparison between different groups without the potential carryover effects that can occur in a crossover design. Second, considering the welfare of the cats, whose health could potentially have been affected due to the volume of blood collected, the parallel-group design minimized this concern by distributing the blood collection across different groups, thereby reducing the burden on individual animals. We acknowledge that the parallel-group design may have certain limitations compared to a crossover design, such as requiring a larger sample size and potentially being more resource-intensive. However, we believe that the benefits of this design outweigh these limitations in our specific study context. Regarding the matching of groups, we employed a rigorous randomization process to ensure that the groups were well matched at baseline.
The preclinical efficacy of GBP in chronic pain management has been extensively validated in various animal models. In a rat model of thermal hyperalgesia induced by burn injury, intraperitoneal administration of GBP significantly alleviated mechanical allodynia, demonstrating dose-dependent analgesic effects [33]. Similarly, in formalin-evoked inflammatory pain models, GBP synergized with ibuprofen to enhance pain relief, suggesting its potential for combination therapy [34]. Notably, GBP outperformed morphine and amitriptyline in reducing pain-related behaviors when administered intrathecally in neuropathic pain models, highlighting its central nervous system efficacy [35]. Studies using carrageenan-induced peripheral sensitization have further confirmed gabapentin’s ability to suppress nociceptive processing, particularly through modulation of voltage-gated calcium channels and NMDA receptor antagonism [36]. These findings across diverse models—including thermal, chemical and neuropathic pain paradigms—consistently support GBP’s clinical translatability for chronic pain conditions [37,38].
In addition, our results indicate that GBP reached its maximum concentration (Cmax) at 1.83 h; this rapid absorption aligns with clinical protocols that administer GBP 1~2 h pre-appointment to reduce feline stress. Likewise, the lack of adverse effects at 25 mg/kg could be mentioned as reassuring for using such doses for stress reduction. These findings provide evidence-based support for timing GBP administration to achieve effective anxiety and stress reduction in veterinary settings.
5. Conclusions
This study successfully developed and verified an LC-MS/MS method suitable for the quantitative analysis of gabapentin in cat plasma. The plasma sample pretreatment is simple, the detection speed is fast, the method is stable and samples can be efficiently analyzed on a large scale. The method was applied to the pharmacokinetic study of gabapentin in cats, and the results demonstrated that the absorption and elimination were slower than previously reported results in cats. Importantly, no adverse reactions were found during the trial. This provides a scientific basis for rational drug use in veterinary clinics.
Author Contributions
Conceptualization, Z.Z. and W.X.; methodology, F.Z.; conducted experiments, F.Z., C.L., X.L. and Y.W.; software and formal analysis, F.Z. and C.L.; writing—original draft preparation, F.Z.; writing—review and editing, F.Z. and N.H.; supervision, Z.Z. and W.X.; funding acquisition, Z.Z. All authors have read and agreed to the published version of the manuscript.
Funding
This research was funded by the Local Innovative and Research Teams Project of Guangdong Pearl River Talents Program (grant number 2019BT02N054).
Institutional Review Board Statement
Cats were selected as an animal model to study the pharmacokinetics of gabapentin after oral and intravenous administration. They were individually housed in cages within a laboratory environment, with free access to food and water. The Laboratory Animal Center of South China Agricultural University complies with the Guangdong Provincial Regulations on Laboratory Animal Management, and follows the “3R” principles for ethical animal research. This study was approved by the Institutional Animal Care and Use Committee of South China Agricultural University (approval number: 2023A022). Post-experiment, the cats remained in our care. All animal experiments were conducted according to the ARRIVE criteria.
Informed Consent Statement
Not applicable.
Data Availability Statement
The corresponding authors will make the data supporting this study available upon reasonable request.
Conflicts of Interest
F.Z. and C.L. were employed by Hanvet Biomedical Technology Co., Ltd. (Shanghai, China). The remaining authors declare that the research was conducted in the absence of any commercial or financial relationships that could be construed as a potential conflict of interest.
References
- Tucker, L.E.; Sanchez, A.; Valverde, A.; Blois, S.; Uccello, O.; Rutherford, A.; Monteith, G.; Reinhart, J.M.; Keating, S.; Gu, Y.; et al. Pharmacokinetic, sedative, and physiological effects of oral compounded formulations of trazodone alone or in combination with gabapentin in male cats. J. Vet. Pharmacol. Ther. 2023, 46, 300–310. [Google Scholar] [CrossRef] [PubMed]
- Papageorgiou, V.; Ververidis, C.; Mylonakis, M.E.; Savvas, I.; Kazakos, G. Orally administered gabapentin and alprazolam induce comparable levels of anxiolysis and sedation in cats. J. Am. Vet. Med. Assoc. 2024, 262, 904–908. [Google Scholar] [CrossRef] [PubMed]
- Shimizu, Y.; Kanda, T. Effects of Pre-Anesthesia Anxiety on Propofol Induction Dose in Cats. Animals 2021, 11, 2126. [Google Scholar] [CrossRef] [PubMed]
- Rodan, I.; Sundahl, E.; Carney, H.; Gagnon, A.-C.; Heath, S.; Landsberg, G.; Seksel, K.; Yin, S. AAFP and ISFM feline-friendly handling guidelines. J. Feline Med. Surg. 2011, 13, 364–375. [Google Scholar] [CrossRef]
- Riemer, S.; Heritier, C.; Windschnurer, I.; Pratsch, L.; Arhant, C.; Affenzeller, N. A Review on Mitigating Fear and Aggression in Dogs and Cats in a Veterinary Setting. Animals 2021, 11, 158. [Google Scholar] [CrossRef]
- Erickson, A.; Harbin, K.; MacPherson, J.; Rundle, K.; Overall, K.L. A review of pre-appointment medications to reduce fear and anxiety in dogs and cats at veterinary visits. Can. Vet. J. 2021, 62, 952–960. [Google Scholar]
- van Haaften, K.A.; Forsythe, L.R.E.; Stelow, E.A.; Bain, M.J. Effects of a single preappointment dose of gabapentin on signs of stress in cats during transportation and veterinary examination. J. Am. Vet. Med. Assoc. 2017, 251, 1175–1181. [Google Scholar] [CrossRef]
- Pankratz, K.E.; Ferris, K.K.; Griffith, E.H.; Sherman, B.L. Use of single-dose oral gabapentin to attenuate fear responses in cage-trap confined community cats: A double-blind, placebo-controlled field trial. J. Feline Med. Surg. 2018, 20, 535–543. [Google Scholar] [CrossRef]
- Kruszka, M.; Graff, E.; Medam, T.; Masson, S. Clinical evaluation of the effects of a single oral dose of gabapentin on fear-based aggressive behaviors in cats during veterinary examinations. J. Am. Vet. Med. Assoc. 2021, 259, 1285–1291. [Google Scholar] [CrossRef]
- Eroglu, C.; Allen, N.J.; Susman, M.W.; O’Rourke, N.A.; Park, C.Y.; Ozkan, E.; Chakraborty, C.; Mulinyawe, S.B.; Annis, D.S.; Huberman, A.D.; et al. Gabapentin receptor α2δ-1 is a neuronal thrombospondin receptor responsible for excitatory CNS synaptogenesis. Cell 2009, 139, 380–392. [Google Scholar] [CrossRef]
- Siao, K.T.; Pypendop, B.H.; Ilkiw, J.E. Pharmacokinetics of gabapentin in cats. Am. J. Vet. Res. 2010, 71, 817–821. [Google Scholar] [CrossRef] [PubMed]
- Quintero, G.C. Review about gabapentin misuse, interactions, contraindications and side effects. J. Exp. Pharmacol. 2017, 9, 13–21. [Google Scholar] [CrossRef] [PubMed]
- Adrian, D.; Papich, M.G.; Baynes, R.; Stafford, E.; Lascelles, B.D.X. The pharmacokinetics of gabapentin in cats. J. Vet. Intern. Med. 2018, 32, 1996–2002. [Google Scholar] [CrossRef] [PubMed]
- Coetzee, J.F.; Mosher, R.A.; Anderson, D.E.; Robert, B.; Kohake, L.E.; Gehring, R.; White, B.J.; Kukanich, B.; Wang, C. Impact of oral meloxicam administered alone or in combination with gabapentin on experimentally induced lameness in beef calves. J. Anim. Sci. 2014, 92, 816–829. [Google Scholar] [CrossRef]
- Hurley, R.W.; Chatterjea, D.; Feng, M.R.; Taylor, C.P.; Hammond, D.L. Gabapentin and pregabalin can interact synergistically with naproxen to produce antihyperalgesia. Anesthesiology 2002, 97, 1263–1273. [Google Scholar]
- Nicholson, B. Gabapentin use in neuropathic pain syndromes. Acta Neurol. Scand. 2000, 101, 359–371. [Google Scholar]
- Ouellet, D.; Bockbrader, H.N.; Wesche, D.L.; Shapiro, D.Y.; Garofalo, E. Population pharmacokinetics of gabapentin in infants and children. Epilepsy Res. 2001, 47, 229–241. [Google Scholar]
- Berry, D.; Millington, C. Analysis of pregabalin at therapeutic concentrations in human plasma/serum by reversed-phase HPLC. Ther. Drug Monit. 2005, 27, 451–456. [Google Scholar]
- Sagirli, O.; Cetin, S.M.; Onal, A. Determination of gabapentin in human plasma and urine by high-performance liquid chromatography with UV-vis detection. J. Pharm. Biomed. Anal. 2006, 42, 618–624. [Google Scholar]
- Esteban, M.A.; Dewey, C.W.; Schwark, W.S.; Rishniw, M.; Boothe, D.M. Pharmacokinetics of Single-Dose Oral Pregabalin Administration in Normal Cats. Front. Vet. Sci. 2018, 5, 136. [Google Scholar] [CrossRef]
- Jalalizadeh, H.; Souri, E.; Tehrani, M.B.; Jahangiri, A. Validated HPLC method for the determination of gabapentin in human plasma using pre-column derivatization with 1-fluoro-2,4-dinitrobenzene and its application to a pharmacokinetic study. J. Chromatogr. B Anal. Technol. Biomed. Life Sci. 2007, 854, 43–47. [Google Scholar]
- Kleinhenz, M.D.; Davis, D.; Weeder, M.M.; Leslie, A.; Reppert, E.J.; Kompalage, K.; Tucker, R.; Coetzee, J.F. Pharmacokinetic report: Pharmacokinetics of a single oral dose of gabapentin in goats (Capra hircus). J. Vet. Pharmacol. Ther. 2024, 47, 294–299. [Google Scholar] [CrossRef] [PubMed]
- Gold, J.R.; Grubb, T.L.; Cox, S.; Malavasi, L.; Villarino, N.L. Pharmacokinetics and pharmacodynamics of repeat dosing of gabapentin in adult horses. J. Vet. Intern. Med. 2022, 36, 792–797. [Google Scholar] [CrossRef] [PubMed]
- Mercolini, L.; Mandrioli, R.; Amore, M.; Raggi, M.A. Simultaneous HPLC-F analysis of three recent antiepileptic drugs in human plasma. J. Pharm. Biomed. Anal. 2010, 53, 62–67. [Google Scholar] [CrossRef]
- Thomann, J.; Vogt, S.B.; Guessoum, A.; Meyer, M.; Vogel, M.; Liechti, M.E.; Luethi, D.; Duthaler, U. Development and validation of an LC-MS/MS method for quantifying diamorphine and its major metabolites 6-monoacetylmorphine, morphine, morphine-3-glucuronide, and morphine-6-glucuronide in human plasma. J. Chromatogr. B Anal. Technol. Biomed. Life Sci. 2024, 1237, 124104. [Google Scholar] [CrossRef]
- Song, Y.; Zhou, Y.; Yan, X.-T.; Bi, J.-B.; Qiu, X.; Bian, Y.; Wang, K.-F.; Zhang, Y.; Feng, X.-S. Pharmacokinetics and Tissue Distribution of Alnustone in Rats after Intravenous Administration by Liquid Chromatography-Mass Spectrometry. Molecules 2019, 24, 3183. [Google Scholar] [CrossRef]
- Kukanich, B.; Cohen, R.L. Pharmacokinetics of oral gabapentin in greyhound dogs. Vet. J. 2011, 187, 133–135. [Google Scholar] [CrossRef]
- Dirikolu, L.; Dafalla, A.; Ely, K.J.; Connerly, A.L.; Jones, C.N.; ElkHoly, H.; Lehner, A.F.; Thompson, K.; Tobin, T. Pharmacokinetics of gabapentin in horses. J. Vet. Pharmacol. Ther. 2008, 31, 175–177. [Google Scholar] [CrossRef]
- Lal, R.; Ellenbogen, A.; Gidal, B. Interindividual Variability in the Bioavailability of Gabapentin Enacarbil Extended Release in Healthy Adults: An Analysis of Data from 6 Phase I Studies. Ther. Drug Monit. 2022, 44, 448–454. [Google Scholar] [CrossRef]
- Radulovic, L.L.; Türck, D.; von Hodenberg, A.; Vollmer, K.O.; McNally, W.P.; DeHart, P.D.; Hanson, B.J.; Bockbrader, H.N.; Chang, T. Disposition of gabapentin (neurontin) in mice, rats, dogs, and monkeys. Drug Metab. Dispos. 1995, 23, 441–448. [Google Scholar]
- Terry, R.L.; McDonnell, S.M.; Van Eps, A.W.; Soma, L.R.; Liu, Y.; Uboh, C.E.; Moate, P.J.; Driessen, B. Pharmacokinetic profile and behavioral effects of gabapentin in the horse. J. Vet. Pharmacol. Ther. 2010, 33, 485–494. [Google Scholar] [CrossRef] [PubMed]
- Kim, M.T.; Sedykh, A.; Chakravarti, S.K.; Saiakhov, R.D.; Zhu, H. Critical evaluation of human oral bioavailability for pharmaceutical drugs by using various cheminformatics approaches. Pharm. Res. 2014, 31, 1002–1014. [Google Scholar] [CrossRef] [PubMed]
- Moore, S.A. Managing Neuropathic Pain in Dogs. Front. Vet. Sci. 2016, 3, 12. [Google Scholar] [CrossRef]
- Goich, M.; Bascuñán, A.; Faúndez, P.; Valdés, A. Multimodal analgesia for treatment of allodynia and hyperalgesia after major trauma in a cat. J. Feline Med. Surg. Open Rep. 2019, 5, 2055116919855809. [Google Scholar] [CrossRef]
- Cashmore, R.G.; Harcourt-Brown, T.R.; Freeman, P.M.; Jeffery, N.D.; Granger, N. Clinical diagnosis and treatment of suspected neuropathic pain in three dogs. Aust. Vet. J. 2009, 87, 45–50. [Google Scholar] [CrossRef]
- Liu, J.S.; Moore, V.W.; Drozdzynska, M.J. Successful treatment of suspected sciatic neuritis following canine total hip arthroplasty. Vet. Anaesth. Analg. 2024. [Google Scholar] [CrossRef]
- Ruel, H.L.M.; Watanabe, R.; Evangelista, M.C.; Beauchamp, G.; Auger, J.-P.; Segura, M.; Steagall, P.V. Pain burden, sensory profile and inflammatory cytokines of dogs with naturally-occurring neuropathic pain treated with gabapentin alone or with meloxicam. PLoS ONE 2020, 15, e0237121. [Google Scholar] [CrossRef]
- Santifort, K.M.; Carrera, I.; Platt, S. Case report: Traumatic hemorrhagic cervical myelopathy in a dog. Front. Vet. Sci. 2023, 10, 1260719. [Google Scholar] [CrossRef]
Disclaimer/Publisher’s Note: The statements, opinions and data contained in all publications are solely those of the individual author(s) and contributor(s) and not of MDPI and/or the editor(s). MDPI and/or the editor(s) disclaim responsibility for any injury to people or property resulting from any ideas, methods, instructions or products referred to in the content. |
© 2025 by the authors. Licensee MDPI, Basel, Switzerland. This article is an open access article distributed under the terms and conditions of the Creative Commons Attribution (CC BY) license (https://creativecommons.org/licenses/by/4.0/).


